In Vitro Pathogenicity of Some Entomopathogenic Fungal Strains against Green Peach Aphid Myzus persicae (Homoptera: Aphididae)
Abstract
:1. Introduction
2. Materials and Methods
2.1. Insect Culture
2.2. Fungal Isolates and Conidial Suspensions Preparation
2.3. Pathogenicity Bioassays
2.4. Data Analysis
3. Results
3.1. Pathogenicity of Filtrates of Different Strains of B. bassiana and L. lecanii against M. persicae
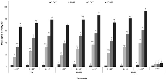
3.2. Virulence of Conidial Bioassay of Three Fungal Strains against M. persicae
3.3. Entomopathogenicity of Binary Combinations of Entomopathogenic Fungal Strains against M. persicae
4. Discussion
5. Conclusions
Author Contributions
Funding
Acknowledgments
Conflicts of Interest
References
- Torres-Quintero, M.C.; Arenas-Sosa, I.; Peña-Chora, G.; Hernández-Velázquez, V.M. Feeding chamber for Myzus persicae culture (Hemiptera: Aphididae). Fla. Entomol. 2013, 96, 1600–1602. [Google Scholar] [CrossRef]
- Van Emden, H.F.; Harrington, R. Aphids as Crop Pests; CAB International: Oxford, UK, 2017; p. 717. ISBN 9781780647098. [Google Scholar]
- Blair, A.; Ritz, B.; Wesseling, C.; Freeman, L.B. Pesticides and Human Health; BMJ Publishing Group Ltd.: London, UK, 2015. [Google Scholar]
- Motta-Delgado, P.A.; Murcia-Ordoñez, B. Hongos entomopatógenos como alternativa para el control biológico de plagas. Ambiente Água Interdiscip. J. Appl. Sci. 2011, 6, 77–90. [Google Scholar] [CrossRef]
- Majeed, M.Z.; Fiaz, M.; Ma, C.-S.; Afzal, M. Entomopathogenicity of Three Muscardine Fungi, Beauveria bassiana, Isaria fumosorosea and Metarhizium anisopliae, against the Asian Citrus Psyllid, Diaphorina citri Kuwayama (Hemiptera: Psyllidae). Egypt. J. Biol. Pest Control 2017, 27, 211–215. [Google Scholar]
- Sahayaraj, K.; Namachivayam, S. Field evaluation of three entomopathogenic fungi on groundnut pests. Tropicultura 2011, 29, 143–147. [Google Scholar]
- Scholte, E.-J.; Knols, B.G.; Samson, R.A.; Takken, W. Entomopathogenic fungi for mosquito control: A review. J. Insect Sci. 2004, 4, 19. [Google Scholar] [CrossRef] [PubMed]
- Tanzini, M.R.; Batista, S.; Setten, A.; Toschi, N. Compatibilidad de agentes tensoactivos con Beauveria bassiana y Metarhizium anisopliae. Manejo Integrado de Plagas Costa Rica 2001, 59, 15–18. [Google Scholar]
- Cabanillas, H.E.; Jones, W.A. Pathogenicity of Isaria sp. (Hypocreales: Clavicipitaceae) against the sweet potato whitefly B biotype, Bemisia tabaci (Hemiptera: Aleyrodidae). Crop Prot. 2009, 28, 333–337. [Google Scholar] [CrossRef]
- Landa, Z.; Osborne, L.; Lopez, F.; Eyal, J. A Bioassay for Determining Pathogenicity of Entomogenous Fungi on Whiteflies1. Biol. Control 1994, 4, 341–350. [Google Scholar] [CrossRef]
- Muştu, M.; Demirci, F.; Kaydan, M.B.; Ülgentürk, S. Laboratory assay of the effectiveness of the entomopathogenic fungus Isaria farinosa (Holmsk.) Fries (Sordariomycetes: Hypocreales) against the vine mealybug Planococcus ficus (Signoret) (Hemiptera: Pseudococcidae), even under the use of fungicides. Int. J. Pest Manag. 2015, 61, 264–271. [Google Scholar] [CrossRef]
- Ekesi, S.; Dimbi, S.; Maniania, N. The Role of Entomopathogenic fungi in the Integrated Management of Fruit Flies (Diptera: Tephritidae) with Emphasis on Species Occurring in Africa; Research SignPost: Kerala, India, 2007; Volume 37, pp. 239–274. [Google Scholar]
