Maize Canopy Photosynthetic Efficiency, Plant Growth, and Yield Responses to Tillage Depth
Abstract
:1. Introduction
2. Materials and Methods
2.1. Experimental Site
2.2. Experimental Treatments and Design
2.3. Measured Parameters
2.3.1. Leaf Area
2.3.2. Accumulation and Transport of Dry Matter
2.3.3. Photosynthesis Related Parameters
2.3.4. Production of Photosynthesis
2.3.5. Stover Biomass and Grain Yield
2.3.6. Yield Water Use Efficiency (YWUE) and Water Production Efficiency (WPE)
2.4. Statistical Analysis
3. Results
3.1. Effect of Subsoil Tillage Depth on Dry Matter Accumulation of Maize
3.2. Effects of Subsoil Tillage Depth on Leaf Area Index of Maize
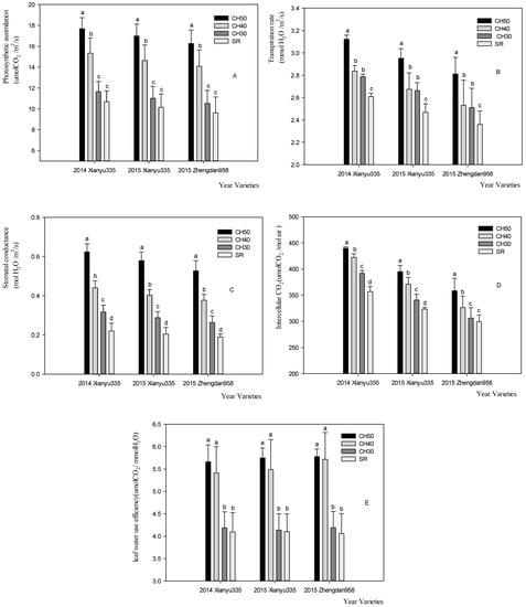
3.3. Photosynthesis Related Parameters of Ear Leaf
3.4. Effects of Subsoil Tillage Depth on Dynamics of Leaf Area Duration
3.5. Effects of Subsoil Tillage Depth on Net Assimilation Rate
3.6. Effects of Subsoil Tillage Depth on Shoot-Root Ratio
3.7. Effects of Subsoil Tillage Depth on Maize Yield and Economic Benefit
3.7.1. Effects of Subsoil Tillage Depth on Maize Yield and Its Components
3.7.2. Correlation Analysis between Canopy Characteristics and Yield
3.7.3. Effect of Subsoil Tillage Depth on Water Use Efficiency
3.7.4. Economic Benefit Analysis
4. Discussion
4.1. The Effect of Subsoil Tillage on Corn Canopy
4.2. Response of Different Corn Varieties to Subsoil Tillage Depth
4.3. The Effect of Subsoil Tillage on Economic Efficiency
4.4. Preliminary Discuss on Area Suitable to Subsoil Tillage
5. Conclusions
Author Contributions
Funding
Acknowledgments
Conflicts of Interest
References
- Wang, Z.; Wang, C.S.; Zhang, J.B. Study of Soil Deep Loosening Influencing Crop Growth. Heilongjiang Agric. Sci. 2009, 4, 33–35. [Google Scholar]
- Zhao, Y.L.; Xue, Z.W.; Guo, H.B.; Mu, X.Y.; Li, C.H. Effects of Tillage and Straw Returning on Water Consumption Characteristics and Water Use Efficiency in the Winter Wheat and Summer Maize Rotation System. Sci. Agric. Sin. 2014, 47, 3359–3371. [Google Scholar] [CrossRef]
- Ghosh, P.K.; Mohanty, M.; Bandyopadhyay, K.K.; Painuli, D.K.; Misra, A.K. Growth, Competition, Yield Advantage and Economics in Soybean/pigeonpea Intercropping System in Semi-arid Tropics of India. Field Crops Res. 2005, 96, 89. [Google Scholar] [CrossRef]
- Guo, J.; Xiao, K.; Guo, X.; Zhao, C. Review on Maize Canopy Structure, Light Distributing and Canopy Photosynthesis. Maize Sci. 2005, 13, 55–59. [Google Scholar] [CrossRef]
- Borras, L.; Maddonni, G.A.; Otegui, M.E. Leaf Senescence in Maize Hybrids: Plant Population, Rowspacing and Kernel Set Effects. Field Crops Res. 2003, 82, 13–14. [Google Scholar] [CrossRef]
- He, P.; Osaki, M.; Takebe, M.; Shinano, T. Changes of Photosynthetic Characteristics in Relation to Leaf Senescence in Two Maize Hybrids with Different Senescent Appearance. Photosynthetica 2002, 40, 547–552. [Google Scholar] [CrossRef]
- Dong, S.T.; Gao, R.Q.; Hu, C.H.; Wang, Q.; Wang, K. Study of Canopy Photosynthesis Property and High Yield Potential after Anthesis in Maize. Acta Agron. Sin. 1997, 23, 318–325. [Google Scholar]
- Dong, X.W.; Liu, S.T. A study of Canopy Apparent Photosynthesis Property in Summer Maize with Superhigh Yield. Acta Agric. Boreali Sin. 1999, 14, 36–41. [Google Scholar]
