You are currently viewing a new version of our website. To view the old version click .
Agronomy
  • Article
  • Open Access

22 November 2019

Performances of Durum Wheat Varieties Under Conventional and No-Chemical Input Management Systems in a Semiarid Mediterranean Environment

,
,
and
Dipartimento di Agricoltura, Alimentazione e Ambiente (Di3A), University of Catania, via Valdisavoia 5, 95123 Catania, Italy
*
Author to whom correspondence should be addressed.
This article belongs to the Special Issue Organic vs. Conventional Cropping Systems

Abstract

Chemical input reduction in agricultural systems is strongly demanded with the aim to improve the quality and the safety of food/feed products in an environmental sustainable perspective. Durum wheat is the most important food crop widely grown across the Mediterranean basin. However, the choice of tailored-genotypes can represent a key strategy in resource limiting conditions. The present study investigated the performance of fourteen commercial durum wheat varieties, in terms of morphologic, productive and quality traits under two cropping systems, conventional (CH) and no-chemical input (NC), for two growing seasons. The NC cropping system affected plant phenology, grain yield, and its components (i.e., ears m−2 and test weight). However, the negative influence exerted by the NC depended by the growing season (significant interaction between growing season and cropping system), which in turn affected the production behavior of genotypes (significant interaction between growing season and genotype). The additive main effect and multiplicative interaction (AMMI) analysis showed that genotype (G) effect explained the 4.3% of the total variability, the environment (E) the 71.7% and the G × E interaction the 9.4%. The AMMI stability value (ASV) indicated that Meridiano, Claudio, Saragolla, and Normanno were the most stable genotypes among environments (combination of years and management systems). An integrated environmental assessment, including a soil nitrogen balance, can help to provide a more holistic approach to the sustainability of the no-chemical Mediterranean cropping systems based on cereal-legume rotation.

1. Introduction

Durum wheat (Triticum turgidum subsp. durum (Desf.) Husn.) is grown on above 2.3 × 106 ha in the European Union (EU), which produce 7.8 × 106 Mg of grain with an average yield of 3.2 Mg ha−1 wherein Italy is the first producer with 4.1 × 106 Mg of grain obtained on 1.3 × 106 ha with an average yield of 3.2 Mg ha−1 [1]. Italy also represents the most important EU producer country of organic durum wheat with a cropping area constantly increasing in recent years, and reaching about 87.8 × 103 ha, providing 292 × 103 Mg of grain [2]. Regions of southern Italy provide about 70% of this durum wheat production used mainly for pasta, but also for bread making.
Low input and organic farming systems have been generally shown to improve environmental sustainability and food safety with potential benefits for health of animals including humans, although a lower and variable productive performance compared with conventional farming systems has been highlighted [3,4]. The use of synthetic fertilizers and agrochemicals within European agricultural systems does not decrease appreciably, although lately the EU policy has implemented a number of recommendations and directives to encourage a drastic reduction of chemical inputs in a sustainability perspective [5]. Fertility management of the soil, particularly the nitrogen (N) availability, is considered the main critical factor limiting both grain yield and protein content in cereal crops. However, it is well known that the genotype selection and management practices can represent key tools in order to use efficiently the environmental resources ensuring productive and qualitative stability [4]. Having symbiotic biologic N fixation by legumes, as part of cereal crop rotation, would significantly contribute to synthetic fertilizer-N reduction, although a careful choice of the legume crop is essential to ensure a positive N balance [6,7]. In this sense, faba bean has shown a low capacity to use mineral soil N, contributing to an increased reliance on N fixation to satisfy its N needs, making this species an ideal crop to precede cereals as compared with other grain legumes typically grown in the Mediterranean environment [8].
According to the increased importance of durum wheat along the cereal food/feed chains, a number of breeding programs have been implemented aiming at developing new genotypes and exploit old cultivars, including landraces [9]. The assessment of the breeding progress for durum wheat in Spain and in Italy during the 20th century pointed out that the advantages were similar to those of other semi-dwarf’s spring wheat and consisted essentially in the reduction in plant height and harvest index increase, with an enhancement of source/sink [10,11]. However, Newton et al. [12] highlighted that scientific information on the productive performance and stability of modern and traditional varieties in organic farming systems is lacking in Mediterranean areas. A controversial question relates to the choice of agronomic conditions for cultivar screening, as studies mainly conducted in France and in USA on winter wheat have led to the conclusion that indirect selection in conventional farming is less efficient than direct selection performed under organic farming. Such findings imply a definite advantage of specific breeding for the organic systems [13,14]. In contrast, other studies conducted in different locations under conventional and organic systems indicated to select varieties largely or exclusively under conventional management, evidencing none or weak benefit in productive terms with direct selection under organic management. It has also been established that selection for specific climatic sub-region may have greater importance than selection for a given cropping system [15,16].
Moreover, old genotypes expected to possess traits of crucial interest under organic farming often underperformed modern varieties. On the other hand, the concurrent evaluation of old and modern genotypes in conventional systems confirmed the availability of outstanding germplasm under both farming systems [17,18]. Guarda et al. [19] observed that even under conditions of limited N input, the best results were achieved with modern bread wheat cultivars, which are able to express traits like the high nitrogen-use efficiency ensuring grain yield and quality under low N-supply, although productive performances are maximized under high N-input. Conversely, Stagnari et al. [20], in a comparison of durum wheat varieties in N-limiting environments, evidenced that the old genotypes had minimal responsiveness to increase of N-input, but provided appreciable results under limiting conditions indicating that they may play a role in organic farming.
Durum wheat is an important cereal crop cultivated across the Mediterranean basin and in other semiarid regions worldwide, and organic farming is steadily increasing in land share and production, especially in Italy. Therefore, the identification of genotypes suitable for low chemical input can be a key agronomic factor, because varieties specifically selected for these systems are not available to date [21]. For these reasons, the agronomic performance of a set of improved durum wheat Italian varieties has been evaluated under two contrasting management systems, conventional (CH), and no-chemical input (NC), in a semiarid Mediterranean environment.

