Next Article in Journal
Ground Truthing and Physiological Validation of Vis-NIR Spectral Indices for Early Diagnosis of Nitrogen Deficiency in cv. Barbera (Vitis vinifera L.) Grapevines
Previous Article in Journal
The Potential Role of Cobalt and/or Organic Fertilizers in Improving the Growth, Yield, and Nutritional Composition of Moringa oleifera
 
 
Font Type:
Arial Georgia Verdana
Font Size:
Aa Aa Aa
Line Spacing:
Column Width:
Background:
Article

From Emergence to Flowering: Four Beet (Beta vulgaris ssp.) Cultivars’ Phenological Response to Seed Priming

Department of Agroecology, Aarhus University, 4200 Slagelse, Denmark
*
Author to whom correspondence should be addressed.
Agronomy 2019, 9(12), 863; https://doi.org/10.3390/agronomy9120863
Submission received: 18 November 2019 / Revised: 5 December 2019 / Accepted: 6 December 2019 / Published: 10 December 2019
(This article belongs to the Section Crop Breeding and Genetics)

Abstract

Beta vulgaris comprise various variety groups that are cultivated for vegetative or reproductive production. As a biennial crop, beets have a photothermal induction requirement for the transition from the vegetative to the reproductive stage. Bolting and flowering are not desirable when beets are cultivated for vegetative production and are suppressed during breeding programs, though these structures are important in seed production. Therefore, the potential of seed hydro priming as an enhancement technique to partially induce vernalization in seeds was evaluated. Following hydro priming, seeds were sown in October 2018 and evaluated during three selected phenological stages. Treating seeds with hydro priming significantly improved the emergence rate in all four tested cultivars. Moreover, treatments significantly lowered the required growing degree days (GDD) for transition to the reproductive stage in all four tested cultivars. Regardless of the treatment effect on an individual developmental stage, the treatment efficiency should be evaluated on the whole production process, depending on the purpose of production. The focus of this study was mainly on improvement of seed production performance. The outcome showed the potential of priming to influence the reproductive stages of the plant life cycle rather than just the germination.

1. Introduction

In the earliest records, beets were described as leafy plants (chards). Later, swollen root cultivars were developed. Cultivation of red fodder beet dates back to the 15th century, while the sugar beet has been cultivated since the end of the 18th century [1]. Beta vulgaris is a member of the Amaranthaceae family [2], and comprises a variety of groups of Swiss chard, garden beet (beetroot and red beet), leaf beet, fodder beet, and sugar beet [3].
Each of these groups has a different usage in industry and consumption. In Europe, sugar beet is the main crop for sugar production [3,4]. Moreover, it provides clean energy through bioethanol and the production of hydrogen gas. The high concentrations of betaine and betalain in beetroot has made it a valuable resource for pharmaceutical and food companies [5].
As a biennial crop, beets require a photothermal induction of the transition from the vegetative to the reproductive stage. The first element in this induction is vernalization. Vernalization refers to the plant’s requirement of low temperatures during the rosette stage for the induction of flowering. The range (0–15 °C) and duration (5–20 weeks) of low temperatures play an important role in the extent of vernalization [6,7,8,9,10]. If the extent of vernalization is insufficient, the plant can be devernalized by temperatures above 15 °C immediately following vernalization [11,12].
The completion of vernalization initiates stem elongation. The main stem in beets is called the bolter and the process of stem elongation is termed bolting. The tendency of beets toward bolting varies in different groups of cultivars and even between cultivars of the same variety group [13,14,15]. Rather than vernalization initiation in the plant during the rosette stage, seeds can be affected by the environment, while they are still on the mother plant. If the temperatures drop considerably during flowering and seed ripening, seeds can be partially vernalized [16].
Following bolting, the plants require long days to induce flowering [10,15], and interior (genetic) and exterior (environment and agricultural management) elements can affect this developmental stage [17]. The acquisition of flowering ability can be established in cell memory by degradation of macromolecules and thus maintained until the optimal conditions are available [18]. Generally, flowering of beets occurs over 3–4 weeks. The duration of this stage can affect the range of maturity levels among the harvested seeds [3,8].
Production of beet seeds has various challenges. First, plants need to fulfil the photothermal induction requirement prior to the reproduction stage, which leads to a long seed production process and a delayed breeding cycle. Furthermore, photothermal induction requirements limit the geographical distribution of seed production [19]. Since breeding efforts have focused mostly on the vegetative production of beets, they have centered on the suppression of bolting, due to the negative effect of bolters on yield [3,13,14,15,18].
To increase the number of seed bearers, clipping or topping has been applied on the primary bolters in the seed production process. The purpose of this common technique is to improve the development of side branches, more homogeneous flowering, enhanced synchronization of flowering, and reduced plant height. This technique is usually carried out during the bolting stage by hand or mechanically to improve seed production [3,8].
In Beta vulgaris, seeds develop inside the fruit. This irregular dry body consists of a pericarp and an operculum forming the ovary cap, which covers the true seed. The true seed can consist of 2–5 embryos, which are supported nutritionally by a diploid perisperm, instead of a triploid endosperm [1,3,20,21]. They contain more than one embryo and therefore the seeds are considered multigerm (Figure 1). However, seeds with one embryo (monogerm seeds) have been produced mechanically from the multigerm ones [1]. Eventually, genetically monogerm cultivars were released commercially in the 1960s [22].
Using seeds of a good quality is a crucial factor in attaining fast, uniform, and steady emergence, especially with monogerm seeds [3,23]. Seed enhancement techniques are beneficial in improving the seed performance. Techniques that can be applied to initiate the preliminary process of metabolite activation in the reversible part of germination cycle can also be beneficial. Priming is a seed enhancement technique which has proved to have reliable effects on seed performance [21,23,24,25,26,27,28,29]. In fact, priming regulates hydration of the seeds, but not to the point of radicle protrusion [21,23]. During this procedure, metabolic processes begin, but do not proceed far enough for actual germination [30]. Timing is important in this process to avoid “overpriming”. The probable reason of the occurrence of this phenomena is degradation of Late embryogenesis abundant (LEA) proteins [31].
Different priming techniques can be applied to seeds. The most important factor in these is the priming agent, which can be either water or chemical. Depending on the priming agent, this enhancement technique can be done as hydro priming, osmo priming, bio priming, hormone priming, thermal priming, or solid matrix priming [2,28,29,32,33,34,35,36,37]. The key factors in this procedure are the imbibition time and osmotic potential. Priming enables seeds to emerge quickly and uniformly after sowing, ensuring reliable establishment of the plants [30,38].
Higher germination rate and improved seedling establishment are the notable consequences of seed priming, which have been reported in several studies [21,25,26,28,29,38,39,40]. The probability of a higher yield is closely related to the rapid and uniform emergence of seedlings [26,40]. Therefore, enhanced seed establishment is a beneficial element.
Although seed priming is an old approach, studies of its effects on the later developmental stages are lacking. The objective of this study was to evaluate the phenological response of beet seeds from different variety groups to the priming treatment. The response to priming was evaluated in different developmental stages with the overarching aim to reduce the required growing degree days (GDD) from the emergence to the reproduction stage. The focus of this study was the possible application of this technique in seed production to decrease the photothermal induction requirement.

