Evaluating Bioenergy Cropping Systems towards Productivity and Resource Use Efficiencies: An Analysis Based on Field Experiments and Simulation Modelling
Abstract
1. Introduction
2. Materials and Methods
2.1. Field Experiment
2.1.1. Sites and Weather Conditions
2.1.2. Experimental Design
2.1.3. Measurement State Variables
2.1.4. Statistics
2.2. Model Based Calculations
2.2.1. General Concept
2.2.2. Evapotranspiration Module
2.2.3. Soil Water
2.3.4. Crop Growth
2.3.5. Statistical Measures
3. Results
3.1. Dry Matter Yield
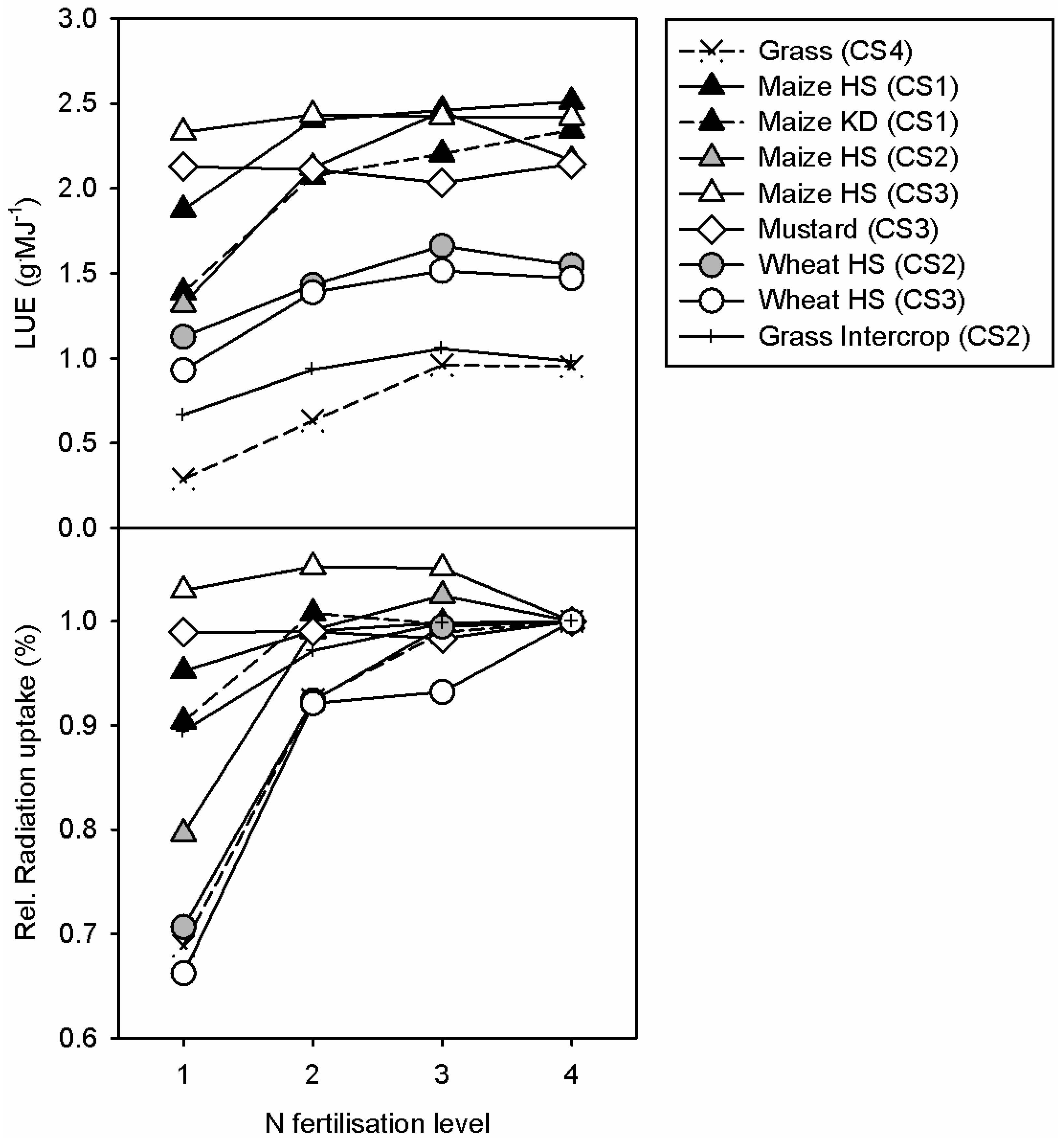
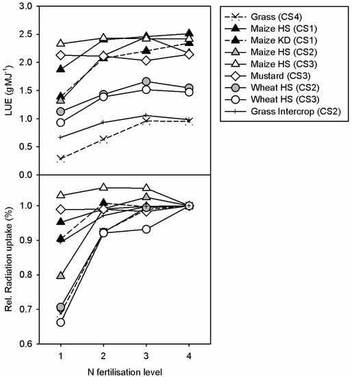
3.2. Radiation Interception, Light-Use Efficiency, Stress Factors
3.3. Water Balance and Water-Use Efficiencies
3.4. Nitrogen Demand and Nitrogen-Use Efficiency
4. Discussion
4.1. DM Yield
4.2. PAR Interception and LUE
4.3. Impact of Stress Factors on LUE
4.4. Impact of N Supply on DM Yields
4.5. Water Balance and Transpiration Use Efficiency
4.6. Method of Analysis
5. Conclusions
Author Contributions
Funding
Acknowledgments
Conflicts of Interest
References
- Weiland, P. Biogas production: Current state and perspectives. Appl. Microbiol. Biotechnol. 2010, 85, 849–860. [Google Scholar] [CrossRef] [PubMed]
- Schittenhelm, S. Chemical composition and methane yield of maize hybrids with contrasting maturity. Eur. J. Agron. 2008, 29, 72–79. [Google Scholar] [CrossRef]
- Schittenhelm, S. Effect of drought stress on yield and quality of maize/sunflower and maize/sorghum intercrops for biogas production. J. Agron. Crop Sci. 2010, 196, 253–261. [Google Scholar] [CrossRef]
- Heggenstaller, A.H.; Liebman, M.; Anex, P.R. Growth analysis of biomass production in sole-crop and double-crop corn systems. Crop Sci. 2009, 49, 2215–2224. [Google Scholar] [CrossRef]
- Karpenstein-Machan, M.; Stülpnagel, R. Biomass yield and nitrogen fixation of legumes monocropped and intercropped with rye and rotation effects on a subsequent maize crop. Plant Soil 2000, 218, 215–232. [Google Scholar] [CrossRef]
- Graß, R.; Heuser, F.; Stülpnagel, R.; Piepho, H.-P.; Wachendorf, M. Energy crop production in double-cropping systems: Results from an experiment at seven sites. Eur. J. Agron. 2013, 51, 120–129. [Google Scholar] [CrossRef]
- Andrade, F.H.; Uhart, S.A.; Arguissain, G.G.; Ruiz, R.A. Radiation use efficiency of maize grown in a cool area. Field Crops Res. 1992, 28, 345–354. [Google Scholar] [CrossRef]
- Brisson, N.; Mary, B.; Ripoche, D.; Jeuffroy, M.H.; Ruget, F.; Nicoullaud, B.; Gate, P.; Devienne-Barret, F.; Antonioletti, R.; Durr, C.; et al. STICS: A generic model for the simulation of crops and their water and nitrogen balances. I. Theory and parameterization applied to wheat and corn. Agronomie 1998, 18, 311–346. [Google Scholar] [CrossRef]
