Long-Term Green Manure Rotations Improve Soil Biochemical Properties, Yield Sustainability and Nutrient Balances in Acidic Paddy Soil under a Rice-Based Cropping System
Abstract
1. Introduction
2. Materials and Methods
2.1. Site Description
2.2. Experimental Design
2.3. Sampling and Analysis
2.4. Sustainable Yield Index (SYI)
2.5. Statistical Analysis
3. Results
3.1. Crop Yield and Sustainability Index
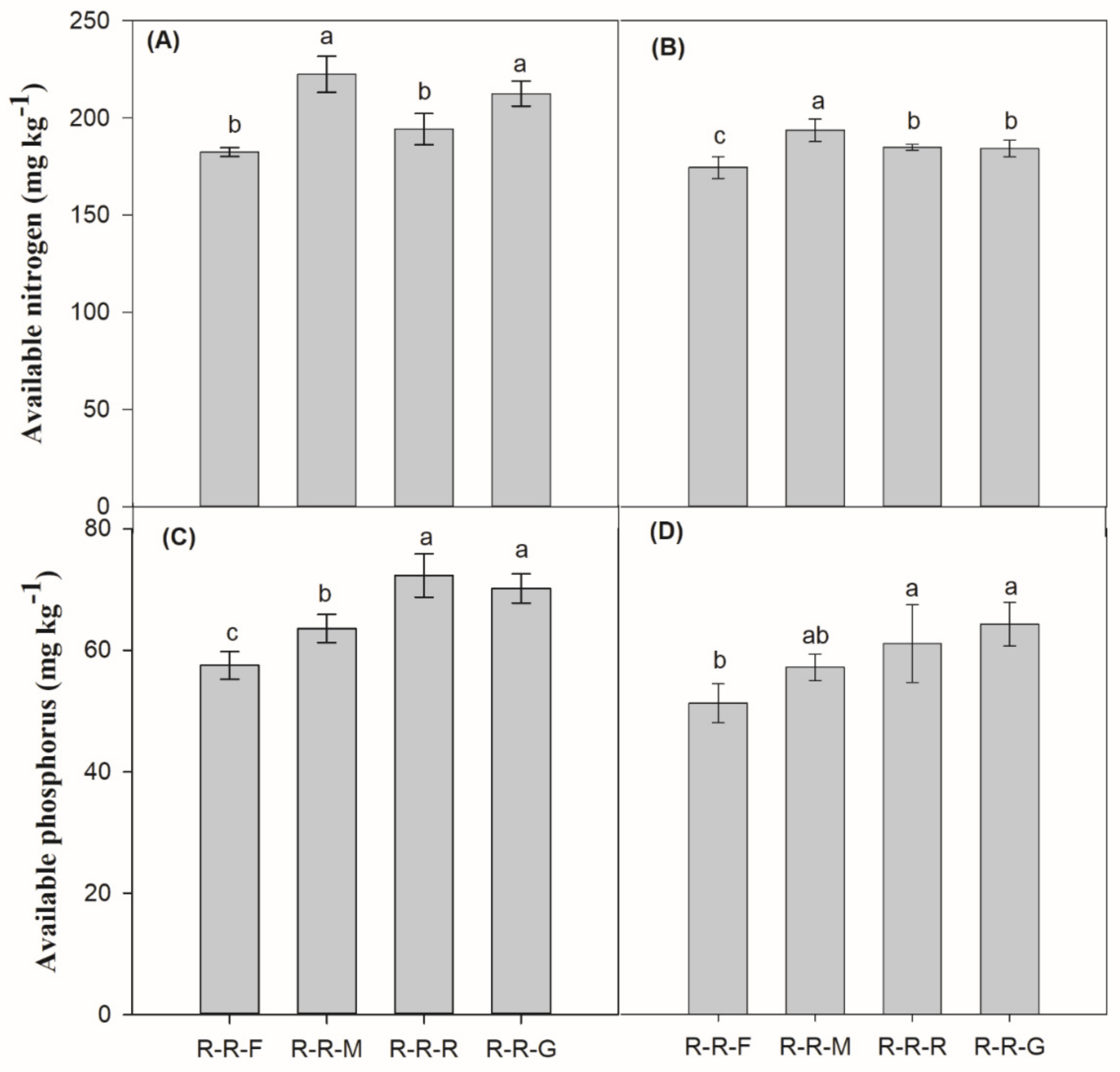
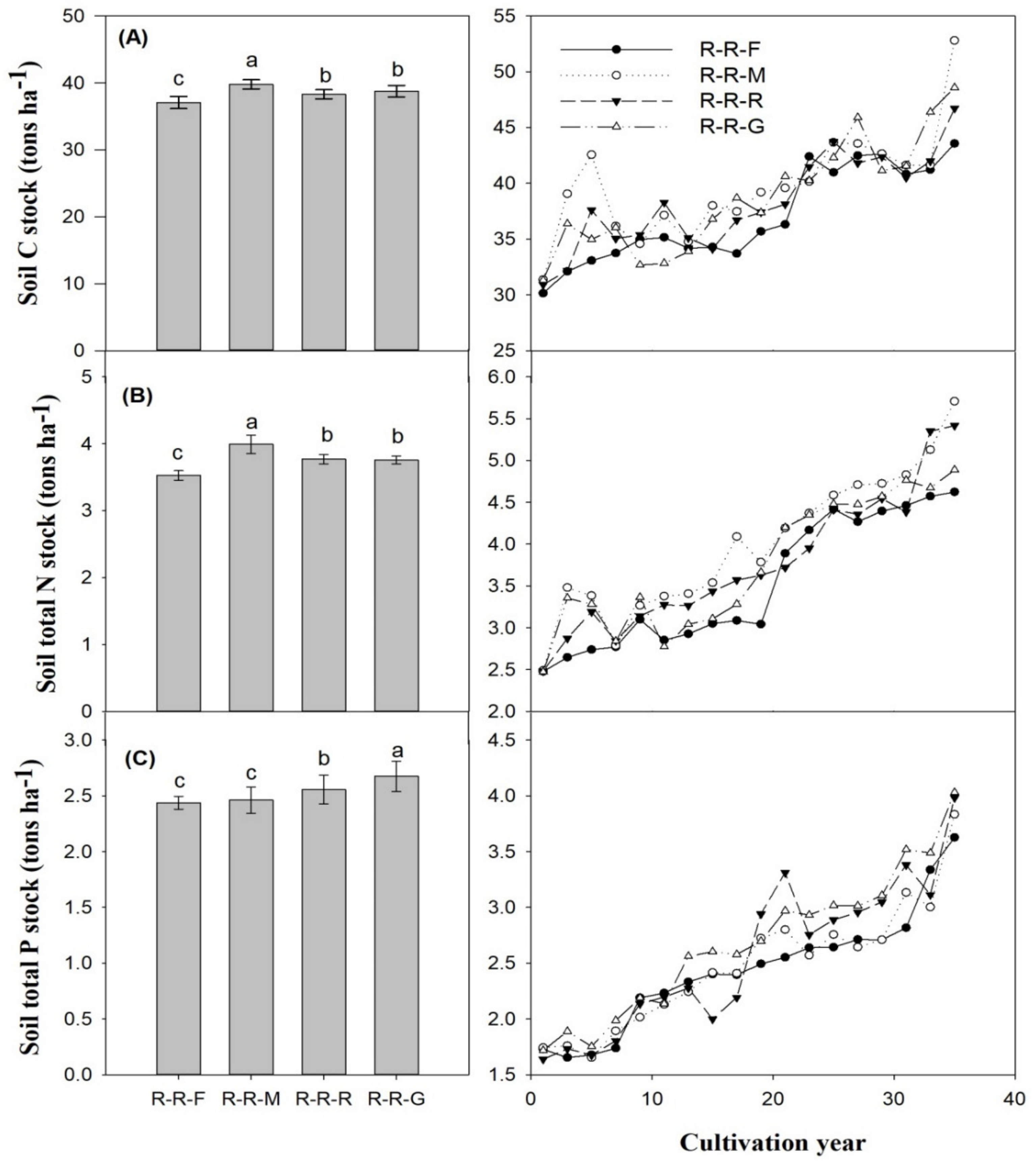
3.2. Soil Nutrient Content, Nutrient Stocks, and Apparent Nutrient Balance
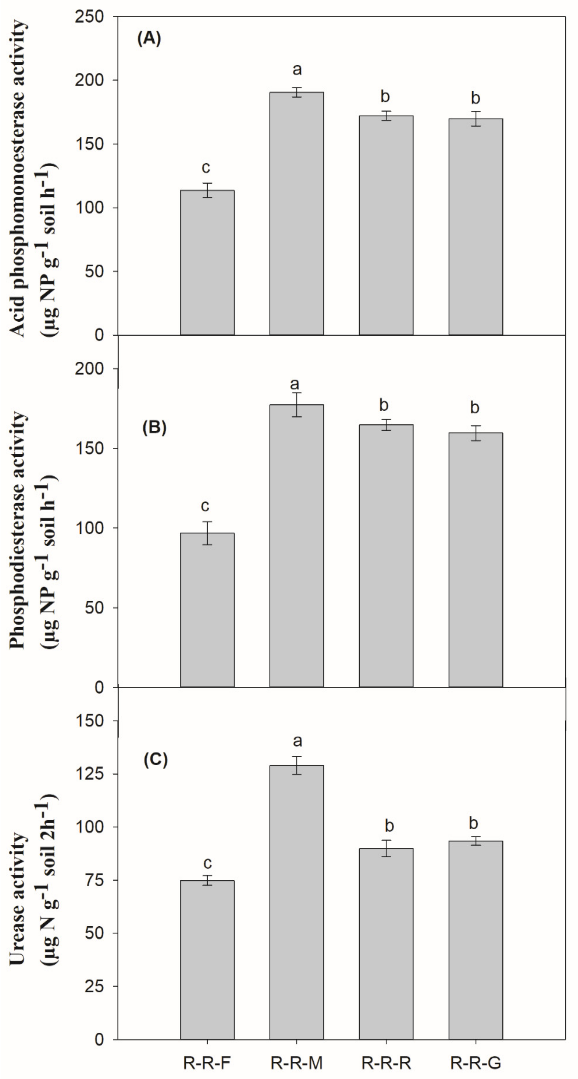
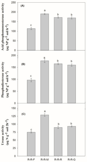
3.3. Enzyme Activities
3.4. Factors Influencing Crop Yield
4. Discussion
5. Conclusions
Supplementary Materials
Author Contributions
Funding
Acknowledgments
Conflicts of Interest
References
- Shahid, M.; Shukla, A.K.; Bhattacharyya, P.; Tripathi, R.; Mohanty, S.; Kumar, A.; Lal, B.; Gautam, P.; Raja, R.; Panda, B.B.; et al. Micronutrients (Fe, Mn, Zn and Cu) balance under long-term application of fertilizer and manure in a tropical rice-rice system. J. Soils Sediments 2016, 16, 737–747. [Google Scholar] [CrossRef]
- Rasmussen, P.E. Long-term agroecosystem experiments: Assessing agricultural sustainability and global change. Science. 1998, 282, 893–896. [Google Scholar] [CrossRef] [PubMed]
- Liang, H.; Hu, K.; Batchelor, W.D.; Qi, Z.; Li, B. An integrated soil-crop system model for water and nitrogen management in North China. Sci. Rep. 2016, 6, 25755. [Google Scholar] [CrossRef] [PubMed]
- Singh, R.J.; Ghosh, B.N.; Sharma, N.K.; Patra, S.; Dadhwal, K.S.; Meena, V.S.; Deshwal, J.S.; Mishra, P.K. Effect of seven years of nutrient supplementation through organic and inorganic sources on productivity, soil and water conservation, and soil fertility changes of maize-wheat rotation in north-western Indian Himalayas. Agric. Ecosyst. Environ. 2017, 249, 177–186. [Google Scholar] [CrossRef]
