An Opportunity for Regenerative Rice Production: Combining Plastic Film Cover and Plant Biomass Mulch with No-Till Soil Management to Build Soil Carbon, Curb Nitrogen Pollution, and Maintain High-Stable Yield
Abstract
1. Introduction
1.1. Nitrogen Fertilizer Overuse and Livestock Waste are the Main Causes of Pollution in China
1.2. Drought and Low Temperature are the Major Constraints of Rice Production in Sichuan
1.3. Plastic Cover on Raised-Beds Counters the Effects of Drought and Low Temperature, Resulting in High-Stable Rice Yields with Substantially Reduced N Inputs
1.4. Mode of Action of the Plastic Film Cover with Raised-Bed Technology
1.5. Possibilities for Biodegradable Film Cover
1.6. Issue of Long-Term Soil Sustainability with an Increase in Soil Mineralization Rate
2. Materials and Methods
2.1. Site Description
2.2. Experimental Design and Trial Management
2.3. Crop Yield Measurements
2.4. Soil Analyses
2.5. Statistical Analyses
3. Results and Discussion
3.1. Effect of Biogas Slurry and Rapeseed Meal on Organic Rice Yield
3.2. Effect of Plant Residue Return and Plastic Cover on Organic Rice Yield
3.3. Effect of Biogas Slurry and Rapeseed Meal as Basic Organic Fertilizer, Return of Plant Residues, and Plastic Cover on Soil Organic Carbon (SOC)
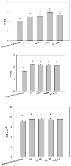
3.4. Effect of Biogas Slurry and Rapeseed Meal as Base Organic Fertilizer, Return of Plant Residues and Plastic Cover on Available NPK
3.5. Management of Crop Residue and Livestock Waste for Sustainable Rice Intensification
3.6. Gene-Centered Rice Intensification vs. Improvement in Cultural Practices
3.7. Use of Biodegradable Film Cover to Solve the Plastic-Cover Pollution Issue
3.8. Ecological Footprint and Pollution Reduction
4. Conclusions and Recommendations
Author Contributions
Funding
Acknowledgments
Conflicts of Interest
References
- Lu, Y.; Chadwick, D.; Norse, D.; Powlson, D.; Shi, W. Sustainable intensification of China’s agriculture: The key role of nutrient management and climate change mitigation and adaptation. Agric. Ecosyst. Environ. 2015, 100, 1–4. [Google Scholar] [CrossRef]
- FAO Statistics Division FAOSTAT. Available online: http://www.fao.org/faostat/en/ (accessed on 15 June 2019).
- Yu, C.; Huang, X.; Chen, H.; Godfray, H.C.J.; Wright, J.S.; Hall, J.W.; Gong, P.; Ni, S.; Qiao, S.; Huang, G.; et al. Managing nitrogen to restore water quality in China. Nature 2019, 567, 516. [Google Scholar] [CrossRef] [PubMed]
- United Nations; Department of Economic and Social Affairs; Population Division. World Population Prospects: The 2017 Revision, Data Booklet. ST/ESA/SER.A/401. 2017. Available online: https://population.un.org/wpp/Publications/Files/WPP2017_Data Booklet.pdf (accessed on 30 March 2019).
- Ministry of Agriculture of the People’s Republic of China. Action Plan for Zero Growth in the Application of Fertilizer by 2020. Available online: http://jiuban.moa.gov.cn/zwllm/ tzgg/tz/201503/t20150318_4444765.htm (accessed on 30 March 2019). (In Chinese)
- Ma, L.; Zhang, W.F.; Ma, W.Q.; Velthof, G.L.; Oenema, O.; Zhang, F.S. An analysis of developments and challenges in nutrient management in China. J. Environ. Qual. 2013, 42, 951–961. [Google Scholar] [CrossRef] [PubMed]
- Zhang, S.; Gao, P.; Tong, Y.; Norse, D.; Lu, Y.; Powlson, D. Overcoming nitrogen fertilizer over-use through technical and advisory approaches: A case study from Shaanxi Province, northwest China. Agric. Ecosyst. Environ. 2015, 209, 89–99. [Google Scholar] [CrossRef]
- The Chinese Are Eating More Meat than ever before, and the Planet Can’t Keep up. Available online: https://www.motherjones.com/environment/2018/07/the-chinese-are-eating-more-meat-than-ever-before-and-the-planet-cant-keep-up/ (accessed on 31 July 2018).
