Effect of Aviation Spray Adjuvants on Defoliant Droplet Deposition and Cotton Defoliation Efficacy Sprayed by Unmanned Aerial Vehicles
Abstract
1. Introduction
2. Materials and Methods
2.1. Materials
2.1.1. Defoliant and Reagents
2.1.2. Instruments and Equipment
2.1.3. Field Plots
2.2. Experimental Treatment
2.2.1. Effect of Aviation Spray Adjuvants on Defoliation Effect
2.2.2. Effects of Aviation Spray Adjuvants on Droplet Distribution in Cotton Canopy
2.2.3. Defoliation and Boll Opening
2.2.4. Attachment and Absorption
2.2.5. Yield Characteristics and Fiber Quality
2.3. Data Statistics and Processing
3. Results and Discussion
3.1. Effect of Aviation Spray Adjuvants on Droplet Deposition
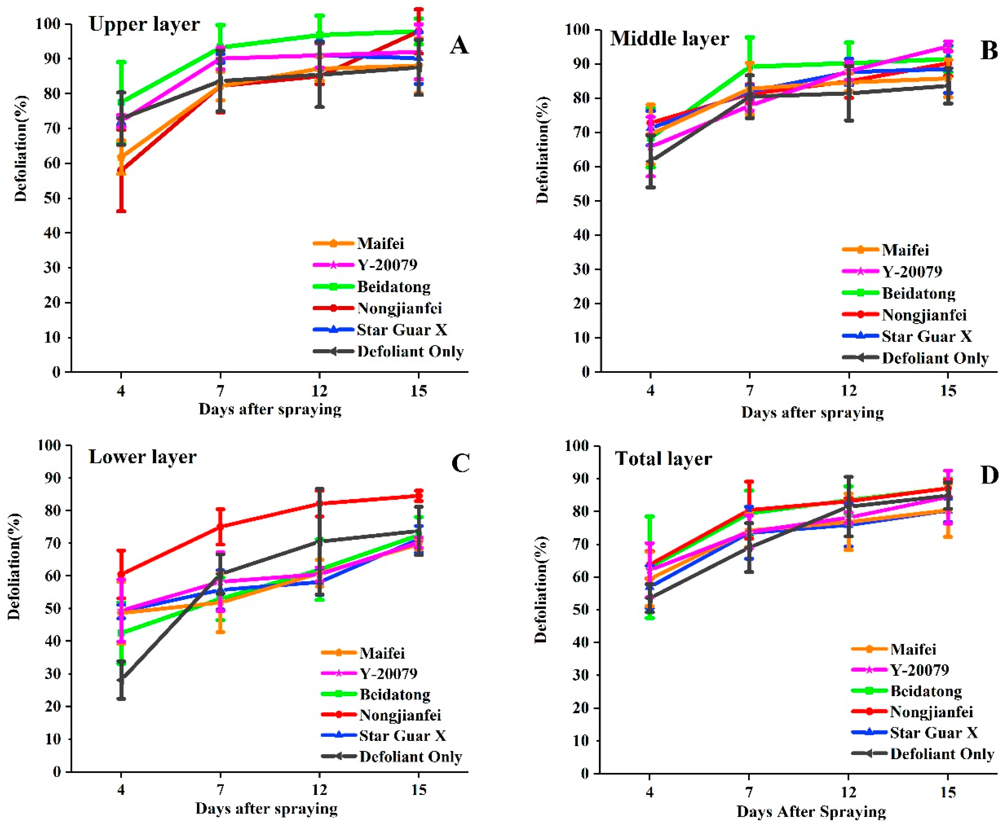
3.2. Effect of Aviation Spray Adjuvants on Defoliation and Boll Opening
3.3. Effect of Aviation Spray Adjuvants on Retention of Thidiazuron and Diuron
3.4. Effect of Aviation Spray Adjuvants on Cotton Yield Characteristics and Fiber Quality
4. Conclusions
Supplementary Materials
Author Contributions
Funding
Acknowledgments
Conflicts of Interest
References
- Bai, Y.; Mao, S.C.; Tian, L.W.; Li, L.; Dong, H.Z. Advances and Prospects of High-Yielding and Simplified Cotton Cultivation Technology in Xinjiang Cotton-Growing Area. Sci. Agr. Sin. 2017, 50, 38–50. [Google Scholar]
- National Bureau of Statistics. Announcement of the National Bureau of Statistics on Cotton Production in 2018. Available online: http://www.stats.gov.cn/tjsj/zxfb/201812/t20181229_1642170.html (accessed on 29 December 2018).
