You are currently viewing a new version of our website. To view the old version click .
Agronomy
  • Article
  • Open Access

30 April 2019

Production and Cultivated Area Variation in Cereal, Rice, Wheat and Maize in China (1998–2016)

,
,
,
,
and
1
College of Agronomy, Northwest A&F University, No. 3 Taicheng Road, Yangling 712100, Shaanxi, China
2
College of Agronomy and Biotechnology, China Agricultural University, No. 2 Yuanmingyuan West Road, Beijing 100193, China
*
Authors to whom correspondence should be addressed.

Abstract

The production of cereals, including rice, wheat, and maize has increased in China over the past 20 years. However, variations in the production and cultivated area of cereals remains unclear. In this study, we collected and analyzed the cereal production and cultivated area in China from 1998 to 2016. An 85% increase in cereal production was recorded from 1998 to 2016, due to an increase in the maize production along with the increase in the cultivated area. Meanwhile, rice and wheat production have been stable since 2000. No change occurred in the rice cultivated area through 2016, and a 19% decrease in the wheat cultivated area was observed in 2016 relative to 1998. In addition, a significant positive relationship was observed among cereal production, maize production, and cultivated area (p < 0.0001). Together, the increase in cereal production in China over the past two decades has resulted from the increase in maize cultivated area and the consequent increase in maize production.

1. Introduction

Cereals grains have nourished humanity for thousands of years [1]. Rice (Oryza sativa L.), wheat (Triticum aestivum L.), and maize (Zea mays L.) production in 2013 increased to 746, 713, and 1016 million tons, respectively, which contributed to more than 89% of the global cereal production [2]. These cereal crops are still the most important source of calories for most of the human population today. Moreover, population growth, richer diets, and biofuel use has resulted in the increase of human demand for crop production over the coming decades [2,3]. In China, rice, wheat, and maize are also the three major cereal crops, and they play a key role in national food safety.
The gross crop production in a region is determined by the production of each crop. In China, cereal production is determined primarily by rice, wheat, and maize production. The per hectare yield and cultivated area are the two main factors affecting crop production under limited farmland, and any changes in the cultivated area or productivity could influence the total production [4,5].
Most of research has focused on the increase in per hectare yield of rice, wheat, and maize through improvements in cultivars, nitrogen management, irrigation patterns, planting patterns, planting density, and the yield gap [4,5,6,7,8,9,10,11,12,13,14]. Meanwhile, some scientists have used remote sensing technology and modeling simulations to analyze the effects of climate change, human population growth, and technical progress on the spatial-temporal changes in cereal yields and land use patterns in China [15,16,17]. However, few studies have attempted to clarify the spatial-temporal variations in cereal (rice, wheat, and maize) production and the cultivated area, as well as detecting the relationships between the cultivated area and production over the past two decades in China.
China produces 18% of the world’s cereal grains to supply more than 20% of the world’s population with only 8% of the global farmland (120 M ha) [2]. The gap in the yield potentials across the three cereals is large, and as such, increasing the cultivated area of high yield-potential crops could increase crop production under the constraint of limited farmland. Therefore, it is important to optimize the crop distribution on the limited farmland to improve crop production [3].
In China, the cultivated areas of these three cereal crops have varied greatly over the past two decades due to economic benefits, national policy, and climate change [18]. Cereal production has changed over the past 20 years, but it remains unclear how variation in the cultivated areas and production of these crops has affected the overall cereal production in China.
In this study, we collected data on rice, wheat, and maize production, as well as the cultivated area at the province level covering 1998–2016 from China’s National Bureau of Statistics (NBS), so as to: (i) identify the spatial-temporal variation in rice, wheat, and maize production, and the cultivated area; (ii) determine the effects of this variation on cereal production; and (iii) provide a reference for optimizing crop distribution and the development of sustainable agriculture.