- Chadwick, D.; Jia, W.; Tong, Y.; Yu, G.; Shen, Q.; Chen, Q. Improving manure nutrient management towards sustainable intensification in China. Agric. Ecosyst. Environ. 2015, 209, 34–46. [Google Scholar] [CrossRef]
- Ministry of Water Resources of China. Groundwater Monthly Bulletin: January 2016 (P2). Available online: http://www.mwr.gov.cn/sj/tjgb/dxsdtyb/201702/t20170214_860969.html (accessed on 12 April 2019).
- Zhang, F.; Cui, Z.; Chen, X.; Ju, X.; Shen, J.; Chen, Q.; Liu, X.; Zhang, W.; Mi, G.; Fan, M.; et al. Integrated nutrient management for food security and environmental quality in China. In Advances in Agronomy; Sparks, D.L., Ed.; Academic Press: Cambridge, MA, USA, 2012; Volume 118, pp. 1–40. [Google Scholar]
- Improved Nutrient Management in Agriculture—A Neglected Opportunity for China’s Low Carbon Growth Path. Available online: http://www.sainonline.org/SAIN-Website(English)/download/PolicyBrief%20No1final.pdf (accessed on 12 April 2019).
- Qin, Y.; Yan, H.; Liu, J.; Dong, J.; Chen, J.; Xiao, X. Impacts of ecological restoration projects on agricultural productivity in China. J. Geogr. Sci. 2013, 23, 404–416. [Google Scholar] [CrossRef]
- Xu, F.X.; Xiong, H. Gene-Pool Structure and High-Yield Cultivation of Hybrid Rice High-Yield Species; China Agricultural Science and Technology Press: Beijing, China, 2015; Volume 1, pp. 1–20. (In Chinese) [Google Scholar]
- Lu, S.; Dong, Y.; Yuan, J.; Lee, H.; Padilla, H. A high–yielding, water–saving innovation combining SRI with plastic cover on no-till raised beds in Sichuan, China. Taiwan Water Conserv. 2013, 61, 94–109. (In English) [Google Scholar]
- Lu, S.H.; Zeng, X.Z.; Ren, G.J.; Zhang, F.S. Water-saving high yield integrated film mulching technology on paddy. Sci. Technol. Sichuan Agric. 2009, 20, 25. (In Chinese) [Google Scholar]
- Dong, Y.J.; Zeng, F.W.; Yuan, J.; Zhang, G.B.; Chen, Y.X.; Liu, X.J.; Hilario, P.; Ren, T.S.; Lu, S.H. Integrated rice management to simultaneously improve rice yield and nitrogen use efficiency in various paddy field environments. Pedosphere 2019. accepted. [Google Scholar]
- Uphoff, N. The System of Rice Intensification (SRI): Responses to Frequently-Asked Questions; SRI-Rice, Cornell University: Ithaca, NY, USA, 2015; Available online: http://sri.cals.cornell.edu/aboutsri/SRI_FAQs_Uphoff_2016.pdf (accessed on 21 June 2019).
- Fan, M.; Lu, S.; Jiang, R.; Liu, X.; Zhang, F. Triangular transplanting pattern and split nitrogen fertilizer application increase rice yield and nitrogen fertilizer recovery. Agron. J. 2009, 101, 1421–1425. [Google Scholar] [CrossRef]
- Zhao, X.; Lin, C.; Xu, M.; Huang, J.; Chen, Y.; Li, C.; Cai, Q. Effect of film-mulched treatment on weed diversity in rice field. Biodivers. Sci. 2009, 19, 195–200. [Google Scholar]
- Dong, Y.; Yuan, J.; Lu, S. Effect of long-term different cultivation modes and N applications on diversity of weed communities in oilseed rape fields under rice-oilseed rape rotation system. Southwest China J. Agric. Sci. 2015, 28, 1027–1032. (In Chinese) [Google Scholar]
- Liu, X.; Ai, Y.; Zhang, F.; Lu, S.; Zeng, X.; Fan, M. Crop production, nitrogen recovery and water use efficiency in rice–wheat rotation as affected by non-flooded mulching cultivation (NFMC). Nutr. Cycl. Agroecosys. 2005, 71, 289–299. [Google Scholar] [CrossRef]