- Verheul, M.J.; Picatto, C.; Stamp, P. Growth and development of maize (Zea mays L.) seedlings under chilling conditions in the field. Eur. J. Agron. 1996, 5, 31–43. [Google Scholar] [CrossRef]
- Colnenne, C.; Meynard, J.M.; Roche, R.; Reau, R. Effects of nitrogen deficiencies on autumnal growth of winter oil seed rape. Eur. J. Agron. 2002, 17, 11–28. [Google Scholar] [CrossRef]
- Lemaire, G.; van Oosterom, E.; Jeuffroy, M.-H.; Gastal, F.; Massignam, A. Crop species present different qualitative types of response to N deficiency during their vegetative growth. Field Crops Res. 2008, 105, 253–265. [Google Scholar] [CrossRef]
- Muchow, R.C.; Sinclair, T.R. Nitrogen response of leaf photosynthesis and canopy radiation use efficiency in field-grown maize and sorghum. Crop Sci. 1994, 34, 721–727. [Google Scholar] [CrossRef]
- Stöckle, C.O.; Donatelli, M.; Nelson, R. CropSyst, a cropping systems simulation model. Eur. J. Agron. 2003, 18, 289–307. [Google Scholar] [CrossRef]
- Dogliotti, S.; Rossing, W.A.H.; van Ittersum, M.K. Systematic design and evaluation of crop rotations enhancing soil conservation, soil fertility and farm income: A case study for vegetable farms in South Uruguay. Agric. Syst. 2004, 80, 277–302. [Google Scholar] [CrossRef]
- Herrmann, A.; Sieling, K.; Wienforth, B.; Taube, F.; Kage, H. Short-term effects of biogas residue application on yield performance and N balance parameters of maize in different cropping systems. J. Agric. Sci. 2013, 151, 449–462. [Google Scholar] [CrossRef]
- Sieling, K.; Herrmann, A.; Wienforth, B.; Taube, F.; Ohl, S.; Hartung, E.; Kage, H. Biogas cropping systems: Short term response of yield performance and N use efficiency to biogas residue application. Eur. J. Agron. 2013, 47, 44–54. [Google Scholar] [CrossRef]
- Svoboda, N.; Taube, F.; Wienforth, B.; Kluss, C.; Kage, H.; Herrmann, A. Nitrogen leaching losses after biogas residue application to maize. Soil Till. Res. 2013, 130, 69–80. [Google Scholar] [CrossRef]
- Gericke, D.; Pacholski, A.; Kage, H. Measurement of ammonia emissions in multi-plot field experiments. Biosyst. Eng. 2011, 108, 164–173. [Google Scholar] [CrossRef]
- Senbayram, M.; Chen, R.; Wienforth, B.; Herrmann, A.; Kage, H.; Mühling, K.; Dittert, K. Emission of N2O from biogas crop production systems in Northern Germany. Bioenergy Res. 2014, 7, 1223–1236. [Google Scholar] [CrossRef]
- Claus, S.; Taube, F.; Wienforth, B.; Svoboda, N.; Sieling, K.; Kage, H.; Senbayram, M.; Dittert, K.; Gericke, D.; Pacholski, A.; et al. Life-cycle assessment of biogas production under the environmental conditions of northern Germany: Greenhouse gas balance. J. Agric. Sci. 2014, 152, 172–181. [Google Scholar] [CrossRef]