- Yu, S.X.; Zhang, L.; Feng, W.J. Study on Strategy of Large Scale, Mechanization, Informationization, Intelligence and Social Services for Cotton Production. Eng. Sci. 2016, 18, 137–148. [Google Scholar]
- Qin, W.C.; Xue, X.Y.; Cui, L.F.; Zhou, Q.Q.; Xu, Z.F.; Chang, F.L. Optimization and test for spraying parameters of cotton defoliant sprayer. Int. J. Agric. & Biol. Eng. 2016, 9, 63–72. [Google Scholar]
- He, X.K.; Jane, B.; Andreas, H.; Jan, L. Recent development of unmanned aerial vehicle for plant protection in East Asia. Int. J. Agric. & Biol. Eng. 2017, 10, 18–30. [Google Scholar]
- Yuan, H.Z.; Xue, X.Y.; Yan, X.J.; Qin, W.C.; Kong, X.; Zhou, Y.Y.; Wang, M.; Gao, S.C. Applications and prospects in the unmanned aerial system for low-altitude and low-volume spray in crop protection. Plant Prot. 2018, 44, 152–158. [Google Scholar]
- Wang, G.B.; Lan, Y.B.; Qi, X.X.; Chen, P.C.; Hewitt, A.J.; Han, Y.X. Field evaluation of an unmanned aerial vehicle (UAV) sprayer: Effect of spray volume on deposition and the control of pests and disease in wheat. Pest Manag. Sci. 2019, 9, 218. [Google Scholar] [CrossRef] [PubMed]
- Wang, J.; Lan, Y.B.; Zhang, H.H.; Zhang, Y.L.; Wen, S.; Yao, W.X.; Deng, J.J. Drift and deposition of pesticide applied by UAV on pineapple plants under different meteorological conditions. Int. J. Agric. & Biol. Eng. 2018, 11, 5–12. [Google Scholar]
- Lou, Z.X.; Xin, F.; Han, X.Q.; Lan, Y.B.; Duan, T.Z.; Fu, W. Effect of Unmanned Aerial Vehicle Flight Height on Droplet Distribution, Drift and Control of Cotton Aphids and Spider Mites. Agronomy 2018, 8, 187. [Google Scholar] [CrossRef]
- Qin, W.C.; Xue, X.Y.; Zhang, S.M.; Gu, W.; Wang, B.K. Droplet deposition and efficiency of fungicides sprayed with small UAV against wheat powdery mildew. Int. J. Agric. & Biol. Eng. 2018, 11, 27–32. [Google Scholar]
- Qin, W.C.; Qiu, B.J.; Xue, X.Y.; Chen, C.; Xu, Z.F.; Zhou, Q.Q. Droplet deposition and control effect of insecticides sprayed with an unmanned aerial vehicle against plant hoppers. Crop Prot. 2017, 85, 79–88. [Google Scholar] [CrossRef]
- Xue, X.Y.; Tu, K.; Qin, W.C.; Lan, Y.B.; Zhang, H.H. Drift and deposition of ultra-low altitude and low volume application in paddy field. Int. J. Agric. & Biol. Eng. 2014, 7, 23–28. [Google Scholar]
- Spanoghe, P.; Schampheleire, M.D.; Meeren, P.V.; Steurbaut, W. Influence of agricultural adjuvants on droplet apectra. Pest Manag. Sci. 2007, 63, 4–16. [Google Scholar] [CrossRef]
- Zhang, C.H.; Zhang, Z.L.; Liu, N.; Liu, C.Q. The role of pesticide spray adjuvants s and research development of vegetable oil spray adjuvants. Chin. J. Pestic. Sci. 2012, 33, 16–18. [Google Scholar]
- Balsari, P.; Grella, M.; Marucco, P.; Matta, F.; Miranda-Fuentes, A. Assessing the influence of air speed and liquid flow rate on the droplet size and homogeneity in pneumatic spraying. Pest Manag. Sci. 2019, 75, 366–379. [Google Scholar] [CrossRef]
- Nuyttens, D.; Baetens, K.; De Schampheleire, M.; Sonck, B. Effect of nozzle type, size and pressure on spray droplet characteristics. Biosyst. Eng. 2007, 97, 333–345. [Google Scholar] [CrossRef]
