Chitosan Coating: A Postharvest Treatment to Delay Oxidative Stress in Loquat Fruits during Cold Storage
Abstract
:1. Introduction
2. Materials and Methods
2.1. Fruit Samples
2.2. Enzyme Extraction and Activity Assays
2.3. Malondialdehyde Content Determination
2.4. Statistical Analysis
3. Results and Discussion
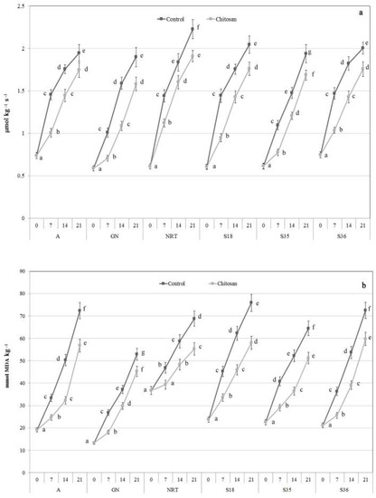
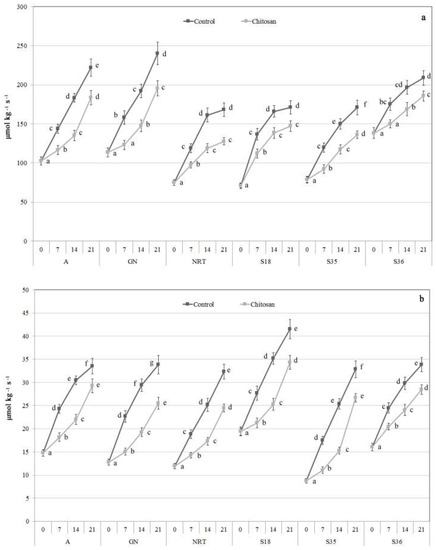
3.1. Effect of Chitosan Coating on Antioxidant Enzyme
3.2. Effect of Chitosan Coating on Membrane Damage
3.3. Effect of Chitosan Coating on Enzymatic Browning
3.4. PCA and Pearson Correlation after Cold Storage
4. Conclusions
Author Contributions
Conflicts of Interest
References
- Cai, C.; Chen, K.S.; Xu, W.P.; Zhang, W.S.; Li, X.; Ferguson, I. Effect of 1-MCP on postharvest quality of loquat fruit. Postharvest Biol. Technol. 2006, 40, 155–162. [Google Scholar] [CrossRef]
- Ghasemnezhad, M.; Nezhad, M.A.; Gerailoo, S. Changes in postharvest quality of loquat (Eriobotrya japonica) fruits influenced by chitosan. Hortic. Environ. Biotechnol. 2011, 52, 40–45. [Google Scholar] [CrossRef]
- Pareek, S.; Benkeblia, N.; Janick, J.; Cao, S.; Yahia, E.M. Postharvest physiology and technology of loquat (Eriobotrya japonica Lindl.) fruit. J. Sci. Food Agric. 2014, 94, 1495–1504. [Google Scholar] [CrossRef] [PubMed]
- Koushesh, M.; Arzani, K.; Barzegar, M. Postharvest polyamine application alleviates chilling injury and affects apricot storage ability. J. Agric. Food Chem. 2012, 60, 8947–8953. [Google Scholar] [CrossRef] [PubMed]
- Adiletta, G.; Liguori, L.; Albanese, D.; Russo, P.; Di Matteo, M.; Crescitelli, A. Soft-Seeded pomegranate (Punica granatum L.) varieties: Preliminary characterization and quality changes of minimallyprocessed arils during storage. Food Bioprocess Technol. 2017, 10, 1631–1641. [Google Scholar] [CrossRef]
- Adiletta, G.; Russo, P.; Crescitelli, A.; Di Matteo, M. Combined pretreatment for enhancing quality of dried and rehydrated eggplant. Food Bioprocess Technol. 2016, 9, 1912–1923. [Google Scholar] [CrossRef]
- Adiletta, G.; Russo, P.; Proietti, N.; Capitani, D.; Mannina, L.; Crescitelli, A.; Di Matteo, M. Characterization of Pears During Drying by Conventional Technique and Portable non Invasive NMR. Chem. Eng. Trans. 2015, 44, 151–156. [Google Scholar]
- Brasiello, A.; Iannone, G.; Adiletta, G.; De Pasquale, S.; Russo, P.; Di Matteo, M. Mathematical model for dehydration and shrinkage: Prediction of eggplant’s MRI spatial profiles. J. Food Eng. 2017, 203, 1–5. [Google Scholar] [CrossRef]
- Ding, C.K.; Chachin, K.; Ueda, Y.; Imahori, Y.; Wang, C.Y. Modified atmosphere packaging maintains postharvest quality of loquat fruit. Postharvest Biol. Technol. 2002, 24, 341–348. [Google Scholar] [CrossRef]
- Cao, S.; Zheng, Y.; Wang, K.; Jin, P.; Rui, H. Methyl jasmonate reduces chilling injury and enhances antioxidant enzyme activity in postharvest loquat fruit. Food Chem. 2009, 115, 1458–1463. [Google Scholar] [CrossRef]
- Dhall, R.K. Advances in edible coatings for fresh fruits and vegetables: A review. Crit. Rev. Food Sci. Nutr. 2013, 53, 435–450. [Google Scholar] [CrossRef] [PubMed]
