Next Article in Journal
Chloroplastic and Nuclear Markers Reveal the Phylogeny of Passiflora Species from Boyacá, Colombia
Previous Article in Journal
Effect of Liquid Vermicompost Fertilizer on Thai Basil Yield and Quality Parameters Under Greenhouse Conditions
Previous Article in Special Issue
Multi-Species Microbial Inoculants Enhance Turfgrass Quality, Nutrient Uptake, and Stress Resilience Under Temperate Polish Conditions
 
 
Font Type:
Arial Georgia Verdana
Font Size:
Aa Aa Aa
Line Spacing:
Column Width:
Background:
Article

Physiological Characteristics and Related Gene Expressions Associated with Moist Chilling-Induced Seed Dormancy Release in Zoysiagrass (Zoysia japonica)

1
School of Hydraulic and Civil Engineering, Ludong University, Yantai 264025, China
2
School of Geographic Science, Nantong University, Nantong 226007, China
3
School of Resources and Environmental Engineering, Ludong University, Yantai 264025, China
*
Author to whom correspondence should be addressed.
Agronomy 2026, 16(6), 640; https://doi.org/10.3390/agronomy16060640
Submission received: 2 February 2026 / Revised: 13 March 2026 / Accepted: 16 March 2026 / Published: 19 March 2026

Abstract

Moist chilling is widely used to overcome seed dormancy in zoysiagrass (Zoysia japonica Steud.), but the coordinated physiological and molecular basis remains unclear. Here, freshly matured seeds were subjected to moist chilling at 4 °C in darkness for 0 (Control), 1 (CS1), 2 (CS2), 3 (CS3), or 4 weeks (CS4) and then transferred to germination conditions (30/20 °C, day/night). Prolonged moist chilling progressively improved dormancy release: final germination percentage increased from 40.5% (Control) to 73.5% (CS4), accompanied by a higher germination index and earlier, faster cumulative germination dynamics. Moist chilling also enhanced early seedling vigor, with stronger treatment differentiation in root elongation than in shoot growth. Physiologically, abscisic acid (ABA) content declined while gibberellic acid (GA) content increased, resulting in an elevated GA/ABA ratio with prolonged chilling. Metabolic activation was evidenced by increased α-amylase activity, greater soluble sugar and soluble protein accumulation, and stimulated oxygen uptake. In addition, CAT, SOD, and POD activities were enhanced under prolonged moist chilling, whereas H2O2 levels remained relatively stable, suggesting that redox adjustment during dormancy release was characterized by strengthened antioxidant buffering rather than pronounced oxidative accumulation. qRT-PCR supported a mechanistic transition from dormancy maintenance to germination execution, showing moist chilling-associated regulation of ABA/GA metabolism and signaling genes (e.g., NCED, CYP707A, ABI3/ABI5, and GA20ox) and downstream metabolic modules (e.g., GAMYB, AMY, ISA, INV, and HXK1), together with concurrent modulation of respiration- and ROS-related markers (e.g., AOX1a, RBOH, and CAT). Correlation analysis linked germination performance most strongly with α-amylase activity, oxygen uptake, and the GA/ABA ratio. Collectively, our data support a working model in which moist chilling rebalances the ABA–GA gate and activates downstream metabolic and redox adjustment modules to promote dormancy release and improve germination performance in zoysiagrass, providing practical markers for optimizing seed establishment through moist chilling treatment.

1. Introduction

Seed dormancy and germination are tightly regulated life-history transitions that determine when a seed shifts from a quiescent, stress-tolerant state to active growth [1,2]. Dormancy improves survival across unfavorable seasons, whereas germination requires the integration of environmental cues with internal metabolic activation, thereby aligning seedling emergence with windows of high establishment success [3,4]. In managed ecosystems and agriculture, however, persistent dormancy can be undesirable because it reduces emergence rate and uniformity, delays stand establishment, and increases management inputs [5].
In many grasses, dormancy is shaped not only by embryo physiology but also by the surrounding covering structures that can function as a physical barrier to water, oxygen, and signaling molecule exchange [6,7]. In zoysiagrass (Zoysia japonica Steud.), the outer glumes have been described as waxy tissues that reduce permeability and thereby inhibit germination and/or promote dormancy [8]. Consistently, dormancy in mature zoysiagrass seeds can be markedly alleviated when embryos are excised from the seed coverings, suggesting that the seed coat-imposed constraint interacts with dormancy-regulating hormonal control, particularly abscisic acid (ABA) [8,9]. These features make Zoysia an excellent system to dissect how environmental cues such as chilling translate into coordinated physiological and molecular reprogramming toward germination competence.
A central feature of dormancy–germination control is the coordinated adjustment of hormonal signaling, reserve mobilization, and redox homeostasis [10,11]. ABA is generally associated with dormancy induction and maintenance, whereas gibberellin (GA) promotes germination through embryo growth potential and weakening of surrounding tissues; accordingly, the GA/ABA balance is frequently considered a key regulatory axis in dormancy release [4,12]. In parallel, germination requires rapid mobilization of stored reserves and activation of energy metabolism, including starch degradation and increased oxygen uptake, which collectively provide substrates and ATPs for radicle protrusion [13,14]. Reactive oxygen species (ROS), particularly hydrogen peroxide (H2O2), also contribute to germination-related signaling when maintained within an appropriate range, while antioxidant systems restrain oxidative damage and preserve cellular integrity [1].
Moist chilling—exposure of imbibed seeds to low temperature for a defined period—is a classical ecological cue that synchronizes germination with seasonal progression and is widely used to relieve physiological dormancy [4,15]. Evidence from diverse species indicates that moist chilling can promote ABA catabolism, enhance GA biosynthesis and signaling capacity, and thereby increase the GA/ABA ratio, creating a hormonal state permissive for subsequent metabolic “execution” events such as reserve mobilization and increased oxygen uptake [16]. In zoysiagrass, seed germination has been recognized as a major limitation for seed-based establishment, and transcriptome-level evidence further supports that hormone-related and redox-related pathways are tightly connected with early seed developmental progression [17]. Despite these advances, the temporal coordination among hormonal rebalancing, metabolic activation, and redox regulation during moist chilling remains less well resolved for many non-model species, including turfgrasses [18].
Zoysiagrass is a major warm-season turfgrass widely used in sports fields, landscaping, and ecological restoration due to its drought tolerance, wear resistance, and low maintenance requirements. The seeds of this species are characterized by strong physiological dormancy [19,20]. Its broader utilization is often constrained by strong dormancy and inconsistent germination, which compromise rapid and uniform establishment from seed [21]. A key unresolved question is how the major regulatory layers are temporally coupled during moist chilling in zoysiagrass [22]. Specifically, it remains unclear whether the improvement in germination performance is primarily explained by a shift in GA/ABA balance, by a downstream metabolic “execution” program (reserve mobilization and increased oxygen uptake), by redox signaling and antioxidant buffering, or by coordinated interactions among these modules. Addressing this gap requires time-resolved phenotyping integrated with physiological readouts and targeted molecular markers. Here, we integrate germination kinetics, hormone profiling, metabolic indicators, redox status, and targeted gene expression to resolve how moist chilling progressively reprograms zoysiagrass seeds toward germination competence.

2. Materials and Methods

2.1. Plant Material and Moist Chilling Treatments

Freshly matured seeds of zoysiagrass were collected from the Shandong Provincial Coastal Grass Germplasm Resource Bank and Breeding Base in 2023. The whole seeds were after-ripened for six months in dry storage at room temperature (20–25 °C) prior to the moist chilling experiments to ensure a stable and uniform dormancy state. Seeds were surface-sterilized in 70% (v/v) ethanol for 1 min, followed by 2% (w/v) sodium hypochlorite for 10 min, rinsed thoroughly with sterile distilled water, and air-dried under a laminar flow hood.
For moist chilling, intact seeds were placed on moistened filter paper in 9 cm Petri dishes, sealed with parafilm, and incubated at 4 °C in darkness for 0 (Control), 7 (CS1), 14 (CS2), 21 (CS3), or 28 days (CS4). Each treatment consisted of four biological replicates with 100 seeds per replicate (dish). During moist chilling, filter papers were replaced and sterile distilled water was replenished once per week under no-light conditions to minimize microbial growth and prevent desiccation. Moist chilling was initiated at staggered times so that all treatments ended on the same day. After moist chilling, seeds from all treatments were transferred simultaneously to a germination chamber at 30/20 °C (day/night) under a 16 h light/8 h dark photoperiod. The germination tests were conducted with a light intensity of 150 μmol m−2 s−1 provided by cool white LED lamps.

2.2. Germination Assays and Germination Parameters

Germination was recorded daily for 14 days. Seeds with radicle protrusion ≥ 2 mm were considered germinated. At the conclusion of the 14-day germination assay, all non-germinated seeds were manually inspected using forceps to assess embryo integrity and firmness. Germination percentage (GP) was calculated as the proportion of germinated seeds at the end of the assay. To evaluate germination performance and uniformity, the germination index (GI), mean germination time (MGT), and synchrony index (Z) were calculated following the standardized methods of [23]. Briefly, GI was calculated as G I = ( G t / D t ) , where G t is the number of seeds germinated on day t , and D t is the corresponding day of germination. MGT was calculated as M G T = ( n t ) / n , where n is the number of seeds germinated on day t . The synchrony index (Z) was used to quantify the degree of overlap in germination among individual seeds, with values ranging from 0 (no overlap) to 1 (perfect synchrony). For time-course visualization, cumulative germination was expressed as cumulative percentage based on 100 seeds per replicate.