- Zheng, P.R. Photosynthetic Physiology. In Intorduction to Crop Physiology, 5th ed.; Hu, C.H., Yu, Z.W., Eds.; China Agricultural University Press: Beijing, China, 1992; Volume 5, pp. 222–275. ISBN 7-S1002-259-8/O.260. [Google Scholar]
- Bai, J.F. Effect of Different Farming Measure on Canopy and Root of High Yield Spring Maize. Master’s Thesis, Inner Mongolia Agricultural University, Hohhot, China, July 2012. [Google Scholar]
- Huang, Z.X.; Wang, Y.J.; Wang, K.J.; Li, D.H.; Zhao, M.; Liu, J.G.; Dong, S.T.; Wang, H.J.; Wang, J.H.; Yang, J.S. Photosynthetic Characteristics During Grain Filling Stage of Summer Maize Hybrids with High Yield Potential of 15 000 kg·ha−1. Sci. Agric. Sin. 2007, 40, 1898–1906. [Google Scholar]
- Lin, Z.H.; Xiang, Y.Q.; Mo, X.G.; Li, J.; Wang, L. Normalized Leaf Area Index Model for Summer Maize. Chin. J. Eco-Agric. 2003, 11, 69–72. [Google Scholar]
- Sun, R.; Zhu, P.; Wang, Z.M.; Cong, Y.; Gou, L.; Fang, L.; Zhao, M. Effect of Plant Density on Dynamic Characteristics of Leaf Area Index in Development of Spring Maize. Acta Agron. Sin. 2009, 35, 1097–1105. [Google Scholar] [CrossRef]
- Chanh, T.T.; Roeske, C.A.; Eaglesham, A.R. Changes in Maize-Stalk Proteins during Ear Development. Physiol. Plant. 1993, 87, 21–24. [Google Scholar] [CrossRef]
- Guo, S.Y.; Zhang, X.; Zhang, Q.J.; Wang, Z.H.; Li, Y.Z.; Gu, S.F.; Jiao, N.Y.; Yin, F.; Fu, G.Z. Effects of Straw Mulching and Water-retaining Agent on Ear Leaf Senescence after Anthesis and Yield of Summer Maize. Maize Sci. 2012, 20, 104–107. [Google Scholar] [CrossRef]
- Tong, S.Y.; Song, F.B.; Xu, H.W. Differences of Morphological Senescence of Leaves in Various Maize Varieties during Mature Period of Seed. Acta Agric. Boreali Sin. 2009, 24, 11–15. [Google Scholar]
- Paponov, I.A.; Sambo, P.; Schulte auf’m, G.E.; Presterl, T.; Geiger, H.H.; Engels, C. Kernel Set in Maize Genotypes Differing in Nitrogen Use Efficiency in Response to Resource Availability around Flowering. Plant Soil 2005, 272, 101–110. [Google Scholar] [CrossRef]
- Paponov, I.A.; Sambo, P.; Schulteaufm, G.E.; Presterl, T.; Geiger, H.H.; Engels, C. Grain Yield and Kernel Weight of Two Maize Genotypes Differing in Nitrogen Use Efficiency at Various Levels of Nitrogen and Carbohydrate Availability during Flowering and Grain Filling. Plant Soil 2005, 272, 111–123. [Google Scholar] [CrossRef]
- Song, B.; Wu, S.L.; Yu, S.H.; Chen, F.; Xu, L.; Fan, W.B. A Study on Population Quality Indexes of Maize under Different Ecological Condition. Tillage Cultiv. 1998, 23–28. [Google Scholar] [CrossRef]
- Li, S.; Peng, Y.F.; Yu, P.; Zhang, Y.; Fang, Z.; Li, C.J. Accumulation and Distribution of Dry Matter and Potassium in Maize Varieties Released in Different Years. Plant Nutr. Fertil. Sci. 2011, 17, 325–332. [Google Scholar]
- Statistical Analysis System (SAS) Version SAS/STAT 9.0; SAS Institute Inc.: Cary, NC, USA, 2004.
- Song, H.X.; Li, S.X. Effects of Root Growing Space of on Maize Its Absorbing Characteristics. Sci. Agric. Sin. 2003, 36, 899–904. [Google Scholar]
- Li, D.M.; Guo, H.; Zhu, H.Y.; Liu, M.; Chen, T.; Qi, H. Effect of Different Tillageon the Development, Root Distribution and Yield in Maize. Maize Sci. 2014, 22, 115–119. [Google Scholar] [CrossRef]
- Song, R.; Wu, C.S.; Mu, J.M.; Xu, K.Z. The Effect of Breaking the Bottom of the Plow on The Growth and Development of Corn Roots. Tillage Cultiv. 2000, 5, 6–7. [Google Scholar] [CrossRef]