- Melero, S.; Porras, J.C.R.; Herencia, J.F.; Madejon, E. Chemical and biochemical properties in a silty loam soil under conventional and organic management. Soil Tillage Res. 2006, 90, 162–170. [Google Scholar] [CrossRef]
- Liu, C.-A.; Li, F.-R.; Zhou, L.-M.; Zhang, R.-H.; Yu, J.; Lin, S.-L.; Wang, L.-J.; Siddique, K.H.M.; Li, F.-M. Effect of organic manure and fertilizer on soil water and crop yields in newly-built terraces with loess soils in a semi-arid environment. Agric. Water Manag. 2013, 117, 123–132. [Google Scholar] [CrossRef]
- Guo, J.H.; Liu, X.J.; Zhang, Y.; Shen, J.L.; Han, W.X.; Zhang, W.F.; Christie, P.; Goulding, K.W.T.; Vitousek, P.M.; Zhang, F.S. Significant acidification in major Chinese croplands. Science. 2010, 327, 1008–1010. [Google Scholar] [CrossRef]
- Liu, X.; Zhang, Y.; Han, W.; Tang, A.; Shen, J.; Cui, Z.; Vitousek, P.; Erisman, J.W.; Goulding, K.; Christie, P.; et al. Enhanced nitrogen deposition over China. Nature 2013, 494, 459–462. [Google Scholar] [CrossRef]
- Nyfeler, D.; Huguenin-Elie, O.; Suter, M.; Frossard, E.; Lüscher, A. Grass–legume mixtures can yield more nitrogen than legume pure stands due to mutual stimulation of nitrogen uptake from symbiotic and non-symbiotic sources. Agric. Ecosyst. Environ. 2011, 140, 155–163. [Google Scholar] [CrossRef]
- Norsworthy, J.K.; Brandenberger, L.; Burgos, N.R.; Riley, M. Weed suppression in Vigna unguiculata with a spring-seeded brassicaceae green manure. Crop Prot. 2005, 24, 441–447. [Google Scholar] [CrossRef]
- Zhang, Q.-C.; Shamsi, I.H.; Xu, D.-T.; Wang, G.-H.; Lin, X.-Y.; Jilani, G.; Hussain, N.; Chaudhry, A.N. Chemical fertilizer and organic manure inputs in soil exhibit a vice versa pattern of microbial community structure. Appl. Soil Ecol. 2012, 57, 1–8. [Google Scholar] [CrossRef]
- Bedini, S.; Avio, L.; Sbrana, C.; Turrini, A.; Migliorini, P.; Vazzana, C.; Giovannetti, M. Mycorrhizal activity and diversity in a long-term organic Mediterranean agroecosystem. Biol. Fertil. Soils 2013, 49, 781–790. [Google Scholar] [CrossRef]
- Tejada, M.; Gonzalez, J.L.; García-Martínez, A.M.; Parrado, J. Effects of different green manures on soil biological properties and maize yield. Bioresour. Technol. 2008, 99, 1758–1767. [Google Scholar] [CrossRef] [PubMed]