- Miranda-Fuentes, A.; Marucco, P.; Gonzalez-Sanchez, E.J.; Gil, E.; Grella, M.; Balsari, P. Developing strategies to reduce spray drift in pneumatic spraying vineyards: Assessment of the parameters affecting droplet size in pneumatic spraying. Sci. Total Environ. 2018, 805–815. [Google Scholar] [CrossRef]
- Guler, H.; Zhu, H.; Ozkan, H.E.; Derksen, R.C.; Yu, Y.; Krause, C.R. Spray characteristics and drift reduction potential with air induction and conventional flat fan nozzles. Trans. ASABE 2007, 50, 745–754. [Google Scholar] [CrossRef]
- Van de Zande, J.C.; Holterman, H.J.; Wenneker, M. Nozzle classification for drift reduction in orchard spraying: Identification of drift reduction class threshold nozzles. Agric. Engin. Int: CIGR E J. 2008, 253–260. [Google Scholar] [CrossRef]
- Grella, M.; Gil, E.; Balsari, P.; Marucco, P.; Gallart, M. Advances in developing a new test method to assess spray drift potential from air blast sprayers. Span. J. Agric. Res. 2017, 15, e0207. [Google Scholar] [CrossRef]
- Balsari, P.; Marucco, P.; Tamagnone, M. A test bench for the classification of boom sprayers according to drift risk. Crop Prot. 2007, 26, 1482–1489. [Google Scholar] [CrossRef]
- Nuyttens, D.; Zwertvaegher, I.K.A. and Dekeyserm D. Spray drift assessment of different application techniques using a drift test bench and comparison with other assessment methods. Biosyst. Eng. 2017, 154, 14–24. [Google Scholar] [CrossRef]
- Combellack, J.H. Loss of herbicides from ground sprayers. Weed Res. 1982, 22, 193–204. [Google Scholar] [CrossRef]
- Wang, X.N.; He, X.K.; Song, J.L.; Wang, Z.C.; Wang, C.L.; Wang, S.L.; Wu, R.C.; Meng, Y.H. Drift potential of UAV with adjuvants in aerial applications. Int. J. Agric. & Biol. Eng. 2018, 11, 54–58. [Google Scholar]
- Meng, Y.H.; Lan, Y.B.; Mei, G.Y.; Guo, Y.W.; Song, J.L.; Wang, Z.G. Effect of aerial spray adjuvant applying on the efficiency of small unmanned aerial vehicle for wheat aphids control. Int. J. Agric. & Biol. Eng. 2018, 11, 46–53. [Google Scholar]
- Gao, S.C.; Zhou, X.X.; Qin, W.C.; Han, P.; Yan, X.J.; Xue, X.Y.; Yuan, H.Z. Using a wind tunnel test to evaluate the effect of spray adjuvant on droplet drift during aerial low volume insecticide spraying. Chin. J. App. Entomol. 2018, 55, 654–658. [Google Scholar]
- Wang, L.J.; Liu, W.L.; Pan, Z.P.; Li, C.Y.; Zhang, Y.P.; Zhu, T.S.; Huang, S.H.; Liao, Y.L. The influence of adjuvants on the characteristics of aerial spraying about the emanectin benzoate ME and the control efficacy of the thrips. J. Environ. Entomol. 2017, 39, 940–944. [Google Scholar]
- He, L.; Wang, G.B.; Hu, T.; Meng, Y.H.; Yan, X.J.; Yuan, H.Z. Influences of spray adjuvants and spray volume on the droplet deposition distribution with unmanned aerial vehicle (UAV) spraying on rice. J. Plant Prot. 2017, 44, 1046–1052. [Google Scholar]
- Zhang, R.R.; Zhang, Z.; Xu, G.; Chen, L.P.; Hewitt, A. Effect of spray adjuvant types and concentration on nozzle atomization. Trans. CSAE 2018, 34, 36–43. [Google Scholar]