2. Materials and Methods

2.1. Field Trial Set-Up

The field trial was carried out for two consecutive growing seasons (2009/2010 and 2010/2011) in Sicily (southern Italy), at the experimental farm of the University of Catania (37°24′ N., 15°03′ E., 10 m a.s.l.) located within an area of the Catania plain characterized by Typic Xerofluvent to Typic and/or Vertic Xerochrepts soils (USDA-S.T.). The main mean physical and chemical characteristics of the soil at field scale, referred to 0–0.40 m profile, were the following: texture class, clay; pH, 8.1; organic C, 11 g kg−1; cation exchange capacity, 169 meq 100 g−1; total N, 1.1 g kg−1; available P2O5, 12 mg kg−1; exchangeable K2O, 316 mg kg−1; total CaCO3 90 g kg−1; and active CaCO3, 40 g kg−1. Local climatic conditions are semiarid Mediterranean, characterized by mild rainy winters and hot dry summers. Fourteen improved varieties of durum wheat released in Italy since the seventies, still registered in the National Variety Register, and chosen according to earliness (Table 1) were compared in a factorial combination of two cropping systems, conventional (typical practices applied to a wheat crop in Mediterranean area) versus a no-chemical input system, in a randomized block design with three replicates.
Table 1. Details of durum wheat varieties [22].
In the CH, wheat followed fallow in both years. Seedbed was prepared after the first autumn rains by means of skim ploughing at 0.25 m soil depth and then by disk harrow. Chemical fertilization was applied before sowing at the rate of 54 kg N ha−1 and 138 kg P2O5 ha−1 (diammonium phosphate, 18–46%), and at tillering stage at the rate of 27 kg N ha−1 as ammonium nitrate (27%). At tillering, mesosulfuron-methyl + Iodosulfuron-methyl-Na + Mefenpir-diethyl (0.5 kg ha−1) was sprayed for weed control.
In the NC, the preceding crop was faba bean (cv. Sikelia) in both years. Seedbed was prepared as above. Neither chemical fertilization nor chemical herbicides were applied during the cropping cycle. Organic fertilizers were not supplied because faba bean was considered a fertility-building crop within the cropping system [8,23].
The experimental unit consisted of a 10 m2 plot with six rows spaced 21 cm apart. Sowing (S) was carried out on 12 November 2009 and 7 December 2010 in the first and second growing season, respectively, by using a self-propelled plot seeder (Winterstaiger, Ried, Austria), at the seeding rate of 400 viable seeds m−2 in order to reach a mean target ear density of about 300 ears m−2.

2.2. Measurements

The main meteorological data, such as maximum and minimum air temperatures and rainfall, were logged by an automatic weather station (Delta-T, WS-GP1 Compact) located near the experimental field.
The occurrence of the main phenological phases of the crop [Sowing (S)-Earing (E) and Earing-Physiological maturity (Pm)], were scored as days after sowing (DAS) when the 50% of plants inside each plot reached the specific stage according to the Zadoks scale [24]. At earing stage, plant height (Ph) was measured (ten observations) from the soil surface up to the top of the ear, and number of ears (En) were counted on three representative sampling areas of 0.5 m2 in each plot. At harvest, which was executed after grain ripening (i.e., 12% moisture content) by means of a plot combine (Winterstaiger, Ried, Austria), grain of each plot was weighed and referred to the unit area to derive the grain yield (Gy).
On representative sub-samples of grain per plot, thousand-kernel weight (Tkw) as the mean weight of three sets of 100 grains per replicates, and incidence (%) of skimpy kernels (Sk) and non-vitreous kernels (Nvk) on three sets of 15 g of grains were assessed. Test weight (Tw) was determined by means of Grain Analysis Computer (GAC®500 XT (Dickey-John, Auburn, IL, USA) on three sets of 250 g of kernels per plot.
Grain total nitrogen was determined according to the Kjeldahl method [25], and grain protein content (Gp) was calculated (Kjeldahl N × 5.7) on a dry weight basis. Grain protein yield (Py) was then derived.

2.3. Statistical Analysis

After preliminary Bartlett’s test for homoscedasticity, data of each response variables were first analyzed yearly, but since ANOVA revealed homogeneity of error mean squares, a mixed model (type III GLM) was adopted, considering management system (S) and genotype (G) as fixed factors and year (Y) as random factor according to the experimental layout. Confidence level was preliminarily fixed at 95%. When F-ratio revealed significant differences, the Student-Newman-Keuls (SNK) test was run to compare the means of main effects (CoHort software, CoStat version 6.003, Monterey, CA, USA). Percentage values that follow a binomial distribution (skimpy kernels and non-vitreous kernels) were previously arcsin√% transformed.
The additive main effect and multiplicative interaction (AMMI) analysis was used to determine the genotype times environment (G × E) interaction components, as described by Zobel et al. [26]. The environment factor is represented by the combination of years and management systems. AMMI analysis combines ANOVA to perform the additive decomposition of the total variance into three components representing the main effects (genotype, environment, and G × E), and principal component analysis to decompose G × E. The first two interaction principal components that accounts for most of the variability (IPC1 and IPC2) are considered in the description of the G × E interaction.
The stability indices for grain yield were estimated for each genotype through the AMMI stability value (ASV) [27], using the following equation:
A S V   =   [ s s I P C 1 s s I P C 1   ×   I P C 1 s c o r e ] 2   +   I P C 2 s c o r e 2  
The AMMI analysis and ASV determination were performed by the software R (R Core Team, 2013. R: A language and environment for statistical computing. R Foundation for Statistical Computing, Vienna, Austria).

3. Results

3.1. Meteorological Trend

Thermal trends were typical to that of the semiarid Mediterranean environment in both years; mean air temperatures throughout growing seasons were slightly higher in 2009/10 than 2010/11 (20.3 versus 19.6 °C for maximum, 9.6 versus 9.4 °C for minimum, and 14.9 versus 14.5 °C for mean, respectively). Rainfall was higher in the second than the first year, 540.6 and 407.8 mm, respectively. It was distributed for 91% and 72% in the autumn-winter period at the first and second year, respectively, while only 9% in the first and 28% in the second year from spring to harvest (Figure 1).
Figure 1. Meteorological time course from sowing (S) to harvest (H) of durum wheat genotypes in two growing seasons (2009/10 and 2010/11) at the experimental site (Catania, 37°24′ N., 15°03′ E., 10 m a.s.l.).