- Piotrowska, A.; Wilczewski, E. Effects of catch crops cultivated for green manure and mineral nitrogen fertilization on soil enzyme activities and chemical properties. Geoderma 2012, 189–190, 72–80. [Google Scholar] [CrossRef]
- Bedada, W.; Karltun, E.; Lemenih, M.; Tolera, M. Long-term addition of compost and NP fertilizer increases crop yield and improves soil quality in experiments on smallholder farms. Agric. Ecosyst. Environ. 2014, 195, 193–201. [Google Scholar] [CrossRef]
- Liu, Y.-R.; Li, X.; Shen, Q.-R.; Xu, Y.-C. Enzyme activity in water-stable soil aggregates as affected by long-term application of organic manure and chemical fertiliser. Pedosphere 2013, 23, 111–119. [Google Scholar] [CrossRef]
- Kumar, S.; Patra, A.K.; Singh, D.; Purakayastha, T.J. Long-term chemical fertilization along with farmyard manure enhances resistance and resilience of soil microbial activity against heat stress. J. Agron. Crop Sci. 2014, 200, 156–162. [Google Scholar] [CrossRef]
- Crews, T.; Peoples, M. Legume versus fertilizer sources of nitrogen: Ecological tradeoffs and human needs. Agric. Ecosyst. Environ. 2004, 102, 279–297. [Google Scholar] [CrossRef]
- Voisin, A.-S.; Guéguen, J.; Huyghe, C.; Jeuffroy, M.-H.; Magrini, M.-B.; Meynard, J.-M.; Mougel, C.; Pellerin, S.; Pelzer, E. Legumes for feed, food, biomaterials and bioenergy in Europe: A review. Agron. Sustain. Dev. 2014, 34, 361–380. [Google Scholar] [CrossRef]
- Ram, S.; Singh, V.; Sirari, P. Effects of 41 years of application of inorganic fertilizers and farm yard manure on crop yields, soil quality, and sustainable yield index under a rice-wheat cropping system on Mollisols of North India. Commun. Soil Sci. Plant Anal. 2016, 47, 179–193. [Google Scholar] [CrossRef]
- Choudhary, M.; Panday, S.C.; Meena, V.S.; Singh, S.; Yadav, R.P.; Mahanta, D.; Mondal, T.; Mishra, P.K.; Bisht, J.K.; Pattanayak, A. Long-term effects of organic manure and inorganic fertilization on sustainability and chemical soil quality indicators of soybean-wheat cropping system in the Indian mid-Himalayas. Agric. Ecosyst. Environ. 2018, 257, 38–46. [Google Scholar] [CrossRef]