- Zou, H.T.; Zhang, Y.L.; Huang, Y.; Huang, Y.; Song, H.; Yu, N.; Zhang, Y.; Sun, Z. Effect of Deep Tillage on Maize Growth in the Semi-arid Region of Liaoning Northwest Area. Shenyang Agric. Univ. 2009, 40, 475–477. [Google Scholar]
- Wang, T.C.; Li, X.M.; Sui, R.T.; Liu, D.J. A Primary Study on the Technical Effects of Subsoiling in Row Space at Corn Seedling Growth Stage. Chin. Agric. Sci. Bull. 2003, 19, 40–43. [Google Scholar]
- Shang, J.X.; Li, J.; Jia, Z.K.; Zhang, L.H. Soil Water Conservation Effect, Yield and Income Increments of Conservation Tillage Measures on Dryland Wheat Field. Sci. Agric. Sin. 2010, 43, 2668–2678. [Google Scholar] [CrossRef]
- Serrano, J.M.; Shahidian, S.; Da Silva, J.M.; Carvalho, M. Monitoring of Soil Organic Carbon over 10 Years in a Mediterranean Silvo-pastoral System: Potential Evaluation for Differential Management. Precis. Agric. 2016, 17, 274–295. [Google Scholar] [CrossRef]
- Zhao, J.B.; Mei, X.R.; Xue, J.H.; Zhong, Z.Z. The Effect of Straw Mulch on Crop Water Use Efficiency in Dryland. Sci. Agric. Sin. 1996, 29, 59–66. [Google Scholar]
- Fu, G.Z.; Li, C.H.; Wang, J.Z.; Wang, Z.L.; Cao, H.M.; Jiao, N.Y.; Chen, M.C. Effects of Stubble Mulch and Tillage Managements on Soil Physical Properties and Water Use Efficiency of Summer Maize. Agric. Eng. 2005, 21, 52–56. [Google Scholar]
- Wang, X.B.; Wu, H.J.; Dai, K.; Zhang, D.; Feng, Z.; Zhao, Q.; Wu, X.; Jin, K.; Cai, D.; Oenema, O.; et al. Tillage and Crop Residue Effects on Rainfed Wheat and Maize Production in Northern China. Field Crops Res. 2012, 132, 106–116. [Google Scholar] [CrossRef]
- Zhu, P.F.; Yu, Z.W.; Wang, D.; Zhang, Y. Effects of Tillage on Water Consumption Characteristics and Grain Yield of Wheat. Sci. Agric. Sin. 2010, 43, 3954–3964. [Google Scholar] [CrossRef]
- Baumhardt, R.L.; Jones, O.R. Residue Management and Tillage Effects on Soil-water Storage and Grain Yield of Dryland Wheat and Sorghum for a Clay Loam in Texas. Soil Tillage Res. 2002, 68, 71–82. [Google Scholar] [CrossRef]
- Moraru, P.I.; Rusu, T. Soil Tillage Conservation and its Effect on Soil Organic Matter, Water Management and Carbon Sequestration. J. Food Agric. Environ. 2010, 8, 309–312. [Google Scholar]
- Rusu, T.; Gus, P.; Bogdan, I.; Moraru, P.I.; Pop, A.I.; Clapa, D.; Marin, D.I.; Oroian, I.; Pop, L.I. Implications of Minimum Tillage Systems on Sustainability of Agricultural Production and Soil Conservation. J. Food Agric. Environ. 2002, 216, 335–338. [Google Scholar]
- Chen, Y.; Liu, S.; Li, H.; Li, X.F.; Song, C.Y.; Cruse, R.M.; Zhang, X.Y. Effects of Conservation Tillage on Corn and Soybean Yield in the Humid Continental Climate Region of Northeast China. Soil Tillage Res. 2011, 115, 56–61. [Google Scholar] [CrossRef]
- Tao, Z.; Li, C.; Li, J.; Ding, Z.; Xu, J.; Sun, X.; Zhou, P.; Zhao, M. Tillage and Straw Mulching Impacts on Grain Yield and Water Use Efficiency of Spring Maize in Northern Huang-Huai-Hai Valley. Crop J. 2015, 3, 445–450. [Google Scholar] [CrossRef]
- Hou, X.Q.; Li, R.; Jia, Z.K.; Han, Q.F.; Yang, B.P.; Nie, J.F. Effects of Rotational Tillage Practices on Soil Structure, Organic Carbon Concentration and Crop Yields in Semi-arid Areas of Northwest China. Soil Use Manag. 2012, 28, 551–558. [Google Scholar] [CrossRef]
- Verhulst, N.; Nelissen, V.; Jespers, N.; Haven, H.; Sayre, K.D.; Raes, D.; Deckers, J.; Govaerts, B. Soil Water Content, Maize Yield and its Stability as Affected by Tillage and Crop Residue Management in Rainfed Semi-arid Highlands. Plant Soil 2011, 344, 73–85. [Google Scholar] [CrossRef]