2. Materials and Methods

Four cultivars of beets (Beta vulgaris ssp.) from a different variety of groups were investigated for their response to seed priming: one sugar beet (SB) cultivar from MariboHilleshög, Holeby, Denmark, two garden beet cultivars, Bull’s Blood (BB) from AdvanSeed ApS and Detroit Beet (DB) from Vikima Seed A/S, Holeby, Denmark, and one Swiss chard cultivar, Fordhook Giant (FG), from Vikima Seed A/S, Holeby, Denmark. Generally, SB, BB, and DB are cultivated for root production, while leaves are the main product in FG.
Since germination inhibitors are present in the pericarp of beet seeds, applying a washing technique prior to enhancement techniques has been recommended [27,41,42,43]. Seeds of each cultivar were washed separately by soaking in water, using a magnetic stirrer for aeration. The washing process lasted 4 h and 40 mL sterile distilled water per gram of seed was used, with a stirring speed of 400 rpm [44]. Seeds were dried back to their initial weight overnight in a laminar flow hood to become ready for the priming procedure. In this study, hydro priming was chosen as the enhancement method.
One gram of washed seeds was hydro primed in 50 mL Falcon tubes, the interiors of which were covered with filter paper and moistened with 4 mL sterile distilled water. Seeds were placed inside the tubes for priming for 8, 16, and 24 h in a growing chamber at 20 °C with continuous light. Inside the growing chamber, Falcon tubes were placed on a mini shaker for agitation at 150 rpm to ensure a homogeneous moistening of the seeds to reach 35% (±3%) moisture content (Equation (1)). After priming, seeds were dried back for one hour at 25 °C, under half speed laminar flow to reach 17%–19% moisture content.
M = [(M1 − M0)/M1] × 100
M is the calculated moisture variation, M1 is the seed weight after priming, M0 is the dry weight before priming, adjusted for the initial moisture content (8.5% ± 0.5%).
One hundred seeds of each treatment were divided into four replicates of 25 seeds each to be sown in pots (23 cm diameter × 30 cm height), along with four replicates of untreated seeds as control. The pots were filled with a potting mixture consisting of field peat, soil, and sand (4:2:1) containing all necessary micro and macro nutrients. After sowing, pots were kept in semi-field conditions, outdoors, but sheltered. This allowed to study of the plants under the natural conditions, except that controlled irrigation was used instead of rain feeding. Sowing was done on 5 October, 2018 and after 40 days the pots were moved to the greenhouse (average temperature 15 °C ± 5 °C) to avoid frost. Pots were irrigated daily, according to their size and the environmental conditions.
After sowing, pots were monitored to observe the start of emergence. To have a transparent interchange of data, decimal codes of the BBCH monograph were used for recording the phenological developmental stages [45]. As the first step, the emergence (BBCH 09) rate was recorded every day for each pot until the time that no more coleoptiles emerged. Since seeds of the cultivars were different in the monogerm (SB) and multigerm (FG, DB, and BB) aspect, the number of emerged seedlings varied considerably between pots. To avoid competition, pots were thinned to four plants in each.
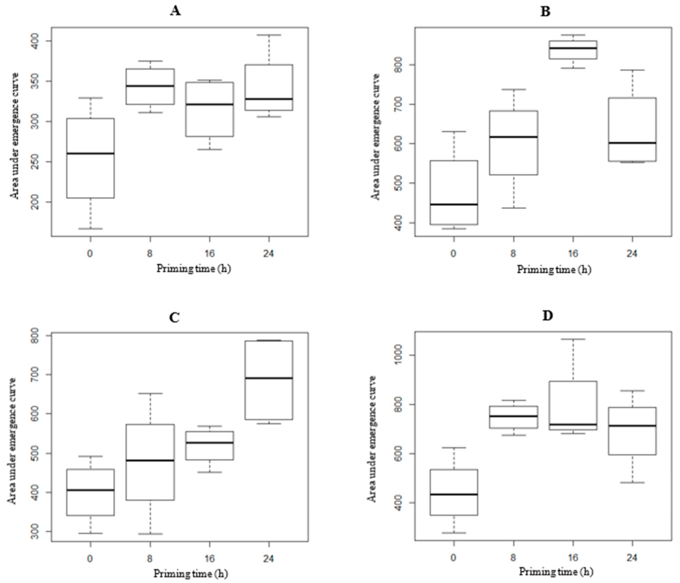
To evaluate the performance of treated seeds in comparison with non-treated controls, the area under the curve (AUC) of the cumulative emergence from sowing (t = 0) to the day of final emergence was calculated. From AUC information regarding the maximum performance, t50, and uniformity is recovered [46,47].
The developmental response of the plants to the treatment was followed during the spring of 2019. The date for the start of the main stem elongation, bolting (BBCH 51) was recorded for each plant and the start of flowering (BBCH 60) was recorded for first plant of each pot. The required GDD from sowing to 50% emergence (E50), from E50 to bolting, and from E50 to flowering was calculated for further analysis of phenological development advancement. Further ΔGDD was calculated (Equation (2)) as the difference in the required GDD from bolting to flowering:
GDD = [ ( T m a x + T m i n ) 2 ] T b a s e
where Tmax and Tmin are daily maximum and minimum temperature, respectively, and Tbase is the base temperature (5 °C). In order to compare the effect of treatment on meristem development, the number of branches on the main stem was counted for each treatment. Flowers form on these branches and their number can be an indicator of future yield.