- Zhang, L.; Lin, S.; Bouman, B.A.M.; Xue, C.; Wei, F.; Tao, H.; Yang, X.; Wang, H.; Dittert, K. Response of aerobic rice growth and grain yield to N fertilizer at two contrasting sites near Beijing, China. Field Crops Res. 2009, 114, 45–53. [Google Scholar] [CrossRef]
- Tao, Y.; Zhang, Y.; Jin, X.; Saiz, G.; Jing, R.; Guo, L.; Liu, M.J.; Shi, J.C.; Zuo, Q.; Tao, H.B.; et al. More rice with less water-evaluation of yield and resource use efficiency in ground cover rice production system with transplanting. Eur. J. Agron. 2015, 68, 13–21. [Google Scholar] [CrossRef]
- Lu, X.; Wu, L.; Zheng, Z.; Kong, X.; Zhang, F. Physiological characteristics of nitrogen nutrition and stress-resistance of film-mulched rice in various ecological regions of Zhejiang Province. J. Appl. Ecol. 2005, 16, 273–278. (In Chinese) [Google Scholar]
- Fan, M.S.; Jiang, R.F.; Zhang, F.S.; Lu, S.H.; Liu, X.J. Nutrient management strategy of paddy rice-upland crop rotation system. J. Appl. Ecol. 2008, 19, 424–432. (In Chinese) [Google Scholar]
- Huang, M.; Jiang, P.; Shan, S.; Gao, W.; Ma, G.; Zou, Y.; Uphoff, N.; Yuan, L.P. Higher yields of hybrid rice do not depend on nitrogen fertilization under moderate to high soil fertility conditions. Rice 2017, 10, 43. [Google Scholar] [CrossRef]
- Li, Z.; Xu, M.; Zhang, H.; Zhang, W.; Gao, J. Grain yield trends of different food crops under long-term fertilization in China. Sci. Agric. Sin. 2009, 42, 2407–2414. [Google Scholar]
- Peng, S.B.; Buresh, R.J.; Huang, J.L.; Zhong, X.H.; Zou, Y.B.; Yang, J.C.; Wang, G.H.; Liu, Y.Y.; Tan, Q.Y.; Cui, K.; et al. Improving nitrogen fertilization in rice by site-specific nutrient management: A review. Agron. Sustain. Dev. 2010, 30, 649–656. [Google Scholar] [CrossRef]
- Li, Y.S.; Wu, L.H.; Zhao, L.M.; Lu, X.H.; Fan, Q.L.; Zhang, F.S. Influence of continuous plastic film mulching on yield, water use efficiency and soil properties of rice fields under non-flooding condition. Soil Tillage Res. 2007, 93, 370–378. [Google Scholar] [CrossRef]
- Liu, M.; Lin, S.; Dannenmann, M.; Tao, Y.; Saiz, G.; Zuo, Q.; Sippel, S.; Wel, J.; Cao, J.; Cai, X.; et al. Do water-saving ground cover rice production systems increase grain yields at regional scales? Field Crops Res. 2013, 150, 19–28. [Google Scholar] [CrossRef]
- Zhang, Y.; Liu, M.; Saiz, G.; Dannenmann, M.; Guo, L.; Tao, Y.; Shi, J.; Zuo, Q.; Butterbach-Bahl, K.; Li, G.; et al. Enhancement of root systems improves productivity and sustainability in water saving ground cover rice production system. Field Crops Res. 2017, 213, 186–193. [Google Scholar] [CrossRef]
- Li, S.; Zuo, Q.; Jin, X.; Ma, W.; Shi, J.; Ben-Gal, A. The physiological processes and mechanisms for superior water productivity of a popular ground cover rice production system. Agric. Water Manag. 2018, 201, 11–20. [Google Scholar] [CrossRef]
- Wang, J.K.; Zhang, J.H.; Xu, X.C.; Zhang, X.; Cheng, F.; Sun, X.W.; Lin, L.P.; Chen, E.F. Effect of long-term covering with plastic film on characteristics of nitrogen in soil. Plant Nutr. Fertil. Sci. 1996, 2, 125–130. [Google Scholar]
- Chen, Z.; Lin, S.; Yao, Z.; Zheng, X.; Gschwendtner, S.; Schloter, M.; Liu, M.; Zhang, Y.; Butterbach-Bahl, K.; Dannenmann, M. Enhanced nitrogen cycling and N2O loss in water-saving ground cover rice production systems (GCRPS). Soil. Biol. Biochem. 2018, 121, 77–86. [Google Scholar] [CrossRef]