- Mora, M.A.E.; Castilho, A.M.C.; Fraga, M.E. Classification and infection mechanism of Entomopathogenic fungi. Arquivos do Instituto Biológico 2017, 84. [Google Scholar] [CrossRef]
- Nasir, M.; Hussain, M.; Iqbal, B.; Shehzad, M.A.; Ali, S.; Abbas, W.; Javed, M.M.; Hussain, S. A review on whitefly control by the use of Entomopathogenic fungi. In Proceedings of the 8th National Conference of Plant Pathology, University of Agriculture, Faisalabad, Pakistan, 28–29 November 2011; pp. 28–40. [Google Scholar]
- Copping, L.G. The Manual of Biocontrol Agents; British Crop Protection Council: Alton, UK, 2004. [Google Scholar]
- Zimmermann, G. Review on safety of the entomopathogenic fungi Beauveria bassiana and Beauveria brongniartii. Biocontrol Sci. Technol. 2007, 17, 553–596. [Google Scholar] [CrossRef]
- Annamalai, M.; Kaushik, H.; Selvaraj, K. Bioefficacy of Beauveria bassiana (Balsamo) Vuillemin and Lecanicillium lecanii Zimmerman against Thrips tabaci Lindeman. Proc. Natl. Acad. Sci. India Sect. B Biol. Sci. 2016, 86, 505–511. [Google Scholar] [CrossRef]
- Dogan, Y.O.; Hazir, S.; Yildiz, A.; Butt, T.M.; Cakmak, I. Evaluation of entomopathogenic fungi for the control of Tetranychus urticae (Acari: Tetranychidae) and the effect of Metarhizium brunneum on the predatory mites (Acari: Phytoseiidae). Biol. Control 2017, 111, 6–12. [Google Scholar] [CrossRef]
- Freed, S.; Jin, F.-L.; Ren, S.-X. Phylogenetics of entomopathogenic fungi isolated from the soils of different ecosystems. Pak. J. Zool. 2011, 43, 417–425. [Google Scholar]
- Meyling, N.V.; Pell, J.K.; Eilenberg, J. Dispersal of Beauveria bassiana by the activity of nettle insects. J. Invertebr. Pathol. 2006, 93, 121–126. [Google Scholar] [CrossRef] [PubMed]
- Samson, R.A.; Evans, H.C.; Latgé, J.-P. Atlas of Entomopathogenic fungi; Springer Science & Business Media: Berlin, Germany, 2013. [Google Scholar]
- Barta, M. Pathogenicity assessment of entomopathogenic fungi infecting Leptoglossus occidentalis (Heteroptera: Coreidae). Czech. Mycol. 2010, 62, 67–78. [Google Scholar]
- Xu, J.-H.; Feng, M.-G. Pandora delphacis (Entomophthorales: Entomophthoraceae) infection affects the fecundity and population dynamics of Myzus persicae (Homoptera: Aphididae) at varying regimes of temperature and relative humidity in the laboratory. Biol. Control 2002, 25, 85–91. [Google Scholar] [CrossRef]
- Finney, D. Probit Analysis; Cambridge University Press: London, UK, 1971; p. 333. [Google Scholar]
- Amnuaykanjanasin, A.; Jirakkakul, J.; Panyasiri, C.; Panyarakkit, P.; Nounurai, P.; Chantasingh, D.; Eurwilaichitr, L.; Cheevadhanarak, S.; Tanticharoen, M. Infection and colonization of tissues of the aphid Myzus persicae and cassava mealybug Phenacoccus manihoti by the fungus Beauveria bassiana. BioControl 2013, 58, 379–391. [Google Scholar] [CrossRef]
- de Faria, M.R.; Wraight, S.P. Mycoinsecticides and mycoacaricides: A comprehensive list with worldwide coverage and international classification of formulation types. Biol. Control 2007, 43, 237–256. [Google Scholar] [CrossRef]
- Shah, P.; Pell, J. Entomopathogenic fungi as biological control agents. Appl. Microbiol. Biotechnol. 2003, 61, 413–423. [Google Scholar] [CrossRef]
- Yun, H.-G.; Kim, D.-J.; Gwak, W.-S.; Shin, T.-Y.; Woo, S.-D. Entomopathogenic Fungi as Dual Control Agents against Both the Pest Myzus persicae and Phytopathogen Botrytis cinerea. Mycobiology 2017, 45, 192–198. [Google Scholar] [CrossRef]