2.3. Seedling Growth Measurements

To evaluate early seedling growth, root length and shoot length were measured on Day 14 of the germination assay. Ten normally developed seedlings per treatment (defined by the presence of an intact radicle and healthy coleoptile) were randomly selected for measurement (n = 10). No abnormal seedlings were observed during the course of the study. Root length and shoot length were recorded in centimeters.

2.4. Quantification of Abscisic Acid and Gibberellic Acid

Endogenous ABA and GA3 were measured by LC–MS/MS. Approximately 0.5 g seed tissue per biological replicate was ground in liquid nitrogen. Stable isotope-labeled internal standards for ABA and GA3 (Olchemim, Olomouc, Czech Republic) were added prior to extraction with cold 80% methanol containing 1 mM butylated hydroxytoluene. Extracts were centrifuged at 12,000× g for 20 min at 4 °C, and the supernatants were purified using C18 solid-phase extraction cartridges. Hormone concentrations were determined using external calibration curves (R2 = 0.998) constructed with authentic standards (Olchemim). The limits of detection were 0.377 ng/mL for ABA and 0.310 ng/mL for GA3, with extraction recovery rates of 108.8% (RSD = 6.17%) and 91.6% (RSD = 7.82%), respectively. The GA3/ABA ratio was calculated from the measured concentrations for each replicate.

2.5. Determination of Antioxidant Enzyme Activities

To comprehensively evaluate the redox status of the seeds during moist chilling, the activities of key antioxidant enzymes, including superoxide dismutase (SOD), catalase (CAT), and peroxidase (POD), were determined. Briefly, 0.1 g of intact whole seeds per biological replicate was homogenized on ice in 1 mL of 50 mM pre-chilled potassium phosphate buffer (pH 7.0). The homogenate was centrifuged at 12,000× g for 20 min at 4 °C, and the resulting supernatant was collected as the crude enzyme extract.
POD activity was assayed using the guaiacol method. The reaction was monitored by measuring the increase in absorbance at 470 nm resulting from the oxidation of guaiacol in the presence of H2O2. One unit (U) of POD activity was defined as an increase of 0.01 in OD470 per minute per gram of fresh weight (U g−1 FW).
CAT and SOD activities were determined using commercial colorimetric assay kits (Nanjing Jiancheng Bioengineering Institute, Nanjing, China), strictly adhering to the manufacturer’s instructions. CAT activity was evaluated based on the capacity of the enzyme extract to decompose H2O2, with the remaining H2O2 reacting with ammonium molybdate to produce a yellowish complex measured at 405 nm. SOD activity was determined based on its ability to inhibit the production of superoxide anions in the reaction system using the WST-1 method, measured at 450 nm. Both CAT and SOD activities were ultimately expressed on a fresh weight basis (U g−1 FW).

2.6. Determination of Hydrogen Peroxide Content

For hydrogen peroxide (H2O2) quantification, 0.1 g of intact whole seeds per replicate was homogenized in 1 mL of kit-provided extraction buffer on ice using a chilled mortar and pestle. The homogenate was centrifuged at 12,000× g for 20 min at 4 °C, and the resulting supernatant was collected. The reaction was performed following the manufacturer’s instructions (Macklin, Shanghai, China), and the absorbance was measured at 415 nm. H2O2 concentration was calculated against a standard curve and expressed on a fresh weight basis (μmol g−1 FW).

2.7. α-Amylase Activity Assay

α-Amylase activity was determined using a commercial assay kit (Solarbio Science & Technology Co., Ltd., Beijing, China) according to the manufacturer’s instructions. The assay is based on the quantification of reducing sugars (expressed as maltose equivalents) released from starch hydrolysis. Briefly, 0.1 g of seed tissue was homogenized in extraction buffer and the supernatant was used for the assay after inactivating β-amylase at 70 °C for 15 min. One unit (U) of α-amylase activity was defined as 1 mg of maltose produced per gram of fresh weight (FW) per minute. The activity was calculated using the following formula:
A c t i v i t y mg g 1 min 1 = A t e s t A b l a n k + b a × V t o t a l V s a m p l e × W × T × D
where Atest and Ablank are the absorbances of the sample and blank; a and b are the slope and intercept of the maltose standard curve, respectively; Vtotal is the total volume of the extraction buffer (mL); Vsample is the volume of the extract used in the reaction (mL); W is the fresh weight of the sample (g); T is the reaction time (min); and D is the dilution factor.

2.8. Soluble Sugar and Soluble Protein Quantification

Soluble sugar content was determined using the anthrone colorimetric method. Briefly, 0.1 g of seed tissue was homogenized in 1 mL of extraction solution, and the homogenate was centrifuged at 12,000× g for 10 min at 4 °C. An aliquot of the supernatant was mixed with freshly prepared anthrone reagent, heated in a boiling water bath for 10 min, and then rapidly cooled to room temperature. The absorbance was measured at 625 nm. Soluble sugar content was calculated using a glucose standard curve and expressed on a fresh weight basis (mg g−1 FW).
Soluble protein content was quantified using a commercial soluble protein assay kit (Macklin, Shanghai, China) according to the manufacturer’s instructions. For each biological replicate, 0.1 g of seed tissue was homogenized in 1 mL of the kit-provided extraction buffer, and the supernatant was reacted with the color reagent and measured at 562 nm. Protein content was calculated using a bovine serum albumin standard curve and expressed on a fresh weight basis.

2.9. Measurement of Oxygen Uptake

Oxygen uptake was determined at 25 °C using a Clark-type oxygen electrode. For each biological replicate, 10 intact whole seeds were sampled immediately at the end of each moist chilling treatment, weighed, and equilibrated in the measurement chamber prior to measurement. Oxygen uptake rates were recorded for 10 min at 1 min intervals to ensure a stable linear slope. Results were normalized to fresh weight and expressed as μmol O2 g−1 h−1.

2.10. RNA Extraction and qRT–PCR Analysis

For gene expression analysis, seeds were sampled immediately at the end of each moist chilling duration, frozen in liquid nitrogen, and stored at −80 °C until RNA extraction. Total RNA was extracted from seeds using TRIzol reagent (Invitrogen, Carlsbad, CA, USA) according to the manufacturer’s protocol, with three biological replicates per treatment. RNA integrity was checked by agarose gel electrophoresis, and RNA concentration and purity were determined spectrophotometrically. One microgram of DNase I-treated RNA was reverse-transcribed using a commercial reverse transcription kit (Takara, Tokyo, Japan).
qRT–PCR was performed on an ABI 7500 real-time PCR system (Applied Biosystems, San Francisco, CA, USA) using SYBR Green Master Mix. Each 20 μL reaction contained 2 μL cDNA template, 10 μL 2× SYBR Green mix, 0.2 μM of each primer, and nuclease-free water. Three technical replicates were included for each biological replicate. Primer specificity was confirmed by melting curve analysis, and primer efficiencies were within 90–110%. Actin was used as the internal reference gene. Relative expression levels were calculated using the 2−ΔΔCt method [24]. Primer sequences are provided in Table S1.

2.11. Statistical Analysis

Data are presented as mean ± standard error (SE). Four biological replicates were used, with each replicate consisting of 100 seeds (n = 4); for early seedling growth (root and shoot length), ten normally developed seedlings were randomly selected and measured per treatment (n = 10). For comparisons among moist chilling treatments, one-way analysis of variance (ANOVA) was performed followed by Tukey’s multiple comparison test, and differences were considered significant at p < 0.05.