3.2. Crop Phenology

Genotype (G) effect was significantly different on sowing-earing (S-E) and earing-grain physiological maturity (E-Pm) intervals. A significant growing season (Y) × genotype (G) was observed in the S-E interval (Table 2).
Table 2. ANOVA for main phenological phases (sowing-earing, S-E and earing-physiological maturity, E-Pm) of durum wheat genotypes (G) grown under two management systems (S) in two growing seasons (Y). Degree of freedom (DF); adjusted mean square (Adj MS); and significant per p ≤ 0.05 (*), Not significant (ns). Different letters within columns stand for significant mean according to the Student-Newman-Keuls (SNK) test (p ≤ 0.05).
Phenological interval of durum wheats under different cultivation systems and growing seasons are shown in Figure 2.
Figure 2. Main crop phenological phases (S-E and E-Pm) of durum wheat genotypes under conventional (CH) and no-chemical input (NC) management systems in two growing seasons (2009/10 and 2010/11). Genotype times management system interaction per p ≤ 0.05 (LSD0.05: 6.01 and 2.79 for S-E, 5.00 and 3.05 for E-Pm in 2009/10 and 2010/11 growing seasons, respectively).
Across the average of cultivation systems and genotypes, the S-E interval was longer in the first than the second year (145 and 126 DAS, respectively), and in NC than in CH (139 and 132 DAS, respectively). Across the average of years and cultivation systems, Creso and Dylan showed the longest S-E interval (149 and 148 DAS, respectively), followed by Normanno (144 DAS) and by Claudio (137 DAS). This latter did not differ from Meridiano, Simeto, and Ciccio (134 DAS, averaged), which were similar to Saragolla, Duilio, Anco Marzio, Neolatino, Tirex, and Iride (132 DAS, averaged), while Svevo showed the shorter S-E interval (129 DAS).
On the other hand, Svevo and Neolatino showed the longest E-Pm interval (53 and 51 DAS, respectively) across the average of years and cultivation systems, however did not differ from Duilio, Tirex, Anco Marzio, Iride, Simeto, Saragolla, and Ciccio (51 DAS, averaged).
These latter did not differ from Meridiano and Claudio (47 DAS, averaged), while Dylan, Normanno and Creso showed the shortest E-Pm interval overall (41 DAS, averaged).
The E-Pm interval between years (49.2 and 47.8 DAS, at the first and at the second, respectively) and between management systems (50.9 and 46.2 DAS in CH and NC, respectively) were not statistically different.

3.3. Morphologic and Productive Traits

Genotype effect was significantly different on analyzed morphologic and productive traits. Management system (S) was significant for thousand kernel weight and grain yield. A significant Y × S was observed for number of ears m−2 (En) and Gy, while Y × G was significant for Gy. The three-factor interaction (Y × S × G) was significant for Tkw only (Table 3).
Table 3. ANOVA for morphological (Plant height—Ph), and productive traits (ears m−2—En, thousand kernel weights-Tkw, grain yield-Gy) of durum wheat genotypes grown under two management systems in two growing seasons. Degree of freedom; adjusted mean square; and significant per p ≤ 0.05 (*), Not significant (ns). Different letters within columns stand for significant mean according to the SNK test (p ≤ 0.05).
Morphologic and productive traits, such as plant height, ears m−2, thousand kernel weights, and grain yield of durum wheats under different management systems and growing seasons are shown in Figure 3 (A, B, C, and D, respectively).
Figure 3. Morphological and productive traits of durum wheat genotypes under conventional and no-chemical input management systems in two growing seasons (2009/10 and 2010/11). (A) Plant height (cm); (B) Ears (no m−2); (C) Thousand kernel (g); (D) Grain yield (Mg ha−1). Vertical line “genotype × management system” interaction per p ≤ 0.05 (LSD0.05).
Across factors, Ph was similar between growing seasons (85 and 83 cm in the first and the second year, respectively) and between management systems (88 and 80 cm under CH and NC, respectively). Across the average of management systems and years, Claudio, Dylan, and Anco Marzio were the tallest (87 cm, averaged) and Simeto the shortest (77 cm).
The En was neither different between years nor among genotypes, while it was significantly higher in CH as compared with NC (219 versus 140 ears m−2). However, the significant Y × S interaction showed that En was always lower in NC than CH, both in the first (159 versus 201 ears m−2) and in the second year (121 versus 236 ears m−2).
The significant Y × S × G on Tkw suggested that varieties responded differently in changing environmental conditions and cultivation regimes. Across the average of management systems and genotypes, it was higher at the second than the first year (49.8 and 45.7 g, respectively). Across the average of year and genotypes, Tkw was higher under CH than NC (49.9 and 45.6 g, respectively). Across the average of management systems and years, Creso showed the highest (51.5 g) and Anco Marzio the lowest Tkw (43.5 g). However, Dylan, Duilio, Simeto, and Neolatino did not differ in terms of Tkw from Creso (49.5 g, on average), while Iride, Normanno, Svevo, and Meridiano (45.7 g, on average) did not differ from Anco Marzio.
Across the average of management systems and genotypes, Gy was higher at the second than the first year (3.1 and 2.6 Mg ha−1, respectively). Across the average of year and genotypes, it was higher under CH than NC (3.7 and 2.0 Mg ha−1, respectively). Across the average of management systems and years, Iride and Claudio showed the highest Gy (3.1 Mg ha−1, on average), while Svevo the lowest (2.3 Mg ha−1). The Gy of the other varieties was not significantly different from those of the most and the least productive (2.8 Mg ha−1, on average). The significant Y × S on grain yield confirmed that the negative influence exerted by the absence of input was affected by the growing seasons. Furthermore, the growing seasons had a significant influence on the productive behavior of studied varieties (Y × G).