2. Materials and Methods

2.1. Study Region

The study region was divided into northeast, northwest, north, central, south, and southwest China, and the combined Qinghai and Xizang region, based on the diverse geographic and climatic conditions (Figure 1 and Table 1). Rice is mainly distributed in central and south China which have a subtropical humid and sub-humid climate. Winter wheat is mainly distributed in northwest, north, and central China, and spring wheat is distributed mainly in northeast China. Maize is distributed in across a south-to-north transect from the low and middle latitudes in southwest China to the high latitudes in northeast China [19]. Spring maize is planted widely in northeast China (Heilongjiang, Jilin, and Liaoning province), southwest China (Yunnan, Guizhou, Chongqing, and Sichuan provinces, China), and in the Shanxi and Shaanxi provinces in the North China Plain. Summer maize is mainly distributed in the North China Plain (Hebei, Henan, Shandong, Beijing, and Tianjin provinces, China) [19].
Figure 1. Geographic locations of the seven study regions in China.
Table 1. Distribution of the geographic locations of the study sites.

2.2. Data Source and Collection

In this study, the cereal crops included rice, wheat, and maize. Data including cereal, rice, wheat, and maize production, as well as the cultivated area at the province level during 1998–2016 were obtained from China’s National Bureau of Statistics (NBS) [20]. We collected data on the irrigated area, nitrogen fertilizer consumption, phosphate fertilizer consumption, compound fertilizer consumption, total fertilizer consumption, soybeans cultivated area, and soybeans production of China from the Agriculture, Food and Agricultural Organizations of the United Nations (FAO) covering the period of 1998 to 2016 [2].

2.3. Data Analyses

When the spatial-temporal trend was analyzed, the data were divided into six classes by period: 1998–2001, 2002–2004, 2005–2007, 2008–2010, 2011–2013, and 2014–2016. The average values of three years were calculated for each class to evaluate the spatial-temporal variation in cereal production and the cultivated areas (Figure 2 and Figure 3). The data were not grouped and averaged for other analyses.
Figure 2. The spatial variation in the cereal cultivated area (M ha) in China from 1998 to 2016. Average cereal cultivated area from 1998–2001 (A), 2002–2004 (B), 2005–2007 (C), 2008–2010 (D), 2011–2013 (E), and 2014–2016 (F).
Figure 3. The spatial variation in cereal production (M t) in China from 1998 to 2016. Average cereal production from 1998–2001 (A), 2002–2004 (B), 2005–2007 (C), 2008–2010 (D), 2011–2013 (E), and 2014–2016 (F).
The rice, wheat, or maize production or the cultivated area as percentages of the cereal production or cultivated area (PP or PA) were calculated as follows:
P P   % = Y / Y c × 100
where Y is the rice, wheat, or maize production, and Yc is the cereal production.
P A % = A / A c × 100
where A is the rice, wheat, or maize cultivated area, and Ac is the cereal cultivated area.
Correlation analyses and regression analysis were performed following the PROC CORR and PROC REG procedure (SAS Institute Inc., 2013, Raleigh, NC, USA) as described in Reference [21], to test the relationships between cereal production, rice production, rice cultivated area, wheat production, wheat cultivated area, maize production, and maize cultivated areas. Figures were generated using the ArcGIS software ver. 10.2 (ESRI) and SigmaPlot ver. 12.5 software (Systat Software Inc., San Jose, CA, USA).

3. Results

3.1. Temporal Variation

The cereal, rice, wheat, and maize cultivated areas decreased from 1998 to 2003 (Figure 4A). The cereal and maize cultivated areas increased from 2003 to 2016, while the areas for rice and wheat were stable during 2003−2016 (Figure 4A). The production of all three crops increased from 1998 to 2000, and then decreased from 2000 to 2001 (Figure 4B). The cereal and maize production increased from 2001 to 2016, whilst the production of rice and wheat was stable during 2001–2016 (Figure 4B).
Figure 4. The cereal, rice, wheat, and maize cultivated area (A) and production (B) in China from 1998 to 2016.

