Prospects of Forage Production in Northern Regions under Climate and Land-Use Changes: A Case-Study of a Dairy Farm in Newfoundland, Canada
Abstract
1. Introduction
2. Materials and Methods
2.1. Physiography and Farm Characteristics
2.2. Integrated Farm System Model
2.3. Past and Future Climate Data
2.4. Scenario Assessments
2.5. Caveats and Assumptions
3. Results
3.1. Future Climate Trends
3.2. Agronomic Performance in the Reference Period (1990–2016)
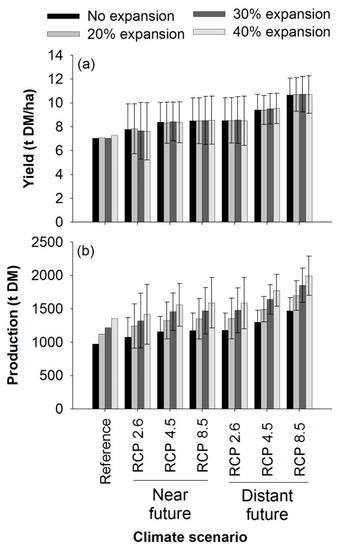
3.3. Impact of Cropland Expansion and Climate Change on Agronomic Performance
3.4. Forage Self-Sufficiency
4. Discussion
5. Conclusions
Author Contributions
Funding
Acknowledgments
Conflicts of Interest
Abbreviations
| CanESM2 | Canadian Earth System Model - Second generation |
| CCSM4 | Community Climate System Model version 4 |
| CHU | Corn heat unit |
| CMIP5 | Coupled Model Intercomparison Project Phase 5 |
| CP | Crude protein |
| DF | Distant future |
| DM | Dry matter |
| ET | Evapotranspiration |
| FPCM | Fat and protein corrected milk |
| GCM | General circulation model |
| GHG | Greenhouse gas |
| GDD | Growing degree-days |
| HadGEM2 | Hadley Centre Global Environmental Model version 2 |
| IFSM | Integrated Farm System Model |
| NF | Near future |
| NDF | Neutral detergent fiber |
| PCIC | Pacific Climate Impacts Consortium |
| RCP | Representative concentration pathway |
References
- Godfray, H.C.J.; Beddington, J.R.; Crute, I.R.; Haddad, L.; Lawrence, D.; Muir, J.F.; Pretty, J.; Robinson, S.; Thomas, S.M.; Toulmin, C. Food security: The challenge of feeding 9 billion people. Science 2010, 327, 812–818. [Google Scholar] [CrossRef] [PubMed]
- King, M.; Altdorff, D.; Li, P.; Galagedara, L.; Holden, J.; Unc, A. Northward shift of the agricultural climate zone under 21st-century global climate change. Sci. Rep. 2018, 8, 7904. [Google Scholar] [CrossRef] [PubMed]
- Bootsma, A.; Gameda, S.; McKenney, D.W. Potential impacts of climate change on corn, soybeans and barley yields in atlantic Canada. Can. J. Soil Sci. 2005, 85, 345–357. [Google Scholar] [CrossRef]
- Thivierge, M.-N.; Jégo, G.; Bélanger, G.; Chantigny, M.H.; Rotz, C.A.; Charbonneau, É.; Baron, V.S.; Qian, B. Projected impact of future climate conditions on the agronomic and environmental performance of canadian dairy farms. Agric. Syst. 2017, 157, 241–257. [Google Scholar] [CrossRef]
- Thivierge, M.-N.; Jégo, G.; Bélanger, G.; Bertrand, A.; Tremblay, G.F.; Rotz, C.A.; Qian, B. Predicted yield and nutritive value of an alfalfa–timothy mixture under climate change and elevated atmospheric carbon dioxide. Agron. J. 2016, 108, 585–603. [Google Scholar] [CrossRef]
- Thivierge, M.-N.; Jégo, G.; Belanger, G.; Bertrand, A.; Tremblay, G.; Baron, V.; Rotz, C.; Qian, B. Forage crop yield and nutritive value under climate change in Canada. In Proceedings of the Multiple Roles of Grassland in the European Bioeconomy. Proceedings of the 26th General Meeting of the European Grassland Federation, Trondheim, Norway, 4–8 September 2016; pp. 826–828. [Google Scholar]
- Kwabiah, A.B.; MacPherson, M.; McKenzie, D.B. Corn heat unit variability and potential of corn (zea mays l.) production in a cool climate ecosystem. Can. J. Plant Sci. 2003, 83, 689–698. [Google Scholar] [CrossRef]