3. Results

3.1. Moist Chilling Accelerates Germination Kinetics and Improves Seed Vigor

Moist chilling markedly promoted dormancy release and improved germination performance in zoysiagrass after transfer to uniform germination conditions (Figure 1). Non-treated seeds (Control) exhibited the lowest final germination percentage (40.5 ± 5.32%, mean ± SE), whereas moist-chilled seeds showed a clear duration-dependent increase, reaching 52.5 ± 4.27% (CS1, 7 d), 53.5 ± 4.11% (CS2, 14 d), and 56.5 ± 3.77% (CS3, 21 d), with the maximum germination observed after 28 d of moist chilling (73.5 ± 2.22%, CS4) (Figure 1A). One-way ANOVA followed by Tukey’s test indicated that CS4 was significantly higher than the Control and the shorter moist chilling treatments (as indicated by distinct letters; p < 0.05), while CS3 generally displayed an intermediate response with partial overlap among groups.
In parallel with the rise in final germination percentage, moist chilling substantially enhanced the germination index (GI), reflecting combined changes in germination speed and uniformity (Figure 1B). Control seeds showed the lowest GI (2.825 ± 0.306), and short-to-intermediate moist chilling durations produced moderate increases (3.139 ± 0.315 for CS1 and 3.346 ± 0.521 for CS2). GI increased further following 21 d of moist chilling (4.366 ± 0.197, CS3) and reached the highest level in CS4 (6.507 ± 0.210), indicating that prolonged chilling not only improved overall germination capacity but also promoted a more rapid germination process.
To directly quantify germination speed, mean germination time (MGT) was calculated based on daily germination increments derived from cumulative counts during the 14-day assay (Figure 1C). Moist chilling exerted a strong effect on MGT, with CS4 showing the fastest germination (5.94 ± 0.19 days). In contrast, Control and shorter moist chilling durations exhibited higher MGT values (7.96 ± 0.53 days for Control, 9.63 ± 0.28 days for CS1, 7.96 ± 0.56 days for CS2, and 7.78 ± 0.29 days for CS3), indicating that a marked acceleration of germination progression became evident only after extended chilling. Furthermore, analysis of the synchrony index (Z) indicated that dormancy release is primarily driven by this accelerated speed rather than an absolute increase in single-day germination synchrony (Figure S1).
Consistent with the endpoint metrics, the time-course curves of cumulative germination revealed a moist chilling-duration-dependent advancement of germination onset and faster accumulation of germinated seeds (Figure 1D). The CS4 treatment separated from the other groups during the early-to-mid germination window and maintained the highest trajectory thereafter, indicating both earlier germination initiation and sustained acceleration across the assay period. Control and shorter moist chilling treatments displayed slower increases and lower cumulative germination throughout most time points. Together, these integrated phenotypic readouts demonstrate that moist chilling progressively alleviates seed dormancy in zoysiagrass, with the strongest enhancement in final germination capacity and germination speed achieved after 28 d of chilling.

3.2. Moist Chilling Promotes Early Seedling Growth

Moist chilling significantly promoted early seedling growth in zoysiagrass, with a stronger effect on root elongation than on shoot elongation (Figure 2). Root length differed significantly among treatments (one-way ANOVA, p < 0.001): control seedlings produced the shortest roots (3.55 ± 0.66 cm, mean ± SE), whereas prolonged moist chilling generally increased root length, reaching 5.77 ± 1.31 cm (CS1), 6.78 ± 1.56 cm (CS3), and 7.41 ± 1.52 cm (CS4). Notably, CS2 showed an intermediate response (4.31 ± 1.22 cm) and did not differ from the Control group (shared letters), while CS1, CS3, and CS4 formed a higher group relative to Control/CS2 (p < 0.05, Tukey’s test).
Shoot length also exhibited a significant overall treatment effect (one-way ANOVA, p < 0.001). Control seedlings showed the lowest shoot length (1.25 ± 0.19 cm), while all moist chilling treatments produced longer shoots (CS1: 1.75 ± 0.39 cm; CS2: 1.82 ± 0.48 cm; CS3: 2.15 ± 0.39 cm; CS4: 2.15 ± 0.49 cm). Post hoc comparison indicated that each moist chilling treatment was significantly greater than the Control (p < 0.05), whereas differences among CS1–CS4 were not significant. Together, these results indicate that moist chilling enhances seedling vigor primarily by promoting root growth, while shoot elongation responds more uniformly across moist chilling durations.

3.3. Moist Chilling Shifts ABA–GA Homeostasis

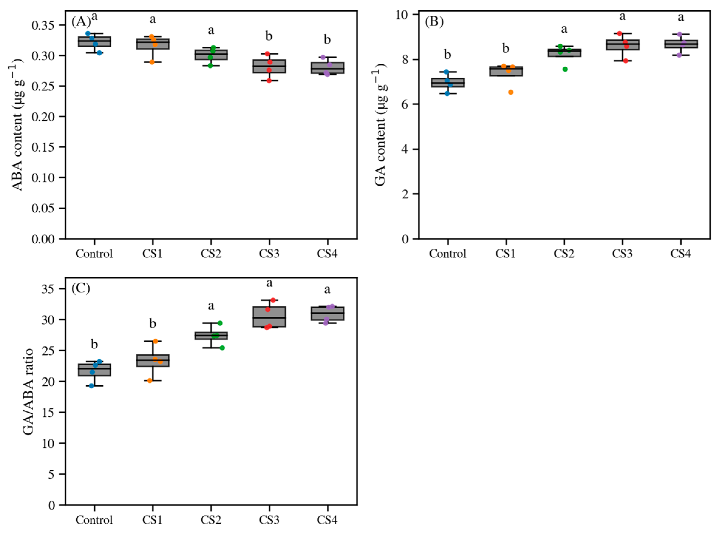
Moist chilling induced a coordinated shift in hormone balance in zoysiagrass seeds, consistent with progressive dormancy release (Figure 3). Abscisic acid (ABA) content exhibited a modest decline with increasing moist chilling duration; however, the reduction became statistically evident only after prolonged chilling, with CS3 and CS4 showing significantly lower ABA than Control and the shorter moist chilling treatments (Figure 3A; p < 0.05). In contrast, gibberellin (GA) content increased following moist chilling and plateaued at higher levels in the longer treatments: GA in CS2–CS4 was significantly higher than that in Control and CS1 (Figure 3B; p < 0.05).
Consistent with the opposite trends of ABA and GA, the GA/ABA ratio rose markedly after moist chilling. The ratio in CS2–CS4 was significantly elevated relative to Control and CS1 (Figure 3C; p < 0.05), indicating that moist chilling primarily promotes a germination-permissive hormonal state by shifting the balance toward GA dominance.

3.4. Moist Chilling Enhances Antioxidant Enzyme Activities

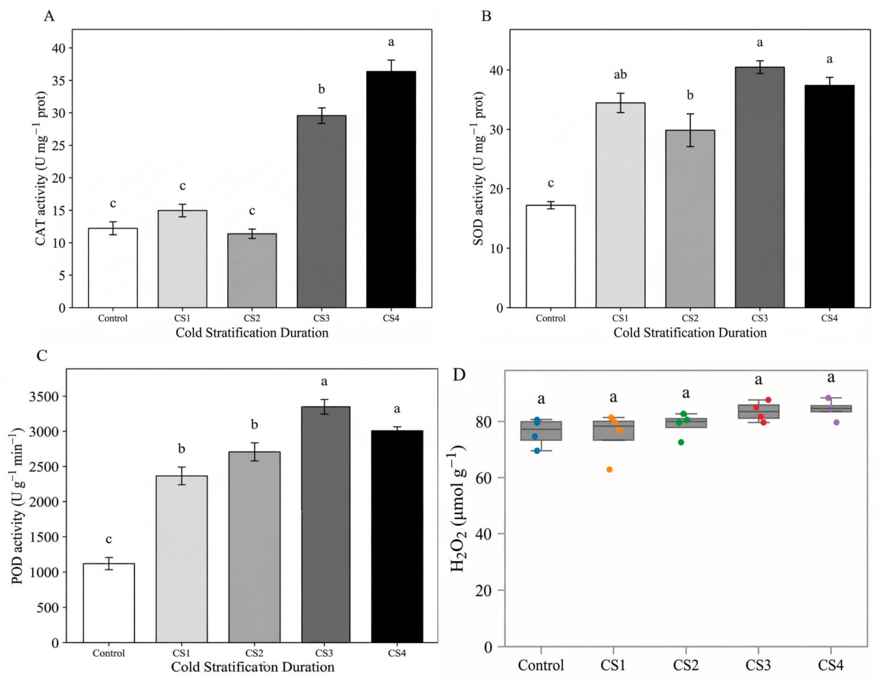
As shown in Figure 4, moist chilling markedly affected the activities of antioxidant enzymes in zoysiagrass seeds. CAT activity remained at a relatively low level in the Control, CS1, and CS2 treatments, with no significant differences among them, but increased sharply after prolonged treatment time, reaching significantly higher levels in CS3 and peaking in CS4. SOD activity was also enhanced by moist chilling. Compared with the Control, all moist chilling treatments showed higher SOD activity, with the highest values observed in CS3 and CS4, while CS2 showed an intermediate level and CS1 overlapped statistically with both the intermediate and higher groups. A similar pattern was observed for POD activity, which increased progressively with moist chilling duration; CS1 and CS2 were significantly higher than the Control, whereas CS3 and CS4 showed the highest POD activities. Overall, these results indicate that prolonged treatment significantly increased CAT, SOD, and POD activities during moist chilling.
H2O2 showed comparatively limited differentiation among treatments. Although H2O2 levels tended to be higher in the longer moist chilling groups, no significant differences were detected across treatments based on post hoc comparisons (Figure 4D; p > 0.05), suggesting that under the present conditions H2O2 accumulation may be more variable and/or regulated within a narrow range compared with the hormone module.