- Liu, Y.; Gao, M.; Wu, W.; Tanveer, S.K.; Wen, X.; Liao, Y. The Effects of Conservation Tillage Practices on the Soil Water-holding Capacity of a non-irrigated Apple Orchard in the Loess Plateau, China. Soil Tillage Res. 2013, 130, 7–12. [Google Scholar] [CrossRef]
- Feng, Y.; Zhang, Y.X.; Wang, C.L.; Zhang, J.H. An Influence of Different Subsoiling Depth on Corn Root Activity and Output. Inner Mong. Univ. Natl. 2013, 28, 196–199. [Google Scholar] [CrossRef]
- He, J.; Li, H.W.; Gao, H.W. Subsoiling Effect and Economic Benefit under Conservation Tillage Mode in Northern China. Trans. Chin. Soc. Agric. Eng. 2006, 22, 62–67. [Google Scholar]
- Cai, H.G.; Ma, W.; Zhang, X.Z.; Ping, J.; Yan, X.; Liu, J.; Yuan, J.; Wang, L.; Ren, J. Effect of Subsoil Tillage Depth on Nutrient Accumulation, Root Distribution, and Grain Yield in Spring Maize. Crop J. 2014, 2, 297–307. [Google Scholar] [CrossRef]
- Rathke, G.W.; Wienhold, B.J.; Wilheim, W.W.; Diepenbrock, W. Tillage and Rotation Effect on Corn-soybean Energy Balances in Eastern Nebraska. Soil Tillage Res. 2007, 97, 60–70. [Google Scholar] [CrossRef]
- Alva, A.K.; Hodges, T.; Boydston, R.A.; Collins, H.P. Effects of Irrigation and Tillage Practices on Yield of Potato under High Production Conditions in the Pacific Northwest. Commun. Soil Sci. Plant Anal. 2002, 33, 1451–1460. [Google Scholar] [CrossRef]
- Copas, M.E.; Bussan, A.J.; Drilias, M.J.; Wolkowski, R.P. Potato Yield and Quality Response to Subsoil Tillage and Compaction. Agron. J. 2009, 101, 82–90. [Google Scholar] [CrossRef]
- Vick, C.M.; Chong, S.K.; Bond, J.P.; Russin, J.S. Response of Soybean Sudden Death Syndrome to Subsoil tillage. Plant Dis. 2003, 87, 629–632. [Google Scholar] [CrossRef]
- Lampurlanes, J.; Angas, P.; Cantero-Martinez, C. Tillage Effects on Water Storage During Fallow, and on Barley Root Growth and Yield in Two Contrasting Soils of the Semi-arid Segarra Region in Spain. Soil Tillage Res. 2002, 65, 207–220. [Google Scholar] [CrossRef]
- Jackson, L.E.; Ramirez, I.; Yokota, R.; Fennimore, S.A.; Koike, S.T.; Henderson, D.M.; Chaney, W.E.; Calderón, F.J.; Klonsky, K. On-farm Assessment of Organic Matter and Tillage Management on Vegetable Yield, Soil, Weeds, Pests, and Economics in California. Agric. Ecosyst. Environ. 2004, 103, 443–463. [Google Scholar] [CrossRef]



| Year | Soil Organic C (g·kg−1) | Soil Available N (mg·kg−1) | Soil Available P (mg·kg−1) | Soil Available K (mg·kg−1) |
|---|---|---|---|---|
| 2014 matter | 7.30 | 73.45 | 15.10 | 120.40 |
| 2015 | 7.60 | 77.05 | 14.05 | 118.80 |
| Year and Variety | Stage | Treatments | Dry Matter (g Per Plant) | Increased Compared to Control (%) | |||
|---|---|---|---|---|---|---|---|
| Stem | Leaf | Ear | Total | ||||
| 2014 (Xianyu335) | V6 | CH50 | † 37.8 ± 1.13 a | † 47.8 ± 6.01 a | — | † 85.6 ± 7.24 a | 78.33 |
| CH40 | 33.3 ± 4.82 b | 39.5 ± 3.03 b | — | 72.7 ± 7.85 b | 51.46 | ||
| CH30 | 29.2 ± 6.32 b | 35.6 ± 4.18 c | — | 64.8 ± 5.24 b | 35.00 | ||
| SR | 19.3 ± 1.90 c | 28.7 ± 0.38 d | — | 48.0 ± 2.28 c | -- | ||
| V12 | CH50 | 59.6 ± 4.92 a | 45.0 ± 0.96 a | — | 104.6 ± 5.88 a | 16.48 | |
| CH40 | 53.5 ± 7.25 b | 38.6 ± 4.92 b | — | 92.1 ± 6.62 b | 2.56 | ||
| CH30 | 52.2 ± 5.98 b | 41.2 ± 2.11 b | — | 93.4 ± 5.28 b | 4.01 | ||