- Böttcher, U. Unpublished work. 2018.
- Müller, K. Remote Sensing and Simulation Modelling as Tools for Improving Nitrogen Efficiency for Winter Oilseed Rape (Brassica napus L.). Ph.D. Thesis, Christian-Albrechts-University, Kiel, Germany, 2009. [Google Scholar]
- Dobson, M.C.; Ulaby, F.T.; Hallikainen, M.T.; Elrayes, M.A. Microwave dielectric behavior of wet soil. 2. Dielectric mixing models. IEEE Trans. Geosci. Remote Sens. 1985, 23, 35–46. [Google Scholar] [CrossRef]
- Johnen, T.; Böttcher, U.; Kage, H. An analysis of factors determining spatial variable grain yield of winter wheat. Eur. J. Agron. 2014, 52, 297–306. [Google Scholar] [CrossRef]
- Kage, H.; Kochler, M.; Stützel, H. Root growth of cauliflower (Brassica oleracea L. botrytis) under unstressed conditions: Measurement and modelling. Plant Soil 2000, 223, 133–147. [Google Scholar] [CrossRef]
- Kage, H.; Alt, C.; Stützel, H. Aspects of nitrogen use efficiency of cauliflower I. A simulation modelling based analysis of nitrogen availability under field conditions. J. Agric. Sci. 2003, 141, 1–16. [Google Scholar] [CrossRef]
- Kage, H.; Stützel, H. HUME: An object oriented component library for generic modular modelling of dynamic systems. In Proceedings of the International Symposium Modelling Cropping Systems; Donatelli, M., Villalobos, F., Villar, J.M., Eds.; European Society of Agronomy: Lleida, Spain, 1999; pp. 299–300. [Google Scholar]
- Monteith, J.L. Principles of Environmental Physics; Edward Arnold: London, UK, 1973; p. 241. ISBN 0-7131-2931-X. [Google Scholar]
- Green, C.F. Nitrogen nutrition and wheat growth in relation to absorbed solar-radiation. Agric. For. Meteorol. 1987, 41, 207–248. [Google Scholar] [CrossRef]
- van Genuchten, M.T. A closed-form equation for predicting the hydraulic conductivity of unsaturated soils. Soil Sci. Soc. Am. J. 1980, 44, 892–898. [Google Scholar] [CrossRef]
- Wösten, J.H.M.; van Genuchten, M.T. Using texture and other soil properties to predict the unsaturated soil hydraulic functions. Soil Sci. Soc. Am. J. 1988, 52, 1762–1770. [Google Scholar] [CrossRef]
- Belmans, C.; Wesseling, J.G.; Feddes, R.A. Simulation model of the water balance of a cropped soil: SWATRE. J. Hydrol. 1983, 63, 271–286. [Google Scholar] [CrossRef]
- Beese, F.; van der Ploeg, R.R.; Richter, W. Der Wasserhaushalt einer Löss-Parabraunerde unter Winterweizen und Brache. Computermodelle und ihre experimentelle Verifizierung. Z. Acker-Pflanzenbau 1978, 146, 1–19. [Google Scholar]
- Bundesanstalt für Geowissenschaften und Rohstoffe. In Bodenkundliche Kartieranleitung KA5; Druckhaus Thomas Münzer: Bad Langensalza, Germany, 2005.