3.4. Quality Traits

Genotypes effect was significant for test weight and non-vitreous kernels. A significant Y × S was observed for Tw, skimpy kernels and grain protein content. Y × G was significant for Tw and Gp. S × G and Y × S × G interactions were significant for Gp only (Table 4).
Table 4. ANOVA for grain quality features (test weight-Tw), skimpy kernels (Sk), non-vitreous kernels (Nvk), grain protein (Gp)) of durum wheat genotypes grown under two management systems in two growing seasons. Degree of freedom; adjusted mean square; and significant per p ≤ 0.05 (*), ns. Different letters within columns stand for significant mean according to the SNK test (p ≤ 0.05).
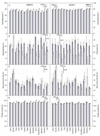
Quality traits, such as test weight, skimpy kernels, non-vitreous kernels, and grain protein of durum wheats under different management systems and growing seasons, are shown in Figure 4 (A, B, C, and D, respectively).
Figure 4. Quality traits of fourteen durum wheat genotypes under CH and NC in two growing seasons (2009/10 and 2010/11). (A) Test weight (Kg hL−1); (B) Skimpy kernels (%); (C) Non-vilreous kernels (%); (D) Protein content (%). Vertical line “genotype × management system” interaction per p ≤ 0.05 (LSD0.05).
Tw was similar between years (78.7 and 75.3 kg hL−1, in the second and in the first year, respectively) and between management systems (78.8 and 75.2 kg hL−1, under CH and NC, respectively). Across the average of management systems and years, Tirex showed the highest Tw (79.9 kg hL−1), while the lowest was found in Meridiano and Simeto (73.2 kg hL−1, on average). Anco Marzio, Claudio, Creso, Neolatino, Duilio, Ciccio, Dylan, and Saragolla did not differ from that of Tirex (77.80 kg hL−1, on average). The Tw of these latter varieties did not differ from those of Svevo, Iride and Normanno (76.5 kg hL−1, on average). As for grain yield, the significant interaction Y × S on test weight confirmed that the negative influence exerted by the absence of input was affected by the growing seasons, and this latter in turn affected the genotype behavior (Y × G) for this trait.
Sk was similar between years, between management systems, and among genotypes (~27%, on average). The significant Y × S suggested that Sk was higher in NC than CH, however, with a different extent between years (31.7 versus 22.2% in the first, and 32.2 versus 16.2% in the second year).
Nvk was similar between years and management systems (26%, on average). Across the average of management systems and years, Claudio showed the highest (50.2%), and Iride, Svevo, Anco Marzio, and Tirex the lowest Nvk (18.6%, on average). Nvk of the other varieties ranged from 20.8% (Neolatino) to 32.6% (Saragolla) to.
The significant three-factor interaction (Y × S × G) on Gp suggested that varieties responded differently in changing environmental conditions and cultivation regimes. Across the average of the studied factors, Gp was 11.7 and 11.3% in the first and in the second year, respectively, and 11.6 and 11.4% under CH and NC, respectively. Neolatino, Creso, and Svevo showed the highest (11.9%, on average), and Saragolla, Ciccio, Iride, and Claudio the lowest Gp (11.2%, on average). Gp of the remaining varieties varied from 11.3% (Duilio) to 11.7% (Simeto).

3.5. AMMI Analysis

The combined ANOVA for grain yield showed that genotype (G) explains 4.3% of the total variability, the environment (E) 71.7% and the G × E interaction 9.4% (Table 5). The effect of the E, and those of the G and the G × E resulted highly significant (p ≤ 0.001). The greater variability of the G × E interaction over the G (9.4 versus 4.3%) indicated that genotypes responded differently to changing environmental conditions.
Table 5. Additive main effect and multiplicative interaction (AMMI) analysis of variance for main effect “environment (combination of growing seasons and management systems - E)” and “genotype - G”, and their interaction on grain yield.
The additive main effect and multiplicative interaction (AMMI) model well explains the G × E interaction, as the Principal Component Analysis to decompose G × E into three interaction principal component axes (IPCAs) accounted for 100% of the total variation (65.5, 25.01, and 9.5% for IPC1, IPC2, and IPC3, respectively).

3.6. Comparison of Yield Stability

A comparison of genotypes for yield stability can be performed on the basis of the biplots representing yield versus IPC1 (Figure 5) and IPC1 versus IPC2 (Figure 6) and the AMMI stability value (ASV) (Table 6).
Figure 5. Grain yield versus interaction principal component axes (IPCA)1 of fourteen durum wheat genotypes under CH and NC in 2009/10 and in 2010/11 growing seasons.
Figure 6. Biplot of IPCA1 versus IPCA2 of fourteen durum wheat genotypes under CH and NC in 2009/10 and in 2010/11 growing seasons.
Table 6. AMMI stability value (ASV) of durum wheats under chemical input and no-chemical input management systems in two subsequent growing seasons.
Svevo showed the lowest yield and the highest ASV, meaning that its variability between environments is high, while it is most suited for NC environments being situated on the same quadrant of the two NC environments. Duilio is the second most variable genotype, while its yield is slightly above the average. This genotype performed well in the 2010 CH environment. Iride showed the highest mean yield, while the ASC score was below the average.
The IPCA1 versus IPCA2 biplot shows that Iride is most suited for CH and less adapted to NC environments, in which it performed a yield close to the average of genotypes in those environments. Meridiano, Claudio, Saragolla, and Normanno are the most stable genotypes among environments. Claudio performed the highest average yield in NC environments, while Iride had the highest average yield in CH environments.