| SR | 50.9 ± 5.77 c | 38.9 ± 3.62 b | — | 89.8 ± 8.22 b | -- | ||
| R1 | CH50 | 127.1 ± 2.39 a | 55.9 ± 4.15 b | † 37.2 ± 5.44 b | 220.1 ± 6.54 b | 13.63 | |
| CH40 | 125.2 ± 7.49 b | 55.5 ± 7.91 b | 38.4 ± 7.03 b | 219.1 ± 7.11 b | 13.11 | ||
| CH30 | 122.6 ± 2.79 c | 66.0 ± 1.68 a | 51.7 ± 4.51 a | 240.3 ± 4.47 a | 24.06 | ||
| SR | 114.6 ± 5.08 d | 50.7 ± 1.96 c | 28.4 ± 1.61 c | 193.7 ± 3.57 c | -- | ||
| R3 | CH50 | 176.0 ± 2.80 a | 62.9 ± 1.96 a | 192.2 ± 7.82 a | 431.0 ± 7.14 a | 56.61 | |
| CH40 | 148.5 ± 5.75 b | 56.4 ± 6.82 b | 152.1 ± 2.36 b | 357.1 ± 9.18 b | 29.76 | ||
| CH30 | 136.2±2.89 c | 49.3 ± 3.62 b | 155.0 ± 4.67 b | 340.4 ± 8.29 b | 23.69 | ||
| SR | 112.1 ± 2.99 d | 46.2 ± 5.41 c | 116.9 ± 4.59 c | 275.2 ± 8.40 c | -- | ||
| R6 | CH50 | 146.3 ± 5.47 a | 49.5 ± 3.94 a | 304.0 ± 2.66 a | 499.7 ± 4.9.41 a | 20.79 | |
| CH40 | 120.4 ± 6.89 b | 44.4 ± 2.30 b | 278.7 ± 2.04 b | 443.5 ± 10.16 b | 7.20 | ||
| CH30 | 116.8 ± 3.16 b | 48.4 ± 0.60 a | 284.7 ± 0.51 b | 449.9 ± 7.29 b | 8.75 | ||
| SR | 106.8 ± 5.02 c | 46.1 ± 9.03 b | 260.8 ± 6.57 c | 413.7 ± 11.24 c | -- | ||
| 2015 (Xianyu335) | V6 | CH50 | † 37.4 ± 5.26 a | † 40.3 ± 4.44 a | — | † 77.7 ± 4.24 a | 50.58 |
| CH40 | 26.5 ± 4.67 b | 31.4 ± 4.50 b | — | 57.9 ± 8.43 b | 12.21 | ||
| CH30 | 25.7 ± 5.44 b | 29.1 ± 7.05 c | — | 54.8 ± 10.49 b | 6.20 | ||
| SR | 23.3 ± 4.20 b | 28.4 ± 4.81 c | — | 51.6 ± 9.01 b | -- | ||
| V12 | CH50 | 53.7 ± 8.34 a | 46.2 ± 2.49 a | — | 99.9 ± 8.83 a | 21.98 | |
| CH40 | 49.9 ± 3.97 b | 39.1 ± 3.45 b | — | 88.9 ± 6.45 b | 8.55 | ||
| CH30 | 47.6 ± 4.94 b | 41.8 ± 1.34 b | — | 89.4 ± 5.28 b | 9.16 | ||
| SR | 43.5 ± 1.37 c | 38.4 ± 1.88 b | — | 81.9 ± 3.25 c | -- | ||
| R1 | CH50 | 86.5 ± 4.85 a | 43.5 ± 2.89 a | † 48.3 ± 3.00 a | 178.3 ± 7.74 a | 19.91 | |
| CH40 | 79.5 ± 2.79 b | 42.8 ± 6.14 a | 43.3 ± 9.08 b | 165.4 ± 8.93 b | 11.23 | ||
| CH30 | 73.7 ± 7.04 c | 36.7 ± 2.52 b | 30.3 ± 3.31 c | 140.8 ± 4.04 c | -- | ||
| SR | 73.5 ± 1.57 c | 36.8 ± 5.13 b | 38.4 ± 7.88 b | 148.7 ± 6.74 c | -- | ||
| R3 | CH50 | 91.1 ± 8.50 a | 49.7 ± 5.65 a | 111.3 ± 7.82 a | 252.1 ± 7.14 a | 23.70 | |
| CH40 | 82.3 ± 3.38 b | 41.3 ± 4.45 b | 101.8 ± 2.60 b | 225.3 ± 7.83 b | 10.55 | ||
| CH30 | 91.0 ± 2.96 a | 44.6 ± 6.30 b | 103.7 ± 9.70 b | 239.3 ± 9.26 b | 17.42 | ||
| SR | 73.8 ± 7.21 c | 36.6 ± 8.85 c | 93.4 ± 4.87 c | 203.8 ± 7.26 c | -- | ||
| R6 | CH50 | 71.6 ± 6.61 a | 41.6 ± 7.00 a | 254.1 ± 3.03 a | 367.2 ± 4.64 a | 5.09 | |
| CH40 | 62.1 ± 5.96 c | 41.7 ± 3.20 a | 243.7 ± 5.75 b | 347.5 ± 9.16 b | -- | ||
| CH30 | 68.6 ± 3.16 b | 40.8 ± 8.80 a | 252.5 ± 4.13 a | 361.8 ± 7.29 a | 3.55 | ||
| SR | 68.6 ± 1.47 b | 37.1 ± 5.77 b | 243.7 ± 7.01 b | 349.4 ± 7.24 b | -- | ||
| 2015 (Zhengdan958) | V6 | CH50 | † 34.9 ± 4.76 b | † 38.7 ± 6.04 b | — | † 73.6 ± 5.84 b | 40.99 |
| CH40 | 39.3 ± 5.68 a | 42.5 ± 4.54 a | — | 81.8 ± 9.45 a | 56.70 | ||
| CH30 | 32.8 ± 9.87 b | 35.0 ± 6.37 b | — | 67.9 ± 6.49 b | 30.08 | ||
| SR | 24.9 ± 4.87 c | 27.2 ± 4.53 c | — | 52.2 ± 7.55 c | -- | ||
| V12 | CH50 | 85.9 ± 7.43 a | 43.5 ± 7.14 a | — | 129.4 ± 7.14 a | 37.37 | |
| CH40 | 63.6 ± 5.27 b | 46.2 ± 1.80 a | — | 109.8 ± 6.07 b | 16.56 | ||
| CH30 | 55.1 ± 2.69 c | 46.7 ± 6.05 a | — | 101.8 ± 8.74 b | 8.07 | ||
| SR | 53.7 ± 6.72 c | 40.5 ± 6.75 b | — | 94.2 ± 7.72 c | -- | ||
| R1 | CH50 | 75.6 ± 5.96 a | 41.1 ± 5.69 a | † 48.7 ± 3.94 a | 165.4 ± 8.69 a | 24.74 | |