- Jamieson, S.; Hughes, S.; Knezevic, I. Considerations for Seed Security and Biodiversity Conservation in Newfoundland; Atlantic Canadian Organic Regional Network: Sackville, NB, Canada, 2016. [Google Scholar]
- Todd, A.G.; Spaner, D. Spring cereals for forage and grain production in a cool maritime climate. J. Agron. Crop Sci. 2003, 189, 7–13. [Google Scholar] [CrossRef]
- Spaner, D.; McKenzie, D.B.; Todd, A.G.; Simms, A.; MacPherson, M.; Woodrow, E.F. Six years of adaptive and on-farm spring cereal research in newfoundland. Can. J. Plant Sci. 2000, 80, 205–216. [Google Scholar] [CrossRef]
- CBC. Grow your own: How n.L. Plans to produce more of its own food. Available online: http://www.Cbc.Ca/news/canada/newfoundland-labrador/crown-land-farming-food-security-young-farmers-1.3990939 (accessed on 11 January 2019).
- Government of Newfoundland and Labrador. Fisheries and land resources: Dairy. Available online: http://www.Faa.Gov.Nl.Ca/agrifoods/animals/livestock/dairy.Html (accessed on 11 January 2019).
- Ahuja, L.R.; Andales, A.A.; Ma, L.; Saseendran, S.A. Whole-system integration and modeling essential to agricultural science and technology for the 21st century. J. Crop Improv. 2007, 19, 73–103. [Google Scholar] [CrossRef]
- Beukes, P.C.; Palliser, C.C.; Macdonald, K.A.; Lancaster, J.A.S.; Levy, G.; Thorrold, B.S.; Wastney, M.E. Evaluation of a whole-farm model for pasture-based dairy systems. J. Dairy Sci. 2008, 91, 2353–2360. [Google Scholar] [CrossRef]
- Rodriguez, D.; Cox, H.; deVoil, P.; Power, B. A participatory whole farm modelling approach to understand impacts and increase preparedness to climate change in australia. Agric. Syst. 2014, 126, 50–61. [Google Scholar] [CrossRef]
- Crosson, P.; Shalloo, L.; O’Brien, D.; Lanigan, G.J.; Foley, P.A.; Boland, T.M.; Kenny, D.A. A review of whole farm systems models of greenhouse gas emissions from beef and dairy cattle production systems. Anim. Feed Sci. Technol. 2011, 166–167, 29–45. [Google Scholar] [CrossRef]
- Janzen, H.H.; Angers, D.A.; Boehm, M.; Bolinder, M.; Desjardins, R.L.; Dyer, J.; Ellert, B.H.; Gibb, D.J.; Gregorich, E.G.; Helgason, B.L.; et al. A proposed approach to estimate and reduce net greenhouse gas emissions from whole farms. Can. J. Soil Sci. 2006, 86, 401–418. [Google Scholar] [CrossRef]
- Chianese, D.S.; Rotz, C.A.; Richard, T.L. Whole-farm greenhouse gas emissions: A review with application to a pennsylvania dairy farm. Appl. Eng. Agric. 2009, 25, 431. [Google Scholar] [CrossRef]
- McGeough, E.J.; Little, S.M.; Janzen, H.H.; McAllister, T.A.; McGinn, S.M.; Beauchemin, K.A. Life-cycle assessment of greenhouse gas emissions from dairy production in eastern Canada: A case study. J. Dairy Sci. 2012, 95, 5164–5175. [Google Scholar] [CrossRef] [PubMed]
- Little, S.; Benchaar, C.; Janzen, H.; Kröbel, R.; McGeough, E.; Beauchemin, K. Demonstrating the effect of forage source on the carbon footprint of a canadian dairy farm using whole-systems analysis and the holos model: Alfalfa silage vs. Corn silage. Climate 2017, 5, 87. [Google Scholar] [CrossRef]
- Statistics Canada. Table 32-10-0403-01—Farms classified by farm type, cansim (database). 2018. Available online: https://www150.statcan.gc.ca/t1/tbl1/en/tv.action?pid=3210040301 (accessed on 11 January 2019).