- Szeicz, G. Solar radiation for plant growth. J. Appl. Ecol. 1974, 11, 617–636. [Google Scholar] [CrossRef]
- Dingkuhn, M.; Johnson, D.E.; Sow, A.; Audebert, A.Y. Relationships between upland rice canopy characteristics and weed competitiveness. Field Crops Res. 1999, 61, 79–95. [Google Scholar] [CrossRef]
- Thorne, G.N.; Pearman, I.; Day, W.; Todd, A.D. Estimation of radiation interception by winter wheat from measurements of leaf area. J. Agric. Sci. 1988, 110, 101–108. [Google Scholar] [CrossRef]
- Andersen, M.N.; Heidman, F.; Plauborg, F. The effects of drought and N on light interception, growth and yield of winter oilseed rape. Acta Agric. Scand. B 1996, 46, 55–67. [Google Scholar] [CrossRef]
- Sheehy, J.E.; Peacock, J.M. Canopy photosynthesis and crop growth-rate of 8 temperate forage grasses. J. Exp. Bot. 1975, 26, 679–691. [Google Scholar] [CrossRef]
- Lantinga, E.A.; Nassiri, M.; Kropff, M.J. Modelling and measuring vertical light absorption within grass-clover mixtures. Agric. For. Meteorol. 1999, 96, 71–83. [Google Scholar] [CrossRef]
- Wienforth, B. Cropping Systems for Biomethane Production: A Simulation Based Analysis of Yield, Yield Potential and Resource Use Efficiency; Christian-Albrechts-University: Kiel, Germany, 2011. [Google Scholar]
- Loague, K.; Green, R.E. Statistical and graphical methods for evaluating solute transport models: Overview and applications. J. Contam. Hydrol. 1991, 7, 51–73. [Google Scholar] [CrossRef]
- Zegada-Lizarazu, W.; Elbersen, H.W.; Cosentino, S.L.; Zatta, A.; Alexopoulou, E.; Monti, A. Agronomic aspects of future energy crops in Europe. Biofuels Bioprod. Biorefin. 2010, 4, 674–691. [Google Scholar] [CrossRef]
- Gerlagh, M. Introduction of Ophiobolus graminis into new polders and its decline. Neth. J. Plant Path. 1968, 74, 1–97. [Google Scholar] [CrossRef]
- Sieling, K.; Stahl, C.; Winkelmann, C.; Christen, O. Growth and yield of winter wheat in the first 3 years of a monoculture under varying N fertilization in NW Germany. Eur. J. Agron. 2005, 22, 71–84. [Google Scholar] [CrossRef]
- Berzsenyi, Z.; Györffy, B.; Lap, D. Effect of crop rotation and fertilisation on maize and wheat yields and yield stability in a long-term experiment. Eur. J. Agron. 2000, 13, 225–244. [Google Scholar] [CrossRef]
- Jørgensen, J.R.; Deleuran, L.C.; Wollenweber, B. Prospects of whole grain crops of wheat, rye and triticale under different fertilizer regimes for energy production. Biomass Bioenergy 2007, 31, 308–317. [Google Scholar] [CrossRef]
- Fletcher, A.L.; Brown, H.E.; Johnstone, P.R.; de Ruiter, J.M.; Zyskowski, R.F. Making sense of yield trade-offs in a crop sequence: A New Zealand case study. Field Crops Res. 2011, 124, 171–187. [Google Scholar] [CrossRef]
- Dohleman, F.G.; Long, S.P. More productive than maize in the Midwest: How does Miscanthus do it? Plant Physiol. 2009, 150, 2104–2115. [Google Scholar] [CrossRef] [PubMed]
- Andrade, F.H.; Uhart, S.A.; Cirilo, A. Temperature affects radiation use efficiency in maize. Field Crops Res. 1993, 32, 17–25. [Google Scholar] [CrossRef]