| CH40 | 70.4 ± 5.41 a | 40.7 ± 7.35 a | 46.1 ± 5.56 a | 157.1 ± 6.56 b | 18.48 | ||
| CH30 | 72.7 ± 3.52 a | 37.4 ± 3.35 b | 48.5 ± 3.59 a | 158.6 ± 6.87 b | 19.61 | ||
| SR | 63.0 ± 5.87 b | 30.5 ± 1.58 c | 39.1 ± 5.29 b | 132.6 ± 6.77 c | -- | ||
| R3 | CH50 | 75.2 ± 8.80 a | 37.7 ± 3.11 b | 115.9 ± 2.90 a | 228.7 ± 6.01 a | 9.95 | |
| CH40 | 74.4 ± 2.21 a | 39.4 ± 5.54 b | 104.9 ± 3.46 b | 218.7 ± 5.67 a | 5.14 | ||
| CH30 | 72.6 ± 4.09 a | 43.7 ± 5.01 a | 104.6 ± 3.64 b | 220.9 ± 7.73 a | 6.20 | ||
| SR | 68.2 ± 2.60 b | 37.0 ± 5.62 b | 102.8 ± 7.07 b | 208.0 ± 8.22 b | -- | ||
| R6 | CH50 | 66.1 ± 1.44 a | 43.6 ± 8.41 a | 247.0 ± 9.07 b | 356.7 ± 6.85 b | 10.19 | |
| CH40 | 64.5 ± 6.60 a | 45.6 ± 8.18 a | 255.5 ± 3.56 a | 365.7 ± 9.78 a | 12.97 | ||
| CH30 | 67.7 ± 9.30 a | 37.2 ± 3.86 b | 252.6 ± 3.39 a | 357.5 ± 6.39 b | 10.44 | ||
| SR | 62.4 ± 7.49 a | 35.3 ± 4.81 b | 226.0 ± 7.35 c | 323.7 ± 7.48 c | -- | ||
| Year Varieties | Treatment | Dynamics of Leaf Area Duration [104m2/(d·ha)] | |||
|---|---|---|---|---|---|
| V6 Stage–V12 Stage | V12 Stage–R1 Stage | R1 Stage–R3 Stage | R3g Stage–R6 Stage | ||
| 2014 Xianyu335 | CH50 | † 3.1 ± 0.19 a | † 13.0 ± 1.09 a | † 17.6 ± 1.14 a | † 12.7 ±0.56 a |
| CH40 | 3.0 ± 0.13 a | 12.7 ± 1.01 a | 16.9 ± 0.79 b | 12.6 ± 1.19 a | |
| CH30 | 2.7 ± 0.14 a | 11.6 ± 0.63 a | 16.4 ± 0.58 b | 11.9 ± 0.89 b | |
| SR | 2.4 ± 0.19 a | 11.2 ± 1.18 a | 15.4 ± 0.49 c | 11.1 ± 0.75 b | |
| 2015 Xianyu335 | CH50 | 2.7 ± 0.22 a | 12.9 ± 0.59 a | 18.9 ± 1.03 a | 13.3 ± 0.79 a |
| CH40 | 2.6 ± 0.19 a | 12.7 ± 0.19 a | 17.8 ± 1.21 b | 11.8 ± 1.13 b | |
| CH30 | 2.5 ± 0.21 a | 12.2 ± 0.89 a | 17.2 ± 1.37 b | 11.9 ± 1.07 b | |
| SR | 1.8 ± 0.29 b | 9.9 ± 0.75 b | 16.2 ± 0.89 c | 11.1 ± 0.87 b | |
| 2015 Zhengdan958 | CH50 | 3.1 ± 0.16 a | 13.8 ± 0.97 a | 19.3 ± 1.10 a | 13.2 ± 0.56 a |
| CH40 | 2.9 ± 0.20 a | 13.0 ± 0.89 a | 18.1 ± 1.15 b | 11.6 ± 0.67 b | |
| CH30 | 2.8 ± 0.09 a | 12.1 ± 1.19 b | 17.2 ± 0.97 b | 11.7 ± 0.71 b | |
| SR | 2.4 ± 0.09 a | 11.2 ± 1.06 b | 16.1 ± 0.94 c | 10.7 ± 0.55 c | |
| Year Varieties | Treatment | Dynamics of Net Assimilation Rate [g/(m2·d)] | |||
|---|---|---|---|---|---|
| V6 to V12 Stage | V12 stage to R1 Stage | R1 Stage to R3 Stage | R3 Stage to R6 Stage | ||
| 2014 Xianyu335 | CH50 | † 13.3 ± 1.19 c | † 5.8 ± 0.19 a | † 5.4 ± 0.59 a | † 5.6 ± 0.44 c |
| CH40 | 14.2 ± 1.01 c | 6.9 ± 0.13 a | 5.4 ± 0.19 a | 7.0 ± 0.28 c | |
| CH30 | 19.0 ± 0.63 b | 6.3 ± 0.14 a | 4.3 ± 0.49 b | 9.5 ± 0.31 b | |
| SR | 29.4 ± 1.18 a | 5.8 ± 0.19 a | 4.6 ± 0.38 b | 12.7 ± 0.52 a | |
| 2015 Xianyu335 | CH50 | 8.8 ± 0.59 c | 6.2 ± 0.22 a | 4.9 ± 0.44 a | 8.9 ± 0.42 c |
| CH40 | 13.0 ± 0.79 b | 6.2 ± 0.19 a | 4.4 ± 0.58 a | 10.6 ± 0.57 b | |
| CH30 | 14.8 ± 0.75 b | 7.3 ± 0.31 a | 5.7 ± 0.42 a | 10.6 ± 0.36 b | |
| SR | 17.1 ± 0.89 a | 7.9 ± 0.35 a | 3.4 ± 0.39 b | 13.7 ± 0.31 a | |
| 2015 Zhengdan958 | CH50 | 11.1 ± 0.97 b | 3.1 ± 0.49 a | 3.3 ± 0.41 a | 10.0 ± 0.46 b |
| CH40 | 9.9 ± 0.89 c | 3.8 ± 0.52 a | 3.4 ± 0.56 a | 13.1 ± 0.29 a | |
| CH30 | 12.4 ± 1.12 b | 4.8 ± 0.55 a | 3.6 ± 0.35 a | 12.0 ± 0.19 a | |
| SR | 18.2 ± 1.06 a | 4.4 ± 0.25 a | 2.8 ± 0.39 b | 13.3 ± 0.27 a | |
| Year Varieties | Treatment | Dry Matter (g Per Plant) | Shoot/Root | ||||
|---|---|---|---|---|---|---|---|
| † Stem | † Leaf | † Ear | † Shoot | † Root | |||