- Zheng, L.; Pei, J.; Jin, X.; Schaeffer, S.; An, T.; Wang, J. Impact of plastic film mulching and fertilizers on the distribution of straw-derived nitrogen in a soil-plant system based on 15N–labeling. Geoderma 2018, 317, 15–22. [Google Scholar] [CrossRef]
- Summers, C.G.; Stapleton, J.J. Use of UV reflective mulch to delay the colonization and reduce the severity of Bemisia argentifolii (Homoptera: Aleyrodidae) infestations in cucurbits. Crop Prot. 2002, 21, 921–928. [Google Scholar] [CrossRef]
- Ngouajio, M.; Auras, R.; Fernandez, R.T.; Rubino, M.; Counts, J.W.; Kijchavengkul, T. Field performance of aliphatic-aromatic copolyester biodegradable mulch films in a fresh market tomato production system. HortTechnology 2008, 18, 605–610. [Google Scholar] [CrossRef]
- Sun, B.; Zhang, L.; Yang, L.; Zhang, F.; Norse, D.; Zhu, Z. Agricultural non-point source pollution in China: Causes and mitigation measures. Ambio 2012, 41, 370–379. [Google Scholar] [CrossRef] [PubMed]
- Feuilloley, P.; Cesar, G.; Benguigui, L.; Grohens, Y.; Pillin, I.; Bewa, H.; Lefaux, S.; Jamal, M. Degradation of polyethylene designed for agricultural purposes. J. Polym. Environ. 2005, 13, 349–355. [Google Scholar] [CrossRef]
- Zumstein, M.T.; Schintlmeister, A.; Nelson, T.F.; Baumgartner, R.; Woebken, D.; Wagner, M.; Kohler, H.; McNeill, K.; Sander, M. Biodegradation of synthetic polymers in soils: Tracking carbon into CO2 and microbial biomass. Sci. Adv. 2018, 4, eaas9024. [Google Scholar] [CrossRef]
- Liu, X.J.; Wang, J.C.; Lu, S.H.; Zhang, F.S.; Zeng, X.Z.; Ai, Y.W.; Peng, S.B.; Christie, P. Effects of non-flooded mulching cultivation on crop yield, nutrient uptake and nutrient balance in rice-wheat cropping systems. Field Crops Res. 2003, 83, 297–311. [Google Scholar] [CrossRef]
- Liu, X.E.; Li, X.G.; Hai, L.; Wang, Y.P.; Fu, T.T.; Turner, N.C.; Li, F.M. Film-mulched ridge–furrow management increases maize productivity and sustains soil organic carbon in a dryland cropping system. Soil Sci. Soc. Am. J. 2014, 78, 1434–1441. [Google Scholar] [CrossRef]
- Palm, C.; Blanco-Canqui, H.; DeClerck, F.; Gatere, L.; Grace, P. Conservation agriculture and ecosystem services: An overview. Agric. Ecosyst. Environ. 2014, 187, 87–105. [Google Scholar] [CrossRef]
- International Cryosphere Climate Initiative. Open Burning. Available online: http://iccinet.org/open-burning/ (accessed on 12 April 2019).
- China Meteorological Data Service Center. Dataset of Annual Surface Observation Values in Individual Years (1981–2010) in China. Available online: http://data.cma.cn/en/?r=data/detail&dataCode=A.0029.0005 (accessed on 25 March 2019).
- Gee, G.W.; Bauder, J.W. Particle-size analysis. In Methods of Soil Analysis, Part 1: Physical and Mineralogical Methods; Klute, A., Ed.; Soil Science Society of America Book Series; American Society of Agronomy, and Soil Science Society of America: Madison, WI, USA, 1986; pp. 404–410. [Google Scholar]
- Liu, M.; Dannenmann, M.; Lin, S.; Saiz, G.; Yan, G.; Yao, Z.; Pelster, D.E.; Zhang, Y. Ground cover rice production systems increase soil carbon and nitrogen stocks at regional scale. Biogeosciences 2015, 12, 4831–4840. [Google Scholar] [CrossRef]
- Bao, S. Analysis of Soil and Agricultural Chemistry; Chinese Agricultural Press: Beijing, China, 2008. (In Chinese) [Google Scholar]
- International Rice Research Institute. China and IRRI. Available online: https://www.irri.org/where-we-work/countries/china (accessed on 12 April 2019).