- Louarn, G.; Chenu, K.; Fournier, C.; Andrieu, B.; Giauffret, C. Relative contributions of light interception and radiation use efficiency to the reduction of maize productivity under cold temperatures. Funct. Plant Biol. 2008, 35, 885–899. [Google Scholar] [CrossRef]
- Earl, H.J.; Davis, R.F. Effect of drought stress on leaf and whole canopy radiation use efficiency and yield of maize. Agron. J. 2003, 95, 688–696. [Google Scholar] [CrossRef]
- Bleken, M.A.; Herrmann, A.; Haugen, L.E.; Taube, F.; Bakken, L. SPN: A model for the study of soil-plant nitrogen fluxes in silage maize cultivation. Eur. J. Agron. 2009, 30, 283–295. [Google Scholar] [CrossRef]
- Loomis, R.S.; Amthor, J.S. Yield potential, plant assimilatory capacity, and metabolic efficiencies. Crop Sci. 1999, 39, 1584–1596. [Google Scholar] [CrossRef]
- Sun, J.D.; Yang, L.X.; Wang, Y.L.; Ort, D.R. FACE-ing the global change: Opportunities for improvement in photosynthetic radiation use efficiency and crop yield. Plant Sci. 2009, 177, 511–522. [Google Scholar] [CrossRef]
- Calderini, D.F.; Dreccer, M.F.; Slafer, G.A. Consequences of breeding on biomass, radiation interception and radiation-use efficiency in wheat. Field Crops Res. 1997, 52, 271–281. [Google Scholar] [CrossRef]
- Gower, S.T.; Kucharik, C.J.; Norman, J.M. Direct and indirect estimation of leaf area index, fAPAR, and net primary production of terrestrial ecosystems. Remote Sens. Environ. 1999, 70, 29–51. [Google Scholar] [CrossRef]
- Mishra, A.K.; Tripathi, P.; Pal, R.K.; Mishra, S.R. Light interception and radiation use efficiency of wheat varieties as influenced by number of irrigations. J. Agrometeorol. 2009, 11, 140–143. [Google Scholar]
- O’Connell, M.G.; O’Leary, G.J.; Whitfield, D.M.; Connor, D.J. Interception of photosynthetically active radiation and radiation-use efficiency of wheat, field pea and mustard in a semi-arid environment. Field Crops Res. 2004, 85, 111–124. [Google Scholar] [CrossRef]
- Akmal, M.; Janssens, M.J.J. Productivity and light use efficiency of perennial ryegrass with contrasting water and nitrogen supplies. Field Crops Res. 2004, 88, 143–155. [Google Scholar] [CrossRef]
- Lemaire, G.; Jeuffroy, M.-H.; Gastal, F. Diagnosis tool for plant and crop N status in vegetative stage: Theory and practices for crop N management. Eur. J. Agron. 2008, 28, 614–624. [Google Scholar] [CrossRef]
- Sinclair, T.R.; Horie, T. Leaf nitrogen, photosynthesis, and crop radiation use efficiency: A review. Crop Sci. 1989, 29, 90–98. [Google Scholar] [CrossRef]
- Kulig, B.; Lepiarczyk, A.; Oleksy, A.; Kolodziejczyk, M. The effect of tillage system and forecrop on the yield and values of LAI and SPAD indices of spring wheat. Eur. J. Agron. 2010, 33, 43–51. [Google Scholar] [CrossRef]
- Meng, Q.F.; Sun, Q.P.; Chen, X.P.; Cui, Z.L.; Yue, S.C.; Zhang, F.S.; Romheld, V. Alternative cropping systems for sustainable water and nitrogen use in the North China Plain. Agric. Ecosys. Environ. 2012, 146, 93–102. [Google Scholar] [CrossRef]
- Ehlers, W. Wasser in Boden und Pflanze Dynamik des Wasserhaushalts als Grundlage von Pflanzenwachstum und Ertrag; Verlag Eugen Ulmer: Stuttgart, Germany, 1996; 272p, ISBN 3-8001-4118-3. [Google Scholar]