- Massinon, M.; De Cock, N.; Forster, W.A.; Nairn, J.J.; McCue, S.W.; Zabkiewicz, J.A.; Lebeau, F. Spray droplet impaction outcomes for different plant species and spray formulations. Crop Prot. 2017, 99, 65–75. [Google Scholar] [CrossRef]
- Qin, W.C.; Xue, X.Y.; Cui, L.F.; Zhou, Q.Q.; Xu, Z.F.; Chang, F.L.; Yao, K.H. Optimization and test for spraying parameters of cotton defoliant sprayer. J. Chin. Agr. Mechan. 2017, 38, 25–32. [Google Scholar]
- Xin, F.; Zhao, J.; Zhou, Y.T.; Wang, G.B.; Han, X.Q.; Fu, W.; Deng, J.Z.; Lan, Y.B. Effects of Dosage and Spraying Volume on Cotton Defoliants Efficacy: A Case Study Based on Application of Unmanned Aerial Vehicles. Agronomy 2018, 8, 85. [Google Scholar] [CrossRef]
- Ma, Y.; Ren, X.L.; Meng, Y.H.; Song, J.L.; Ma, D.Y.; Liu, Z.; Fu, W.; Jiang, W.L.; Hu, H.Y.; Wang, D.; et al. Review on Result of Spraying Defoliant by Unmanned Aerial Vehicles in Cotton Field of Xinjiang. China Cotton 2016, 43, 16–20. [Google Scholar]
- Hu, H.Y.; Ren, X.L.; Ma, X.Y.; Jiang, W.L.; Ma, Y.J.; Wang, D.; Ma, Y. Comparison of Defoliation Effects between Unmanned Air Vehicle Spraying and Artificial Spraying in Cotton Field. China Cotton 2018, 45, 13–15. [Google Scholar]
- Wang, Z.; Feng, H.Z.; Wang, L.; Ma, X.Y.; Gou, C.Q.; Xiao, H.B.; Huang, Q. Effects Comparison of Different Defoliants Applied by Dajiang MG-1S Unmanned Air Vehicle in Cotton Field. China Cotton 2018, 45, 27–28. [Google Scholar]
- Zhu, H.P.; Salyani, M.; Fox, R.D. A portable scanning system for evaluation of spray deposit distribution. Comput. Electron. Agr. 2011, 76, 38–43. [Google Scholar] [CrossRef]
- Berger-Neto, A.; Jaccoud-Filho, D.S.; Wutzki, C.R. Effect of spray droplet size, spray volume and fungicide on the control of white mold in soybeans. Corp Prot. 2017, 92, 190–197. [Google Scholar] [CrossRef]
- Klein, R.N.; Golus, J.A.; Nelms, K.L. The Effect of Adjuvants, Pesticide Formulation and Spray Nozzle Tips on Spray Droplet Size. J. ASTM Int. 2009, 6, 1–7. [Google Scholar] [CrossRef]
- Nuyttens, D.; Zwertvaegher, I.; Dekeyser, D. Comparison between drift test bench results and other drift assessment techniques. Asp. App. Bio. 2014, 122, 293–301. [Google Scholar]
- Ferguson, J.C.; Chechetto, R.G.; Hewitt, A.J. Assessing the deposition and canopy penetration of nozzles with different spray qualities in an oat (Avena sativa L.) canopy. Crop Prot. 2016, 81, 14–19. [Google Scholar] [CrossRef]
- Chen, S.D.; Lan, Y.B.; Bradley, K.F.; Li, J.Y.; Liu, A.M.; Mao, Y.D. Effect of Wind Field below Rotor on Distribution of Aerial Spraying Droplet Deposition by Using Multi-rotor UAV. Trans. CSAM 2017, 48, 105–112. [Google Scholar]
- Li, J.Y.; Lan, Y.B.; Shi, Y.Y. Research progress on airflow characteristics and field pesticide application system of rotary-wing UAV. Trans. CSAE 2018, 34, 104–118. [Google Scholar]
- Firtz, B.K. Meteorological effects on deposition and drift of aerially applied sprays. Trans. ASABE 2006, 49, 1295–1301. [Google Scholar] [CrossRef]
- Tian, J.S.; Zhang, X.Y.; Yang, Y.L.; Yang, C.X.; Xu, S.Z.; Zuo, W.Q.; Zhang, W.F.; Dong, H.Y.; Jiu, X.L.; Yu, Y.C.; et al. How to reduce cotton fiber damage in the Xinjiang China. Ind. Crop. Prod. 2017, 109, 803–811. [Google Scholar] [CrossRef]