- Petriccione, M.; Pasquariello, M.S.; Mastrobuoni, F.; Zampella, L.; Di Patre, D.; Scortichini, M. Influence of a chitosan coating on the quality and nutraceutical traits of loquat fruit during postharvest life. Sci. Hortic. 2015, 197, 287–296. [Google Scholar] [CrossRef]
- Wang, S.Y.; Gao, H. Effect of chitosan-based edible coating on antioxidants, antioxidant enzyme system and postharvest fruit quality of strawberries (Fragaria × ananassa Duch.). Food Sci. Technol. 2013, 52, 71–79. [Google Scholar]
- Petriccione, M.; Mastrobuoni, F.; Pasquariello, M.S.; Zampella, L.; Nobis, E.; Capriolo, G.; Scortichini, M. Effect of chitosan coating on the postharvest quality and antioxidant enzyme system response of strawberry fruit during cold storage. Foods 2015, 4, 501–523. [Google Scholar] [CrossRef] [PubMed]
- Pasquariello, M.S.; Di Patre, D.; Mastrobuoni, F.; Zampella, L.; Scortichini, M.; Petriccione, M. Influence of postharvest chitosan treatment on enzymatic browning and antioxidant enzyme activity in sweet cherry fruit. Postharvest Biol. Technol. 2015, 109, 45–56. [Google Scholar] [CrossRef]
- Petriccione, M.; De Sanctis, F.; Pasquariello, M.S.; Mastrobuoni, F.; Rega, P.; Scortichini, M.; Mencarelli, F. The effect of chitosan coating on the quality and nutraceutical traits of sweet cherry during postharvest life. Food Bioprocess Technol. 2015, 8, 394–408. [Google Scholar] [CrossRef]
- Bradford, M.M. A dye binding assay for protein. Anal. Biochem. 1976, 72, 248–254. [Google Scholar] [CrossRef]
- Bao, A.K.; Wang, S.M.; Wu, G.Q.; Xi, J.J.; Zhang, J.L.; Wang, C.M. Over expression of the Arabidopsis H+-PPase enhanced resistance to salt and drought stress in transgenic alfalfa (Medicago sativa L.). Plant Sci. 2009, 176, 232–240. [Google Scholar] [CrossRef]
- Toivonen, P.M.A. Postharvest treatments to control oxidative stress in fruits and vegetables. In Postharvest Oxidative Stress in Horticultural Crops; Hodges, D.M., Ed.; Food Products Press: New York, NY, USA, 2003; pp. 225–246. [Google Scholar]
- Noctor, G.; Foyer, C.H. Ascorbate and glutathione: Keeping active oxygen under control. Annu. Rev. Plant Physiol. 1998, 49, 249–279. [Google Scholar] [CrossRef] [PubMed]
- Apel, K.; Hirt, H. Reactive oxygen species: Metabolism, Oxidative Stress, and Signal Transduction. Annu. Rev. Plant Biol. 2004, 55, 373–399. [Google Scholar] [CrossRef] [PubMed]
- Nakano, Y.; Asada, K. Hydrogen peroxide is scavenged by ascorbate-specific peroxidase in spinach chloroplasts. Plant Cell Physiol. 1981, 22, 867–880. [Google Scholar]
- Willekens, H.; Inze, D.; Van Montagu, M.; Van Camp, W. Catalases in plants. Mol. Breed. 1995, 1, 207–228. [Google Scholar] [CrossRef]
- Watkins, C.B. The use of 1-methylcyclopropene (1-MCP) on fruits and vegetables. Biotechnol. Adv. 2006, 24, 389–409. [Google Scholar] [CrossRef] [PubMed]