- Das, A.; Sharma, R.P.; Chattopadhyaya, N.; Rakshit, R. Yield trends and nutrient budgeting under a long-term (28 years) nutrient management in rice-wheat cropping system under subtropical climatic condition. Plant Soil Environ. 2014, 60, 351–357. [Google Scholar] [CrossRef]
- Wanjari, R.H.; Singh, M.V.; Ghosh, P.K. Sustainable yield index: An approach to evaluate the sustainability of long-term intensive cropping systems in India. J. Sustain. Agric. 2004, 24, 39–56. [Google Scholar] [CrossRef]
- Dawe, D.; Dobermann, A.; Moya, P.; Abdulrachman, S.; Singh, B.; Lal, P.; Li, S.Y.; Lin, B.; Panaullah, G.; Sariam, O. How widespread are yield declines in long-term rice experiments in Asia? Field Crop. Res. 2000, 66, 175–193. [Google Scholar] [CrossRef]
- Xin, X.; Qin, S.; Zhang, J.; Zhu, A.; Yang, W.; Zhang, X. Yield, phosphorus use efficiency and balance response to substituting long-term chemical fertilizer use with organic manure in a wheat-maize system. F. Crop. Res. 2017, 208, 27–33. [Google Scholar] [CrossRef]
- Ashraf, M.; Mahmood, T.; Azam, F.; Qureshi, R.M. Comparative effects of applying leguminous and non-leguminous green manures and inorganic N on biomass yield and nitrogen uptake in flooded rice (Oryza sativa L.). Biol. Fertil. Soils 2004, 40, 147–152. [Google Scholar] [CrossRef]
- Zhao, X.; Wang, S.; Xing, G. Maintaining rice yield and reducing N pollution by substituting winter legume for wheat in a heavily-fertilized rice-based cropping system of southeast China. Agric. Ecosyst. Environ. 2015, 202, 79–89. [Google Scholar] [CrossRef]
- Xie, Z.; Tu, S.; Shah, F.; Xu, C.; Chen, J.; Han, D.; Liu, G.; Li, H.; Muhammad, I.; Cao, W. Substitution of fertilizer-N by green manure improves the sustainability of yield in double-rice cropping system in south China. Field Crop. Res. 2016, 188, 142–149. [Google Scholar] [CrossRef]