3. Statistical Analysis

Data analysis was carried out in R [48] by using the built in function lm(). The model was additive with AUC, GDD (required for bolting or flowering), ΔGDD (difference between bolting and flowering), or number of branches as response variables. Explanatory variables were cultivar (n = 4) and priming time (n = 3). Four replicates were evaluated for each treatment. Model reduction was carried out by ANOVA analysis and the model was evaluated by plotting residual plots and sample quantiles against the theoretical quantiles (QQ-plot). Model comparisons were done with ANOVA and pairwise comparisons were done using glht() from the multcomp package [49]. A TUKEY test was done to evaluate the significance of all comparisons.

4. Results

Statistical analysis of the recorded data in three developmental stages (09, 51, and 60) of SB, FG, DB, and BB showed a significant effect for the priming time. Moreover, there was a significant difference between the four cultivars in the response to the priming at different developmental stages. Below, the results of priming have been presented separately according to developmental stage.

4.1. Emergence

Among the four evaluated cultivars, SB is normally monogerm and the others are multigerm with different numbers of embryos (Figure 2). Therefore, the final number of emerged seedlings can be affected by the number of embryos in the fruit. Figure 3A shows the cumulative emergence curve of treated and non-treated SB seeds. The final emergence was higher among treated seeds compared to the control. However, there was no difference between treatments. Among the evaluated cultivars, FG produced more than double the number of emerged seedlings than SB, especially after 16 h priming (Figure 3B). Although DB and BB also have multigerm seeds, the final number of emerged seedlings was similar to the monogerm seeds (Figure 3C,D). In general, the priming treatments increased emergence but in particular for BB seedlings emerged faster and the cumulative emergence was higher than in the untreated control.
In SB the priming treatments reached 50% of the maximum germination (t50) two days faster than the control, while this difference in FG and BB was three days between the best treatment and the control. DB showed the highest difference in t50 of the best treatment and the control, with six days difference.
Statistical analysis of AUC of each treatment showed a significant (p < 0.001) effect of priming time for all cultivars. Figure 4 gives a visual illustration of each cultivars’ AUC. In SB (Figure 4A), plants from treated seeds showed significantly better performance than the control, whereas for FG, 16 h priming (Figure 4B) was the only significant treatment in terms of AUC. In DB (Figure 4C), 24 h priming resulted in faster emergence compared to all other treatments and control. The response in BB (Figure 4D) was different, with all priming times performing equally better than the control.

4.2. Bolting

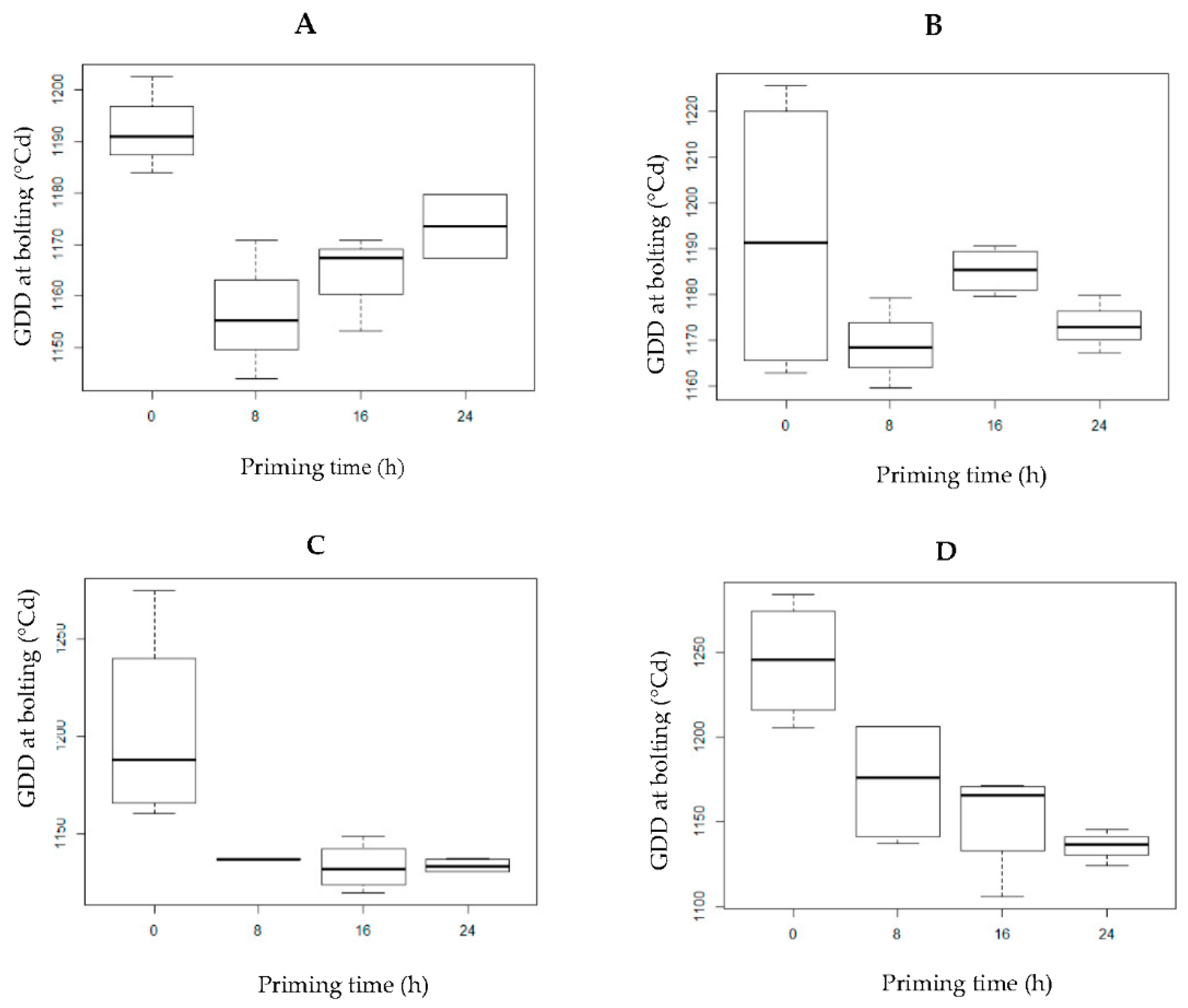
In the bolting stage (BBCH 51) the response to priming was similar to that of the emergence and the interaction effect of cultivar and time was significant (p < 0.001). Statistical analysis was carried out for each cultivar to see the effect of priming time on the required GDD for bolting. Figure 5 shows the effect of cultivar on GDD required for bolting.
The required GDD for bolting in the non-treated seeds of BB (Figure 5D) was higher than the other three cultivars, but this difference disappeared with the priming treatment. Even after 24 h of treating the seeds, BB required the least GDD among the tested cultivars. SB (Figure 5A) and FG (Figure 5B) had less reaction to priming in this stage, even though this difference was significant in SB, as opposed to FG. The required GDD for bolting in DB was similar in all treatment times and significantly lower than the control (Figure 5C). Moreover, there was less variation in the required GDD for bolting. Decreasing the variation in the required GDD leads to uniform bolting, which is a desirable character in seed production.