- Kottek, M.; Grieser, J.; Beck, C.; Rudolf, B.; Rubel, F. World map of the köppen-geiger climate classification updated. Meteorologische Zeitschrift 2006, 15, 259–263. [Google Scholar] [CrossRef]
- Environment and Climate Change Canada. Canadian climate normals 1981–2010. 2018. Available online: http://climate.Weather.Gc.Ca/climate_normals/ (accessed on 11 January 2019).
- Mahanna, B.; Thomas, E. Tips to compare corn maturity. Available online: https://www.Pioneer.Com/home/site/us/silage-zone/corn_silage_plant/compare-corn-maturity/ (accessed on 11 January 2019).
- Heringa, P.K. Soils of the Avalon Peninsula, Newfoundland; Research Branch Agriculture Canada: St. John’s, NL, Canada, 1981; Volume 113. [Google Scholar]
- Expert Committee on Soil Survey. The Canada Soil Information System (Cansis): Manual for Describing Soils in the Field, 1982 Revised; Land Resource Research Institute, Research Branch, Agriculture Canada: Ottawa, ON, Canada, 1982; p. 166. [Google Scholar]
- Statistics Canada. Table 001-0071—Estimated areas, yield and production of principal field crops by small area data regions, in metric and imperial units, annual, cansim (database). 2017. Available online: https://www150.statcan.gc.ca/t1/tbl1/en/tv.action?pid=3210000201 (accessed on 11 January 2019).
- Kwabiah, A.B. Growth, maturity, and yield responses of silage maize (zea mays l.) to hybrid, planting date and plastic mulch. J. New Seeds 2005, 7, 37–59. [Google Scholar] [CrossRef]
- American Society of Agricultural and Biological Engineers (ASABE). Manure Production and Characteristics; ASABE: St. Joseph, MI, USA, 2005.
- Rotz, C.; Corson, M.; Chianese, D.; Montes, F.; Hafner, S.; Bonifacio, H.; Coiner, C. The integrated farm system model, reference manual version 4.2. Agricultural research service, USDA. 2015. [Google Scholar]
- Jégo, G.; Rotz, C.A.; Bélanger, G.; Tremblay, G.F.; Charbonneau, É.; Pellerin, D. Simulating forage crop production in a northern climate with the integrated farm system model. Can. J. Plant Sci. 2015, 95, 745–757. [Google Scholar] [CrossRef]
- Rotz, C.; Corson, M.; Chianese, D.; Montes, F.; Hafner, S.; Bonifacio, H.; Coiner, C. The integrated farm system model, reference manual version 4.4. Agricultural research service, USDA; 2018. Available online: https://www.Ars.Usda.Gov/northeast-area/uppa/pswmru/docs/integrated-farm-system-model/#reference (accessed on 11 January 2019).
- Environment and Climate Change Canada. Historical climate data. Available online: http://climate.Weather.Gc.Ca/index_e.Html#access (accessed on 18 January 2018).