- Yadav, R.; Dwivedi, B.; Pandey, P. Rice-wheat cropping system: Assessment of sustainability under green manuring and chemical fertilizer inputs. Field Crop. Res. 2000, 65, 15–30. [Google Scholar] [CrossRef]
- Hong, X.; Ma, C.; Gao, J.; Su, S.; Li, T.; Luo, Z.; Duan, R.; Wang, Y.; Bai, L.; Zeng, X. Effects of different green manure treatments on soil apparent N and P balance under a 34-year double-rice cropping system. J. Soils Sediments 2019, 19, 73–80. [Google Scholar] [CrossRef]
- Baxter, S. World Reference Base for Soil Resources; World Soil Resources Report 103; Food and Agriculture Organization of the United Nations: Rome, Italy, 2006; p. 132. ISBN 92-5-10511-4. [Google Scholar]
- Yang, Z.; Xu, M.; Zheng, S.; Nie, J.; Gao, J.; Liao, Y.; Xie, J. Effects of long-term winter planted green manure on physical properties of reddish paddy soil under a double-rice cropping system. J. Integr. Agric. 2012, 11, 655–664. [Google Scholar] [CrossRef]
- Zhang, X.; Zhang, R.; Gao, J.; Wang, X.; Fan, F.; Ma, X.; Yin, H.; Zhang, C.; Feng, K.; Deng, Y. Thirty-one years of rice-rice-green manure rotations shape the rhizosphere microbial community and enrich beneficial bacteria. Soil Biol. Biochem. 2017, 104, 208–217. [Google Scholar] [CrossRef]
- Pages, A.L.; Miller, R.H.; Dennis, R.K. Methods of Soil Analysis. Part 2 Chemical Methods; Soil Science Society of America Inc.: Madison, WI, USA, 1982. [Google Scholar]
- Black, C.A. Methods of Soil Analysis Part II. Chemical and Microbiological Properties; American Society of Agriculture: Madison, WI, USA, 1965. [Google Scholar]
- Murphy, J.; Riley, J.P. A modified single solution method for the determination of phosphate in natural waters. Anal. Chim. Acta 1964, 27, 31–36. [Google Scholar] [CrossRef]
- Lu, R.K. Analytical Methods of Soil Agricultural Chemistry; China Agricultural Science and Technology Press: Beijing, China, 2000. [Google Scholar]
- Olsen, S.R. Estimation of Available Phosphorus in Soils by Extraction with Sodium Bicarbonate; US Dept. of Agriculture: Washington, DC, USA, 1954.