- Khan, S.; Guo, L.; Shi, H.; Mijit, M.; Qiu, D. Bioassay and enzymatic comparison of six entomopathogenic fungal isolates for virulence or toxicity against green peach aphids Myzus persicae. Afr. J. Biotechnol. 2012, 11, 14193–14203. [Google Scholar] [CrossRef]
- Hesketh, H.; Alderson, P.G.; Pye, B.J.; Pell, J.K. The development and multiple uses of a standardised bioassay method to select hypocrealean fungi for biological control of aphids. Biol. Control 2008, 46, 242–255. [Google Scholar] [CrossRef]
- Loureiro, E.S.; Oliveira, N.C.; Wilcken, C.F.; Batista, A.B. Patogenicidade de Verticillium lecanii ao pulgão-do-pinus. Revista Árvore 2004, 28, 765–770. [Google Scholar] [CrossRef]
- Ashouri, A.; Arzanian, N.; Askary, H.; Rasoulian, G. Pathogenicity of the fungus, Verticillium lecanii, to the green peach aphid, Myzus persicae (Hom.: Aphididae). Commun. Agric. Appl. Biol. Sci. 2004, 69, 205–209. [Google Scholar]
- Ansari, M.; Vestergaard, S.; Tirry, L.; Moens, M. Selection of a highly virulent fungal isolate, Metarhizium anisopliae CLO 53, for controlling Hoplia philanthus. J. Invertebr. Pathol. 2004, 85, 89–96. [Google Scholar] [CrossRef]
- Wright, M.S.; Raina, A.K.; Lax, A.R. A strain of the fungus Metarhizium anisopliae for controlling subterranean termites. J. Econ. Entomol. 2005, 98, 1451–1458. [Google Scholar] [CrossRef]
- Blanford, S.; Thomas, M.B.; Pugh, C.; Pell, J.K. Temperature checks the Red Queen? Resistance and virulence in a fluctuating environment. Ecol. Lett. 2003, 6, 2–5. [Google Scholar] [CrossRef]
- Al-alawi, M.S.; Obeidat, M. Selection of Beauveria bassiana (Balsamo) Vuillemin isolates for management of Myzus persicae (Sultzar) (Hom.: Aphidae) based on virulence and growth related characteristics. Am. J. Agric. Biol. Sci. 2014, 9, 94. [Google Scholar] [CrossRef]
- Abdelaziz, O.; Senoussi, M.M.; Oufroukh, A.; Birgücü, A.K.; Karaca, İ.; Kouadri, F.; Naima, B.; Bensegueni, A. Pathogenicity of three entomopathogenic fungi, to the aphid species, Metopolophium dirhodum (Walker) (Hemiptera: Aphididae), and their Alkaline protease activities. Egypt. J. Biol. Pest Control 2018, 28, 24. [Google Scholar] [CrossRef]
- Al-Keridis, L.A. Entomopathogenic Fungi as A biological Control Agents on green peach aphid, Myzus persicae in Potatoes Crop. Int. J. ChemTech Res. 2017, 10, 378–385. [Google Scholar]
- Jandricic, S.; Filotas, M.; Sanderson, J.; Wraight, S. Pathogenicity of conidia-based preparations of entomopathogenic fungi against the greenhouse pest aphids Myzus persicae, Aphis gossypii, and Aulacorthum solani (Hemiptera: Aphididae). J. Invertebr. Pathol. 2014, 118, 34–46. [Google Scholar] [CrossRef]
- Anbesse, S.A.; Adge, B.J.; Gebru, W.M. Laboratory screening for virulent entomopathogenic nematodes (Heterorhabditis bacteriophora and Steinernema yirgalemense) and fungi (Metarhizium anisopliae and Beauveria bassiana) and assessment of possible synergistic effects of combined use against grubs of the barley chafer Coptognathus curtipennis. Nematology 2008, 10, 701–709. [Google Scholar]
- Wraight, S.P.; Carruthers, R.I. Production, delivery, and use of mycoinsecticides for control of insect pests on field crops. In Biopesticides: Use and Delivery; Humana Press Inc.: Totowa, NJ, USA, 1999; pp. 233–269. [Google Scholar]