- Long, S.P. C-4 photosynthesis at low-temperatures. Plant Cell Environ. 1983, 6, 345–363. [Google Scholar] [CrossRef]
- Caviglia, O.P.; Sadras, V.O.; Andrade, F.H. Intensification of agriculture in the south-eastern Pampas: I. Capture and efficiency in the use of water and radiation in double-cropped wheat–soybean. Field Crops Res. 2004, 87, 117–129. [Google Scholar] [CrossRef]
- Probert, M.E.; Carberry, P.S.; McCown, R.L.; Turpin, J.E. Simulation of legume-cereal systems using APSIM. Aust. J. Agric. Res. 1998, 49, 317–327. [Google Scholar] [CrossRef]
- Nair, S.S.; Kang, S.J.; Zhang, X.S.; Miguez, F.E.; Izaurralde, R.C.; Post, W.M.; Dietze, M.C.; Lynd, L.R.; Wullschleger, S.D. Bioenergy crop models: Descriptions, data requirements, and future challenges. GCB Bioenergy 2012, 4, 620–633. [Google Scholar] [CrossRef]





| Site | Year | Month | Air Temperature (°C) | Global Radiation (MJ m−2) | Precipitation (mm) | Wind Speed (m s−1) |
| HS | 2006 | August | 16.6 | 361 | 155 | 2.6 |
| September | 17.0 | 315 | 37 | 3.5 | ||
| October | 12.5 | 130 | 88 | 3.0 | ||
| November | 7.7 | 57 | 66 | 3.5 | ||
| December | 6.5 | 30 | 54 | 4.1 | ||
| 2007 | January | 5.5 | 42 | 142 | 6.3 | |
| February | 3.7 | 94 | 53 | 4.0 | ||
| March | 7.2 | 272 | 56 | 4.3 | ||
| April | 10.3 | 455 | 3 | 3.4 | ||
| May | 12.6 | 471 | 94 | 2.6 | ||
| June | 16.3 | 436 | 120 | 2.5 | ||
| July | 16.2 | 436 | 189 | 3.2 | ||
| August | 17.0 | 376 | 59 | 3.2 | ||
| September | 13.1 | 264 | 71 | 3.7 | ||
| October | 8.9 | 173 | 25 | 2.3 | ||
| November | 5.0 | 85 | 38 | 3.6 | ||
| December | 3.3 | 30 | 77 | 2.8 | ||
| 2008 | January | 4.4 | 41 | 64 | 4.6 | |
| February | 4.7 | 117 | 40 | 4.5 | ||
| March | 4.3 | 242 | 62 | 4.3 | ||
| April | 7.6 | 423 | 41 | 3.0 | ||
| May | 13.7 | 695 | 19 | 2.6 | ||
| June | 15.4 | 647 | 42 | 3.4 | ||
| July | 17.6 | 561 | 69 | 3.2 | ||
| August | 16.6 | 364 | 131 | 3.1 | ||
| September | 13.2 | 284 | 65 | 2.6 | ||
| October | 9.5 | 152 | 124 | 3.2 | ||
| Site | Year | Month | Air Temperature (°C) | Global Radiation (MJ m−2) | Precipitation (mm) | Wind Speed (m s−1) |
| KD | 2006 | August | 17.2 | 443 | 184 | 2.1 |
| September | 16.9 | 364 | 56 | 2.1 | ||
| October | 12.7 | 149 | 81 | 2.2 | ||
| November | 8.0 | 70 | 70 | 2.7 | ||
| December | 6.7 | 44 | 69 | 2.8 | ||
| 2007 | January | 5.4 | 54 | 186 | 4.2 | |
| February | 3.7 | 93 | 73 | 2.8 | ||
| March | 7.2 | 306 | 66 | 2.9 | ||
| April | 10.9 | 487 | 9 | 2.3 | ||
| May | 13.3 | 545 | 81 | 1.8 | ||
| June | 16.9 | 501 | 108 | 1.7 | ||
| July | 16.5 | 490 | 154 | 1.5 | ||
| August | 17.4 | 443 | 89 | 1.1 | ||
| September | 13.9 | 275 | 86 | 1.6 | ||
| October | 9.1 | 174 | 23 | 1.2 | ||
| November | 5.1 | 84 | 66 | 2.1 | ||
| December | 3.7 | 38 | 98 | 2.2 | ||
| 2008 | January | 5.1 | 50 | 78 | 3.4 | |
| February | 4.8 | 114 | 38 | 2.7 | ||
| March | 4.6 | 227 | 93 | 3.0 | ||
| April | 7.6 | 400 | 30 | 2.1 | ||
| May | 13.4 | 703 | 12 | 1.8 | ||
| June | 16.1 | 638 | 44 | 1.8 | ||
| July | 18.0 | 561 | 92 | 1.6 | ||