4.3. Flowering

Homogeneous flowering will lead to more uniform maturity in harvested seeds, which is crucial for seed quality, and therefore a low variation in BBCH 60 is desirable. The statistical analysis of flowering data showed a significant effect of priming time for each cultivar. Figure 6 shows the effect of cultivar on GDD required for flowering. The variation among the non-treated seeds was high in SB (Figure 6A) compared to the primed seeds and in particular to the 24 h treatment. In FG (Figure 6B), 16 h priming was the only effective treatment regarding GDD needed for flowering, both for the amount and the variation among the population. However, the largest difference in the required GDD in response to the treatment, in the flowering stage, was seen in DB and BB (Figure 6C,D). All treatments significantly lowered the GDD required and did not result in a lot of variation in GDD across replicates. Priming seeds for 8 h or 24 h significantly reduced the GDD requirement of BB (Figure 6D) for flowering.

4.4. Required GDD from Emergence to Bolting and Flowering

To study the potential reduction in required GDD for phenological development in the reproductive stages, ΔGDD was calculated as the difference in the required GDD from bolting to flowering (GDD Bolting-Flowering). Table 1 represents the pairwise comparisons of the difference between the required GDD for emergence with required GDD for bolting/flowering, and the difference between the required GDD for bolting and flowering. These comparisons were made between the treatments with the control for each cultivar.
The statistical analysis of GDD from E50 to Bolting in SB and FG did not show any significance (Table 1). However, this variable was significantly different between plants from all priming times compared to the plants from untreated seeds of DB and BB. SB did not show any significant difference in the other two variables as well. While the required GDD was slightly lower in 16 h priming time in FG regarding to GDD from E50 to Flowering and ΔGDD from bolting to flowering (p < 0.1).
For DB, 8 and 24 h priming significantly reduced the required GDD from E50 to flowering, same as GDD difference between bolting and flowering. The significance of the results for GDD from E50- to Flowering in BB was similar as DB, although for GDD from bolting to flowering 16 h priming showed high significance difference (p < 0.001). There was a notable difference in pairwise comparison of 8 and 24 h priming with the control (p < 0.1).

4.5. Side Branches

Evaluated cultivars in this study were different in the number of side branches. Plants from untreated seeds of BV and DB produced more branches (30 ± 2), while the number of branches in the subsequent plants from untreated seeds in FG had around 10 and BB had around 15 side branches (data not shown).
Despite the fact that the number of branches was higher for some of the treatments, this difference was not statistically significant. The pairwise comparison showed the significant effect of 16 h priming in FG and DB on the number of side branches. Figure 7 shows the difference in the number of branches between the control and treatments in FG.

5. Discussion

The effect of seed priming on emergence has been the subject of previous studies in different plants species and many studies have demonstrated the effect of this seed enhancement technique on emergence [28,39,50,51]. However, the response to priming depends on different seed morphological aspects such as cultivar, initial quality, and maturity, as well as the priming technique itself [30,52]. Species with high heterogeneity among the seeds can benefit more from priming [53]. In fact, priming tends to be more effective in seeds with low vigor comparing to high-vigor seeds [30]. The result of the present study (Figure 3) was in line with the previous study, which showed primed sugar beet seeds starting the emergence 2 to 4 days earlier compared to non-treated seeds [15].
Since seed priming studies were mostly carried out in sugar beet to stimulate the vegetative production, where bolting is not a desirable feature, the main attention has been to avoid or reduce the number of bolters. Durrant and Mash (1990) reported an increased bolting rate in thiram-steeped seeds of sugar beet [54], and Stout and Owen (1942) also reported an increased bolting in primed sugar beet seeds from a two-year experiment carried out in three sites in the western US [15]. The priming treatment aimed at vernalizing the seeds and the authors found an advancement of flowering of one month compared to plants grown from untreated seeds, when plants were grown in the greenhouse. Contrary, plants from the same treatments did not show a significant change in their reproduction development under field conditions [15].
To the best of our knowledge, in the seed priming studies there is a knowledge gap regarding the required GDD for bolting and flowering fulfilment. In the previous study on sugar beet [15], one month reduction in the flowering time was recorded, although the environmental conditions were not mentioned. These conditions could affect the amount of received GDD by the plants. In the present study, attempts were directed at filling this gap for four beta cultivars of which three are minor vegetable crops and therefore less studied than sugar beet.
In SB, all of the priming treatments had a positive effect on the emergence; however, since bolting was advanced, the applied seed priming treatments are non-beneficial for SB root production, while they are positive in SB seed production. The vegetative production of FG does not appear to benefit from priming. Yet, 16 h priming can improve seed production by affecting the emergence and flowering stage. Even the number of branches was improved by this treatment. The probable reason of variation in response to priming is unreliable determination of priming duration. If the duration of priming exceeds a critical point, the seed begins the irreversible part of the germination process, and this is termed “overpriming”. Rather than beneficial effects, overpriming can have negative results on seed performance.
In the cultivars DB and BB vegetative production, priming is not recommended, contrary to the positive effect of treatments in seed production (Table 2). Among the applied treatments, 24 h priming had positive effects on all evaluated developmental stages in DB. Likewise, nearly all treatments had positive effects on the emergence, bolting, and flowering of BB.
Topping is an apical dominance reduction technique, which should be applied to each plant in the bolting stage. Whether carried out manually or mechanically, this technique is costly and time consuming. The results of this study showed some increase in the number of branches in the plants that were grown from the primed seeds, although this increase was statistically significant just in FG. This increase in the number of branches following the priming treatment showed the potential of this technique as an alternative to topping, but further studies need to be carried out to determine the best priming situation for each cultivar.
Regardless of the effect of treatment on an individual developmental stage, treatment efficiency should be evaluated on the whole production process. Whether a treatment is advantageous or disadvantageous depends on the purpose of production. The conclusion of results is summarized in Table 2.
The novelty of this study is based on the evaluation of the required GDD for bolting and flowering enhancement in different beet cultivars in response to the seed priming prior to sowing. This achievement could be beneficial for further studies of beet phenological development and help in seed production management for minor vegetables crops in the beet variety groups.