- Hargreaves, G.H.; Samani, Z.A. Reference crop evapotranspiration from temperature. Appl. Eng. Agric. 1985, 1, 96–99. [Google Scholar] [CrossRef]
- Aladenola, O.O.; Madramootoo, C.A. Evaluation of solar radiation estimation methods for reference evapotranspiration estimation in Canada. Theor. Appl. Climatol. 2013, 118, 377–385. [Google Scholar] [CrossRef]
- Meinshausen, M.; Smith, S.J.; Calvin, K.; Daniel, J.S.; Kainuma, M.L.T.; Lamarque, J.-F.; Matsumoto, K.; Montzka, S.A.; Raper, S.C.B.; Riahi, K.; et al. The rcp greenhouse gas concentrations and their extensions from 1765 to 2300. Clim. Change 2011, 109, 213–241. [Google Scholar] [CrossRef]
- van Vuuren, D.P.; Edmonds, J.; Kainuma, M.; Riahi, K.; Thomson, A.; Hibbard, K.; Hurtt, G.C.; Kram, T.; Krey, V.; Lamarque, J.-F.; et al. The representative concentration pathways: An overview. Clim. Change 2011, 109, 5. [Google Scholar] [CrossRef]
- Taylor, K.E.; Stouffer, R.J.; Meehl, G.A. An overview of cmip5 and the experiment design. Bull. Am. Meteorol. Soc. 2012, 93, 485–498. [Google Scholar] [CrossRef]
- Hopkinson, R.F.; McKenney, D.W.; Milewska, E.J.; Hutchinson, M.F.; Papadopol, P.; Vincent, L.A. Impact of aligning climatological day on gridding daily maximum–minimum temperature and precipitation over Canada. J. Appl. Meteorol. Climatol. 2011, 50, 1654–1665. [Google Scholar] [CrossRef]
- McKenney, D.W.; Hutchinson, M.F.; Papadopol, P.; Lawrence, K.; Pedlar, J.; Campbell, K.; Milewska, E.; Hopkinson, R.F.; Price, D.; Owen, T. Customized spatial climate models for North America. Bull. Am. Meteorol. Soc. 2011, 92, 1611–1622. [Google Scholar] [CrossRef]
- Arora, V.K.; Scinocca, J.F.; Boer, G.J.; Christian, J.R.; Denman, K.L.; Flato, G.M.; Kharin, V.V.; Lee, W.G.; Merryfield, W.J. Carbon emission limits required to satisfy future representative concentration pathways of greenhouse gases. Geophys. Res. Lett. 2011, 38. [Google Scholar] [CrossRef]
- Johns, T.C.; Durman, C.F.; Banks, H.T.; Roberts, M.J.; McLaren, A.J.; Ridley, J.K.; Senior, C.A.; Williams, K.D.; Jones, A.; Rickard, G.J.; et al. The new hadley centre climate model (hadgem1): Evaluation of coupled simulations. J. Clim. 2006, 19, 1327–1353. [Google Scholar] [CrossRef]
- Gent, P.R.; Danabasoglu, G.; Donner, L.J.; Holland, M.M.; Hunke, E.C.; Jayne, S.R.; Lawrence, D.M.; Neale, R.B.; Rasch, P.J.; Vertenstein, M.; et al. The community climate system model version 4. J. Clim. 2011, 24, 4973–4991. [Google Scholar] [CrossRef]
- Rotz, C.A.; Skinner, R.H.; Stoner, A.M.K.; Hayhoe, K. Farm simulation can help dairy production systems adapt to climate change. In Improving Modeling Tools to Assess Climate Change Effects on Crop Response; Hatfield, J.L., Fleisher, D., Eds.; American Society of Agronomy, Crop Science Society of America, and Soil Science Society of America, Inc.: Madison, WI, USA, 2016; pp. 91–124. [Google Scholar]
- Winkler, T.; Winiwarter, W. Greenhouse gas scenarios for austria: A comparison of different approaches to emission trends. Mitig. Adapt. Strateg. Glob. Change 2016, 21, 1181–1196. [Google Scholar] [CrossRef]
- Wollenberg, E.; Richards, M.; Smith, P.; Havlík, P.; Obersteiner, M.; Tubiello, F.N.; Herold, M.; Gerber, P.; Carter, S.; Reisinger, A.; et al. Reducing emissions from agriculture to meet the 2 °C target. Glob. Change Biol. 2016, 22, 3859–3864. [Google Scholar] [CrossRef] [PubMed]
- Justus, C.G.; Hargraves, W.R.; Mikhail, A.; Graber, D. Methods for estimating wind speed frequency distributions. J. Appl. Meteorol. 1978, 17, 350–353. [Google Scholar] [CrossRef]
- Sammis, T.W.; Mapel, C.L.; Lugg, D.G.; Lansford, R.R.; McGuckin, J.T. Evapotranspiration crop coefficients predicted using growing-degree-days. Trans. ASAE 1985, 28, 773. [Google Scholar] [CrossRef]
- Cutforth, H.W.; Shaykewich, C.F. A temperature response function for corn development. Agric. For. Meteorol. 1990, 50, 159–171. [Google Scholar] [CrossRef]
- Goodin, D.G.; Henebry, G.M. A technique for monitoring ecological disturbance in tallgrass prairie using seasonal ndvi trajectories and a discriminant function mixture model. Remote Sens. Environ. 1997, 61, 270–278. [Google Scholar] [CrossRef]
- de Beurs, K.M.; Henebry, G.M. Spatio-temporal statistical methods for modelling land surface phenology. In Phenological Research: Methods for Environmental and Climate Change Analysis; Hudson, I.L., Keatley, M.R., Eds.; Springer Netherlands: Dordrecht, The Netherlands, 2010; pp. 177–208. [Google Scholar]
- Frank, A.B.; Hofmann, L. Relationship among grazing management, growing degree-days, and morphological development for native grasses on the northern great plains. J. Range Manag. 1989, 42, 199–202. [Google Scholar] [CrossRef]
- Helsel, D.R.; Hirsch, R.M. Statistical Methods in Water Resources Techniques of Water Resources Investigations. 2002; Book 4, Chapter a3. 522. [Google Scholar]
- McLeod, A.I. Kendall-Package: Kendall Correlation and Trend Tests. R Package Version 2.2. 2011. Available online: https://cran.r-project.org/web/packages/Kendall/index.html (accessed on 11 January 2019).