| Adjuvant | Chemical Structure Type | Manufacturer |
|---|---|---|
| Y-20079 | Organosilicone | Momentive (Shanghai) Trading Co., Ltd., Shanghai, China |
| Maifei | Vegetable oil | Grand AgroChem Co., Ltd., Beijing, China |
| Beidatong | Vegetable oil | Hebei Mingshun Agricultural Technology Co., Ltd., Shijiazhuang, China |
| Nongjianfei | High molecular polymer | Guilin Jiqi Group Co., Ltd., Guilin, China |
| Star Guar X | High molecular polymer | Solvay Chemical Shanghai Co., Ltd., Shanghai, China |
| Treatment | Aviation Spray Adjuvants a | Aviation Spray Adjuvants Dosage(mL/ha b) |
|---|---|---|
| 1 | Beidatong | 300 |
| 2 | Nongjianfei | 150 |
| 3 | Star Guar X | 75 |
| 4 | Maifei | 150 |
| 5 | Y-20079 | 150 |
| Compound | Added Concentration(mg/kg) | Recovery Rate (%) a | Average Recovery Rate (%) | RSD (%) | ||
|---|---|---|---|---|---|---|
| 1 | 2 | 3 | ||||
| Thidiazuron | 0.05 | 117.52 | 98.35 | 112.55 | 108.67 | 8.70 |
| 0.50 | 90.45 | 97.51 | 105.60 | 96.67 | 7.27 | |
| 1.00 | 102.58 | 105.43 | 106.55 | 104.33 | 2.00 | |
| Diuron | 0.05 | 103.13 | 92.85 | 98.91 | 97.33 | 5.17 |
| 0.50 | 115.53 | 99.85 | 97.83 | 104.40 | 9.28 | |
| 1.00 | 96.41 | 112.65 | 98.58 | 101.33 | 7.47 | |
| Date of Spraying | Cotton Canopy | Aviation Spray Adjuvants | Coverage Rate (%) | Droplet Density(Number of Impacts /cm2) | Mean Impacts Dimension (μm) |
|---|---|---|---|---|---|
| 15 September 2018 | Upper layer | Beidatong | 1.31 c | 72.03 a | 555.43 b |
| Nongjianfei | 3.63 a | 20.03 b | 474.71 c | ||
| Star Guar X | 2.07 bc | 29.30 b | 526.29 bc | ||
| Maifei | 2.92 ab | 34.46 b | 529.29 b | ||
| Y-20079 | 2.53 abc | 27.83 b | 803.43 a | ||
| Defoliant only | 1.83 bc | 18.70 b | 341.29 d | ||
| Middle layer | Beidatong | 1.91 a | 69.01 a | 639.29 ab | |
| Nongjianfei | 1.40 a | 29.15 b | 540 b | ||
| Star Guar X | 0.96 a | 12.53 b | 692.57 a | ||
| Maifei | 1.62 a | 46.26 ab | 565.29 b | ||
| Y-20079 | 1.63 a | 19.03 b | 663.71 ab | ||
| Defoliant only | 1.55 a | 12.92 b | 409.71 c | ||
| Lower layer | Beidatong | 0.52 a | 44.50 a | 500.57 b | |
| Nongjianfei | 1.16 a | 18.53 a | 459.57 bc | ||
| Star Guar X | 1.31 a | 32.51 a | 597.29 a | ||
| Maifei | 0.94 a | 22.30 a | 495.29 b | ||
| Y-20079 | 1.85 a | 17.16 a | 488.57 bc | ||
| Defoliant only | 1.34 a | 25.70 a | 365.57 c | ||
| 22 September 2018 | Middle layer | Beidatong | 2.51 ab | 31.34 a | 695.71 ab |
| Nongjianfei | 2.63 a | 25.87 a | 678.14 b | ||
| Star Guar X | 2.84 a | 44.79 a | 746.57 a | ||
| Maifei | 2.62 a | 38.68 a | 720.57 a | ||
| Y-20079 | 3.20 a | 21.57 a | 743.57 a | ||
| Defoliant only | 1.40 b | 16.76 a | 578.86 c | ||
| Lower layer | Beidatong | 1.65 a | 83.13 a | 614.29 c | |
| Nongjianfei | 1.38 a | 41.07 b | 602.43 cd | ||
| Star Guar X | 1.61 a | 79.14 a | 875.14 a | ||
| Maifei | 1.99 a | 82.39 a | 658.57 bc | ||
| Y-20079 | 1.47 a | 57.83 ab | 737.0 b | ||
| Defoliant only | 1.46 a | 6.01 c | 452.14 d |
| Aviation Spray Adjuvants | CV (%) | |||||||
|---|---|---|---|---|---|---|---|---|
| First Spraying | Second Spraying | Average | ||||||