6. Conclusions

The outcome of this study showed the potential of priming to influence the phenological stages bolting and flowering rather than just the germination. The treatment effect was significant on the emergence rate and required GDD for bolting and flowering. More homogeneous flowering can be achieved by seed priming, which leads to a better maturity distribution among the harvested seeds, as seeds with more uniform maturity have higher quality. Therefore, more comprehensive studies on the different factors should be carried out to determine the most effective priming method for each cultivar. This is of particular relevance for seed production of minor vegetable seed crops within beet variety groups. The duration of priming plays an important role. If seed priming time exceeds a critical point, the embryo is overprimed and begins the irreversible phase of germination. Rather than being beneficial, overpriming can negatively affect the embryo performance. The molecular basis of overpriming needs to be evaluated in future studies.

Author Contributions

B.B. and Z.S. initiated and designed the research; Z.S. performed the experiments, analyzed data, and wrote the manuscript; B.B. revised and edited the manuscript and also provided advice on the experiments and presentation of results.

Funding

The work was funded by GUDP (Grønt Udviklings- og Demonstrations Program) project J.nr.: 34009-12-0528, the Danish Agricultural Agency under the Ministry of Environment and Food of Denmark.

Acknowledgments

We are grateful to MariboHilleshög, Vikimia Seed and AdvanSeed for providing the seed samples.

Conflicts of Interest

The authors declare no conflict of interest. The funders had no role in the design of the study; in the collection, analyses, or interpretation of data; in the writing of the manuscript, or in the decision to publish the results.

Abbreviations

Area under curveAUC
Growing degree daysGDD
Rotate per minuterpm
Sugar beetSB
Fordhook giantFG
Detroit beetDB
Bull’s bloodBB
Phenological development stagesBBCH derived from Biologische Bundesanstalt, Bundessortenamt and CHemical industry.
Difference in required GDD between Bolting and FloweringΔGDD Bolting-Flowering