- Gifford, M. Canada’s dairy industry: Can supply management survive an open trade environment? Policy Opt. 2005, 26, 57–63. [Google Scholar]
- Qian, B.; Jong, R.D.; Gameda, S.; Huffman, T.; Neilsen, D.; Desjardins, R.; Wang, H.; McConkey, B. Impact of climate change scenarios on Canadian agroclimatic indices. Can. J. Soil Sci. 2013, 93, 243–259. [Google Scholar] [CrossRef]
- Smith, W.N.; Grant, B.B.; Desjardins, R.L.; Kroebel, R.; Li, C.; Qian, B.; Worth, D.E.; McConkey, B.G.; Drury, C.F. Assessing the effects of climate change on crop production and ghg emissions in Canada. Agric. Ecosyst. Environ. 2013, 179, 139–150. [Google Scholar] [CrossRef]
- Statistics Canada. Table 32-10-0424-01—Census of agriculture, cattle and calves on census day. 2018. Available online: https://www150.statcan.gc.ca/t1/tbl1/en/tv.action?pid=3210042401 (accessed on 11 January 2019).
- Statistics Canada. Table 32-10-0113-01—Census of agriculture, milk production and utilization. 2018. Available online: https://www150.statcan.gc.ca/t1/tbl1/en/tv.action?pid=3210011301 (accessed on 11 January 2019).
- Statistics Canada. Farm and farm operator data—Newfoundland and labrador farms have the highest rate of direct marketing. 2017. Available online: https://www150.statcan.gc.ca/n1/en/catalogue/95-640-X201600114800 (accessed on 11 January 2019).
- Statistics Canada. Table 004-0213—Census of agriculture, hay and field crops, cansim (database). 2017. Available online: https://www150.statcan.gc.ca/t1/tbl1/en/tv.action?pid=3210041601 (accessed on 11 January 2019).
- Woodhouse, P. Beyond industrial agriculture? Some questions about farm size, productivity and sustainability. J. Agrar. Change 2010, 10, 437–453. [Google Scholar] [CrossRef]
- Alvarez, A.; Arias, C. Technical efficiency and farm size: A conditional analysis. Agric. Econ. 2004, 30, 241–250. [Google Scholar] [CrossRef]
- Gorton, M. Farm productivity and efficiency in the cee applicant countries: A synthesis of results. Agric. Econ. 2004, 30, 1–16. [Google Scholar] [CrossRef]
- Shindell, D.T.; Miller, R.L.; Schmidt, G.A.; Pandolfo, L. Simulation of recent northern winter climate trends by greenhouse-gas forcing. Nature 1999, 399, 452. [Google Scholar] [CrossRef]
- Zhang, X.; Vincent, L.A.; Hogg, W.D.; Niitsoo, A. Temperature and precipitation trends in Canada during the 20th century. Atmosphere-Ocean 2000, 38, 395–429. [Google Scholar] [CrossRef]
- Bootsma, A. Long term (100 year) climatic trends for agriculture at selected locations in Canada. Clim. Change 1994, 26, 65–88. [Google Scholar] [CrossRef]







| Crop | Nutrient Applied by Source | Total Nutrient Applied | ||||
|---|---|---|---|---|---|---|
| N 1 (kg ha−1) | P 2 (kg ha−1) | N (kg ha−1) | P (kg ha−1) | |||
| Manure | Synthetic Fertilizer | Manure | Synthetic Fertilizer | |||