3.5. Moist Chilling Activates Reserve Mobilization and Oxygen Uptake

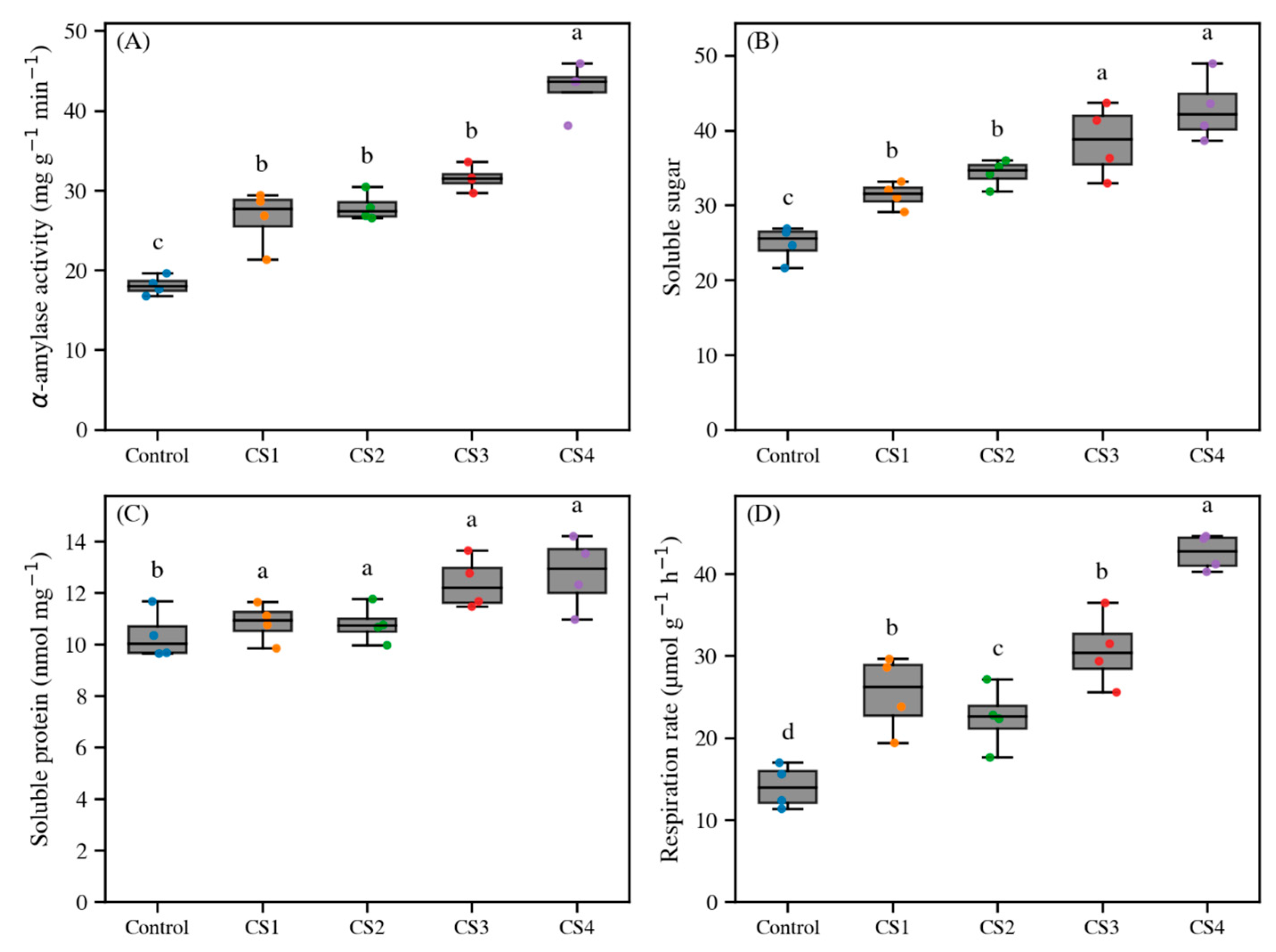
Moist chilling triggered a pronounced metabolic activation in zoysiagrass seeds, as indicated by coordinated changes in reserve mobilization and oxygen uptake (Figure 5). α-amylase activity increased substantially after moist chilling, shifting from the lowest level in the Control to higher values in all chilled treatments (Figure 5A). Notably, CS1–CS3 formed an intermediate group that did not differ significantly from one another, whereas CS4 displayed the highest α-amylase activity and was significantly greater than the other treatments (different letters, p < 0.05).
In parallel, soluble sugar content increased progressively with moist chilling duration (Figure 5B). Control exhibited the lowest sugar level, CS1 and CS2 showed intermediate increases, and CS3–CS4 reached the highest concentrations; CS3 and CS4 did not differ significantly from each other but were significantly higher than the shorter moist chilling treatments (different letters, p < 0.05).
Soluble protein content also rose following moist chilling (Figure 5C), with Control remaining lower than the moist chilling treatments. In this trait, the increase appeared to plateau relatively early: CS1–CS4 generally clustered at higher levels than Control, with limited separation among the moist chilling durations (different letters, p < 0.05).
Oxygen uptake showed the strongest moist chilling-dependent differentiation among the metabolic traits (Figure 5D). Control seeds exhibited the lowest oxygen uptake, while moist-chilled seeds showed marked increases. Importantly, the response was not strictly linear: CS1 increased significantly relative to Control, CS2 showed a modest reduction compared with CS1, and oxygen uptake increased again in CS3 and peaked in CS4.

3.6. Correlation Analysis Links Germination Performance with Hormonal Balance, Redox Status, and Metabolic Activation

The correlation analysis supported a coherent physiological shift accompanying dormancy release during moist chilling in zoysiagrass (Figure 6). As expected, germination traits were internally consistent: germination percentage increased in parallel with the germination index, whereas MGT exhibited a strong negative correlation with both parameters. This pattern indicates that moist chilling improved not only the final germination capacity but also the overall speed and vigor of the process.
Among the measured physiological variables, the strongest associations with germination performance were linked to metabolic activation. α-Amylase activity showed a particularly tight relationship with germination, aligning closely with germination percentage and germination index, consistent with the idea that enhanced starch breakdown supports faster and more effective germination. Oxygen uptake displayed a similarly strong positive relationship with germination traits and also covaried with α-amylase activity and soluble sugar, suggesting that reserve mobilization and oxygen uptake are closely coupled and jointly contribute to improved germination dynamics. Soluble sugar and soluble protein generally followed this metabolic pattern, supporting the accumulation of readily available substrates during dormancy release.
Hormone-related variables formed a second, biologically interpretable module. Abscisic acid showed negative associations with germination traits and several metabolic parameters, whereas gibberellic acid and the GA/ABA ratio tended to correlate positively with germination and metabolic activation. These relationships are consistent with a moist chilling-driven shift toward a pro-germination hormonal status, in which reduced ABA constraint and increased GA dominance accompany reserve mobilization. In contrast, hydrogen peroxide exhibited more moderate correlations, but its positive alignment with germination traits and metabolic variables suggests that ROS status is integrated with the broader hormonal–metabolic transition during moist chilling. Correlations marked with asterisks remained significant after FDR correction (Figure 6).