- Tabatabai, M.A. Methods of Soil Analysis. Part 2: Microbiological and Biochemical Properties; Mickelson, S.H.J.M.B., Ed.; Soil Science Society of America: Madison, WI, USA, 1994; pp. 775–833. [Google Scholar]
- Kandeler, E.; Gerber, H. Short-term assay of soil urease activity using colorimetric determination of ammonium. Biol. Fertil. Soils 1988, 6, 68–72. [Google Scholar] [CrossRef]
- Song, G.; Li, L.; Pan, G.; Zhang, Q. Topsoil organic carbon storage of China and its loss by cultivation. Biogeochemistry 2005, 74, 47–62. [Google Scholar] [CrossRef]
- OECD. OECD Compendium of Agri-Environmental Indicators; OECD: Paris, France, 2013; ISBN 9789264181151. [Google Scholar]
- Bai, Z.; Li, H.; Yang, X.; Zhou, B.; Shi, X.; Wang, B.; Li, D.; Shen, J.; Chen, Q.; Qin, W.; et al. The critical soil P levels for crop yield, soil fertility and environmental safety in different soil types. Plant Soil 2013, 372, 27–37. [Google Scholar] [CrossRef]
- Ouyang, W.; Li, Z.; Liu, J.; Guo, J.; Fang, F.; Xiao, Y.; Lu, L. Inventory of apparent nitrogen and phosphorus balance and risk of potential pollution in typical sloping cropland of purple soil in China—A case study in the Three Gorges Reservoir region. Ecol. Eng. 2017, 106, 620–628. [Google Scholar] [CrossRef]
- Singh, P.R.; Rao, S.K.; Das Bhaskarrao, U.M.; Ready, M.N. Sustainability Index under Different Management: Annual Report; CRIDA: Hydarabad, India, 1990. [Google Scholar]
- Steel, R.G.D.; Torrie, J.H.; Dickey, D.A. Principles and Procedures of Statistics: A Biological Approach; McGraw- Hill Book Compay: New York, NY, USA, 1997. [Google Scholar]
- De’Ath, G. Boosted trees for ecological modeling and prediction. Ecology 2007, 88, 243–251. [Google Scholar] [CrossRef]
- Manna, M.C.; Swarup, A.; Wanjari, R.H.; Ravankar, H.N.; Mishra, B.; Saha, M.N.; Singh, Y.V.; Sahi, D.K.; Sarap, P.A. Long-term effect of fertilizer and manure application on soil organic carbon storage, soil quality and yield sustainability under sub-humid and semi-arid tropical India. Field Crop. Res. 2005, 93, 264–280. [Google Scholar] [CrossRef]
- Tirol-Padre, A.; Ladha, J.K. Integrating rice and wheat productivity trends using the SAS mixed-procedure and meta-analysis. Field Crop. Res. 2006, 95, 75–88. [Google Scholar] [CrossRef]
- Shahid, M.; Nayak, A.K.; Shukla, A.K.; Tripathi, R.; Kumar, A.; Mohanty, S.; Bhattacharyya, P.; Raja, R.; Panda, B.B. Long-term effects of fertilizer and manure applications on soil quality and yields in a sub-humid tropical rice-rice system. Soil Use Manag. 2013, 29, 322–332. [Google Scholar] [CrossRef]
- Lin, H.; Jing, C.M.; Wang, J.H. The influence of long-term fertilization on soil acidification. Adv. Mater. Res. 2014, 955–959, 3552–3555. [Google Scholar] [CrossRef]
- Cai, Z.; Wang, B.; Xu, M.; Zhang, H.; He, X.; Zhang, L.; Gao, S. Intensified soil acidification from chemical N fertilization and prevention by manure in an 18-year field experiment in the red soil of southern China. J. Soils Sediments 2015, 15, 260–270. [Google Scholar] [CrossRef]
- Prabnakorn, S.; Maskey, S.; Suryadi, F.X.; Fraiture, C. De Rice yield in response to climate trends and drought index in the Mun River Basin, Thailand. Sci. Total Environ. 2018, 621, 108–119. [Google Scholar] [CrossRef] [PubMed]
- Oladele, S.O.; Adeyemo, A.J.; Awodun, M.A. Influence of rice husk biochar and inorganic fertilizer on soil nutrients availability and rain-fed rice yield in two contrasting soils. Geoderma 2019, 336, 1–11. [Google Scholar] [CrossRef]
- Gai, X.; Liu, H.; Liu, J.; Zhai, L.; Yang, B.; Wu, S.; Ren, T.; Lei, Q.; Wang, H. Long-term benefits of combining chemical fertilizer and manure applications on crop yields and soil carbon and nitrogen stocks in North China Plain. Agric. Water Manag. 2018, 208, 384–392. [Google Scholar] [CrossRef]