- Dong, Y.J. Effects of Integrated Plastic Mulch Rice Management on Yield, Soil Temperature and Water Content, and Crop Nitrogen Use in the Hilly Area of Southwest China; China Agricultural University, College of Resources and Environment Sciences, Soil Science: Beijing, China, 2018. (In Chinese) [Google Scholar]
- Huang, X.Y.; Xu, Y.C.; Shen, Q.R.; Zhou, C.L.; Yin, J.L.; Dittert, K. Water use efficiency of rice crop cultivated under waterlogged and aerobic soil mulched with different materials. J. Soil Water Conserv. 2003, 17, 140–143. (In Chinese) [Google Scholar]
- Zheng, J.G.; Chi, Z.Z.; Li, X.Y.; Jiang, X.L. Agricultural water saving possible through SRI for water management in Sichuan, China. Taiwan Water Conserv. 2013, 61, 50–62. [Google Scholar]
- Sintim, H.Y.; Bandopadhyay, S.; English, M.E.; Bary, A.I.; DeBruyn, J.M.; Schaeffer, S.M.; Miles, C.A.; Reganold, J.P.; Flury, M. Impacts of biodegradable plastic mulches on soil health. Agric. Ecosyst. Environ. 2019, 273, 36–49. [Google Scholar] [CrossRef]
- Zhang, F.; Cui, Z.; Fan, M.; Zhang, W.; Chen, X.; Jiang, R. Integrated soil-crop system management: Reducing environmental risk while increasing crop productivity and improving nutrient use efficiency in China. J. Environ. Qual. 2011, 40, 1051–1057. [Google Scholar] [CrossRef]
- Ministry of Agriculture of the People’s Republic of China. Organic Fertilizer: NY 525-2012; Standard Press of China: Beijing, China, 2012. (In Chinese)
- Abubaker, J.; Risberg, K.; Pell, M. Biogas residues as fertilisers–effects on wheat growth and soil microbial activities. Appl. Energy 2012, 99, 126–134. [Google Scholar] [CrossRef]
- Pascual, J.A.; Garcia, C.; Hernandez, T.; Ayuso, M. Changes in the microbial activity of an arid soil amended with urban organic wastes. Biol. Fertil. Soils 1997, 24, 429–434. [Google Scholar] [CrossRef]
- Zhu, Y.; Chen, H.; Fan, J.; Wang, Y.; Li, Y.; Chen, J.; Fan, J.; Yang, S.; Hu, L.; Leung, H.; et al. Genetic diversity and disease control in rice. Nature 2000, 406, 718. [Google Scholar] [CrossRef] [PubMed]
- Liu, E.K.; He, W.Q.; Yan, C.R. ‘White revolution’ to ‘white pollution’—Agricultural plastic film mulch in China. Environ. Res. Lett. 2014, 9, 091001. [Google Scholar] [CrossRef]
- Steinmetz, Z.; Wollmann, C.; Schaefer, M.; Buchmann, C.; David, J.; Tröger, J.; Muñozac, K.; Frör, O.; Schaumann, G.E. Plastic mulching in agriculture: Trading short-term agronomic benefits for long-term soil degradation? Sci. Total Environ. 2016, 550, 690–705. [Google Scholar] [CrossRef]
- Kasirajan, S.; Ngouajio, M. Polyethylene and biodegradable mulches for agricultural applications: A review. Agron. Sustain. Dev. 2012, 32, 501–529. [Google Scholar] [CrossRef]
- Wood, S.; Cowie, A. A review of greenhouse gas emission factors for fertiliser production. Report for International Energy Agency (IEA) Bioenergy Task 38, June 2004. Research and Development Division, State Forests of New South Wales. Available online: http://www.sciencetheearth.com/uploads/2/4/6/5/24658156/2004_wood_a_review_of_greenhouse_gas_emission_factors.pdf (accessed on 12 April 2019).