3.7. Expression Patterns of Key Dormancy-Release Genes During Moist Chilling

To elucidate the molecular basis of dormancy release, we analyzed the expression of cold-responsive and phytohormone-related genes across moist chilling durations (Figure 7). Moist chilling rapidly triggered the ZjICE1-mediated signaling pathway, with expression peaking at CS2 and remaining significantly elevated through CS4. Conversely, the dormancy marker ZjLEA progressively declined, reaching its nadir at CS3–CS4, signaling the attenuation of the dormancy-maintenance program. The ABA module underwent a profound transcriptional switch favoring catabolism over biosynthesis. ABA biosynthetic genes (ZjNCED1/2) were significantly downregulated, with ZjNCED1 falling to 4% of control levels by CS4. In contrast, the catabolic gene ZjCYP707A was robustly induced, maintaining a >20-fold increase from CS3 onward (p < 0.05). Within the signaling apparatus, the repressor ZjABI5 was significantly suppressed at later stages (CS3–CS4), while the negative regulator ZjPP2CA was consistently upregulated across all moist chilling treatments, indicating a comprehensive dampening of ABA sensitivity. Regarding GA metabolism, ZjGA20ox exhibited a non-linear response; following an initial dip at CS1, its expression climbed to a maximum at CS4, aligning with an enhanced GA biosynthetic potential. Collectively, these results demonstrate that moist chilling orchestrates an early ZjICE1 cold-response signal that transitions into a robust ABA-to-GA transcriptional shift, effectively resetting the molecular “gate” from dormancy maintenance to germination execution.
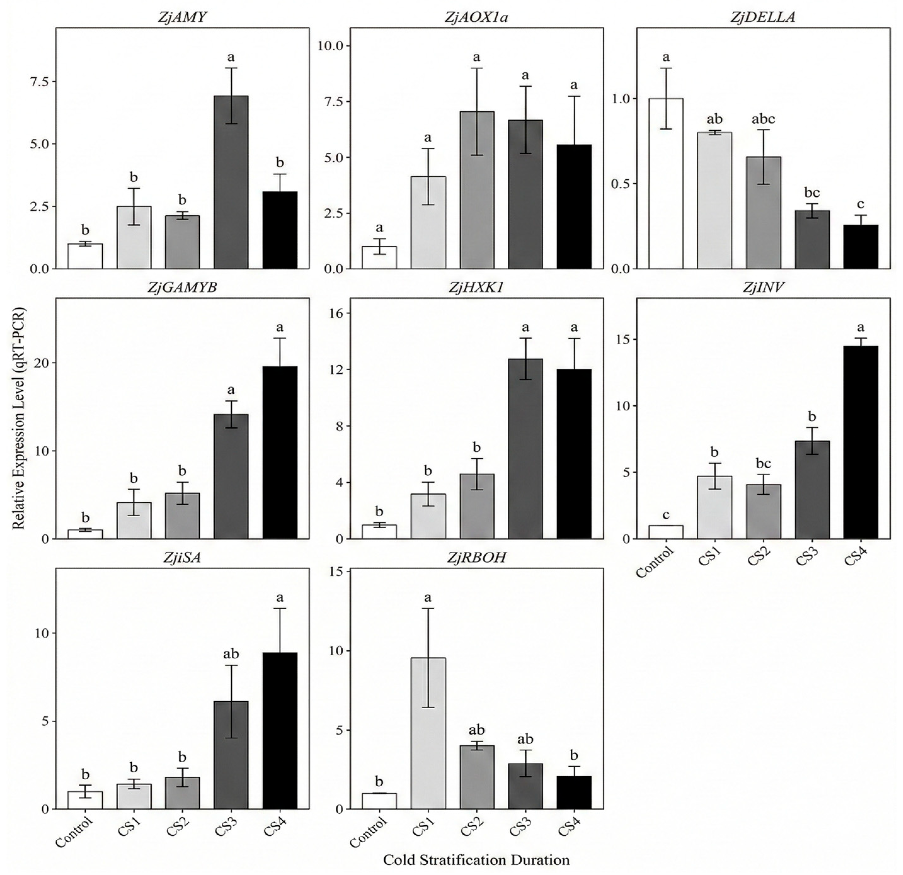
Moist chilling markedly reprogrammed the expression of genes associated with GA output, carbohydrate utilization, oxygen uptake-related adjustment, and ROS production (Figure 8). The GA-responsive transcription factor ZjGAMYB remained at relatively low levels from Control to CS2, but was strongly induced after prolonged moist chilling, showing significantly higher expression in CS3–CS4 than in Control–CS2 (p < 0.05). Consistently, the starch-degradation gene ZjAMY displayed a pronounced induction with a peak at CS3, which was significantly higher than the other treatments (p < 0.05), whereas CS4 showed an intermediate level.
Genes involved in soluble sugar processing were also activated by moist chilling. ZjINV increased progressively across moist chilling durations, with the highest expression in CS4, which was significantly greater than the other treatments (p < 0.05). ZjHXK1 showed a similar pattern, rising from Control/CS1–CS2 to significantly higher expression in CS3–CS4 (p < 0.05). In addition, ZjISA exhibited a duration-dependent increase, reaching its maximum at CS4; CS4 was significantly higher than Control–CS2 (p < 0.05), while CS3 was intermediate.
In contrast, the GA signaling repressor ZjDELLA showed an overall downward trend with increasing moist chilling duration; expression in CS3–CS4 was significantly lower than in Control (p < 0.05), indicating progressive release of GA repression during dormancy alleviation. Regarding oxygen uptake-related regulation, ZjAOX1a exhibited an upward tendency during moist chilling; however, differences among treatments were not statistically significant (p > 0.05). Regarding ROS-related transcription, ZjRBOH was sharply induced at CS1 (significantly higher than Control and CS4; p < 0.05) and then declined with further moist chilling, suggesting an early ROS-production signal that attenuates as seeds approach a more germination-permissive state.

4. Discussion

Seed dormancy release in warm-season turfgrasses is often described as a set of parallel physiological changes, yet how these layers are coordinated over time during moist chilling remains incompletely resolved [3,4,25] (Bewley, 1997; Kucera et al., 2005; Finch-Savage and Leubner-Metzger, 2006). By integrating germination kinetics, hormone profiles, metabolic indicators, targeted gene expression, and trait correlations, our results support the view that dormancy release in zoysiagrass is a progressive reprogramming process that strengthens with moist chilling duration. Collectively, the data are most consistent with a stepwise framework in which cold perception is followed by hormonal rebalancing, which then enables reserve mobilization and enhanced oxygen uptake, while redox adjustment accompanies and stabilizes the transition toward germination competence. Importantly, our hormone results align with earlier evidence that zoysiagrass dormancy is associated with exceptionally high ABA levels and strong ABA-mediated inhibition of germination.

4.1. Moist Chilling Improves Both Germination Capacity and Timing

Prolonged chilling enhanced germination percentage and accelerated germination dynamics, as reflected by higher germination index and decreased MGT. However, the synchrony index remained relatively stable across treatments, suggesting that the observed improvement in germination performance is primarily driven by an acceleration in germination speed rather than an increase in the absolute synchrony of radicle protrusion. These changes indicate that moist chilling promotes a more rapid progression through the germination program, rather than a simple increase in final germination alone. The enhancement extended to early seedling establishment, with root elongation showing clearer moist chilling sensitivity than shoot growth, suggesting that dormancy release is coupled to stronger early resource acquisition. This pattern is consistent with a developmental transition in which moist chilling not only relieves dormancy constraints but also primes seeds for faster post-germinative growth [26].

4.2. Hormonal Rebalancing Acts as an Upstream “Gate”

A central outcome of moist chilling was a shift in the ABA–GA axis toward a germination-permissive state. ABA declined modestly but consistently, GA increased, and the GA/ABA ratio rose markedly as moist chilling progressed—an integrated metric that captures both relief of ABA constraint and reinforcement of GA-promoted growth potential [25]. Notably, the exponential rise in this ratio is primarily driven by the robust accumulation of GA3, whereas the reduction in absolute ABA pools is more gradual. This suggests that while a progressive decline in ABA is strictly required, the surge in GA3 acts as the primary kinetic driver shifting the overall hormonal balance. This hormonal behavior is particularly meaningful in zoysiagrass given that dormant seeds can contain extremely high ABA and that exogenous ABA strongly inhibits germination and can counteract promotive cues. Moreover, earlier work reported that dormancy-breaking treatments (including low temperature) are accompanied by decreased ABA-like substances and increased GA-like substances in zoysiagrass seeds. It should be noted that our analytical quantification specifically targeted GA3. While GA3 is a primary bioactive gibberellin responsible for triggering hydrolytic enzyme synthesis and mediating seed dormancy release, we acknowledge that quantifying a single isoform captures only a partial snapshot of the gibberellin pool. Future studies incorporating the dynamic profiling of other bioactive gibberellins (e.g., GA1 and GA4) and their catabolites will provide a more comprehensive understanding of the GA metabolic flux during moist chilling.
Our transcriptional signatures further indicate that the hormone shift reflects active hormonal resetting rather than passive dilution. Repression of ABA biosynthesis-associated transcripts (NCED1/2), together with strong induction of ABA catabolism (CYP707A), provides a molecular rationale for reduced ABA pools [27] (Jahan et al., 2024). More importantly, the profound downregulation of ABI3 and ABI5 strongly suggests that dormancy release in zoysiagrass relies not only on lowering absolute ABA thresholds but also on a dramatic attenuation of ABA sensitivity. Even with a modest reduction in absolute ABA content, the suppression of ABI5 effectively “desensitizes” the embryo to residual ABA, thereby removing the block on germination [28]. In parallel, increased GA20ox suggests enhanced GA biosynthetic capacity, and reduced DELLA expression is consistent with alleviation of GA pathway repression [29]. While establishing definitive causal relationships in these pathways typically requires functional validation (e.g., using hormone inhibitors like fluridone or paclobutrazol), the high level of internal consistency between our physiological and transcriptional datasets provides robust support for this proposed regulatory framework [12,30]. Therefore, the true “gate” enabling downstream execution events during dormancy release is likely not a simple mathematical GA3/ABA ratio, but rather the synergistic combination of crossing a critical absolute hormone threshold and a fundamental shift in hormone signaling sensitivity (Figure 9).
Mechanistically, this regulatory pattern is broadly consistent with the conserved ABA–GA antagonism paradigm described in other Poaceae species and seed systems. In cereals and other grasses, dormancy release commonly involves progressive weakening of ABA biosynthesis/signaling together with reinforcement of GA-mediated germination competence. Our results suggest that zoysiagrass follows this same general logic, as indicated by the repression of ZjNCED1/2, induction of ZjCYP707A, and activation of ZjGA20ox. However, compared with many previously studied grass systems, the response in Zoysia japonica appears to be particularly dependent on chilling duration and more tightly coupled to downstream metabolic activation. Thus, the novelty of our study lies not in proposing a fundamentally different hormonal framework, but in showing how cold perception, hormonal resetting, and metabolic execution are progressively integrated through time in a warm-season turfgrass with relatively deep dormancy.