- Zapata, P.J.; Martinez-Espla, A.; Guillen, F.; Diaz-Mula, H.M.; Martinez-Romero, D.; Serrano, M.; Valero, D. Pre-harvest application of methyl jasmonate (MeJA) in two plum cultivars. 2. Improvement of fruit quality and antioxidant systems during postharvest storage. Postharvest Biol. Technol. 2014, 98, 115–122. [Google Scholar] [CrossRef]
- Song, H.; Yuan, W.; Jin, P.; Wang, W.; Wang, X.; Yang, L.; Zhang, Y. Effects of chitosan/nano-silica on postharvest quality and antioxidant capacity of loquat fruit during cold storage. Postharvest Biol. Technol. 2016, 119, 41–48. [Google Scholar] [CrossRef]
- Cao, S.; Cai, Y.; Yang, Z.; Joyce, D.C.; Zheng, Y. Effect of MeJA treatment on polyamine, energy status and anthracnose rot of loquat fruit. Food Chem. 2014, 145, 86–89. [Google Scholar] [CrossRef] [PubMed]
- Shewfelt, R.L.; Purvis, A.C. Toward a comprehensive model for lipid peroxidation in plant tissue disorders. HortScience 1995, 30, 213–218. [Google Scholar]
- Li, H.; Yu, T. Effect of chitosan on incidence of brown rot, quality and physiological attributes of postharvest peach fruit. J. Sci. Food Agric. 2001, 81, 269–274. [Google Scholar] [CrossRef]
- Xin, Y.; Chen, F.; Lai, S.; Yang, H. Influence of chitosan-based coatings on the physicochemical properties and pectin nanostructure of Chinese cherry. Postharvest Biol. Technol. 2017, 133, 64–71. [Google Scholar] [CrossRef]
- Chong, J.X.; Lai, S.; Yang, H. Chitosan combined with calcium chloride impacts fresh-cut honeydew melon by stabilising nanostructures of sodium-carbonate-soluble pectin. Food Control 2015, 53, 195–205. [Google Scholar] [CrossRef]
- Tran, L.T.; Constabel, C.P. The polyphenol oxidase gene family in poplar: Phylogeny, differential expression and identification of a novel, vacuolar isoform. Planta 2011, 234, 799–813. [Google Scholar] [CrossRef] [PubMed]
- Tomás-Barberán, F.A.; Espín, J.C. Phenolic compounds and related enzymes as determinants of quality in fruits and vegetables. J. Agric. Food Chem. 2001, 81, 853–876. [Google Scholar] [CrossRef]
- Xiao, C.; Luo, W.; Liu, M.; Zhu, L.; Li, M.; Yang, H.; Deng, Y. Quality of fresh-cut pears (Pyrus bretschneideri Rehd cv. Huangguan) coated with chitosan combined with ascorbic acid and rosemary extracts. Philipp. Agric. Sci. 2010, 93, 66–75. [Google Scholar]
- Qi, H.; Hu, W.; Jiang, A.; Tian, M.; Li, Y. Extending shelf-life of fresh-cut ‘Fuji’ apples with chitosan-coatings. Innov. Food Sci. Emerg. Technol. 2011, 12, 62–66. [Google Scholar] [CrossRef]
- Cai, C.; Li, X.; Chen, K.S. Acetylsalicylic acid alleviates chilling injury of postharvest loquat (Eriobotrya japonica Lindl.) fruit. Eur. Food Res. Technol. 2005, 223, 533–539. [Google Scholar] [CrossRef]
- Jin, P.; Shang, H.; Chen, J.; Zhu, H.; Zhao, Y.; Zheng, Y. Effect of 1-Methylcyclopropene on chilling injury and quality of peach fruit during cold storage. J. Food Qual. 2011, 76, 485–491. [Google Scholar] [CrossRef] [PubMed]
- Pen, L.T.; Jiang, Y.M. Effect of chitosan coating on shelf life and quality of fresh-cut Chinese water chestnut. Food Sci. Technol. 2003, 36, 359–364. [Google Scholar] [CrossRef]