- Meena, B.P.; Biswas, A.K.; Singh, M.; Chaudhary, R.S.; Singh, A.B.; Das, H.; Patra, A.K. Long-term sustaining crop productivity and soil health in maize–chickpea system through integrated nutrient management practices in Vertisols of central India. Field Crop. Res. 2019, 232, 62–76. [Google Scholar] [CrossRef]
- Tirol-Padre, A.; Ladha, J.K.; Regmi, A.P.; Bhandari, A.L.; Inubushi, K. Organic Amendments Affect Soil Parameters in Two Long-Term Rice-Wheat Experiments. Soil Sci. Soc. Am. J. 2007, 71, 442. [Google Scholar] [CrossRef]
- Doltra, J.; Gallejones, P.; Olesen, J.E.; Hansen, S.; Frøseth, R.B.; Krauss, M.; Stalenga, J.; Jończyk, K.; Martínez-Fernández, A.; Pacini, G.C. Simulating soil fertility management effects on crop yield and soil nitrogen dynamics in field trials under organic farming in Europe. Field Crop. Res. 2019, 233, 1–11. [Google Scholar] [CrossRef]
- Thorup-Kristensen, K.; Magid, J.; Jensen, L.S. Catch crops and green manures as biological tools in nitrogen management in temperate zones. In Advances in Agronomy; Academic Press: Cambridge, MA, USA, 2003; Volume 79, pp. 227–302. ISBN 0120007975. [Google Scholar]
- Zhu, Q.; Liu, X.; Hao, T.; Zeng, M.; Shen, J.; Zhang, F.; Vries, W. De Modeling soil acidi fi cation in typical Chinese cropping systems. Sci. Total Environ. 2018, 613–614, 1339–1348. [Google Scholar] [CrossRef]
- Tang, C.; Conyers, M.K.; Nuruzzaman, M.; Poile, G.J.; Liu, D.L. Biological amelioration of subsoil acidity through managing nitrate uptake by wheat crops. Plant Soil 2011, 338, 383–397. [Google Scholar] [CrossRef]
- Stevens, C.J.; Dise, N.B.; Gowing, D.J. Regional trends in soil acidification and exchangeable metal concentrations in relation to acid deposition rates. Environ. Pollut. 2009, 157, 313–319. [Google Scholar] [CrossRef] [PubMed]
- Rukshana, F.; Butterly, C.R.; Xu, J.-M.; Baldock, J.A.; Tang, C. Organic anion-to-acid ratio influences pH change of soils differing in initial pH. J. Soils Sediments 2013, 14, 407–444. [Google Scholar] [CrossRef]
- Srinivasarao, C.; Venkateswarlu, B.; Lal, R.; Singh, A.K.; Kundu, S.; Vittal, K.P.R.; Patel, J.J.; Patel, M.M. Long-term manuring and fertilizer effects on depletion of soil organic carbon stocks under pearl millet-cluster beans-castor rotation in Western India. Land Degrad. Dev. 2014, 25, 173–183. [Google Scholar] [CrossRef]
- Thorup-Kristensen, K.; Dresbøll, D.B.; Kristensen, H.L. Crop yield, root growth, and nutrient dynamics in a conventional and three organic cropping systems with different levels of external inputs and N re-cycling through fertility building crops. Eur. J. Agron. 2012, 37, 66–82. [Google Scholar] [CrossRef]
- Fließbach, A.; Oberholzer, H.-R.; Gunst, L.; Mäder, P. Soil organic matter and biological soil quality indicators after 21 years of organic and conventional farming. Agric. Ecosyst. Environ. 2007, 118, 273–284. [Google Scholar] [CrossRef]
- Piotrowska-Długosz, A.; Wilczewski, E. Changes in enzyme activities as affected by green-manure catch crops and mineral nitrogen fertilization. Zemdirbyste Agric. 2014, 101, 139–146. [Google Scholar] [CrossRef][Green Version]
- Balík, J.; Černý, J.; Tlustoš, P.; Zitková, M. Nitrogen balance and mineral nitrogen content in the soil in a long experiment with maize under different systems of N fertilization. Plant Soil Environ. 2011, 49, 554–559. [Google Scholar] [CrossRef]
- Ladha, J.K.; Dawe, D.; Ventura, T.S.; Singh, U.; Ventura, W.; Watanabe, I. Long-term effects of urea and green manure on rice yields and nitrogen balance. Soil Sci. Soc. Am. J. 2000, 64, 1993. [Google Scholar] [CrossRef]
- Zhang, X.-X.; Gao, J.-S.; Cao, Y.-H.; Ma, X.-T.; He, J.-Z. Long-term rice and green manure rotation alters the endophytic bacterial communities of the rice root. Microb. Ecol. 2013, 66, 917–926. [Google Scholar] [CrossRef]
- Gabriel, J.L.; Muñoz-Carpena, R.; Quemada, M. The role of cover crops in irrigated systems: Water balance, nitrate leaching and soil mineral nitrogen accumulation. Agric. Ecosyst. Environ. 2012, 155, 50–61. [Google Scholar] [CrossRef]