3.2. Spatial-Temporal Variation

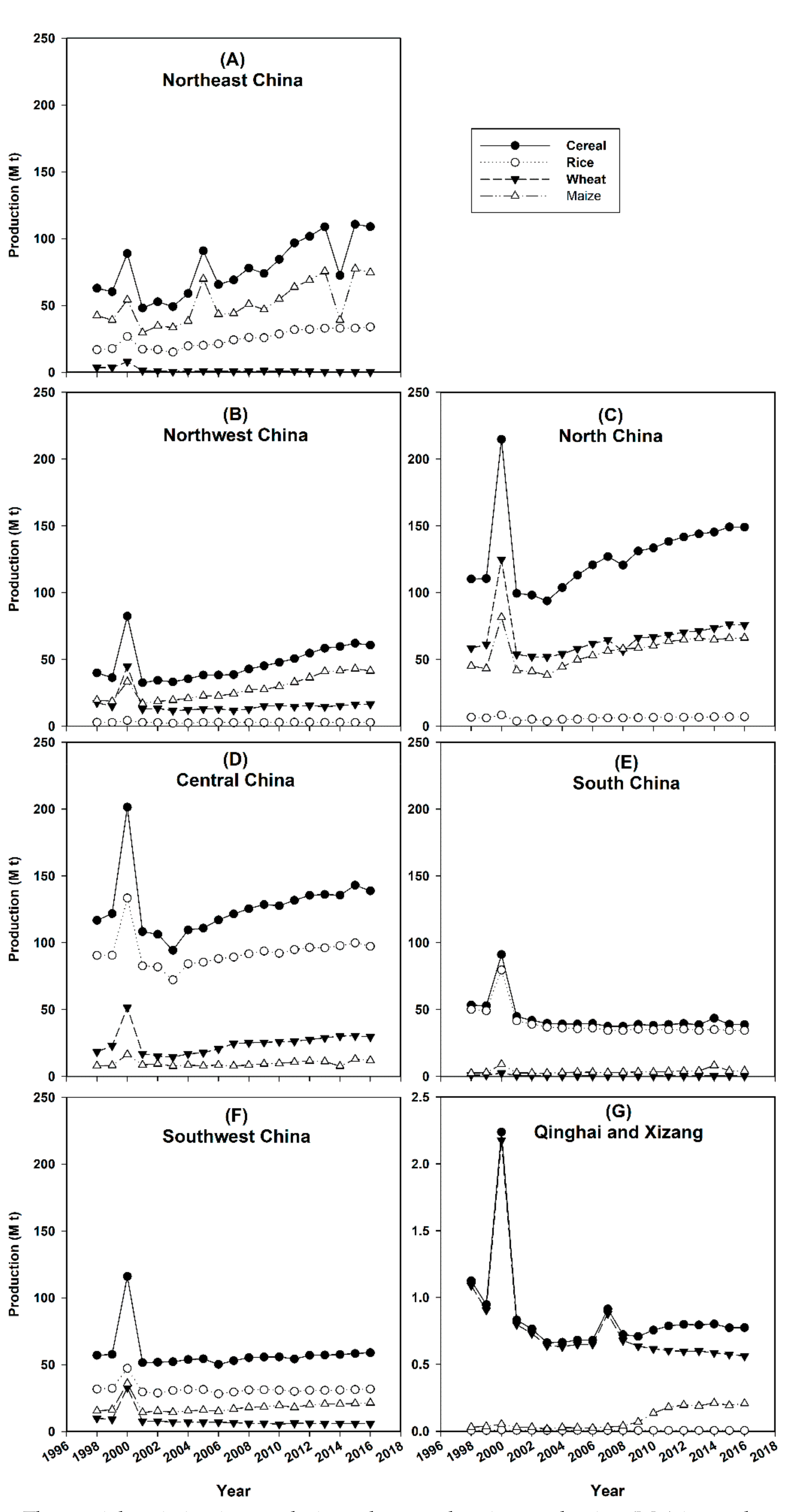
From 1998 to 2007, cereal cultivation was mainly distributed in southwest, central, north, and northeast China (Figure 2A–C and Figure 5). The cereal cultivated area showed a decreasing trend from 1998 to 2002 in China, and then began to increase (Figure 2 and Figure 5). From 2008–2016, cereal cultivation was mainly distributed in north and northeast China (Figure 2D–F and Figure 5A,C). In 2008, the cereal cultivated area began to increase in central, northwest, and northeast China (Figure 2D and Figure 5A,B,D). In northeast China, the wheat cultivated area decreased over the period 1998–2016, and the rice and maize cultivated area showed an increasing trend (Figure 5A). In northwest China, north China, Qinghai, and Xizang, the rice cultivated area was stable during 1998−2016, while the maize cultivated area showed an increasing trend (Figure 5B,C,F,G).
Figure 5. The spatial variation in the cereal, rice, wheat, and maize cultivated area (M ha) in northeast China (A), northwest China (B), north China (C), central China (D), south China (E), southwest China (F), and Qinghai and Xizang (G) from 1998 to 2016.
Over the period of 1998–2007, cereal production was mainly spread in southwest, central, north, and northeast China (Figure 3A–C and Figure 6). Cereal production began to increase in northeast China in 2001 (Figure 6A), while cereal production began to decrease in southwest China during 1998 (Figure 6F). During 2008–2016, cereal production was mainly spread in north and northeast China (Figure 3D–F and Figure 6). In northeast China, rice production decreased during 2000–2003, and showed an increasing trend during 2003–2016, whilst wheat production dropped during 2000–2016, and maize production increased during 2001–2016 (Figure 6A). In northwest China, rice and wheat production were stable during 2001–2016, whilst maize production increased during 2001–2016 (Figure 6B). In north and central China, rice production decreased during 1998–2004, and then showed an increasing trend during 2005–2016. On the other hand, wheat and maize production increased during 2001–2016 (Figure 6C,D). In south China, the rice production decreased during the period 2000–2016, whilst wheat production ranged from 0.25 to 0.32 M t during 1998–2016, and maize production increased during 2001–2016 (Figure 6E). In southwest China, Qinghai, and Xizang, rice production increased during 1998–2000 and it was stable during 2001–2016. Meanwhile, wheat production increased from 1998 to 2000, and it was stable during 2000–1998, whilst maize production increased during 2001–2016 (Figure 6).