| 2014 XianYu 335 | CH50 | 121.5 ± 14.37 b | 54.5 ± 3.34 a | 60.3 ± 1.82 a | 236.3 ± 18.31 a | 18.4 ± 0.73 a | 12.84 |
| CH40 | 138.3 ± 10.5 a | 54.3 ± 4.14 a | 47.4 ± 7.62 b | 240.0 ± 16.71 a | 17.6 ± 0.25 a | 13.64 | |
| CH30 | 123.9 ± 14.27 b | 49.2 ± 4.55 b | 48.2 ± 6.40 b | 221.3 ± 6.34 b | 16.2 ± 0.67 b | 13.66 | |
| SR | 102.0 ± 16.04 c | 39.9 ± 4.69 c | 37.4 ± 2.40 c | 179.3 ± 30.03 c | 16.1 ± 0.33 b | 11.14 | |
| 2015 XianYu 335 | CH50 | 85.1 ± 2.59 a | 33.5 ± 2.89 b | 44.9 ± 4.81 a | 163.6 ± 16.29 a | 18.5 ± 0.50 a | 8.84 |
| CH40 | 79.5 ± 12.79 a | 42.8 ± 6.14 a | 43.3 ± 3.09 a | 165.6 ± 22.32 a | 17.8 ± 0.42 ab | 9.30 | |
| CH30 | 63.7 ± 9.12 b | 36.7 ± 2.52 ab | 37.0 ± 6.11 b | 137.5 ± 17.58 b | 17.2 ± 0.92 bc | 7.99 | |
| SR | 63.5 ± 7.73 b | 36.8 ± 5.13 ab | 35.1 ± 2.11 b | 135.3 ± 5.22 b | 16.3 ± 0.22 c | 8.30 | |
| 2015 Zheng Dan958 | CH50 | 75.6 ± 5.96 a | 41.1 ± 5.69 a | 48.7 ± 3.94 a | 165.4 ± 23.94 a | 19.5 ± 0.34 a | 8.48 |
| CH40 | 70.4 ± 5.41 ab | 40.7 ± 7.35 a | 39.7 ± 5.56 b | 150.8 ± 18.17 b | 18.6 ± 0.75 ab | 8.11 | |
| CH30 | 72.6 ± 3.52 b | 37.4 ± 3.35 a | 48.5 ± 2.59 a | 158.6 ± 16.19 ab | 18.5 ± 0.48 b | 8.57 | |
| SR | 63.0 ± 5.88 c | 30.5 ± 1.58 b | 39.1 ± 5.29 b | 132.6 ± 12.93 c | 17.4 ± 0.58 c | 7.62 | |
| Year Varieties | Treatment | t/ha | 104/ha | Per Ear | g | |
|---|---|---|---|---|---|---|
| Biomass | Grain Yield | Ear number | Kernel Number | 100-Kernel Weight | ||
| 2014 Xianyu 335 | CH50 | † 41.6 ± 0.11 a | † 15.4 ± 0.26 a | † 7.67 ± 0.03 a | † 646 ± 24.12 a | † 35.4 ± 0.15 a |
| CH40 | 38.4 ± 0.72 b | 14.9 ± 0.14 b | 7.60 ± 0.05 a | 637 ± 33.41 a | 35.2 ± 0.11 a | |
| CH30 | 37.9 ± 0.72 b | 14.9 ± 0.11 b | 7.50 ± 0.16 a | 651 ± 12.13 a | 34.9 ± 0.12 ab | |
| SR | 37.6 ± 0.54 b | 14.4 ± 0.16 c | 7.62 ± 0.19 a | 656 ± 5.76 a | 34.5 ± 0.34 b | |
| 2015 Xianyu 335 | CH50 | 29.7 ± 0.68 a | 14.7 ± 0.11 a | 8.80 ± 0.01 a | 618 ± 16.94 a | 31.7 ± 0.09 a |
| CH40 | 29.2 ± 0.66 a | 14.2 ± 0.17 b | 8.44 ± 0.25 a | 610 ± 11.15 a | 31.9 ± 0.13 a | |
| CH30 | 29.6 ± 0.64 a | 14.0 ± 0.29 b | 8.51 ± 0.18 a | 607 ± 11.32 a | 32.8 ± 0.12 a | |
| SR | 28.1 ± 0.45 b | 13.5 ± 0.13 c | 8.43 ± 0.19 a | 610 ± 10.67 a | 30.9 ± 0.17 b | |
| 2015 Zhengdan 958 | CH50 | 30.0 ± 0.49 a | 13.6 ± 0.11 a | 8.65 ± 0.06 a | 589 ± 12.15 a | 31.3 ± 0.14 a |
| CH40 | 29.3 ± 0.14 a | 13.2 ± 0.14 a | 8.49 ± 0.18 a | 574 ± 9.98 a | 31.8 ± 0.18 a | |
| CH30 | 29.4 ± 0.23 a | 13.1 ± 0.09 a | 8.44 ± 0.16 a | 573 ± 19.56 a | 32.2 ± 0.10 a | |
| SR | 28.3 ± 0.54 b | 13.0 ± 0.1 b | 8.43 ± 0.14 a | 575 ± 13.12 a | 31.6 ± 0.16 a | |
| NAR | LAD | Pn | Tr | Gs | Ci | DM | LAI | GY | LWUE | |
|---|---|---|---|---|---|---|---|---|---|---|
| NAR | 1.000 | |||||||||
| LAD | 0.732 | 1.000 | ||||||||
| Pn | 0.909 | 0.940 | 1.000 | |||||||
| Tr | 0.630 | 0.965 * | 0.896 | 1.000 | ||||||
| Gs | 0.817 | 0.967 * | 0.982 * | 0.962 * | 1.000 | |||||
| Ci | 0.864 | 0.973 * | 0.993 ** | 0.929 | 0.989 * | 1.000 | ||||
| DM | 0.612 | 0.943 | 0.883 | 0.997 ** | 0.955 * | 0.912 | 1.000 | |||
| LAI | 0.642 | 0.989 * | 0.882 | 0.949 * | 0.921 | 0.930 | 0.902 ** | 1.000 | ||
| GY | 0.736 | 0.997 ** | 0.948 * | 0.979 * | 0.980 * | 0.976 * | 0.972 ** | 0.952 ** | 1.000 | |
| LWUE | 0.963 * | 0.888 | 0.981 * | 0.801 | 0.928 | 0.965 * | 0.779 | 0.825 | 0.888 | 1.000 |
| Year Varieties | Treatment | mm | kg/ha | kg/(ha·mm) | (kg/ha·mm) | |