- Zhang, Z.; Huber, D.J.; Qu, H.; Yun, Z.; Wang, H.; Huang, Z.; Huang, H.; Jiang, Y. Enzymatic browning and antioxidant activities in harvested litchi fruit as influenced by apple polyphenols. Food Chem. 2015, 171, 191–199. [Google Scholar] [CrossRef] [PubMed]
- Infante, R.; Meneses, C.; Predieri, S. Sensory quality performance of two nectarine flesh typologies exposed to distant market conditions. J. Food Qual. 2008, 31, 526–535. [Google Scholar] [CrossRef]
- Cano-Salazar, J.; Lopez, M.L.; Echeverria, G. Relationships between the instrumental and sensory characteristics of four peach and nectarine cultivars stored under air and CA atmospheres. Postharvest Biol. Technol. 2013, 75, 58–67. [Google Scholar] [CrossRef]
- Pasquariello, M.S.; Rega, P.; Migliozzi, T.; Capuano, L.R.; Scortichini, M.; Petriccione, M. Effect of cold storage and shelf life on physiological and quality traits of early ripening pear cultivars. Sci. Hortic. 2013, 162, 341–350. [Google Scholar] [CrossRef]
- Liu, H.; Chen, F.; Lai, S.; Tao, J.; Yang, H.; Jiao, Z. Effects of calcium treatment and low temperature storage on cell wall polysaccharide nanostructures and quality of postharvest apricot (Prunus armeniaca). Food Chem. 2017, 225, 87–97. [Google Scholar] [CrossRef] [PubMed]





| Cultivar/Selection | Storage Time (Days) | Treatment | CAT (μmol kg−1 s−1) | APX (μmol kg−1 s−1) | SOD (U 103 kg−1) |
|---|---|---|---|---|---|
| Algerie | 0 | Control | 157.80 ± 9.81 e | 59.52 ± 0.17 g | 6.18 ± 0.38 a |
| Chitosan | 157.80 ± 9.81 e | 59.52 ± 0.17 g | 6.18 ± 0.38 a | ||
| 7 | Control | 124.63 ± 10.14 c | 44.77 ± 0.21 d | 8.78 ± 0.23 e | |
| Chitosan | 147.97 ± 9.95d e | 55.44 ± 0.51 f | 6.76 ± 0.22 b | ||
| 14 | Control | 104.60 ± 9.81 b | 35.15 ± 0.10 c | 9.51 ± 0.17 f | |
| Chitosan | 139.07 ± 9.67 cd | 48.80 ± 0.31 e | 7.50 ± 0.16 c | ||
| 21 | Control | 90.40 ± 11.00 a | 25.50 ± 0.15 a | 10.21 ± 0.31 g | |
| Chitosan | 125.73 ± 9.80 c | 33.00 ± 0.18 b | 8.21 ± 0.33 d | ||
| Golden Nugget | 0 | Control | 137.77 ± 10.16 e | 70.77 ± 0.31 g | 5.02 ± 0.12 a |
| Chitosan | 137.77 ± 10.16 e | 70.77 ± 0.31 g | 5.02 ± 0.12 a | ||
| 7 | Control | 103.37 ± 9.55 c | 52.37 ± 0.17 d | 8.96 ± 0.18 d | |
| Chitosan | 124.37 ± 10.19 de | 64.33 ± 0.22 f | 6.29 ± 0.22 b | ||
| 14 | Control | 83.30 ± 10.16 b | 38.94 ± 0.17 a | 11.16 ± 0.27 e | |
| Chitosan | 111.07 ± 9.96 cd | 55.11 ± 0.10 e | 7.84 ± 0.17 c | ||
| 21 | Control | 57.83 ± 10.30 a | 28.91 ± 0.23 a | 11.63 ± 0.13 f | |
| Chitosan | 85.70 ± 10.26 b | 36.23 ± 0.21 b | 9.02 ± 0.20 d | ||
| Nespolone Rosso di Trabia | 0 | Control | 162.17 ± 9.45 e | 63.59 ± 0.39 f | 5.20 ± 0.13 a |
| Chitosan | 162.17 ± 9.45 e | 63.59 ± 0.39 f | 5.20 ± 0.13 a | ||
| 7 | Control | 114.77 ± 10.16 c | 50.44 ± 0.21 d | 8.10 ± 0.12 d | |
| Chitosan | 140.17 ± 10.16 d | 57.22 ± 0.11 e | 5.70 ± 0.41 b | ||
| 14 | Control | 73.97 ± 9.70 ab | 38.30 ± 0.22 b | 9.01 ± 0.11 e | |
| Chitosan | 113.73 ± 9.81 c | 50.80 ± 0.32 d | 6.85 ± 0.26 c | ||
| 21 | Control | 57.13 ± 9.97 a | 34.61 ± 0.34 a | 10.31 ± 0.16 f | |
| Chitosan | 79.63 ± 9.50 b | 44.80 ± 0.17 c | 8.04 ± 0.18 d | ||