| August | 16.8 | 382 | 124 | 1.3 | ||
| September | 12.9 | 283 | 28 | 1.2 | ||
| October | 9.3 | 154 | 110 | 1.8 |
| Parameter | Dimension | Crop | |||
|---|---|---|---|---|---|
| Maize | Wheat | Grass | Catch Crop | ||
| rc0 | s m−1 | 75 | 50 | 50 | 50 |
| T1 | °C | 6 | 0 | 0 | 3 |
| T2 | °C | 16 | 10 | 10 | 10 |
| T3 | °C | 28 | 20 | 20 | 20 |
| T4 | °C | 34 | 34 | 34 | 34 |
| GDDemer | °C d | 77.5 | 168 | 124 | 150 |
| kPAR | - | 0.661 | 0.5 | 0.63 +, 0.55 ++ | 0.85 |
| zr0 | Cm | 6 | 2 | 1 # | 2 |
| zrmax | Cm | 100 | 120 | 70 | 120 |
| kzr | cm (°C d)−1 | 0.156 | 0.09 | 0.09 | 0.09 |
| RL0 | cm cm−2 | 3.7 | 1 | 1 # | 1 |
| RLmax | cm cm−2 | 252 | 300 | 300 | 80 |
| kRL | cm cm−2 (°C d)−1 | 0.0087 | 0.0045 | 0.0045 | 0.0045 |
| ka | [-] | 0.009 | 0.042 | 0.042 | 0.042 |
| psicrit | hPa | 439 | 200 | 500 | 500 |
| Site | Soil Horizn | Soil Texture | α (cm−1) | Θs (cm3 cm−3) | Θr (cm3 cm−3) | N (-) | KS (cm d−1) |
|---|---|---|---|---|---|---|---|
| HS | 0–30 | Sl4 | 0.043 + | 0.3394 + | 0 + | 1.18 + | 42 + |
| 30–60 | |||||||
| 60–90 | 21 + | ||||||
| 90–200 | |||||||
| KD | 0–30 | mSgs | 0.038 | 0.4276 | 0.1187 | 1.66 | 41 |
| 30–40 | mSfs | 0.035 | 0.3661 | 0.0783 | 2.48 | 91 | |
| 40–50 | mSgs | 0.042 | 0.4008 | 0.1375 | 1.62 | 157 | |
| 50–200 | SS | 0.087 + | 0.3707 + | 0.0430 + | 1.57 + | 67 + |
| Site | Cropping System | Factors | p-Value |
|---|---|---|---|
| HS | CS1, CS2, CS3 | N | <0.0001 |
| CS | <0.0001 | ||
| CS x N | 0.0024 | ||
| KD | CS1, CS4 | N | <0.0001 |
| CS | <0.0001 | ||
| CS x N | 0.0309 | ||
| HS + KD | CS1 | N | <0.0001 |
| site | 0.0008 | ||
| site x N | 0.3235 |
| Site | Cropping System | PAR Interception (MJ m−2 a−1) | ||||
| N-Level | ||||||
| 1 | 2 | 3 | 4 | Mean | ||
| HS | 1 | 713 | 741 | 747 | 748 | 737 |
| 2 | 826 | 999 | 1046 | 1041 | 978 | |
| 3 | 770 | 901 | 905 | 921 | 874 | |
| KD | 1 | 690 | 769 | 761 | 763 | 746 |
| 4 | 998 | 1340 | 1434 | 1449 | 1305 | |
| Light Use Efficiency (MJ.m−2.a−1) | ||||||
| HS | 1 | 1.9 | 2.4 | 2.5 | 2.5 | 2.3 |
| 2 | 1.0 | 1.5 | 1.7 | 1.5 | 1.4 | |
| 3 | 1.7 | 1.9 | 1.9 | 1.9 | 1.9 | |
| KD | 1 | 1.4 | 2.0 | 2.2 | 2.3 | 2.0 |
| 4 | 0.3 | 0.7 | 0.9 | 0.9 | 0.7 | |
| Site | Crop/System | SWDF | fT | ||||
|---|---|---|---|---|---|---|---|
| N-Level | |||||||
| 1 | 2 | 3 | 4 | Mean | |||
| HS | Maize CS1 | 0.95 | 0.92 | 0.90 | 0.91 | 0.92 | 0.88 |
| Maize CS2 | 1.00 | 0.96 | 0.95 | 0.96 | 0.97 | 0.87 | |
| Wheat CS2 | 0.89 | 0.81 | 0.78 | 0.77 | 0.81 | 0.93 | |
| Grass Intercrop CS2 | 0.96 | 0.95 | 0.95 | 0.95 | 0.95 | 0.78 | |
| CS 2 | 0.94 | 0.89 | 0.88 | 0.88 | 0.92 | 0.86 | |
| Maize CS3 | 0.93 | 0.90 | 0.91 | 0.92 | 0.92 | 0.88 | |
| Wheat CS3 | 0.90 | 0.81 | 0.80 | 0.78 | 0.82 | 0.94 | |
| Mustard CS3 | 1.00 | 1.00 | 1.00 | 1.00 | 1.00 | 0.73 | |
| CS 3 | 0.93 | 0.87 | 0.86 | 0.86 | 0.91 | 0.85 | |
| KD | Maize CS1 | 0.93 | 0.90 | 0.90 | 0.90 | 0.90 | 0.90 |
| Grass CS4 | 0.84 | 0.80 | 0.80 | 0.80 | 0.81 | 0.90 | |
| Site | Slope (SE) | Intercept (SE) | r2 | RMSE | EF | CD | n |
|---|---|---|---|---|---|---|---|
| HS + KD | 0.84 (±0.035) | 0.037 (±0.009) | 0.75 | 0.025 | 0.72 | 0.94 | 187 |