- Goettel, M.S.; Jaronski, S.T. Safety and registration of microbial agents for control of grasshoppers and locusts. Mem. Entomol. Soc. Can. 1997, 129, 83–99. [Google Scholar] [CrossRef]



| Isolates | Strain Code | Original Host | Geographical Origin |
|---|---|---|---|
| Beauveria bassiana 72 | BB-72 | Green peach aphid | Vladivostok (Russia) |
| Beauveria bassiana 252 | BB-252 | Green peach aphid | Vladivostok (Russia) |
| Lecanicillium lecanii 4 | V-4 | Whitefly | Moscow (Russia) |
| Source | DF | SS | MS | F-value | p-Value * |
|---|---|---|---|---|---|
| Treatments | 3 | 97003 | 32334.2 | 426.38 | ≤0.001 |
| Time | 3 | 39507 | 13169.2 | 173.66 | ≤0.001 |
| Time × Treatments | 9 | 13548 | 1505.3 | 19.85 | ≤0.001 |
| Error | 144 | 10920 | 75.8 | ||
| Total | 159 | 160978 | |||
| CV/GM | 18/48.375 |
| Source | DF | SS | MS | F-value | p-Value |
|---|---|---|---|---|---|
| Concentration | 3 | 117064 | 39021.3 | 600.11 | ≤0.001 |
| Time | 3 | 204284 | 68094.7 | 1047.24 | ≤0.001 |
| Treatment | 2 | 1718 | 859.0 | 13.21 | ≤0.001 |
| Concentration × Time | 9 | 71757 | 7973.0 | 122.62 | ≤0.001 |
| Concentration × Treatment | 6 | 645 | 107.6 | 1.65 | 0.131 |
| Time × Treatment | 6 | 745 | 124.2 | 1.91 | ≤0.05 |
| Concentration × Time × Treatment | 18 | 411 | 22.8 | 0.35 | 0.994 |
| Error | 432 | 28090 | 65.0 | ||
| Total | 479 | 424715 | |||
| CV/GM | 26.1/30.9 |
| Fungal Strain | Observation Time (days) | LC50 (%) | 95% FL | Slope ± SE | X2 (DF = 28) | p-Value |
|---|---|---|---|---|---|---|
| BB-72 | 10 | 3.09 × 104 | 7.974–10.493 | 0.395 ± 0.035 | 197.736 | ≤0.01 |
| BB-252 | 10 | 1.29 × 104 | 8.759–15.214 | 0.278 ± 0.032 | 192.637 | ≤0.01 |
| V-4 | 10 | 4.10 × 103 | 10.306–23.828 | 0.183 ± 0.030 | 107.348 | ≤0.01 |
| Source | DF | SS | MS | F-value | p-Value |
|---|---|---|---|---|---|
| Treatments | 3 | 894 | 297.8 | 4.15 | 0.001 |
| Time | 4 | 109763 | 27440.8 | 382.01 | <0.001 |
| Time × Treatments | 12 | 1049 | 87.4 | 1.22 | 0.2743 |
| Error | 180 | 12930 | 71.8 | ||
| Total | 199 | 124636 | |||
| CV/GM | 27.21/31.150 |
© 2018 by the authors. Licensee MDPI, Basel, Switzerland. This article is an open access article distributed under the terms and conditions of the Creative Commons Attribution (CC BY) license (http://creativecommons.org/licenses/by/4.0/).
Share and Cite
Nazir, T.; Basit, A.; Hanan, A.; Majeed, M.Z.; Qiu, D. In Vitro Pathogenicity of Some Entomopathogenic Fungal Strains against Green Peach Aphid Myzus persicae (Homoptera: Aphididae). Agronomy 2019, 9, 7. https://doi.org/10.3390/agronomy9010007
Nazir T, Basit A, Hanan A, Majeed MZ, Qiu D. In Vitro Pathogenicity of Some Entomopathogenic Fungal Strains against Green Peach Aphid Myzus persicae (Homoptera: Aphididae). Agronomy. 2019; 9(1):7. https://doi.org/10.3390/agronomy9010007
Chicago/Turabian StyleNazir, Talha, Abdul Basit, Abdul Hanan, Muhammad Zeeshan Majeed, and Dewen Qiu. 2019. "In Vitro Pathogenicity of Some Entomopathogenic Fungal Strains against Green Peach Aphid Myzus persicae (Homoptera: Aphididae)" Agronomy 9, no. 1: 7. https://doi.org/10.3390/agronomy9010007
APA StyleNazir, T., Basit, A., Hanan, A., Majeed, M. Z., & Qiu, D. (2019). In Vitro Pathogenicity of Some Entomopathogenic Fungal Strains against Green Peach Aphid Myzus persicae (Homoptera: Aphididae). Agronomy, 9(1), 7. https://doi.org/10.3390/agronomy9010007