4. Discussion

High-input management system in agriculture is directly or indirectly impacting on soil, water, air, and related natural resources, with main drawbacks on the quality, safety, and energy balance of food/feed chains. Worldwide many directives have recommended for a drastic reduction of chemical input in a sustainable perspective, as well as the public opinion and final customers are keen for safer quality products also through environmental footprint schemes.
Durum wheat is the most important food crop widely grown across the Mediterranean basin, thus the present study was conducted to evaluate the agronomic behavior of some still grown commercial varieties, in terms of morphologic, productive, and quality traits, under two growing seasons and changing cultivation regimes. Our ultimate goal was to recommend genotypes suitable for no-chemical input management systems.
Overall, present findings allowed to assume that key factors involved in the yield and quality expression of wheat is the N availability. Cereal-based cropping systems including legume crops in the rotation should carefully look for the legume species with a great ability to fix N [7]. In a semiarid Mediterranean area similar to that of the present experiment, Ruisi et al. [8] reported a N fertilizer equivalent (i.e., the amount of fertilizer-N required to accomplish the same yield of a wheat-wheat rotation as compared with an unfertilized-N wheat grown after a legume crop) of 64 kg ha−1 for wheat grown after faba bean. The same authors pointed out the agronomic, environmental, and ecological benefits of growing a legume as preceding crop, and the chance to reduce mineral fertilizers for subsequent crops in the rotation.
Our preliminary evaluation of N balance (N input – N output) based on literature data [8] (data not shown), allowed to observe that genotypes grown under no-chemical system were able to use only the N fertilizer equivalent. On the contrary, genotypes under conventional system not only used all mineral N applied but also the soil N stock to express their potential yield. These base-line assumptions suggest the sustainability of the no-chemical system without compromising future soil fertility. Nevertheless, in conventional system it was observed a lower N uptake in the warmer and drier season (first year). In particular, some genotypes, such as Svevo, Duilio, and Tirex, were not able to uptake the N available and thus to express their potential yield in these limiting conditions. In contrast, under more wet conditions Duilio and Tirex were amongst the highest yielding and N requiring genotypes in conventional system. In the no-chemical system, Saragolla, Anco Marzio, and Meridiano were the most N consuming, but the highest yielding in dry conditions. Nonetheless, these and the other genotypes confirmed a quite stable grain yield in no-chemical system, also under more wet conditions due probably to a positive N balance. In this sense, an improved yield stability [8] associated with diminished constraints to the growth by crop species in the rotation with faba bean has been highlighted [28].

4.1. Crop Phenology

In general, phenology of investigated durum wheats reflected the maturity group to which they belong (Table 1). On phenological intervals analyzed, only a significant year times genotype (Y × G) interaction was observed in the sowing-earing interval. It was longer in the first than the second year due probably to the drier conditions at the former season. It has been shown that early season drought stress retarded time to anthesis in durum wheat [29]. Early season was much drier in the first than in the second year, with only 190.6 mm against 272.2 mm registered from tillering to anthesis stage.
The studied varieties responded to a different extent under changing environmental conditions during the two years of trials. In the first year, the latest varieties were Creso and Dylan, which however reduced by 23 days the growing cycle in the second year. Svevo and Iride, which were the earliest in the first year, shortened by 15 and 16 days the growing cycle, respectively, in the second year. Other varieties, as Tirex and Anco Marzio shortened by 15 and 14 days the growing cycle from the first to the second season.
Although the second growing season was slightly cooler but quite wetter than the first, the earing-grain maturation interval was not statistically different (49 and 48 DAS, respectively). This disagrees with others reports where it was emphasized that heat and drought are associated with the shortening of growing season and phenophases in wheat and other C3 crops [30,31,32].

4.2. Morphologic and Productive Traits

Genotypes investigated in the present study are improved varieties, where the dwarf habitus was introduced through the introgression of the short-straw genes (Rht) of Norin 10 (Triticum aestivum L.) during the breeding programs of 1970s [33]. Plant height was not statistically different among study treatments, except for genotype effect. Overall, plant height was in the range reported for similar and other commercial durum wheat varieties [22].
The number of ears m−2 is considered one of the most important component of the yield [34]. It was lower in NC (−36%, on average), but to a different extent in the two growing seasons, as indicated by the Y × S effect. Although the second year was more favorable in terms of rainfall amount and distribution, the decrease in no-chemical input was 21% in the first and 48% in the second year as compared with the conventional regime. This result highlights how the effect of chemical input reduction on this trait is more limited in a drier season.
The thousand-kernel weight was positively affected by the year and the cultivation regime, but differently among the varieties (Y × S × G). Varieties that showed the greatest variability were: Neolatino (from 41.4 g in no-chemical input in the first year to 55.1 g in the conventional regime in the second year) and Meridiano (from 39.2 g in no-chemical input in the first year to 52.1 g under conventional regime in the second year). In addition, the highest Tkw (above 50 g) were always recorded under the conventional regime in the second year (Creso, Duilio, Simeto, Dylan, Tirex, Ciccio, Claudio), while the lowest in no-chemical input regime at the first (Saragolla Iride, Normanno, Svevo, Anco Marzio) and in the second year (Anco Marzio). In general, Tkw was in the range reported with durum wheat varieties grown across Italy [11,22].
The grain yield confirmed that the negative influence exerted by the absence of input was significantly affected by the growing seasons (Y × S). The production level recorded in no-chemical input was lower (2.0 Mg ha−1) than the conventional system (3.7 Mg ha−1), nonetheless, it was less influenced by the climatic conditions: The yield decrease observed in the first as compared with the second season in no-chemical input (−9%) was less than half of that recorded under the conventional regime (−21%). In the drier growing season and in no-chemical input, the reduction in traits like ears m−2 and Tkw, likely associated with a reduced spike fertility, might have contributed to the observed underperformances. Indeed, it has been reported indeed, that modern durum wheat varieties, which are expected to possess improved spike fertility, seemed to fail expressing their potential performances when grown under organic farming management [34]. The growing season had also a significant influence on the productive behavior of the varieties (Y × G). Most of them were favored by the highest and regular rainfall in the second year even if only some to a significant extent (Tirex + 49%, Creso + 50%, Duilio + 67%, and Svevo + 94%). Satisfactory production levels were observed in Claudio and Iride, which also showed a relative stability through the growing seasons. The other verities were relatively stable but less productive. The yield stability between changing environmental conditions suggests the occurrence of phenotypic plasticity, which is of paramount importance in the context of climatic uncertainties [31]. Overall, yield levels are in line with the average yield of multi-year field trials conducted in Sicily with the same varieties [22].