| Upper Layer | Middle Layer | Lower Layer | Average | Middle Layer | Lower Layer | Average | ||
| Beidatong | 79.59 | 84.41 | 44.27 | 69.42 | 56.13 | 42.53 | 49.33 | 59.38 |
| Nongjianfei | 94.76 | 55.53 | 80.65 | 76.98 | 57.95 | 35.71 | 46.83 | 61.91 |
| Star Guar X | 64.47 | 49.93 | 115.67 | 76.69 | 62.68 | 33.25 | 47.97 | 62.33 |
| Maifei | 96.22 | 30.93 | 45.02 | 57.39 | 77.03 | 38.07 | 57.55 | 57.47 |
| Y-20079 | 45.73 | 42.38 | 65.17 | 51.09 | 36.73 | 29.22 | 32.98 | 42.04 |
| Control | 62.67 | 68.23 | 70.14 | 67.01 | 29.30 | 18.82 | 24.06 | 45.54 |
| Treatment | Days After First Spraying (%) | ||||
|---|---|---|---|---|---|
| 0 | 4 | 7 | 12 | 15 | |
| Beidatong | 42.38 a | 71.66 a | 82.85 a | 90.88 a | 94.73 a |
| Nongjianfei | 43.12 a | 45.69 b | 72.24 ab | 85.46 ab | 91.87 a |
| Star Guar X | 42.11 a | 61.89 ab | 85.49 a | 88.76 a | 90.61 a |
| Maifei | 41.16 ab | 70.93 a | 86.79 a | 89.77 a | 95.89 a |
| Y-20079 | 43.77 a | 64.71 a | 80.10 a | 88.80 a | 92.48 ab |
| CK | 40.98 b | 44.36 b | 61.45 b | 68.86 b | 75.94 b |
| Treatment | BW (g) | UHML (mm) | UI (%) | Mic | Str (cN·tex-1) | Elg (%) | MR | SFI |
|---|---|---|---|---|---|---|---|---|
| Beidatong | 5.12 c | 28.32 a | 84.40 a | 5.17 bc | 28.35 c | 6.85 a | 913.33 bc | 0.85 a |
| Nongjianfei | 5.13 c | 29.13 a | 83.00 b | 5.23 b | 28.47 bc | 6.83 a | 1347.67 a | 0.85 a |
| Star Guar X | 5.37 ab | 26.63 c | 83.87 ab | 5.40 ab | 27.80 c | 6.77 a | 1107.33 ab | 0.85 a |
| Maifei | 5.39 ab | 26.39 c | 81.43 c | 5.51 a | 26.33 c | 6.63 a | 1072.67 abc | 0.85 a |
| Y-20079 | 5.1 c | 27.84 b | 82.85 bc | 5.10 c | 28.95 b | 6.90 a | 1001.33 bc | 0.85 a |
| CK | 5.63 a | 28.25 ab | 83.35 ab | 4.89 c | 29.60 a | 6.75 a | 785.33 c | 0.85 a |
© 2019 by the authors. Licensee MDPI, Basel, Switzerland. This article is an open access article distributed under the terms and conditions of the Creative Commons Attribution (CC BY) license (http://creativecommons.org/licenses/by/4.0/).
Share and Cite
Xiao, Q.; Xin, F.; Lou, Z.; Zhou, T.; Wang, G.; Han, X.; Lan, Y.; Fu, W. Effect of Aviation Spray Adjuvants on Defoliant Droplet Deposition and Cotton Defoliation Efficacy Sprayed by Unmanned Aerial Vehicles. Agronomy 2019, 9, 217. https://doi.org/10.3390/agronomy9050217
Xiao Q, Xin F, Lou Z, Zhou T, Wang G, Han X, Lan Y, Fu W. Effect of Aviation Spray Adjuvants on Defoliant Droplet Deposition and Cotton Defoliation Efficacy Sprayed by Unmanned Aerial Vehicles. Agronomy. 2019; 9(5):217. https://doi.org/10.3390/agronomy9050217
Chicago/Turabian StyleXiao, Qinggang, Fang Xin, Zhaoxia Lou, Tingting Zhou, Guobin Wang, Xiaoqiang Han, Yubin Lan, and Wei Fu. 2019. "Effect of Aviation Spray Adjuvants on Defoliant Droplet Deposition and Cotton Defoliation Efficacy Sprayed by Unmanned Aerial Vehicles" Agronomy 9, no. 5: 217. https://doi.org/10.3390/agronomy9050217
APA StyleXiao, Q., Xin, F., Lou, Z., Zhou, T., Wang, G., Han, X., Lan, Y., & Fu, W. (2019). Effect of Aviation Spray Adjuvants on Defoliant Droplet Deposition and Cotton Defoliation Efficacy Sprayed by Unmanned Aerial Vehicles. Agronomy, 9(5), 217. https://doi.org/10.3390/agronomy9050217