Figure 6. The spatial variation in cereal, rice, wheat, and maize production (M t) in northeast China (A), northwest China (B), north China (C), central China (D), south China (E), southwest China (F), and Qinghai and Xizang (G) from 1998 to 2016.
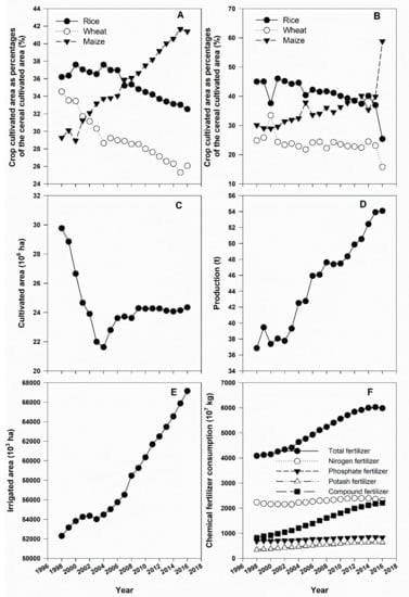
The rice cultivated area as a percentage of the cereal cultivated area ranged from 36% to 37% from 1998 to 2007, and it decreased after 2008 (Figure 7A). The wheat cultivated area decreased continuously from 33% to 26% of the cereal cultivated area during 1998–2016, whereas the maize cultivated area continuously increased from 30% to 41% of the cereal cultivated area during 1998–2016 (Figure 7A).
Figure 7. The variation in rice, wheat, and maize cultivated area (A) and production (B) as percentages of the cereal cultivated area or production, soybeans cultivated area (C) and production (D), irrigated area (E), and nitrogen, phosphate, potash, and compound fertilizer consumption, as well as total fertilizer consumption (F) in China from 1998 to 2016.
The rice production as a percentage of the cereal production ranged from 40% to 45% from 1998 to 2010, and it decreased after 2001 (Figure 7B). The wheat production decreased continuously from 29% to 20% of the cereal production during 1998–2016, whereas the maize production increased continuously from 29% to 47% of the cereal production during 1998–2016 (Figure 7B).
The cereal production was significantly and positively related to the production of rice (p < 0.0001), wheat (p < 0.0001), and maize (p < 0.0001) (Figure 8A–C), and there were significant positive relationships between cereal production and the rice cultivated area (p < 0.05), and maize cultivated area (p < 0.0001) (Figure 8D,F).
Figure 8. Correlations between Chinese total cereal production and rice production (A), wheat production (B), maize production (C), rice cultivated area (D), wheat cultivated area (E), and maize cultivated area (F) from 1998 to 2016. * and **** indicate significance at p < 0.05 and p < 0.0001, respectively. Ns means nonsignificant at p < 0.05.
Together, the increase in cultivated maize area resulted in an increase in maize production, which was the reason for the overall increase in cereal production in China during the past 20 years, suggesting that optimizing crop distribution could increase crop production in China.