References

  1. OECD. Section 8-Sugar Beet (Beta vulgaris L.). In Safety Assessment of Transgenic Organisms; OECD: Paris, France, 2006; Volume 1, ISBN 9789264095380. [Google Scholar]
  2. Hermann, K.; Meinhard, J.; Dobrev, P.; Linkies, A.; Pesek, B.; Heß, B.; Macháčková, I.; Fischer, U.; Leubner-Metzger, G. 1-Aminocyclopropane-1-carboxylic acid and abscisic acid during the germination of sugar beet (Beta vulgaris L.): A comparative study of fruits and seeds. J. Exp. Bot. 2007, 58, 3047–3060. [Google Scholar] [CrossRef] [PubMed]
  3. Draycott, A.P. Sugar Beet; Draycott, A. Philip (Formerly of Broom’s Barn Research Station); Bury St Edmunds, S., Ed.; Blackwell: Suffolk, UK, 2006; ISBN 978-1-4051-1911-5. [Google Scholar]
  4. Curcic, Z.; Ciric, M.; Nagl, N.; Taski-Ajdukovic, K. Effect of Sugar Beet Genotype, Planting and Harvesting Dates and Their Interaction on Sugar Yield. Front. Plant Sci. 2018, 9, 1–9. [Google Scholar] [CrossRef] [PubMed]
  5. Zhang, Y.; Nan, J.; Yu, B. OMICS technologies and applications in sugar beet. Front. Plant Sci. 2016, 7, 1–11. [Google Scholar] [CrossRef] [PubMed]
  6. Abo-Elwafa, S.F.; Abdel-Rahim, H.M.; Abou-Salama, A.M.; Teama, E.A. Sugar beet floral induction and fertility: Effect of vernalization and day-length extension. Sugar Tech 2006, 8, 281–287. [Google Scholar] [CrossRef]
  7. Durrant, M.J.; Mash, S.J.; Jaggard, K.W. Effects of seed advancement and sowing date on establishment, bolting and yield of sugarbeet. J. Agric. Sci. 1993, 121, 333–341. [Google Scholar] [CrossRef]
  8. Kockelmann, A.; Tilcher, R.; Fischer, U. Seed production and processing. Sugar Tech 2010, 12, 267–275. [Google Scholar] [CrossRef]
  9. Mutasa-Göttgens, E.S.; Qi, A.; Zhang, W.; Schulze-Buxloh, G.; Jennings, A.; Hohmann, U.; Müller, A.E.; Hedden, P. Bolting and flowering control in sugar beet: Relationships and effects of gibberellin, the bolting gene B and vernalization. AoB Plant. 2010, 2010, plq012. [Google Scholar] [CrossRef]
  10. Sadeghian, S.Y.; Johansson, E. Genetic study of bolting and stem length in sugar beet (Beta vulgaris L.) using a factorial cross design. Euphytica 1993, 65, 177–185. [Google Scholar] [CrossRef]
  11. Milford, G.F.J.; Jarvis, P.J.; Walters, C. A vernalization-intensity model to predict bolting in sugar beet. J. Agric. Sci. 2010, 148, 127–137. [Google Scholar] [CrossRef]
  12. Taiz, L.; Zeiger, E.; Møller, I.M.; Murphy, A. Plant Physiology and Development, 6th ed.; Sinauer, A., Ed.; Sinauer Associates is an imprint of Oxford University Press: Sunderland, MA, USA, 2015; ISBN 9781605355351. [Google Scholar]
  13. Abe, J.; Guan, G.P.; Shimamoto, Y. A marker-assisted analysis of bolting tendency in sugar beet (Beta vulgaris L.). Euphytica 1997, 94, 137–144. [Google Scholar] [CrossRef]
  14. Höft, N.; Dally, N.; Hasler, M.; Jung, C. Haplotype variation of flowering time genes of sugar beet and its wild relatives and the impact on life cycle regimes. Front. Plant Sci. 2018, 8, 2211. [Google Scholar] [CrossRef] [PubMed]
  15. Stout, M.; Owen, F. Vernalization of Sugar-Beet Seed. American Society of Sugar Beet Technologists. In Proceedings of the 3rd Biennial Meeting, Salt Lake City, UT, USA, 5–7 January 1942; pp. 386–395. [Google Scholar]
  16. Hebblethwaite, P.D. Seed Production; Butterworth-Heinemann Ltd.: Cornell University, Ithaca, NY, USA, 1980; ISBN 0408106212. [Google Scholar]
  17. Mckinney, H.H. Vernalization and the Growth-Phase Concept. Source Bot. Rev. 1940, 6, 25–47. [Google Scholar] [CrossRef]
  18. Hébrard, C.; Peterson, D.G.; Willems, G.; Delaunay, A.; Jesson, B.; Lefèbvre, M.; Barnes, S.; Maury, S. Epigenomics and bolting tolerance in sugar beet genotypes. J. Exp. Bot. 2016, 67, 207–225. [Google Scholar] [CrossRef] [PubMed]
  19. Motoki, K.; Kinoshita, Y.; Hosokawa, M. Non-vernalization flowering and seed set of cabbage induced by grafting onto radish rootstocks. Front. Plant Sci. 2019, 9, 1967. [Google Scholar] [CrossRef] [PubMed]
  20. Agrawal, G.K.; Rakwal, R. Seed Development: OMICS Technologies Toward Improvement of Seed Quality and Crop Yield; Agrawal, G.K., Rakwal, R., Eds.; Springer: New York, NY, USA, 2012; ISBN 9789400747494. [Google Scholar]
  21. Jagosz, B. Priming improves germination of monogerm red beet (Beta vulgaris L.) clusters. J. Anim. Plant Sci. 2018, 28, 770–777. [Google Scholar]
  22. Snyder, F.W. Relation of sugarbeet germination to maturity and fruit moisture at harvest. J. Am. Soc. Sugar Beet Technol. 1971, 16, 541–551. [Google Scholar] [CrossRef]
  23. Michalska-Klimczak, B.; Wyszyński, Z.; Pačuta, V.; Rašovský, M.; Różańska, A. The effect of seed priming on field emergence and root yield of sugar beet. Plant Soil Environ. 2018, 64, 227–232. [Google Scholar]
  24. Chen, K.; Arora, R. Priming memory invokes seed stress-tolerance. Environ. Exp. Bot. 2013, 94, 33–45. [Google Scholar] [CrossRef]
  25. Harris, D.; Joshi, A.; Khan, P.A.; Gothkar, P.; Sodhi, P.S. On-farm seed priming in semi-arid agriculture: Development and evaluation in maize, rice and chickpea in India using participatory methods. Exp. Agric. 1999, 35, 15–29. [Google Scholar] [CrossRef]
  26. Murray, G.; Swensen, J.B. Emergence of sugar beet seedlings at low soil temperature following seed soaking and priming. Hort Sci. 1993, 28, 31–32. [Google Scholar] [CrossRef]
  27. Orzeszko-Rywka, A.; Podlaski, S. The effect of sugar beet seed treatments on their vigour. Plant Soil Environ. 2003, 49, 249–254. [Google Scholar] [CrossRef]
  28. Welbaum, G.E.; Shen, Z.; Oluoch, M.O.; Jett, L.W. The evolution and effects of priming vegetable seeds. Seed Technol. 1998, 20, 209–235. [Google Scholar]