4.3. Metabolic Execution Links Reserve Mobilization to Germination Performance

Once this hormonal gate is opened, moist chilling appears to activate an execution program centered on reserve mobilization and energy production [16]. In this study, α-amylase activity increased strongly with moist chilling, paralleled by a marked accumulation of soluble sugars and soluble protein. This rise in soluble protein likely reflects a dual physiological process: the proteolytic mobilization of insoluble storage reserves into soluble peptides and amino acids, alongside the de novo synthesis of essential germination-related enzymes (e.g., amylases and proteases). While total protein content was not quantified—precluding a definitive distinction between net synthesis and internal redistribution—the expansion of the soluble fraction serves as a robust indicator of metabolic priming.
Furthermore, the total oxygen uptake exhibited an intriguing non-linear dynamic across the moist chilling timeline: an initial increase at CS1, a transient decline at CS2, followed by a sustained surge at CS3 and CS4. This pattern strongly suggests that CS2 represents a critical “metabolic transition” or restructuring phase. During this intermediate window, early acute cold-acclimation responses may be resolving, allowing the seeds to reorganize their cellular machinery and assemble the major reserve-mobilization components required for the subsequent bioenergetic ramp-up toward radicle protrusion.
The second gene-expression panel provides mechanistic continuity between the hormonal shift and these biochemical outcomes. Induction of GAMYB together with upregulation of starch-remodeling and amylolytic genes (AMY, ISA) offers a plausible transcriptional route to increased amylase capacity and more efficient reserve mobilization, consistent with GA-responsive control of α-amylase programs [31]. Increased INV and HXK1 further supports enhanced sugar conversion and utilization, matching the accumulation of soluble substrates [32]. Regarding the physiological basis of oxygen uptake, we initially hypothesized that the alternative respiratory pathway might contribute to the observed changes based on AOX1a expression. However, a stricter quantitative assessment showed that AOX1a expression did not differ significantly among treatments. This relatively stable AOX1a profile suggests that the capacity of the alternative respiratory pathway remained largely unchanged during moist chilling. Therefore, the dynamic, non-linear changes in total oxygen uptake were more likely associated with fluctuations in the primary cytochrome c pathway and the progressively increasing supply of metabolic substrates, rather than with a pronounced shift toward alternative respiration [33]. It should be noted that direct assessments of mitochondrial ultrastructure and specific respiratory pathway capacities were not performed in this study. Further bioenergetic analyses will therefore be required to clarify these subcellular adjustments in greater detail.

4.4. Redox Adjustment Accompanies Metabolic Ramp-Up

Redox dynamics in our dataset are most consistent with a buffered regulatory component that accompanies dormancy release, rather than serving as the sole or primary driver of the process [34]. Although previous studies have identified ROS as important signaling molecules during seed germination [1], absolute H2O2 concentrations in zoysiagrass seeds remained relatively stable and did not differ significantly among moist chilling treatments (p > 0.05). However, this apparent stability should not be interpreted as evidence that redox processes are unimportant. Instead, when considered together with the significant increases in CAT, SOD, and POD activities under prolonged moist chilling, the data suggest that zoysiagrass seeds maintain a tightly regulated redox homeostasis during dormancy release.
The enzymatic data provide important physiological support for this interpretation. CAT activity increased markedly at the later stages of moist chilling, while SOD and POD activities also showed overall enhancement under chilling treatment. These changes indicate that prolonged moist chilling strengthens the antioxidant defense system and likely improves the capacity of seeds to detoxify excess ROS generated during metabolic reactivation. In this context, the relatively stable H2O2 pool may reflect a dynamic equilibrium between ROS production and ROS scavenging, rather than the absence of oxidative signaling. Such a pattern may be compatible with an “oxidative window” model, in which ROS remain within a controlled range that supports signaling without causing excessive cellular damage. Redox-related transcriptional patterns further support this view. The transient induction of ZjRBOH at CS1 is best interpreted as an early cold-responsive oxidative signal associated with stress perception and acclimation, rather than a sustained dormancy-breaking trigger [35,36]. As moist chilling progressed, the enhancement of antioxidant enzyme activities, together with the increased expression of antioxidant-associated genes such as ZjCAT, suggests that the seeds progressively established a stronger buffering system to stabilize ROS homeostasis during prolonged chilling and metabolic acceleration [37]. Therefore, in zoysiagrass, redox regulation appears to function mainly as a supportive and stabilizing module that accompanies hormonal resetting and metabolic activation.
Nevertheless, the mechanistic interpretation of redox regulation should still be made cautiously. Although the present study combines H2O2 quantification, antioxidant enzyme assays, and redox-related gene expression, it does not yet fully resolve the spatial and temporal dynamics of ROS generation and detoxification during dormancy release. In particular, we did not assess subcellular ROS localization, non-enzymatic antioxidant systems, or the activities of additional ROS-scavenging enzymes beyond CAT, SOD, and POD. Future studies integrating more comprehensive redox profiling with tissue-specific and time-resolved analyses will be necessary to determine whether moist chilling-mediated dormancy release in zoysiagrass conforms to a classical oxidative-window mechanism and how this redox layer interacts causally with ABA–GA rebalancing and metabolic activation.

4.5. Correlation Structure Supports an Integrative Interpretation

The correlation matrix provides systems-level support for this integrated interpretation. Germination traits were internally coherent, and germination performance aligned most strongly with metabolic activation, particularly α-amylase activity and respiration, consistent with reserve mobilization and bioenergetic capacity acting as close determinants of germination speed. Hormone balance—especially the GA/ABA ratio—emerged as a key upstream correlate, while ABA tended to associate negatively with germination performance, consistent with classical hormone control of dormancy release [38]. H2O2 showed moderate positive associations with germination and metabolism, consistent with a modulatory contribution rather than a primary driver [39].

4.6. Conceptual Model and Future Directions

In summary, our results support a mechanistically integrated explanation for how prolonged moist chilling alleviates physiological dormancy in zoysiagrass. However, we acknowledge a key temporal limitation of the current study: our transcriptomic and biochemical assessments were conducted exclusively on seeds during and at the conclusion of the moist chilling period (the “priming” phase), prior to their transfer to warm germination conditions. Consequently, the data presented here characterize the molecular foundation of dormancy release rather than the active transcriptional and metabolic reprogramming that occurs during the germination process itself (radicle protrusion). Future research incorporating time-course sampling during the transition from moist chilling to early germination will be essential to fully resolve the regulatory continuum between dormancy relief and growth execution. While preliminary screening of multiple germplasms verified the general trend, future studies utilizing transgenic approaches or specific inhibitors are required to provide definitive causal validation of the proposed regulatory hierarchy.
More broadly, placing our findings in the context of other Poaceae species suggests that seed dormancy release in zoysiagrass follows a conserved upstream hormonal logic but expresses it through a species-specific, duration-dependent physiological program. In this study, prolonged chilling not only shifted the ABA–GA balance toward germination competence, but also progressively strengthened reserve mobilization and respiratory metabolism, while redox homeostasis appeared to buffer the transition. This integration of cold perception, hormone rebalancing, metabolic execution, and buffered redox adjustment provides a working framework for understanding dormancy alleviation in warm-season turfgrasses and may help guide future comparative studies across related species.

5. Conclusions

Moist chilling promotes dormancy release in zoysiagrass through coordinated hormonal and metabolic reprogramming, accompanied by redox adjustment. Prolonged chilling increased the GA/ABA ratio and was associated with enhanced starch mobilization (α-amylase activity), greater accumulation of soluble substrates, and enhanced oxygen uptake, thereby contributing to faster germination and reduced MGT. Redox-related changes accompanied these transitions, suggesting that buffered ROS homeostasis may support the acquisition of germination competence, although the spatial and temporal dynamics of redox regulation remain to be further clarified. Our working model proposes that moist chilling progressively resets the ABA–GA regulatory gate and activates downstream metabolic execution programs, providing a physiological and molecular framework for optimizing moist chilling-based seed treatments and guiding future causal studies in zoysiagrass.

Supplementary Materials

The following supporting information can be downloaded at: https://www.mdpi.com/article/10.3390/agronomy16060640/s1, Figure S1: Effect of moist imbibiton duration on seed germination synchrony (Z index) in zoysiagrass. Table S1: Primer sequences for qRT-PCR. Table S2. Cumulative daily seed germination of zoysiagrass under different treatments.

Author Contributions

Conceptualization, J.W. and Y.L.; methodology, J.W. and X.S. (Xindi Sun); validation, X.S. (Xiang Shi); formal analysis, X.S. (Xindi Sun); investigation, Y.L. and X.S. (Xiang Shi); data curation, X.S. (Xindi Sun); writing—original draft preparation, J.W.; writing—review and editing, S.F.; visualization, Y.L.; supervision, S.F.; project administration, S.F.; funding acquisition, Y.L. and S.F. All authors have read and agreed to the published version of the manuscript.

Funding

This research was funded by the Natural Science Foundation of Jiangsu Province (Grant No. BK20230606). The National Natural Science Foundation of China (31901396), Key Program of the National Natural Science Foundation of China for International Cooperation, grant number 42320104006.

Data Availability Statement

The original contributions presented in this study are included in the article/Supplementary Material. Further inquiries can be directed to the corresponding author.

Conflicts of Interest

The authors declare no conflicts of interest.