4. Discussion

The increases in cultivated area and the passive national land policy resulted in observed increases in the production of cereals, rice, wheat, and maize from 1998 to 2000 [15]. However, the decreases in the cultivated area and production were observed between 2000 and 2001, due to the loss of some of the best agricultural lands to rapid urbanization and industrialization. In addition, a drought in 2000 led to a decrease in grain yield during 2000–2001 [20].
After 2001, cereal production increased due to an increase in maize production resulting from an increase in the maize cultivated area. Agriculture in China is currently moving from government control to market control, as such the world trade and domestic markets will be the most critical factors driving these changes in China. In north China, the yield potential is higher for maize than soybean or wheat, and farmers could receive higher returns from maize than soybean cultivation. Consequently, the increase in the maize cultivated area, has led to decreases in the soybean and wheat cultivated area. For example, since 2001, the maize cultivated area has increased, whilst the spring wheat and soybean cultivated areas have decreased in northeast China. Moreover, in the China, the soybean area dropped from 1998 (30 × 106 ha) to 2004 (22 × 106 ha), and the value remained around 24 × 106 ha during 2005–2016 (Figure 7C). In north China, the groundwater table has fallen sharply over the last 30 years, resulting in a shortage of water for winter wheat irrigation [13]. Therefore, converting from winter wheat and summer maize cultivation to spring maize cultivation was an important strategy to maintain agricultural sustainability and to cope with the water resource shortage in the region, which resulted in an increase in the maize area. In addition, forests, waste lands, grasslands, and wetlands have been cultivated as new agricultural lands to produce food for the increasing population in the northeast and northwest [22].
In general, all types of energy inputs associated with irrigation, fertilizer, crop management, and harvesting should be considered when evaluating agricultural production. For example, before the “household responsibility system” was implemented in 1978, farmers relied mainly on organic fertilizer, which led to low crop productivity (typically less than 1.5 metric t/ha). After 1978, the increases in yield per hectare and production per capita appeared mostly due to the increased industrial energy inputs, especially the rapid increase in chemical fertilizer use after the “household responsibility system” as reported by Tong et al. (2003) [15]. Since 1982, farmers have used more chemical fertilizers than organic fertilizer (104.6 versus 96.7 kg/ha) [23]. Therefore, in China, the irrigated area of cultivated land was 28% more in 2016 than in 1998, and the consumption of total fertilizer, nitrogen, phosphate, and compound fertilizer in 2016 increased by 47%, 3%, 22%, 84%, and 168%, respectively, compared to 1998 (Figure 7E,F). Moreover, Chinese farmers often apply nitrogen fertilizer as “insurance” against low yields [24]. Consequently, the use of chemical fertilizers has been an important factor in the increase in cereal production.
Optimizing crop distribution is an important way to increase productivity on limited farmland, because the increase in the cultivated area of high-yield crops results in an increase in the total grain yield in the region. In this study, the percentage of rice and wheat cultivated area of the cereal cultivated area decreased from 37% to 33% and from 33% to 26%, respectively, during 1998–2016, whilst that of maize increased from 30% to 41%, resulting in the observed increase in cereal production. Maize, as a C4 plant, has a higher yield potential than wheat or rice, and it was widely distributed in northeast, north, northwest, and southwest China [18], where it has played an increasingly vital role in global food security [10]. Maize has nourished humanity and has been developed as an energy crop and as a supply of forage for animal husbandry, as such farmers can earn high economic returns by cultivating maize. Moreover, Davis et al. (2017) found that optimizing the global distribution of major crops reduced the use of green and blue water by 14% and 12%, respectively, relative to existing levels [5]. In addition, the growth season of maize coincides with the precipitation season, which can thus make full use of the rainfall, whereas wheat grows in winter and the spring season with little rainfall. Consequently, the winter wheat cultivated area decreased to cope with water resource shortages in the North China Plain. In this study, cereal production was observed to have significantly increased through the increase in the maize cultivated area over the past 20 years, and there was a significant positive relationship between cereal production and the maize cultivated area (p < 0.0001). Therefore, with limited farmland, optimizing the crop distribution would improve production and resource use efficiency.