|---|---|---|---|---|---|---|
| Water Consume | Seed Yield | Biological Yield | Water Use Efficiency | Water Productivity | ||
| 2014 Xianyu335 | CH50 | † 770.9 bc | † 15,447 a | † 41,614 a | † 20.04 a | † 53.98 a |
| CH40 | 786.6 b | 14,891 b | 38,405 b | 18.93 b | 48.83 b | |
| CH30 | 796.2 b | 14,883 b | 37,876 b | 18.69 b | 47.57 b | |
| SR | 823.6 a | 14,398 c | 37,551 b | 17.48 c | 45.59 c | |
| 2015 Xianyu335 | CH50 | 540.7 c | 14,660 a | 29,710 a | 27.11 a | 54.95 a |
| CH40 | 562.1 b | 13,985 bc | 29,196 a | 24.88 b | 51.94 b | |
| CH30 | 574.9 b | 14,404 ab | 29,638 a | 25.06 b | 51.56 b | |
| SR | 591.5 a | 13,531 c | 28,100 b | 22.88 c | 47.51 c | |
| 2015 Zhengdan958 | CH50 | 560.5 b | 13,576 a | 29,993 a | 24.22 a | 53.51 a |
| CH40 | 568.7 b | 13,192 a | 29,319 a | 23.20 b | 51.55 b | |
| CH30 | 568.6 b | 13,234 a | 29,374 a | 23.28 b | 51.66 b | |
| SR | 573.3 a | 13,048 b | 28,284 b | 22.76 c | 49.34 c | |
| Year | CH50 | CH40 | CH30 | SR | ||
|---|---|---|---|---|---|---|
| 2014 | Inputs | Seeds (RMB/ha) | 1050 | 1050 | 1050 | 1050 |
| Fertilizer (RMB/ha) | 1600 | 1600 | 1600 | 1600 | ||
| Pesticides (RMB/ha) | 1500 | 1500 | 1500 | 1500 | ||
| Irrigation (RMB/ha) | 1200 | 1200 | 1200 | 1200 | ||
| Mechanical work (RMB/ha) | 900 | 750 | 600 | 450 | ||
| Total (RMB/ha) | 6250 | 6100 | 5950 | 5800 | ||
| Outputs | Yield (kg/ha) | 15,447 | 14,891 | 14,883 | 14,398 | |
| Price (RMByuan/kg) | 1 | 1 | 1 | 1 | ||
| Income (RMB/ha) | 15,447 | 14,891 | 14,883 | 14,398 | ||
| Net income (RMB/ha) | 9197 | 8791 | 8933 | 8598 | ||
| Increase (%) | 6.97 | 2.24 | 3.90 | |||
| 2015 | Inputs | Seeds (RMB/ha) | 1050 | 1050 | 1050 | 1050 |
| Fertilizer (RMB/ha) | 1600 | 1600 | 1600 | 1600 | ||
| Pesticides (RMB/ha) | 1500 | 1500 | 1500 | 1500 | ||
| Irrigation (RMB/ha) | 1200 | 1200 | 1200 | 1200 | ||
| Mechanical work (RMB/ha) | 900 | 750 | 600 | 450 | ||
| Total (RMB/ha) | 6250 | 6100 | 5950 | 5800 | ||
| Outputs | Yield (kg/ha) | † 14,118 | † 13,589 | † 13,819 | † 13,290 | |
| Price (RMByuan/kg) | 1 | 1 | 1 | 1 | ||
| Income (RMB/ha) | 14,118 | 13,589 | 13,819 | 13,290 | ||
| Net income (RMB/ha) | 7868 | 7489 | 7869 | 7490 | ||
| Increase (%) | 5.05 | -- | 5.06 |
© 2018 by the authors. Licensee MDPI, Basel, Switzerland. This article is an open access article distributed under the terms and conditions of the Creative Commons Attribution (CC BY) license (http://creativecommons.org/licenses/by/4.0/).
Share and Cite
Sun, J.; Gao, J.; Wang, Z.; Hu, S.; Zhang, F.; Bao, H.; Fan, Y. Maize Canopy Photosynthetic Efficiency, Plant Growth, and Yield Responses to Tillage Depth. Agronomy 2019, 9, 3. https://doi.org/10.3390/agronomy9010003
Sun J, Gao J, Wang Z, Hu S, Zhang F, Bao H, Fan Y. Maize Canopy Photosynthetic Efficiency, Plant Growth, and Yield Responses to Tillage Depth. Agronomy. 2019; 9(1):3. https://doi.org/10.3390/agronomy9010003
Chicago/Turabian StyleSun, Jiying, Julin Gao, Zhigang Wang, Shuping Hu, Fengjie Zhang, Haizhu Bao, and Yafang Fan. 2019. "Maize Canopy Photosynthetic Efficiency, Plant Growth, and Yield Responses to Tillage Depth" Agronomy 9, no. 1: 3. https://doi.org/10.3390/agronomy9010003
APA StyleSun, J., Gao, J., Wang, Z., Hu, S., Zhang, F., Bao, H., & Fan, Y. (2019). Maize Canopy Photosynthetic Efficiency, Plant Growth, and Yield Responses to Tillage Depth. Agronomy, 9(1), 3. https://doi.org/10.3390/agronomy9010003