| Pure grass | 40 | 222 | 9 | 57 | 262 | 65 |
| Grass-legume | 40 | 137 | 9 | 35 | 177 | 44 |
| Corn silage | 80 | 55 | 18 | 0 | 135 | 18 |
| Peas-oats | – | 117 | – | 0 | 117 | 0 |
| Feed item | Yield 1 (t DM ha−1) | Dry matter (%) | CP 2 (% DM) | NDF 3 (% DM) | ||||
|---|---|---|---|---|---|---|---|---|
| Farm | IFSM 4 | Farm | IFSM | Farm | IFSM | Farm | IFSM | |
| Grass-legume | 4.0–7.0 | 7.0 | 32–50 | NA 5 | 14.0–22.0 | 21.6 | 44–60 | 46.4 |
| Corn silage | 8.0–13.0 | 10.9 | 24–32 | 25.0 | 7.0–10.5 | 9.6 | 45–55 | 47.3 |
| Peas-oats silage | 4.0–6.5 | 5.3 | 26–40 | 31.7 | 12.0–18.0 | 14.7 | 45–58 | 57.1 |
| Land Use Scenario | Climate Scenario | ||||||
|---|---|---|---|---|---|---|---|
| Reference Period | Near Future | Distant Future | |||||
| RCP 1 2.6 | RCP 4.5 | RCP 8.5 | RCP 2.6 | RCP 4.5 | RCP 8.5 | ||
| No expansion | 82 | 95 ± 12 | 100 ± 9 | 96 ± 10 | 104 ± 8 | 101 ± 16 | 106 ± 12 |
| 20% expansion | 93 | 100 ± 12 | 106 ± 11 | 100 ± 11 | 109 ± 10 | 104 ± 17 | 108 ± 15 |
| 30% expansion | 98 | 102 ± 14 | 110 ± 12 | 102 ± 11 | 113 ± 12 | 106 ± 17 | 109 ± 17 |
| 40% expansion | 104 | 104 ± 14 | 113 ± 13 | 103 ± 12 | 114 ± 15 | 108 ± 18 | 110 ± 18 |
© 2019 by the authors. Licensee MDPI, Basel, Switzerland. This article is an open access article distributed under the terms and conditions of the Creative Commons Attribution (CC BY) license (http://creativecommons.org/licenses/by/4.0/).
Share and Cite
Cordeiro, M.R.C.; Rotz, A.; Kroebel, R.; Beauchemin, K.A.; Hunt, D.; Bittman, S.; Koenig, K.M.; McKenzie, D.B. Prospects of Forage Production in Northern Regions under Climate and Land-Use Changes: A Case-Study of a Dairy Farm in Newfoundland, Canada. Agronomy 2019, 9, 31. https://doi.org/10.3390/agronomy9010031
Cordeiro MRC, Rotz A, Kroebel R, Beauchemin KA, Hunt D, Bittman S, Koenig KM, McKenzie DB. Prospects of Forage Production in Northern Regions under Climate and Land-Use Changes: A Case-Study of a Dairy Farm in Newfoundland, Canada. Agronomy. 2019; 9(1):31. https://doi.org/10.3390/agronomy9010031
Chicago/Turabian StyleCordeiro, Marcos R. C., Alan Rotz, Roland Kroebel, Karen A. Beauchemin, Derek Hunt, Shabtai Bittman, Karen M. Koenig, and David B. McKenzie. 2019. "Prospects of Forage Production in Northern Regions under Climate and Land-Use Changes: A Case-Study of a Dairy Farm in Newfoundland, Canada" Agronomy 9, no. 1: 31. https://doi.org/10.3390/agronomy9010031
APA StyleCordeiro, M. R. C., Rotz, A., Kroebel, R., Beauchemin, K. A., Hunt, D., Bittman, S., Koenig, K. M., & McKenzie, D. B. (2019). Prospects of Forage Production in Northern Regions under Climate and Land-Use Changes: A Case-Study of a Dairy Farm in Newfoundland, Canada. Agronomy, 9(1), 31. https://doi.org/10.3390/agronomy9010031