  29. Farooq, M.; Usman, M.; Nadeem, F.; Rehman, H.; Wahid, A.; Basra, S.M.A.; Siddique, K.H.M. Seed priming in field crops: Potential benefits, adoption and challenges. Crop Pasture Sci. 2019, 70, 731–771. [Google Scholar] [CrossRef]
  30. Chomontowski, C.; Wzorek, H.; Podlaski, S. Impact of sugar beet seed priming on seed quality and performance under diversified environmental conditions of germination, emergence and growth. J. Plant Growth Regul. 2019. [Google Scholar] [CrossRef]
  31. Capron, I.; Corbineau, F.; Dacher, F.; Job, C.; Côme, D.; Job, D. Sugarbeet seed priming: Effects of priming conditions on germination, solubilization of 11-S globulin and accumulation of LEA proteins. Seed Sci. Res. 2007, 10, 243–254. [Google Scholar] [CrossRef]
  32. Lutts, S.; Benincasa, P.; Wojtyla, L.; Kubala, S.; Pace, R.; Lechowska, K.; Quinet, M.; Garnczarska, M. Seed Priming: New Comprehensive Approaches for an Old Empirical Technique. In New Challenges in Seed Biology-Basic and Translational Research Driving Seed Technology; Araujo, S., Balestrazzi, A., Eds.; InTech: Rijeka, Croatia, 2016; ISBN 978-953-51-2659-1. [Google Scholar]
  33. Taylor, A.G.; Prusinski, J.; Hill, H.J.; Dickson, M.D. Influence of seed hydration on seedling performance. Horttechnology 1992, 2, 336–344. [Google Scholar] [CrossRef]
  34. Chanthini, K.M.-P.; Stanley-Raja, V.; Thanigaivel, A.; Karthi, S.; Palanikani, R.; Shyam Sundar, N.; Sivanesh, H.; Soranam, R.; Senthil-Nathan, S. Sustainable Agronomic Strategies for Enhancing the Yield and Nutritional Quality of Wild Tomato, Solanum Lycopersicum (l) Var Cerasiforme Mill. Agronomy 2019, 9, 311. [Google Scholar] [CrossRef]
  35. Liu, Y.; Kermode, A.; And El-Kassaby, Y.A.; El-Kassaby, Y.A. The Role of Moist-Chilling and Thermo-Priming on the Germination Characteristics of White Spruce (Picea Glauca) Seed. Seed Sci. & Technol. 2013, 41, 321–335. [Google Scholar]
  36. Alipor, S.; Taghvaei, M.; Jalilian, A.; Kazemeini, A.; Razi, H. Hydro-thermal priming enhance seed germination capacity and seedling growth in sugar beet. Cell. Mol. Biol. 2019, 65, 90–96. [Google Scholar] [CrossRef] [PubMed]
  37. Chiu, K.Y.; Chen, C.L.; Sung, J.M. Effect of priming temperature on storability of primed sh-2 sweet corn seed. Crop Sci. 2002, 42, 1996–2003. [Google Scholar] [CrossRef]
  38. Abdalla, E.; Osman, A.; Maki, M.; Nur, F.; Ali, S.; Aune, J. The Response of Sorghum, Groundnut, Sesame, and Cowpea to Seed Priming and Fertilizer Micro-Dosing in South Kordofan State, Sudan. Agronomy 2015, 5, 476–490. [Google Scholar] [CrossRef]
  39. Nascimento, W.M. Muskmelon seed germination and seedling development in response to seed priming. Sci. Agric. 2003, 60, 71–75. [Google Scholar] [CrossRef]
  40. Coulibaly, A.; Woumou, K.; Aune, J.B. Sustainable Intensification of Sorghum and Pearl Millet Production by Seed Priming, Seed Treatment and Fertilizer Microdosing under Different Rainfall Regimes in Mali. Agronomy 2019, 9, 664. [Google Scholar] [CrossRef]
  41. Morris, P.C.; Grierson, D.; Whittington, W.J. Endogenous inhibitors and germination of Beta vulgaris. J. Exp. Bot. 1984, 35, 994–1002. [Google Scholar] [CrossRef]
  42. Stout, M.; Tolman, B. Interference of ammonia, released from sugar beet seed balls, with laboratory germination tests. J. Am. Soc. Soc. Agron. 1941, 33, 65–69. [Google Scholar] [CrossRef]
  43. Tolman, B.; Stout, M. Toxic effect on germinating sugar-beet seed of water-soluble substances in the seed ball. J. Agric. Res. 1940, 61, 817–830. [Google Scholar]
  44. Salimi, Z.; Boelt, B. Optimization of Germination Inhibitors Elimination from Sugar Beet (Beta vulgaris L.) Seeds of Different Maturity Classes. Agronomy 2019, 9, 763. [Google Scholar] [CrossRef]
  45. Meier, U. Beet. In Growth Stages of Mono—And Dicotyledonous Plants; Federal Biological Research Centre for Agriculture and Forestry: Berlin and Braunschweig, Germany, 2001; p. 158. [Google Scholar]
  46. Brown, R.F.; Mayer, D.G. Representing Cumulative Germination. 1. A Critical Analysis of Single-value Germination Indices. Ann. Bot. 1988, 61, 117–125. [Google Scholar] [CrossRef]
  47. Joosen, R.V.L.; Kodde, J.; Willems, L.A.J.; Ligterink, W.; Van Der Plas, L.H.W.; Hilhorst, H.W.M. GERMINATOR: A software package for high-throughput scoring and curve fitting of Arabidopsis seed germination. Plant J. 2010, 62, 148–159. [Google Scholar] [CrossRef]
  48. CoreDevelopmentTeam R: The R Project for Statistical Computing 2015. Available online: https: //cran.r-project.org/mirrors.html (accessed on 10 September 2017).
  49. Hothorn, T.; Bretz, F.; Westfall, P. Simultaneous inference in general parametric models. Biom. J. 2008, 50, 346–363. [Google Scholar] [CrossRef]
  50. Dastanpoor, N.; Fahimi, H.; Shariati, M.; Davazdahemami, S.; Mojtaba, S.; Hashemi, M. Effects of hydropriming on seed germination and seedling growth in sage (Salvia officinalis L.). Afr. J. Biotechnol. 2013, 12, 1223–1228. [Google Scholar]
  51. Noorhosseini, S.A.; Nargesh, J.K.; Damalas, C.A. Improving seed germination and early growth of garden cress (Lepidium sativum) and basil (Ocimum basilicum) with hydro-priming. J. Plant Growth Regul. 2018, 37, 323–334. [Google Scholar] [CrossRef]
  52. Paparella, S.; Araújo, S.S.; Rossi, G.; Wijayasinghe, M.; Carbonera, D.; Balestrazzi, A. Seed priming: State of the art and new perspectives. Plant Cell Rep. 2015, 34, 1281–1293. [Google Scholar] [CrossRef] [PubMed]
  53. Finch-Savage, W.E.; Bassel, G.W. Seed vigour and crop establishment: Extending performance beyond adaptation. J. Exp. Bot. 2016, 67, 567–591. [Google Scholar] [CrossRef]