5. Conclusions

We evaluated the spatial-temporal variation in production and the cultivated area of cereal, rice, wheat, and maize in China. The production of cereal and maize increased over the past 20 years, while that of rice and wheat was stable. A 52% increase was observed in the maize cultivated area during 1998–2016, and there was a 19% drop in the cultivated wheat area. A significant positive relationship was detected among cereal production, maize production, and cultivated area (p < 0.0001). The resulting increase in cereal production was due to an increase in the cultivated area of maize, suggesting that optimizing crop distribution could improve food supply in China. Our results can be used as a basis to model the interactions between crop cultivated areas and yields, and to quantify the productivity gains and production costs for rice, wheat, and maize as well as to determine the optimal crop arrangements under limited farmland area.

Author Contributions

Conceptualization, Y.W., F.G. and R.Z.; Investigation, Y.W., F.G., G.G., J.Z. and X.W.; Writing—original draft, Y.W.; Writing—review and editing, Y.W.

Funding

This research was funded by the China Postdoctoral Science Foundation, grant number 2018M643749.

Acknowledgments

We are grateful for the constructive comments on this manuscript from the anonymous reviewers and editors.

Conflicts of Interest

The authors declare no conflict of interest.

References

  1. Borg, J.; Kiær, L.P.; Lecarpentier, C.; Goldringer, I.; Gauffreteau, A.; Saint-Jean, S.; Barot, S.; Enjalbert, J. Unfolding the potential of wheat cultivar mixtures: A meta-analysis perspective and identification of knowledge gaps. Field Crop Res. 2018, 221, 298–313. [Google Scholar] [CrossRef]
  2. FAO. FAOSTAT-Agriculture, Food and Agricultural Organizations of the United Nations. 2014. Available online: http://faostat3.fao.org/browse/Q/QC/E (accessed on 26 May 2018).
  3. Nelson, G.; Rosegrant, M.; Palazzo, A.; Gray, I.; Ingersoll, C.; Robertson, R.; Tokgoz, S.; Zhu, T.; Sulser, T.; Ringler, C.; et al. Food Security, Farming and Climate Change to 2050: Scenarios, Results, Policy Options; International Food Policy Research Institute (IFPRI): Washington, DC, USA, 2000; p. 155. [Google Scholar]
  4. Reynolds, M.P.; Braun, H.J.; Cavalieri, A.J.; Chapotin, S.; Davies, W.J.; Ellul, P.; Feuillet, C.; Govaerts, B.; Kropff, M.J.; Lucas, H.; et al. Improving global integration of crop research. Science 2017, 357, 359–360. [Google Scholar] [CrossRef] [PubMed]
  5. Davis, K.F.; Rulli, M.C.; Seveso, A.; D’Odorico, P. Increased food production and reduced water use through optimized crop distribution. Nat. Geosci. 2017, 10, 919–924. [Google Scholar] [CrossRef]
  6. Wang, Z.; Li, J.; Li, Y. Effects of drip system uniformity and nitrogen application rate on yield and nitrogen balance of spring maize in the North China Plain. Field Crop Res. 2014, 159, 10–20. [Google Scholar] [CrossRef]
  7. Lv, S.; Yang, X.; Lin, X.; Liu, Z.; Zhao, J.; Li, K.; Mu, C.; Chen, X.; Chen, F.; Mi, G. Yield gap simulations using ten maize cultivars commonly planted in Northeast China during the past five decades. Agric. For. Meteorol. 2015, 205, 1–10. [Google Scholar] [CrossRef]
  8. Wang, Y.; Zhang, Y.; Ji, W.; Yu, P.; Wang, B.; Li, J.; Han, M.; Xu, X.; Wang, Z. Cultivar mixture cropping increased water use efficiency in winter wheat under limited irrigation conditions. PLoS ONE 2016, 11, e0158439. [Google Scholar] [CrossRef] [PubMed]