Abbreviations

The following abbreviations are used in this manuscript:
GAgibberellic acid
ABAabscisic acid

References

  1. Bailly, C. The signalling role of ROS in the regulation of seed germination and dormancy. Biochem. J. 2019, 476, 3019–3032. [Google Scholar] [CrossRef]
  2. Baskin, C.C.; Baskin, J.M. Seeds: Ecology, Biogeography, and, Evolution of Dormancy and Germination; Academic Press: Cambridge, MA, USA, 2000. [Google Scholar]
  3. Bewley, J.D. Seed germination and dormancy. Plant Cell 1997, 9, 1055–1066. [Google Scholar] [CrossRef] [PubMed]
  4. Finch-Savage, W.E.; Leubner-Metzger, G. Seed dormancy and the control of germination. New Phytol. 2006, 171, 501–523. [Google Scholar] [CrossRef] [PubMed]
  5. Kildisheva, O.A.; Dixon, K.W.; Silveira, F.A.; Chapman, T.; Di Sacco, A.; Mondoni, A.; Turner, S.R.; Cross, A.T. Dormancy and germination: Making every seed count in restoration. Restor. Ecol. 2020, 28, S256–S265. [Google Scholar] [CrossRef]
  6. Werker, E. Seed dormancy as explained by the anatomy of embryo envelopes. Isr. J. Bot. 1980, 29, 22–44. [Google Scholar]
  7. Bhatla, S.C.; Kathpalia, R. Seed dormancy and germination. In Plant Physiology, Development and Metabolism; Springer Nature: Singapore, 2023; pp. 625–640. [Google Scholar]
  8. Wang, X.; Hoshino, Y.; Yamada, T. Rapid and efficient callus induction and plant regeneration from seeds of zoysiagrass (Zoysia japonica Steud.). Grassl. Sci. 2010, 56, 198–204. [Google Scholar] [CrossRef]
  9. Li, M.; Han, J.; Wang, Y.; Sun, J.; Haferkamp, M. Different seed dormancy levels imposed by tissues covering the caryopsis in zoysiagrass (Zoysia japonica Steud.). Seed Sci. Technol. 2010, 38, 320–331. [Google Scholar] [CrossRef]
  10. Martínez-Ballesta, M.D.C.; Egea-Gilabert, C.; Conesa, E.; Ochoa, J.; Vicente, M.J.; Franco, J.A.; Bañon, S.; Martínez, J.J.; Fernández, J.A. The importance of ion homeostasis and nutrient status in seed development and germination. Agronomy 2020, 10, 504. [Google Scholar] [CrossRef]
  11. El-Maarouf-Bouteau, H.; Bailly, C. Oxidative signaling in seed germination and dormancy. Plant Signal. Behav. 2008, 3, 175–182. [Google Scholar] [CrossRef]
  12. Tuan, P.; Kumar, R.; Rehal, P.; Toora, P.K.; Ayele, B.T. Molecular mechanisms underlying abscisic acid/gibberellin balance in the control of seed dormancy and germination in cereals. Front. Plant Sci. 2018, 9, 668. [Google Scholar] [CrossRef]
  13. Raymond, P.; Al-Ani, A.; Pradet, A. ATP production by respiration and fermentation, and energy charge during aerobiosis and anaerobiosis in twelve fatty and starchy germinating seeds. Plant Physiol. 1985, 79, 879–884. [Google Scholar] [CrossRef]
  14. Yamaguchi, S. Gibberellin metabolism and its regulation. Annu. Rev. Plant Biol. 2008, 59, 225–251. [Google Scholar] [CrossRef] [PubMed]
  15. Geneve, R.L. Impact of temperature on seed dormancy. HortScience 2003, 38, 336–341. [Google Scholar] [CrossRef]
  16. Liu, H.; Yuan, J.; Wu, H.; Ou, X.; Liu, Z.; Liu, X.; He, S. Hormonomics profiles revealed the mechanisms of cold stratification in breaking the dormancy during seed germination and emergence process of Polygonatum sibiricum Red. Plant Signal. Behav. 2025, 20, 2447460. [Google Scholar] [CrossRef] [PubMed]
  17. Mao, P.S.; Wang, X.G.; Wang, Y.H.; Han, J.G. Effect of storage temperature and duration on the vigor of zoysiagrass (Zoysia japonica Steud.) seed harvested at different maturity stages. Grassl. Sci. 2009, 55, 1–5. [Google Scholar] [CrossRef]
  18. Ma, X.; Yu, J.; Zhuang, L.; Shi, Y.; Meyer, W.; Huang, B. Differential regulatory pathways associated with drought-inhibition and post-drought recuperation of rhizome development in perennial grass. Ann. Bot. 2020, 126, 481–497. [Google Scholar] [CrossRef]
  19. Patton, A.J.; Schwartz, B.M.; Kenworthy, K.E. Zoysiagrass (Zoysia spp.) history, utilization, and improvement in the United States: A review. Crop Sci. 2017, 57, S-37–S-72. [Google Scholar] [CrossRef]
  20. Craft, J.M.; Godara, N.; Brewer, J.R.; Askew, S.D. Effect of temperature and heat units on zoysiagrass response to herbicides during post-dormancy transition. Weed Sci. 2023, 71, 233–243. [Google Scholar] [CrossRef]
  21. Patton, A.J.; Reicher, Z.J.; Zuk, A.J.; Fry, J.D.; Richardson, M.D.; Williams, D.W. A guide to establishing seeded zoysiagrass in the transition zone. Appl. Turfgrass Sci. 2006, 3, 1–16. [Google Scholar] [CrossRef]
  22. Guo, H.L.; Xuan, J.P.; Liu, J.X.; Zhang, Y.M.; Zheng, Y.Q. Association of molecular markers with cold tolerance and green period in zoysiagrass (Zoysia Willd.). Breed. Sci. 2012, 62, 320–327. [Google Scholar] [CrossRef]
  23. Ranal, M.A.; Santana, D.G.D. How and why to measure the germination process? Braz. J. Bot. 2006, 29, 1–11. [Google Scholar] [CrossRef]
  24. Livak, K.J.; Schmittgen, T.D. Analysis of relative gene expression data using real-time quantitative PCR and the 2−ΔΔCT method. Methods 2001, 25, 402–408. [Google Scholar] [CrossRef]
  25. Kucera, B.; Cohn, M.A.; Leubner-Metzger, G. Plant hormone interactions during seed dormancy release and germination. Seed Sci. Res. 2005, 15, 281–307. [Google Scholar] [CrossRef]
  26. Nelson, S.K.; Kanno, Y.; Seo, M.; Steber, C.M. Seed dormancy loss from dry after-ripening is associated with increasing gibberellin hormone levels in Arabidopsis thaliana. Front. Plant Sci. 2023, 14, 1145414. [Google Scholar] [CrossRef]
  27. Matilla, A.J.; Carrillo-Barral, N.; Rodríguez-Gacio, M.C. An update on the role of NCED and CYP707A ABA metabolism genes in seed dormancy induction and the response to after-ripening and nitrate. J. Plant Growth Regul. 2015, 34, 274–293. [Google Scholar] [CrossRef]
  28. Lynch, T.; Née, G.; Chu, A.; Krüger, T.; Finkemeier, I.; Finkelstein, R.R. ABI5 binding protein2 inhibits ABA responses during germination without ABA-INSENSITIVE5 degradation. Plant Physiol. 2022, 189, 666–678. [Google Scholar] [CrossRef] [PubMed]
  29. Wu, W.; Zhu, L.; Wang, P.; Liao, Y.; Duan, L.; Lin, K.; Chen, X.; Li, L.; Xu, J.; Hu, H.; et al. Transcriptome-based construction of the gibberellin metabolism and signaling pathways in Eucalyptus grandis × E. urophylla, and functional characterization of GA20ox and GA2ox in regulating plant development and abiotic stress adaptations. Int. J. Mol. Sci. 2023, 24, 7051. [Google Scholar] [CrossRef]
  30. Shu, K.; Liu, X.D.; Xie, Q.; He, Z.H. Two faces of one seed: Hormonal regulation of dormancy and germination. Mol. Plant 2016, 9, 34–45. [Google Scholar] [CrossRef]
  31. Gubler, F.; Millar, A.A.; Jacobsen, J.V. Gibberellin signaling in the endosperm and lamina of barley aleurone cells. Plant Cell 1995, 7, 1645–1659. [Google Scholar]
  32. Li, G.; Zhao, Y. The critical roles of three sugar-related proteins (HXK, SnRK1, TOR) in regulating plant growth and stress responses. Hortic. Res. 2024, 11, uhae099. [Google Scholar] [CrossRef]
  33. Matos, I.F.; Morales, L.M.M.; Santana, D.B.; Silva, G.M.C.; Gomes, M.M.D.A.; Ayub, R.A.; Costa, J.H.; Oliveira, J.G.D. Ascorbate synthesis as an alternative electron source for mitochondrial respiration: Possible implications for plant performance. Front. Plant Sci. 2022, 13, 987077. [Google Scholar] [CrossRef]
  34. Puente-Cobacho, B.; Varela-Lopez, A.; Quiles, J.L.; Vera-Ramirez, L. Involvement of redox signalling in tumour cell dormancy and metastasis. Cancer Metastasis Rev. 2023, 42, 49–85. [Google Scholar] [CrossRef] [PubMed]
  35. Di, Q.; Li, Y.; Li, S.; Shi, A.; Zhou, M.; Ren, H.; Yan, Y.; He, C.; Wang, J.; Sun, M.; et al. Photosynthesis mediated by RBOH-dependent signaling is essential for cold stress memory. Antioxidants 2022, 11, 969. [Google Scholar] [CrossRef]
  36. Kawaguchi, R.; Suriyasak, C.; Matsumoto, R.; Sawada, Y.; Sakai, Y.; Hamaoka, N.; Sasaki, K.; Yamane, K.; Kato, Y.; Bailly, C.; et al. Regulation of reactive oxygen species and phytohormones in osmotic stress tolerance during seed germination in indica rice. Front. Plant Sci. 2023, 14, 1186960. [Google Scholar] [CrossRef] [PubMed]
  37. Li, W.; Niu, Y.; Zheng, Y.; Wang, Z. Advances in the understanding of reactive oxygen species-dependent regulation on seed dormancy, germination, and deterioration in crops. Front. Plant Sci. 2022, 13, 826809. [Google Scholar] [CrossRef]
  38. Qiu, M.; Wan, J.; Hao, C.; Zeng, Z.; Hu, Y.; Yang, G.; Yang, H.; Zhou, X. Comprehensive transcriptomics, hormone metabolomics, and physiological analysis reveal the mechanism of exogenous GA4+7 breaking seed dormancy in Polygonatum cyrtonema Hua. Horticulturae 2025, 11, 627. [Google Scholar] [CrossRef]
  39. Saeed, T.; Yasin, D.; Shahzad, A. Role of H2O2 in seed germination. In Hydrogen Peroxide; CRC Press: Boca Raton, FL, USA, 2025; pp. 49–64. [Google Scholar]
Figure 1. Moist chilling progressively enhances germination performance and accelerates germination dynamics in zoysiagrass seeds. (A) Germination percentage. (B) Germination index. (C) Mean germination time. (D) Cumulative germination over 14 d. For germination assays, data represent the mean ± SE of four biological replicates, with 100 seeds per replicate (n = 4). Different letters indicate significant differences among treatments (p < 0.05).
Figure 1. Moist chilling progressively enhances germination performance and accelerates germination dynamics in zoysiagrass seeds. (A) Germination percentage. (B) Germination index. (C) Mean germination time. (D) Cumulative germination over 14 d. For germination assays, data represent the mean ± SE of four biological replicates, with 100 seeds per replicate (n = 4). Different letters indicate significant differences among treatments (p < 0.05).
Agronomy 16 00640 g001
Figure 2. Effects of moist chilling duration on root length and shoot length of zoysiagrass seedlings. Data are means ± SE of ten randomly selected, normally developed seedlings per treatment (n = 10). Different letters above violins denote significant differences among treatments (p < 0.05).
Figure 2. Effects of moist chilling duration on root length and shoot length of zoysiagrass seedlings. Data are means ± SE of ten randomly selected, normally developed seedlings per treatment (n = 10). Different letters above violins denote significant differences among treatments (p < 0.05).
Agronomy 16 00640 g002
Figure 3. Moist chilling reshapes hormone homeostasis in zoysiagrass seeds. (A) ABA content (µg g−1). (B) GA content (µg g−1). (C) GA/ABA ratio. Values represent the mean ± SE of three biological replicates (n = 3). Different letters above boxes indicate significant differences among treatments (p < 0.05).
Figure 3. Moist chilling reshapes hormone homeostasis in zoysiagrass seeds. (A) ABA content (µg g−1). (B) GA content (µg g−1). (C) GA/ABA ratio. Values represent the mean ± SE of three biological replicates (n = 3). Different letters above boxes indicate significant differences among treatments (p < 0.05).
Agronomy 16 00640 g003
Figure 4. Moist chilling enhances antioxidant enzyme activities while maintaining relatively stable H2O2 levels in zoysiagrass seeds. (A) CAT activity. (B) SOD activity. (C) POD activity. (D) H2O2 content. Values represent the mean ± SE of three biological replicates (n = 3). Different letters above bars or boxes indicate significant differences among treatments at p < 0.05.
Figure 4. Moist chilling enhances antioxidant enzyme activities while maintaining relatively stable H2O2 levels in zoysiagrass seeds. (A) CAT activity. (B) SOD activity. (C) POD activity. (D) H2O2 content. Values represent the mean ± SE of three biological replicates (n = 3). Different letters above bars or boxes indicate significant differences among treatments at p < 0.05.
Agronomy 16 00640 g004
Figure 5. Moist chilling activates reserve mobilization and enhances respiratory metabolism in zoysiagrass seeds. (A) α-amylase activity (mg g−1 min−1). (B) Soluble sugar. (C) Soluble protein (nmol mg−1). (D) Respiration rate (µmol g−1 h−1). Data represent the mean ± SE of three biological replicates (n = 3), with each biological sample analyzed in three technical replicates. Different letters above boxes indicate significant differences among treatments (p < 0.05).
Figure 5. Moist chilling activates reserve mobilization and enhances respiratory metabolism in zoysiagrass seeds. (A) α-amylase activity (mg g−1 min−1). (B) Soluble sugar. (C) Soluble protein (nmol mg−1). (D) Respiration rate (µmol g−1 h−1). Data represent the mean ± SE of three biological replicates (n = 3), with each biological sample analyzed in three technical replicates. Different letters above boxes indicate significant differences among treatments (p < 0.05).
Agronomy 16 00640 g005
Figure 6. Pearson correlation heatmap linking germination performance with hormone balance, hydrogen peroxide status, and metabolic activation during moist chilling in zoysiagrass. Correlation coefficients (r) were calculated using all biological replicates. Asterisks denote correlations significant after Benjamini–Hochberg false discovery rate (FDR) correction (q < 0.05), with |r| ≥ 0.62 representing the threshold for statistical significance.
Figure 6. Pearson correlation heatmap linking germination performance with hormone balance, hydrogen peroxide status, and metabolic activation during moist chilling in zoysiagrass. Correlation coefficients (r) were calculated using all biological replicates. Asterisks denote correlations significant after Benjamini–Hochberg false discovery rate (FDR) correction (q < 0.05), with |r| ≥ 0.62 representing the threshold for statistical significance.
Agronomy 16 00640 g006
Figure 7. Moist chilling reprograms the expression of cold-responsive and ABA/GA pathway genes during dormancy release in zoysiagrass. Data represent the mean ± SE of three biological replicates (n = 3), with each biological sample analyzed in three technical replicates. Different letters indicate significant differences among treatments (one-way ANOVA followed by Tukey’s test, p < 0.05).
Figure 7. Moist chilling reprograms the expression of cold-responsive and ABA/GA pathway genes during dormancy release in zoysiagrass. Data represent the mean ± SE of three biological replicates (n = 3), with each biological sample analyzed in three technical replicates. Different letters indicate significant differences among treatments (one-way ANOVA followed by Tukey’s test, p < 0.05).
Agronomy 16 00640 g007
Figure 8. Moist chilling activates GA output and carbohydrate/ROS-related gene expression during dormancy release in zoysiagrass. Data represent the mean ± SE of three biological replicates (n = 3), with each biological sample analyzed in three technical replicates. Different letters indicate significant differences among treatments (p < 0.05).
Figure 8. Moist chilling activates GA output and carbohydrate/ROS-related gene expression during dormancy release in zoysiagrass. Data represent the mean ± SE of three biological replicates (n = 3), with each biological sample analyzed in three technical replicates. Different letters indicate significant differences among treatments (p < 0.05).
Agronomy 16 00640 g008
Figure 9. Conceptual model for the physiological and molecular transitions during moist chilling–mediated seed dormancy release in zoysiagrass.
Figure 9. Conceptual model for the physiological and molecular transitions during moist chilling–mediated seed dormancy release in zoysiagrass.
Agronomy 16 00640 g009
Disclaimer/Publisher’s Note: The statements, opinions and data contained in all publications are solely those of the individual author(s) and contributor(s) and not of MDPI and/or the editor(s). MDPI and/or the editor(s) disclaim responsibility for any injury to people or property resulting from any ideas, methods, instructions or products referred to in the content.