| HS | 0.68 (±0.047) | 0.085 (±0.013) | 0.62 | 0.026 | 0.47 | 0.75 | 131 |
| KD | 0.56 (±0.076) | 0.080 (±0.015) | 0.51 | 0.022 | 0.08 | 0.58 | 56 |
| Site | CS | N-Level | Eact (mm a−1) | TIact (mm a−1) | ETact (mm a−1) | Drainage (mm a−1) | WUE (g mm−1) |
|---|---|---|---|---|---|---|---|
| HS | 1 | 1 | 198 | 307 | 504 | 342 | 2.7 |
| 2 | 190 | 327 | 517 | 336 | 3.4 | ||
| 3 | 187 | 333 | 520 | 337 | 3.5 | ||
| 4 | 186 | 337 | 522 | 335 | 3.6 | ||
| 2 | 1 | 209 | 288 | 497 | 338 | 1.7 | |
| 2 | 176 | 367 | 543 | 301 | 2.7 | ||
| 3 | 166 | 392 | 557 | 288 | 3.2 | ||
| 4 | 166 | 386 | 553 | 293 | 2.9 | ||
| 3 | 1 | 212 | 308 | 520 | 341 | 2.6 | |
| 2 | 193 | 353 | 546 | 327 | 3.1 | ||
| 3 | 192 | 355 | 547 | 328 | 3.2 | ||
| 4 | 191 | 358 | 549 | 328 | 3.2 | ||
| KD | 1 | 1 | 139 | 238 | 377 | 530 | 2.6 |
| 2 | 122 | 289 | 411 | 501 | 3.8 | ||
| 3 | 123 | 288 | 411 | 502 | 4.1 | ||
| 4 | 121 | 293 | 415 | 500 | 4.3 | ||
| 4 | 1 | 136 | 237 | 373 | 536 | 0.8 | |
| 2 | 92 | 346 | 438 | 473 | 2.1 | ||
| 3 | 76 | 382 | 458 | 455 | 2.9 | ||
| 4 | 72 | 387 | 459 | 455 | 2.9 |
| Site | CS | N-Level | ||||
|---|---|---|---|---|---|---|
| 1 | 2 | 3 | 4 | Mean | ||
| HS | 1 | 4.9 | 6.2 | 6.3 | 6.5 | 5.9 |
| 2 | 3.4 | 4.5 | 5.2 | 4.6 | 4.4 | |
| 3 | 4.8 | 5.4 | 5.5 | 5.5 | 5.3 | |
| KD | 1 | 4.6 | 6.3 | 6.8 | 7.1 | 6.2 |
| 4 | 1.6 | 3.3 | 4.5 | 4.4 | 3.4 | |
| Site | CS | Nopt (kg N ha−1) | NUE (Mg DM (kg Nfertilizer)−1) |
|---|---|---|---|
| HS | 1 | 144 | 0.130 |
| 2 | 270 | 0.063 | |
| 3 | 136 | 0.129 | |
| KD | 1 | 154 | 0.112 |
| 4 | 273 | 0.048 |
© 2018 by the authors. Licensee MDPI, Basel, Switzerland. This article is an open access article distributed under the terms and conditions of the Creative Commons Attribution (CC BY) license (http://creativecommons.org/licenses/by/4.0/).
Share and Cite
Wienforth, B.; Knieß, A.; Böttcher, U.; Herrmann, A.; Sieling, K.; Taube, F.; Kage, H. Evaluating Bioenergy Cropping Systems towards Productivity and Resource Use Efficiencies: An Analysis Based on Field Experiments and Simulation Modelling. Agronomy 2018, 8, 117. https://doi.org/10.3390/agronomy8070117
Wienforth B, Knieß A, Böttcher U, Herrmann A, Sieling K, Taube F, Kage H. Evaluating Bioenergy Cropping Systems towards Productivity and Resource Use Efficiencies: An Analysis Based on Field Experiments and Simulation Modelling. Agronomy. 2018; 8(7):117. https://doi.org/10.3390/agronomy8070117
Chicago/Turabian StyleWienforth, Babette, Astrid Knieß, Ulf Böttcher, Antje Herrmann, Klaus Sieling, Friedhelm Taube, and Henning Kage. 2018. "Evaluating Bioenergy Cropping Systems towards Productivity and Resource Use Efficiencies: An Analysis Based on Field Experiments and Simulation Modelling" Agronomy 8, no. 7: 117. https://doi.org/10.3390/agronomy8070117
APA StyleWienforth, B., Knieß, A., Böttcher, U., Herrmann, A., Sieling, K., Taube, F., & Kage, H. (2018). Evaluating Bioenergy Cropping Systems towards Productivity and Resource Use Efficiencies: An Analysis Based on Field Experiments and Simulation Modelling. Agronomy, 8(7), 117. https://doi.org/10.3390/agronomy8070117