4.3. Quality Traits

A significant effect of variety was observed for test weight. These results are in line with those of Dinelli et al. [35], who found no significant year effect on this trait in durum wheats grown in northern Italy in low-input management. However, the Y × G interaction suggested that growing season had also a significant influence on the test weight, with the second year favoring higher values. Some varieties, as Dulio, Neolatino, Svevo, Iride, Normanno, and Simeto showed significant differences between years; remaining varieties were more stable in changing environmental conditions. The Y × S interaction showed a significant difference only between the value recorded in the conventional regime in the second (80 kg) and that in no-chemical input in the first year (73 kg hL−1).
Vitreousness is often used by the wheat industry as an important quality factor to predict the quality of the cereal crop [36]. Vitreous kernels generally have improved cooking quality, better pasta color, coarser granulation and higher protein content [37,38]. In contrast, non-vitreous kernels show a less compact structure with numerous open spaces and physically discontinuous protein matrix [39]. On the incidence of non-vitreous kernels, only a genotype variability was observed: Claudio showed the highest values (~50%), while Simeto, Neolatino, Iride, Svevo, Anco Marzio, and Tirex the lowest (from 20.9 to 17.7%); remaining varieties were at the middle range (from 23.6% in Creso to 32.6% in Saragolla). With reference to the skimpy kernels, its incidence was influenced by the Y × S interaction: Slightly higher values were detected in the first year, and in no-chemical input; however, the mean comparison of the interactive effect highlighted that the trait was not significantly influenced by the time course of the year.
Significant variations in grain protein content emerged in relation to the growing season, cultivation system and genotype (Y × S × G). Creso in the second, and Svevo in the first year, both under conventional (12.7% and 12.6%), and Duilio under conventional and Claudio under no-chemical input in second year (10.7%) showed the significantly highest and lowest values overall. In general, protein content was slightly higher at the first year due probably to a warmer growing season; it has been shown that higher temperatures after anthesis favors higher rates of grain nitrogen accumulation, and/or lower rates of carbohydrate accumulation [9,40,41,42]. Only Creso and Svevo presented almost one-point increase in protein content under conventional regimes. The other varieties generally showed higher protein content under conventional regime, however, increments were very small (≤0.5%). Present results parallels those of Quaranta et al. [28], who showed a grain protein content in organic regime of durum wheat lower than in conventional regime over three years and six locations (only about 1% in the southern locations and 0.5% in central Italy).

4.4. Yield Stability

In the present study, the environment and the interaction environment times genotype explained the largest part of the variability for grain yield, while genotype alone explained the lowest part overall. This result implies that the environment, which considers both growing seasons and management systems strongly influenced grain yield; conversely, the influence of genotype on grain yield was dependent by the environment.
The trial of Iannucci and Codianni [21] evaluated the performance and the stability of several durum wheat varieties in Mediterranean environment under conventional and organic management, showing that Anco Marzio, followed by Tirex and by Claudio, had the highest ASV; thus, they were the least stable among environments. In the present study, these varieties had an ASV slightly above (Tirex) or below the average (Anco Marzio and Claudio). The most stable varieties in that study were Dylan, Duilio and Iride, while in the present study they had an ASV slightly below (Dylan and Iride) or above the average (Duilio). This disagreement with that study conducted in southern Italy (41°28′ N, 15°34′ E; 76 m a.s.l), but at a higher latitude than the present (37°24′ N., 15°03′ E., 10 m a.s.l.), strengths our results and highlights the leading influence of the environment (which alone explained the 71.7% of the total variability in grain yield), and the G × E interaction (9.4%) on genotypes response to changing environmental conditions.

5. Conclusions

Present findings demonstrated that regardless of the production losses that can be expected for improved varieties of durum wheat grown without external inputs (mineral fertilization and chemical weeding), due probably to lower N availability, the choice of the genotype does not seem to be relevant in terms of production. Nonetheless, it can be justified for some quality characteristics of the grain, as highlighted by the non-significant effect of cultivation method on test weight, skimpy kernels, nonvitreousness and protein content. On the other hand, the significant interactions of cultivation system by year or by variety does not allow drawing clear conclusions.
The climatic conditions during the crop cycle seems to play a key role on grain production; the negative influence exerted by the absence of input under a drier season had a different impact on grain yield of the two cultivation systems, with lower losses in the no-chemical input as compared with the conventional regime. Protein content increased under the conventional regime, however, the increase extent was in the order of 1% only in Creso and Svevo, while ≤ 0.5% in the other varieties.
Although the environment (combination of growing seasons and cultivation methods) and the G × E interaction accounted for the largest part of the variability for grain yield, the most stable genotypes among environments (Meridiano, Claudio, Saragolla, and Normanno), the most suited for no-chemical input (Claudio) and that for conventional regime (Iride) were identified.
An integrated environmental assessment, including a soil nitrogen balance, can help to provide a more holistic approach to the sustainability of the no-chemical Mediterranean cropping systems based on cereal-legume rotation.

Author Contributions

Writing—review & editing, U.A., S.A.C., S.L.C. and D.S. Authors contributed equally to this work.

Funding

This research received no external funding.

Acknowledgments

The authors gratefully acknowledge the “Rete nazionale di sperimentazione” of the Ministero delle Politiche Agricole, Alimentari e Forestali (MIPAAF), and Santo Virgillito of the Dipartimento di Agricoltura, Alimentazione e Ambiente (Di3A, University of Catania), for helping with field measurements.

Conflicts of Interest

The authors declare no conflict of interest.