Share and Cite

MDPI and ACS Style

Wu, J.; Lv, Y.; Sun, X.; Shi, X.; Fan, S. Physiological Characteristics and Related Gene Expressions Associated with Moist Chilling-Induced Seed Dormancy Release in Zoysiagrass (Zoysia japonica). Agronomy 2026, 16, 640. https://doi.org/10.3390/agronomy16060640

AMA Style

Wu J, Lv Y, Sun X, Shi X, Fan S. Physiological Characteristics and Related Gene Expressions Associated with Moist Chilling-Induced Seed Dormancy Release in Zoysiagrass (Zoysia japonica). Agronomy. 2026; 16(6):640. https://doi.org/10.3390/agronomy16060640

Chicago/Turabian Style

Wu, Jiawei, Yanyan Lv, Xindi Sun, Xiang Shi, and Shugao Fan. 2026. "Physiological Characteristics and Related Gene Expressions Associated with Moist Chilling-Induced Seed Dormancy Release in Zoysiagrass (Zoysia japonica)" Agronomy 16, no. 6: 640. https://doi.org/10.3390/agronomy16060640

APA Style

Wu, J., Lv, Y., Sun, X., Shi, X., & Fan, S. (2026). Physiological Characteristics and Related Gene Expressions Associated with Moist Chilling-Induced Seed Dormancy Release in Zoysiagrass (Zoysia japonica). Agronomy, 16(6), 640. https://doi.org/10.3390/agronomy16060640

Note that from the first issue of 2016, this journal uses article numbers instead of page numbers. See further details here.

Article Metrics

Back to TopTop