  9. Gao, Z.; Liang, X.; Lin, S.; Zhao, X.; Zhang, L.; Zhou, L.; Shen, S.; Zhou, S. Supplemental irrigation at tasseling optimizes water and nitrogen distribution for high-yield production in spring maize. Field Crop Res. 2017, 209, 120–128. [Google Scholar] [CrossRef]
  10. Guo, J.; Wang, Y.; Blaylock, A.D.; Chen, X. Mixture of controlled release and normal urea to optimize nitrogen management for high-yielding (>15 mg ha−1) maize. Field Crop Res. 2017, 204, 23–30. [Google Scholar] [CrossRef]
  11. Wang, Y.; Zhao, Z.; Li, J.; Zhang, M.; Zhou, S.; Wang, Z.; Zhang, Y. Does maize hybrid intercropping increase yield due to border effects? Field Crop Res. 2017, 214, 283–290. [Google Scholar] [CrossRef]
  12. Lazzaro, M.; Costanzo, A.; Bàrberi, P. Single vs. multiple agroecosystem services provided by common wheat cultivar mixtures: Weed suppression, grain yield and quality. Field Crop Res. 2018, 221, 277–297. [Google Scholar] [CrossRef]
  13. Wang, Y.; Zhang, Y.; Zhang, R.; Li, J.; Zhang, M.; Zhou, S.; Wang, Z. Reduced irrigation increases the water use efficiency and productivity of winter wheat-summer maize rotation on the North China Plain. Sci. Total Environ. 2018, 618, 112–120. [Google Scholar] [CrossRef] [PubMed]
  14. Yan, P.; Chen, Y.; Sui, P.; Vogel, A.; Zhang, X. Effect of maize plant morphology on the formation of apical kernels at different sowing dates and under different plant densities. Field Crop Res. 2018, 223, 83–92. [Google Scholar] [CrossRef]
  15. Tong, C.; Hall, C.A.S.; Wang, H. Land use change in rice, wheat and maize production in China (1961–1998). Agric. Ecosyst. Environ. 2003, 95, 523–536. [Google Scholar] [CrossRef]
  16. Zhou, D.; An, P.; Pan, Z.; Zhang, F. Arable land use intensity changes in China from 1985 to 2005: Evidence from integrated cropping systems and agro-economic analysis. J. Agric. Sci. 2012, 150, 179–190. [Google Scholar] [CrossRef]
  17. Xie, H.; Zou, J.; Jiang, H.; Zhang, N.; Choi, Y. Spatiotemporal pattern and driving forces of arable land-use intensity in China: Toward sustainable land management using emerge analysis. Sustainability 2014, 6, 3504–3520. [Google Scholar] [CrossRef]
  18. Zhang, Y.; Wang, Y.; Niu, H. Spatial-temporal variations in the areas suitable for the cultivation of rice and maize in China under future climate scenarios. Sci. Total Environ. 2017, 601, 518–531. [Google Scholar]
  19. Meng, Q.; Chen, X.; Lobell, D.B.; Cui, Z.; Zhang, Y.; Yang, H.; Zhang, F. Growing sensitivity of maize to water scarcity under climate change. Sci. Rep. 2016, 6, 19605. [Google Scholar] [CrossRef] [PubMed]
  20. NBS. China’s National Bureau of Statistics. 2017. Available online: http://www.stats.gov.cn/tjsj/ndsj/zgnj/2000/L24c.htmhttp://faostat3.fao.org/browse/Q/QC/E (accessed on 19 April 2018).
  21. SAS Institute Inc. SAS/STAT® 13.1 User’s Guide; SAS Institute Inc.: Cary, NC, USA, 2013. [Google Scholar]
  22. Gao, Z.; Liu, J.; Zhuang, D. The dynamic change of the gravity center of the farmland area and the quality of the farmland ecological background in China. J. Nat. Res. 1998, 13, 17–22. [Google Scholar]
  23. Wang, Q.; Halbrendt, C.; Johnson, S.R. Grain production and environmental management in China’s fertilizer economy. J. Environ. Manag. 1995, 47, 283–296. [Google Scholar] [CrossRef]
  24. Cui, Z.; Zhang, F.; Chen, X.; Dou, Z.; Li, J. In-season nitrogen management strategy for winter wheat: Maximizing yields, minimizing environmental impact in an over-fertilization context. Field Crop Res. 2010, 116, 140–146. [Google Scholar] [CrossRef]

Article Metrics

Citations

Article Access Statistics

Multiple requests from the same IP address are counted as one view.