- Li, Y.; Yang, L.Z.; Wang, C. Evaluation of fertilizing schemes for direct-seeding rice fields in Taihu Lake Basin, China. Turk. J. Agric. For. 2010, 34, 83–90. [Google Scholar]
- Qiao, J.; Yang, L.Z.; Yan, T.M.; Xue, F.; Zhao, D. Nitrogen fertilizer reduction in rice production for two consecutive years in the Taihu Lake area. Agric. Ecosyst. Environ. 2012, 146, 103–112. [Google Scholar] [CrossRef]
- Yang, Y.; Ni, X.; Zhou, Z.; Yu, L.; Liu, B.; Yang, Y.; Wu, Y. Performance of matrix-based slow-release urea in reducing nitrogen loss and improving maize yields and profits. Field Crops Res. 2017, 212, 73–81. [Google Scholar] [CrossRef]







| Code | Treatment | No Tillage | Mulch | ||
|---|---|---|---|---|---|
| Rice Season | Rapeseed Season | ||||
| Rapeseed Mulch | Plastic Cover | Straw Mulch | |||
| CT | Conventional tillage | ||||
| NTPC | No-till with plastic cover | ✓ | ✓ | ||
| NTCM | No-till with crop mulch (rapeseed plant residue in rice, and rice straw in rapeseed) | ✓ | ✓ | ✓ | |
| NTCMPC | No-till with both crop mulch and plastic cover (rapeseed plant residue for rice, and rice straw for rapeseed crop) | ✓ | ✓ | ✓ | ✓ |
| Organic Fertilizer | Total N (g kg−1) | Total P2O5 (g kg−1) | Total K2O (g kg−1) | pH |
|---|---|---|---|---|
| Biogas slurry | 0.8 | 0.7 | 1.05 | 7.4 |
| Rapeseed meal | 56.4 | 25.8 | 15.6 | 5.6 |
| Experimental Site | Rice Variety | Conventional Method (tons/ha) | Integrated Plastic Cover (tons/ha) |
|---|---|---|---|
| 1. Ziyang, Sichuan | Guiyu no.7 (traditional variety) | 6.30 | 7.65 |
| Chuanxiang 8108 (hybrid) | 6.52 | 8.80 | |
| 2. Jianyang, Sichuan | Guiyu no. 7 (traditional variety) | 5.50 | 6.75 |
| Chunaxiang 8108 (hybrid) | 5.85 | 8.00 |
| Cultivation Method | N Fertilizer Used (kg/ha) | N Fertilizer Saved (kg/ha) | CO2 Emissions Saved from N/ha * (kg/ha) | Adoption Area (ha) | N Fertilizer Saved (tons) | CO2 Emissions Saved from N (tons) |
|---|---|---|---|---|---|---|
| Conventional Chemical | 215 | 0 | NA | NA | NA | NA |
| Organic PCIT | 0 | 215 | 8644 | 1200 | 258,000 | 1037 |
| Chemical PCIT | 120 | 95 | 382 | 77,600 | 7,372,000 | 29,643 |
| Total | 7,630,000 | 30,680 |
© 2019 by the authors. Licensee MDPI, Basel, Switzerland. This article is an open access article distributed under the terms and conditions of the Creative Commons Attribution (CC BY) license (http://creativecommons.org/licenses/by/4.0/).
Share and Cite
Lv, S.H.; Dong, Y.J.; Jiang, Y.; Padilla, H.; Li, J.; Uphoff, N. An Opportunity for Regenerative Rice Production: Combining Plastic Film Cover and Plant Biomass Mulch with No-Till Soil Management to Build Soil Carbon, Curb Nitrogen Pollution, and Maintain High-Stable Yield. Agronomy 2019, 9, 600. https://doi.org/10.3390/agronomy9100600
Lv SH, Dong YJ, Jiang Y, Padilla H, Li J, Uphoff N. An Opportunity for Regenerative Rice Production: Combining Plastic Film Cover and Plant Biomass Mulch with No-Till Soil Management to Build Soil Carbon, Curb Nitrogen Pollution, and Maintain High-Stable Yield. Agronomy. 2019; 9(10):600. https://doi.org/10.3390/agronomy9100600
Chicago/Turabian StyleLv, Shi Hua, Yu Jiao Dong, Yuan Jiang, Hilario Padilla, Joanne Li, and Norman Uphoff. 2019. "An Opportunity for Regenerative Rice Production: Combining Plastic Film Cover and Plant Biomass Mulch with No-Till Soil Management to Build Soil Carbon, Curb Nitrogen Pollution, and Maintain High-Stable Yield" Agronomy 9, no. 10: 600. https://doi.org/10.3390/agronomy9100600
APA StyleLv, S. H., Dong, Y. J., Jiang, Y., Padilla, H., Li, J., & Uphoff, N. (2019). An Opportunity for Regenerative Rice Production: Combining Plastic Film Cover and Plant Biomass Mulch with No-Till Soil Management to Build Soil Carbon, Curb Nitrogen Pollution, and Maintain High-Stable Yield. Agronomy, 9(10), 600. https://doi.org/10.3390/agronomy9100600