| CREAFRC-S18 | 0 | Control | 211.77 ± 10.12 e | 60.28 ± 0.39 g | 11.69 ± 0.32 a |
| Chitosan | 211.77 ± 10.12 e | 60.28 ± 0.39 g | 11.69 ± 0.32 a | ||
| 7 | Control | 139.20 ± 10.00 c | 50.33 ± 0.38 e | 17.72 ± 0.33 e | |
| Chitosan | 191.50 ± 9.65 d | 57.97 ± 0.81 f | 14.84 ± 0.24 b | ||
| 14 | Control | 114.77 ± 9.90 b | 29.88 ± 0.22 c | 18.84 ± 0.24 f | |
| Chitosan | 154.57 ± 9.60 c | 43.36 ± 0.45 d | 16.21 ± 0.13 c | ||
| 21 | Control | 85.80 ± 10.35 a | 16.92 ± 0.17 a | 19.19 ± 0.16 f | |
| Chitosan | 110.40 ± 10.50 b | 25.88 ± 0.22 b | 16.71 ± 0.34 d | ||
| CREAFRC-S35 | 0 | Control | 188.67 ± 9.95 e | 57.08 ± 0.23 e | 10.38 ± 0.42 a |
| Chitosan | 188.67 ± 9.95 e | 57.08 ± 0.23 e | 10.38 ± 0.42 a | ||
| 7 | Control | 141.73 ± 9.55 c | 50.24 ± 0.19 d | 13.59 ± 0.34 d | |
| Chitosan | 165.83 ± 10.40 d | 60.29 ± 0.39 f | 11.15 ± 0.17 b | ||
| 14 | Control | 113.47 ± 10.20 b | 38.23 ± 0.28 c | 15.00 ± 0.19 e | |
| Chitosan | 146.47 ± 10.10 c | 50.62 ± 0.39 d | 12.16 ± 0.17 c | ||
| 21 | Control | 91.33 ± 10.11 a | 15.08 ± 0.12 a | 15.59 ± 0.34 f | |
| Chitosan | 111.33 ± 9.75 b | 30.22 ± 0.20 b | 13.65 ± 0.38 d | ||
| CREAFRC-S36 | 0 | Control | 158.97 ± 10.30 e | 51.75 ± 0.46 f | 10.51 ± 0.16 a |
| Chitosan | 158.97 ± 10.30 e | 51.75 ± 0.46 f | 10.51 ± 0.16 a | ||
| 7 | Control | 131.43 ± 10.05 cd | 37.05 ± 0.16 d | 14.31 ± 0.33 e | |
| Chitosan | 152.80 ± 9.80 e | 51.23 ± 0.11 f | 11.44 ± 0.30 b | ||
| 14 | Control | 110.53 ± 10.10 b | 29.92 ± 0.13 b | 15.59 ± 0.34 f | |
| Chitosan | 144.67 ± 10.20 de | 40.90 ± 0.11 e | 12.74 ± 0.17 c | ||
| 21 | Control | 83.10 ± 9.75 a | 26.68 ± 0.33 a | 16.48 ± 0.28 g | |
| Chitosan | 120.73 ± 9.95 bc | 34.25 ± 0.25 c | 13.66 ± 0.38 d |
© 2018 by the authors. Licensee MDPI, Basel, Switzerland. This article is an open access article distributed under the terms and conditions of the Creative Commons Attribution (CC BY) license (http://creativecommons.org/licenses/by/4.0/).
Share and Cite
Adiletta, G.; Pasquariello, M.S.; Zampella, L.; Mastrobuoni, F.; Scortichini, M.; Petriccione, M. Chitosan Coating: A Postharvest Treatment to Delay Oxidative Stress in Loquat Fruits during Cold Storage. Agronomy 2018, 8, 54. https://doi.org/10.3390/agronomy8040054
Adiletta G, Pasquariello MS, Zampella L, Mastrobuoni F, Scortichini M, Petriccione M. Chitosan Coating: A Postharvest Treatment to Delay Oxidative Stress in Loquat Fruits during Cold Storage. Agronomy. 2018; 8(4):54. https://doi.org/10.3390/agronomy8040054
Chicago/Turabian StyleAdiletta, Giuseppina, Maria Silvia Pasquariello, Luigi Zampella, Francesco Mastrobuoni, Marco Scortichini, and Milena Petriccione. 2018. "Chitosan Coating: A Postharvest Treatment to Delay Oxidative Stress in Loquat Fruits during Cold Storage" Agronomy 8, no. 4: 54. https://doi.org/10.3390/agronomy8040054
APA StyleAdiletta, G., Pasquariello, M. S., Zampella, L., Mastrobuoni, F., Scortichini, M., & Petriccione, M. (2018). Chitosan Coating: A Postharvest Treatment to Delay Oxidative Stress in Loquat Fruits during Cold Storage. Agronomy, 8(4), 54. https://doi.org/10.3390/agronomy8040054