References

  1. Eurostat. European Commission. 2014. Available online: https://ec.europa.eu/eurostat/data/database (accessed on 3 November 2014).
  2. Sistema d’Informazione Nazionale sull’Agricoltura Biologica. Bio in cifre 2017. Available online: http://www.sinab.it/ (accessed on 12 October 2018).
  3. Wolfe, M.S.; Baresel, J.P.; Desclaux, D.; Goldringer, I.; Hoad, S.; Kovacs, G.; Löschenberger, F.; Miedaner, T.; Østergård, H.; Lammerts van Bueren, E.T. Developments in breeding cereals for organic agriculture. Euphytica 2008, 163, 323–346. [Google Scholar] [CrossRef]
  4. Bilsborrow, P.; Cooper, J.; Tetard-Jones, C.; Średnicka-Tober, D.; Barański, M.; Eyre, M.; Schmidt, C.; Shotton, P.; Volakakis, N.; Cakmak, I.; et al. The effect of organic and conventional management on the yield and quality of wheat grown in a long-term field trial. Eur. J. Agron. 2013, 51, 71–80. [Google Scholar] [CrossRef]
  5. Nave, S.; Jacquet, F.; Jeuffroy, M.H. Why wheat farmers could reduce chemical inputs: Evidence from social, economic, and agronomic analysis. Agron. Sustain. Dev. 2013, 33, 795–807. [Google Scholar] [CrossRef]
  6. Verma, S.B.; Dobermann, A.; Cassman, K.G.; Walters, D.T.; Knops, J.M.; Arkebauer, T.J.; Suyker, A.E.; Burba, G.G.; Amos, B.; Yang, H.; et al. Annual carbon dioxide exchange in irrigated and rainfed maize-based agroecosystems. Agric. For. Meteorol. 2005, 131, 77–96. [Google Scholar] [CrossRef]
  7. Ladha, J.K.; Tirol-Padre, A.; Reddy, C.K.; Cassman, K.G.; Verma, S.; Powlson, D.S.; van Kessel, C.; Richter, D.; Chakraborty, D.; Pathak, H. Global nitrogen budgets in cereals: A 50-year assessment for maize, rice, and wheat production systems. Sci. Rep. 2016, 6, 19355. [Google Scholar] [CrossRef]
  8. Ruisi, P.; Amato, G.; Badagliacca, G.; Frenda, A.S.; Giambalvo, D.; Di Miceli, G. Agro-ecological benefits of faba bean for rainfed Mediterranean cropping systems. Ital. J. Agron. 2017, 12, 233–245. [Google Scholar] [CrossRef]
  9. Cosentino, S.L.; Sanzone, E.; Patanè, C.; Testa, G.; Anastasi, U.; Scordia, D. Does post-anthesis heat-stress affect plant phenology, physiology, grain yield and protein content of durum wheat in semi-arid Mediterranean environment? J. Agron. Crop Sci. 2019, 205, 309–323. [Google Scholar] [CrossRef]
  10. Royo, C.; Alvaro, F.; Martos, V.; Ramdani, A.; Isidro, J.; Villegas, D.; Garcìa del Moral, L.F. Genetic changes in durum wheat yield components and associated traits in Italian and Spanish varieties during the 20th century. Euphytica 2007, 155, 259–270. [Google Scholar] [CrossRef]
  11. De Vita, P.; Di Paolo, E.; Fecondo, G.; Di Fonzo, N.; Pisante, M. No-tillage and conventional tillage effects on durum wheat yield, grain quality and soil moisture content in southern Italy. Soil Till. Res. 2007, 92, 69–78. [Google Scholar] [CrossRef]
  12. Newton, A.C.; Akar, T.; Baresel, J.P.; Bebeli, P.J.; Bettencourt, E.; Bladenopoulos, K.V.; Czembor, J.H.; Fasoula, D.A.; Katsiotis, A.; Koutis, K.; et al. Cereal landraces for sustainable agriculture. A review. Agron. Sustain. Dev. 2010, 30, 237–269. [Google Scholar] [CrossRef]
  13. Brancourt-Hulmel, M.; Heumez, E.; Pluchard, P.; Beghin, D.; Depatureaux, C.; Giraud, A.; Le Gouis, J. Indirect versus direct selection of winter wheat for low-input or high-input levels. Crop Sci. 2005, 45, 1427–1431. [Google Scholar] [CrossRef]
  14. Murphy, K.M.; Campbell, K.G.; Lyon, S.R.; Jones, S.S. Evidence of varietal adaptation to organic farming systems. Field Crop Res. 2007, 102, 172–177. [Google Scholar] [CrossRef]
  15. Przystalski, M.; Osman, A.; Thiemt, E.M.; Rolland, B.; Ericson, L.; Ostergard, H.; Levy, L.; Wolfe, M.; Buchse, A.; Piepho, H.P.; et al. Comparing the performance of cereal varieties in organic and non-organic cropping systems in different European countries. Euphytica 2008, 163, 417–433. [Google Scholar] [CrossRef]
  16. Annicchiarico, P.; Chiapparino, E.; Perenzin, M. Response of common wheat varieties to organic and conventional production systems across Italian locations, and implications for selection. Field Crop Res. 2010, 116, 230–238. [Google Scholar] [CrossRef]
  17. Kitchen, J.L.; McDonald, G.K.; Shepherd, K.W.; Lorimer, M.F.; Graham, R.D. Comparing wheat grown in South Australian organic and conventional farming systems. 1. Growth and grain yield. Aust. J. Agric. Res. 2013, 54, 889–901. [Google Scholar] [CrossRef]
  18. Mason, H.; Navabi, A.; Frick, B.; O’Donovan, J.; Spaner, D. Cultivar and seeding rate effects on the competitive ability of spring cereals grown under organic production in northern Canada. Agron. J. 2007, 99, 1199–1207. [Google Scholar] [CrossRef]
  19. Guarda, G.; Padovan, S.; Delogu, G. Grain yield, nitrogen-use efficiency and baking quality of old and modern Italian bread-wheat cultivars grown at different nitrogen levels. Eur. J. Agron. 2004, 21, 181–192. [Google Scholar] [CrossRef]
  20. Stagnari, F.; Onofri, A.; Codianni, P.; Pisante, M. Durum wheat varieties in N-deficient environments and organic farming: A comparison of yield, quality and stability performances. Plant Breed. 2013, 132, 266–275. [Google Scholar] [CrossRef]
  21. Iannucci, A.; Codianni, P. Effects of conventional and organic farming systems on bio-agronomic and quality traits of durum wheat under Mediterranean conditions. Aust. J. Crop Sci. 2016, 10, 1083–1091. [Google Scholar] [CrossRef]