  54. Durrant, M.J.; Mash, S.J. Sugar-beet seed treatments and early sowing. Seed Sci. Technol. 1990, 18, 839–850. [Google Scholar]
Figure 1. Monogerm (A) and multigerm (B) beet seed.
Figure 1. Monogerm (A) and multigerm (B) beet seed.
Agronomy 09 00863 g001
Figure 2. Magnified image of four applied beets seeds taken by TAGARNO MAGNUS HD TREND (Horsens, Denmark) digital microscope: (A) sugar beet (SB), (B) Fordhook Giant (FG), (C) Detroit Beet (DB), and (D) Bull’s Blood (BB).
Figure 2. Magnified image of four applied beets seeds taken by TAGARNO MAGNUS HD TREND (Horsens, Denmark) digital microscope: (A) sugar beet (SB), (B) Fordhook Giant (FG), (C) Detroit Beet (DB), and (D) Bull’s Blood (BB).
Agronomy 09 00863 g002
Figure 3. Cumulative emergence curves of four beet cultivars ((A) SB; (B) FG; (C) DB; and (D) BB) as affected by 0, 8, 16, or 24 h priming recorded during emergence period.
Figure 3. Cumulative emergence curves of four beet cultivars ((A) SB; (B) FG; (C) DB; and (D) BB) as affected by 0, 8, 16, or 24 h priming recorded during emergence period.
Agronomy 09 00863 g003aAgronomy 09 00863 g003b
Figure 4. Effect of priming time (0–24 h) on the total area under the emergence curve for four beet cultivars SB (A), FG (B), DB (C), and BB (D).
Figure 4. Effect of priming time (0–24 h) on the total area under the emergence curve for four beet cultivars SB (A), FG (B), DB (C), and BB (D).
Agronomy 09 00863 g004
Figure 5. Effect of priming time (0–24 h) on GDD required for bolting (BBCH 51) in four beet cultivars SB (A), FG (B), DB (C), and BB (D).
Figure 5. Effect of priming time (0–24 h) on GDD required for bolting (BBCH 51) in four beet cultivars SB (A), FG (B), DB (C), and BB (D).
Agronomy 09 00863 g005
Figure 6. Effect of priming time (0–24 h) on GDD required for flowering (BBCH 60) in four beet cultivars SB (A), FG (B), DB (C), and BB (D).
Figure 6. Effect of priming time (0–24 h) on GDD required for flowering (BBCH 60) in four beet cultivars SB (A), FG (B), DB (C), and BB (D).
Agronomy 09 00863 g006
Figure 7. Effect of priming time (0 h (A), 8 h (B), 16 h (C), and 24 h (D)) on the number of branches in FG.
Figure 7. Effect of priming time (0 h (A), 8 h (B), 16 h (C), and 24 h (D)) on the number of branches in FG.
Agronomy 09 00863 g007
Table 1. Pairwise comparisons (Tukey test) of the required GDD in different phenological stages compared to the control as the effect of priming time (8–24 h). The table shows the difference in the required GDD from 50% emergence to bolting (GDD E50-Bolting), and to flowering (GDD E50-Flowering), along with the GDD required from bolting to flowering (ΔGDD Bolting-Flowering) for four beet cultivars SB, FG, DB and BB.
Table 1. Pairwise comparisons (Tukey test) of the required GDD in different phenological stages compared to the control as the effect of priming time (8–24 h). The table shows the difference in the required GDD from 50% emergence to bolting (GDD E50-Bolting), and to flowering (GDD E50-Flowering), along with the GDD required from bolting to flowering (ΔGDD Bolting-Flowering) for four beet cultivars SB, FG, DB and BB.
CultivarPriming Time (h)GDD E50-Bolting (°Cd)GDD E50-Flowering (°Cd)ΔGDD Bolting-Flowering (°Cd)
SB01085.751924.67838.95
81085.19 ns1843.09 ns757.90 ns
161082.06 ns1951.62 ns869.56 ns
241083.26 ns1824.65 ns741.39 ns
FG01077.931745.15667.22
81076.58 ns1782.42 ns725.74 ns
161086.97 ns1608.95521.98
241077.45 ns1751.86 ns674.41 ns
DB01049.781747.08697.30
8  997.81 *1537.02 *539.20 *
16  988.97 **1634.90 ns645.93 ns
24  994.39 *1527.76 **533.38 *
BB01085.721674.09555.06
81056.19 *1559.13 ***502.94
161045.63 **1703.42 ns657.79 **
241015.66 ***1521.82 ***506.16
ns non-significant; p < 0.1; * p < 0.05; ** p < 0.01; *** p < 0.001.
Table 2. Priming time (0–24 h) effect on vegetative and seed production of four beet cultivars SB, FG, DB, and BB. Table shows the positive (+), negative (−), or neutral (0) effect of treatment on emergence, bolting, and flowering stages in the vegetative and seed production.
Table 2. Priming time (0–24 h) effect on vegetative and seed production of four beet cultivars SB, FG, DB, and BB. Table shows the positive (+), negative (−), or neutral (0) effect of treatment on emergence, bolting, and flowering stages in the vegetative and seed production.
CultivarPriming Time (h)Vegetative ProductionSeed Production
EmergenceBoltingFloweringEmergenceBoltingFlowering
SB8+0++0
16+0++0
24++++
FG8000000
16+0+0+
24000000
DB800++
16000+0
24++++
BB8++++
16+0++0
24++++

Share and Cite

MDPI and ACS Style

Salimi, Z.; Boelt, B. From Emergence to Flowering: Four Beet (Beta vulgaris ssp.) Cultivars’ Phenological Response to Seed Priming. Agronomy 2019, 9, 863. https://doi.org/10.3390/agronomy9120863

AMA Style

Salimi Z, Boelt B. From Emergence to Flowering: Four Beet (Beta vulgaris ssp.) Cultivars’ Phenological Response to Seed Priming. Agronomy. 2019; 9(12):863. https://doi.org/10.3390/agronomy9120863

Chicago/Turabian Style

Salimi, Zahra, and Birte Boelt. 2019. "From Emergence to Flowering: Four Beet (Beta vulgaris ssp.) Cultivars’ Phenological Response to Seed Priming" Agronomy 9, no. 12: 863. https://doi.org/10.3390/agronomy9120863

APA Style

Salimi, Z., & Boelt, B. (2019). From Emergence to Flowering: Four Beet (Beta vulgaris ssp.) Cultivars’ Phenological Response to Seed Priming. Agronomy, 9(12), 863. https://doi.org/10.3390/agronomy9120863

Note that from the first issue of 2016, this journal uses article numbers instead of page numbers. See further details here.

Article Metrics

Back to TopTop