- Yang, J.; Gao, W.; Ren, S.R. Response of soil phosphorus to P balance under long-term fertilization in fluvo-aquic soil. Sci. Agric. Sin. 2015, 48, 4738–4747. [Google Scholar]
- Blake, L.; Mercik, S.; Koerschens, M.; Moskal, S.; Poulton, P.R.; Goulding, K.W.T.; Weigel, A.; Powlson, D.S. Phosphorus content in soil, uptake by plants and balance in three European long-term field experiments. Nutr. Cycl. Agroecosyst. 2000, 56, 263–275. [Google Scholar] [CrossRef]







| Treatments | Average Grain Yield (kg ha−1) | Yield Sustainability Index | |||
|---|---|---|---|---|---|
| Early Rice Yield | Late Rice Yield | Early Rice | Late Rice | Double Rice Cropping | |
| R-R-F | 4532 ± 812 c | 4022 ± 780 c | 0.53 c | 0.59 c | 0.63 c |
| R-R-M | 6559 ± 819 a | 5859 ± 741 a | 0.72 a | 0.73 a | 0.75 a |
| R-R-R | 5853 ± 917 b | 5135 ± 623 b | 0.64 b | 0.71 a | 0.73 ab |
| R-R-G | 5769 ± 930 b | 5076 ± 728 b | 0.65 b | 0.65 b | 0.69 b |
| Year | Treatment | pH | SOM (g kg−1) | TN (g kg−1) | TP (g kg−1) |
|---|---|---|---|---|---|
| Initial values | 6.1 | 20.4 | 0.94 | 0.65 | |
| 1983–1990 | R-R-F | 6.04 ± 0.06 bc | 21.9 ± 0.34 c | 1.07 ± 0.03 c | 0.69 ± 0.01 b |
| R-R-M | 5.98 ± 0.07 c | 25.1 ± 0.29 a | 1.24 ± 0.03 a | 0.70 ± 0.02 b | |
| R-R-G | 6.07 ± 0.07 ab | 22.9 ± 0.84 b | 1.22 ± 0.02 a | 0.74 ± 0.02 a | |
| R-R-R | 6.13 ± 0.01 a | 23.0 ± 0.57 b | 1.15 ± 0.01 b | 0.70 ± 0.02 b | |
| 1991–2000 | R-R-F | 5.45 ± 0.03 c | 22.7 ± 0.45 c | 1.13 ± 1.01 d | 0.90 ± 0.02 b |
| R-R-M | 5.70 ± 0.13 a | 24.5 ± 0.44 a | 1.39 ± 0.02 a | 0.91 ± 0.02 b | |
| R-R-G | 5.57 ± 0.04 b | 23.6 ± 0.51 b | 1.21 ± 0.02 c | 0.89 ± 0.04 b | |
| R-R-R | 5.80 ± 0.04 a | 23.8 ± 0.35 b | 1.31 ± 0.02 b | 0.96 ± 0.04 a | |
| 2001–2016 | R-R-F | 5.78 ± 0.05 ns | 27.3 ± 0.52 c | 1.67 ± 0.03 c | 1.11 ± 0.03 b |
| R-R-M | 5.83 ± 0.08 | 28.7 ± 0.34 a | 1.84 ± 0.09 a | 1.13 ± 0.08 b | |
| R-R-G | 5.77 ± 0.04 | 27.9 ± 0.50 a | 1.75 ± 0.03 b | 1.26 ± 0.08 a | |
| R-R-R | 5.87 ± 0.08 | 28.8 ± 0.43 b | 1.74 ± 0.04 b | 1.22 ± 0.07 a | |
| Two-way ANOVA | Treatment (T) | *** | *** | *** | *** |
| Year (Y) | *** | *** | *** | *** | |
| T × Y | *** | *** | *** | * |
© 2019 by the authors. Licensee MDPI, Basel, Switzerland. This article is an open access article distributed under the terms and conditions of the Creative Commons Attribution (CC BY) license (http://creativecommons.org/licenses/by/4.0/).
Share and Cite
Qaswar, M.; Huang, J.; Ahmed, W.; Li, D.; Liu, S.; Ali, S.; Liu, K.; Xu, Y.; Zhang, L.; Liu, L.; et al. Long-Term Green Manure Rotations Improve Soil Biochemical Properties, Yield Sustainability and Nutrient Balances in Acidic Paddy Soil under a Rice-Based Cropping System. Agronomy 2019, 9, 780. https://doi.org/10.3390/agronomy9120780
Qaswar M, Huang J, Ahmed W, Li D, Liu S, Ali S, Liu K, Xu Y, Zhang L, Liu L, et al. Long-Term Green Manure Rotations Improve Soil Biochemical Properties, Yield Sustainability and Nutrient Balances in Acidic Paddy Soil under a Rice-Based Cropping System. Agronomy. 2019; 9(12):780. https://doi.org/10.3390/agronomy9120780
Chicago/Turabian StyleQaswar, Muhammad, Jing Huang, Waqas Ahmed, Dongchu Li, Shujun Liu, Sehrish Ali, Kailou Liu, Yongmei Xu, Lu Zhang, Lisheng Liu, and et al. 2019. "Long-Term Green Manure Rotations Improve Soil Biochemical Properties, Yield Sustainability and Nutrient Balances in Acidic Paddy Soil under a Rice-Based Cropping System" Agronomy 9, no. 12: 780. https://doi.org/10.3390/agronomy9120780
APA StyleQaswar, M., Huang, J., Ahmed, W., Li, D., Liu, S., Ali, S., Liu, K., Xu, Y., Zhang, L., Liu, L., Gao, J., & Zhang, H. (2019). Long-Term Green Manure Rotations Improve Soil Biochemical Properties, Yield Sustainability and Nutrient Balances in Acidic Paddy Soil under a Rice-Based Cropping System. Agronomy, 9(12), 780. https://doi.org/10.3390/agronomy9120780