  22. Quaranta, F.; Belocchi, A.; Fornara, M.; Ripa, C.; D’Egidio, M.G. Le Varietà di Frumento Duro in Italia: Risultati Della Rete Nazionale di Sperimentazione 1999–2012; Council for Agricultural Research and Economics: Rome, Italy, 2013. [Google Scholar]
  23. Giambalvo, D.; Stringi, L.; Durante, G.; Amato, G.; Frenda, A.S. Nitrogen Efficiency Component Analysis in Wheat under Rainfed Mediterranean Conditions: Effects of Crop Rotation and Nitrogen Fertilization. In Mediterranean Rainfed Agriculture: Strategies for Sustainability; Cantero-Martínez, C., Gabiña, D., Eds.; CIHEAM: Zaragoza, Spain, 2004; pp. 169–173. [Google Scholar]
  24. Zadoks, J.C. A decimal code for the growing stages of cereals. Weed Res. 1974, 14, 415–421. [Google Scholar] [CrossRef]
  25. Desai, R.M.; Bhatia, C.R. Nitrogen uptake and nitrogen harvest index in durum wheat cultivars varying in their grain protein concentration. Euphytica 1978, 27, 561–566. [Google Scholar] [CrossRef]
  26. Zobel, R.W.; Wright, M.J.; Gauch, H.G., Jr. Statistical Analysis of a Yield Trial. Agron. J. 1988, 80, 388–393. [Google Scholar] [CrossRef]
  27. Purchase, J.L.; Hatting, H.; Van Deventer, C.S. Genotype × environment interaction of winter wheat (Triticum aestivum L.) in South Africa: II. Stability analysis of yield performance. S. Afr. J. Plant Soil 2000, 17, 101–107. [Google Scholar] [CrossRef]
  28. Quaranta, F.; Amoriello, T.; Aureli, G.; Belocchi, A.; D’Egidio, M.G.; Fornara, M.; Melloni, S.; Desidrio, E. Grain yield, quality and deoxynivalenol (DON) contamination of durum wheat (Triticum durum Desf.): Results of national networks in organic and conventional cropping systems. Ital. J. Agron. 2010, 4, 353–366. [Google Scholar] [CrossRef]
  29. Simane, B.; Peacock, J.M.; Struik, P.C. Developmental plasticity and growth rate among drought resistant and susceptible cultivars of durum wheat. Plant Soil. 1993, 57, 155–166. [Google Scholar] [CrossRef]
  30. Semenov, M.A.; Halford, N.G. Identifying target traits and molecular mechanisms for wheat breeding under a changing climate. J. Exp. Bot. 2009, 60, 2791–2804. [Google Scholar] [CrossRef]
  31. Cosentino, S.L.; Testa, G.; Scordia, D.; Alexopoulou, E. Future yields assessment of bioenergy crops in relation to climate change and technological development in Europe. Ital. J. Agron. 2012, 7, 154–166. [Google Scholar] [CrossRef]
  32. Riggi, E.; Scordia, D.; Foti Cuzzola, C.; Testa, G.; Cosentino, S.L. Leaf appearance rate and final main stem leaf number as affected by temperature and photoperiod in cereals grown in Mediterranean environment. Ital. J. Agron. 2017, 12, 183–191. [Google Scholar] [CrossRef]
  33. De Vita, P.; Li Destri Nicosia, O.; Nigro, F.; Platani, C.; Riefolo, C.; Di Fonzo, N.; Cattivelli, L. Breeding progress in morpho-physiological, agronomical and qualitative traits of durum wheat cultivars released in Italy during the 20th century. Eur. J. Agron. 2007, 26, 39–53. [Google Scholar] [CrossRef]
  34. Dinelli, G.; Marotti, I.; Di Silvestro, R.; Bosi, S.; Bregola, V.; Accorsi, M.; Di Loreto, A.; Benedettelli, S.; Ghiselli, L.; Catizone, P. Agronomic, nutritional and nutraceutical aspects of durum wheat (Triticum durum Desf.) cultivars under low input agricultural management. Ital. J. Agron. 2013, 8, 85–93. [Google Scholar] [CrossRef]
  35. Dinelli, G.; Di Silvestro, R.; Marotti, I.; Bosi, S.; Bregola, V.; Di Loreto, A.; Nipoti, P.; Prodi, A.; Catizone, P. Agronomic traits and deoxynivalenol contamination of two tetraploid wheat species (Triticum turgidum spp. durum, Triticum turgidum spp. turanicum) grown strictly under low input conditions. Ital. J. Agron. 2014, 9, 127–135. [Google Scholar] [CrossRef]
  36. El-Khayat, G.H.; Samaan, J.; Manthey, F.A.; Fuller, M.P.; Brennan, C.S. Durum wheat quality I: Some physical and chemical characteristics of Syrian durum wheat genotypes. Int. J. Food Sci. Technol. 2006, 41, 22–29. [Google Scholar] [CrossRef]
  37. Matsuo, R.R.; Dexter, J.E. Relationship between some durum wheat characteristics and semolina milling properties. Can. J. Plant Sci. 1980, 60, 49–53. [Google Scholar] [CrossRef]
  38. Blanco, A.; De Pace, C.; Porceddu, E.; Mugnozza, G.T.S. Genetics and Breeding of Durum Wheat in Europe. In Durum Wheat: Chemistry and Technology; Fabriani, G., Lintas, C., Eds.; American Association of Cereal Chemists: St. Paul, MN, USA, 1988; pp. 17–45. [Google Scholar]
  39. Dexter, J.E.; Marchylo, B.A.; MacGregor, A.W.; Tkachuk, R. The structure and protein composition of vitreous, piebald and starchy durum wheat kernels. J. Cereal Sci. 1989, 10, 19–32. [Google Scholar] [CrossRef]
  40. Panozzo, J.F.; Eagles, H.A. Rate and duration of grain filling and grain nitrogen accumulation of wheat cultivars grown in different environments. Aust. J. Agric. Res. 1999, 50, 1007–1015. [Google Scholar] [CrossRef]
  41. DuPont, F.M.; Hurkman, W.J.; Vensel, W.H.; Chan, R.; Lopez, R.; Tanaka, C.K.; Altenbach, S.B. Differential accumulation of sulfur-rich and sulfur-poor wheat flour proteins is affected by temperature and mineral nutrition during grain development. J. Cereal Sci. 2006, 44, 101–112. [Google Scholar] [CrossRef]
  42. Saint Pierre, C.; Peterson, C.J.; Ross, A.S.; Ohm, J.B.; Verhoeven, M.C.; Larson, M.; Hoefer, B. Winter wheat genotypes under different levels of nitrogen and water stress: Changes in grain protein composition. J. Cereal Sci. 2008, 47, 407–416. [Google Scholar] [CrossRef]

Article Metrics

Citations

Article Access Statistics

Multiple requests from the same IP address are counted as one view.