Genome-Wide Identification and Expression Analysis of R2R3-MYB Gene Family in Chrysanthemum indicum Under Low-Temperature Stress
Abstract
1. Introduction
2. Materials and Methods
2.1. Screening of R2R3-MYB Gene Family Members in C. indicum
2.2. Phylogenetic Tree Construction, Chromosome Location and Collinearity Analysis
2.3. Cis-Element Analysis in CiMYB Promoters
2.4. Expression Profile Analysis of CiMYBs Under Low-Temperature Stress Based on Transcriptome Data
2.5. RT-qPCR Validation Analysis
3. Results
3.1. Identification and Phylogenetic Analysis of CiMYB Genes
3.2. Chromosomal Distribution and Promoter Architecture of CiMYB Genes
3.3. Collinearity Analysis and Segmental Gene Duplication Analysis
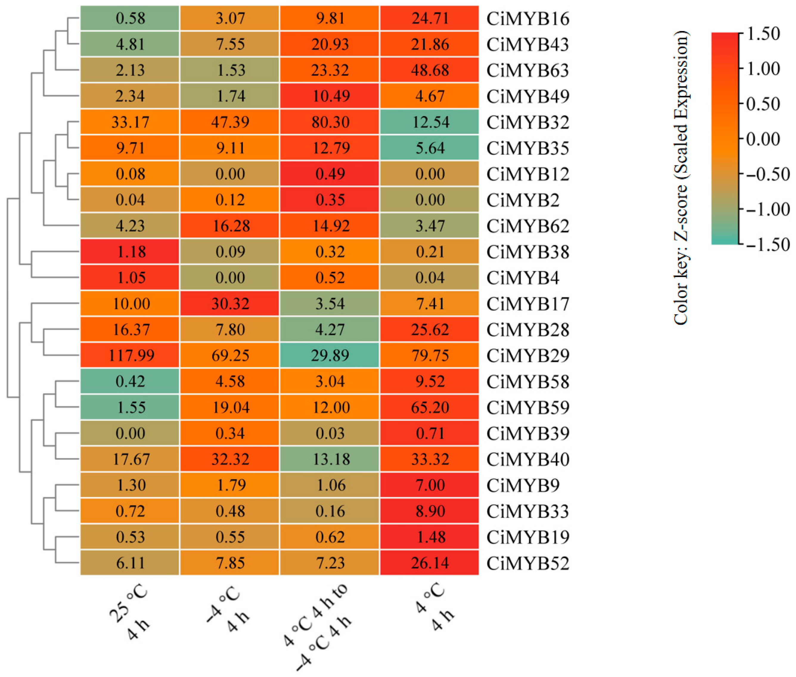
3.4. Expression and Response Characteristics of CiMYB Genes Under Low-Temperature Stress
4. Discussion
5. Conclusions
Supplementary Materials
Author Contributions
Funding
Data Availability Statement
Conflicts of Interest
Abbreviations
| DBD | DNA-Binding Domain |
| HMM | Hidden Markov Model |
| TSS | Transcription Start Site |
| LTRE | Low-Temperature-Responsive Element |
| ABA | Abscisic Acid |
| AUX | Auxin |
| GA | Gibberellin |
| MelA | Methyl-Jasmonate |
| SA | Salicylic Acid |
| ML | Maximum Likelihood |
| WGD | Whole-Genome Duplication |
References
- Su, J.S.; Jiang, J.F.; Zhang, F.; Liu, Y.; Ding, L.; Chen, S.M.; Chen, F. Current achievements and future prospects in the genetic breeding of chrysanthemum: A review. Hortic. Res. 2019, 6, 109. [Google Scholar] [CrossRef]
- Yuan, H.W.; Jiang, S.; Liu, Y.K.; Daniyal, M.; Jian, Y.Q.; Peng, C.Y.; Shen, J.L.; Liu, S.F.; Wang, W. The flower head of Chrysanthemum morifolium Ramat. (Juhua): A paradigm of flowers serving as Chinese dietary herbal medicine. J. Ethnopharmacol. 2020, 261, 113043. [Google Scholar] [CrossRef] [PubMed]
- Ao, N.; Ma, J.; Xu, T.T.; Su, J.S.; Yang, X.C.; Guan, Z.Y.; Fang, W.M.; Chen, F.; Zhang, F. Genetic variation and QTL mapping for cold tolerance in a chrysanthemum F1 population at different growth stages. Euphytica 2019, 215, 88. [Google Scholar] [CrossRef]
- Shao, Y.; Sun, Y.; Li, D.; Chen, Y. Chrysanthemum indicum L.: A comprehensive review of its botany, Phytochemistry and Pharmacology. Am. J. Chin. Med. 2020, 48, 871–897. [Google Scholar] [CrossRef]
- Youssef, F.S.; Eid, S.Y.; Alshammari, E.; Ashour, M.L.; Wink, M.; El-Readi, M.Z. Chrysanthemum indicum and Chrysanthemum morifolium: Chemical composition of their essential oils and their potential use as natural preservatives with antimicrobial and antioxidant activities. Foods 2020, 9, 1460. [Google Scholar] [CrossRef]
- Deng, Y.N.; Yang, P.; Zhang, Q.L.; Wu, Q.W.; Feng, L.F.; Shi, W.J.; Peng, Q.; Ding, L.; Tan, X.K.; Zhan, R.T.; et al. Genomic insights into the evolution of flavonoid biosynthesis and O-methyltransferase and glucosyltransferase in Chrysanthemum indicum. Cell Rep. 2024, 43, 113725. [Google Scholar] [CrossRef]
- Wu, X.; Xia, M.; Su, P.; Zhang, Y.; Tu, L.; Zhao, H.; Hu, Y. MYB transcription factors in plants: A comprehensive review of their discovery, structure, classification, functional diversity and regulatory mechanism. Int. J. Biol. Macromol. 2024, 282, 136652. [Google Scholar] [CrossRef]
- Stracke, R.; Werber, M.; Weisshaar, B. The R2R3-MYB gene family in Arabidopsis thaliana. Curr. Opin. Plant Biol. 2001, 4, 447–456. [Google Scholar] [CrossRef]
- Dubos, C.; Stracke, R.; Grotewold, E.; Weisshaar, B.; Martin, C.; Lepiniec, L. MYB transcription factors in Arabidopsis. Trends Plant Sci. 2010, 15, 573–581. [Google Scholar] [CrossRef] [PubMed]
- Yao, X.; Meng, F.; Wu, L.; Guo, X.; Sun, Z.; Jiang, W.; Xing, S. Genome-wide identification of R2R3-MYB family genes and gene response to stress in ginger. Plant Genome 2024, 17, e20258. [Google Scholar] [CrossRef] [PubMed]
- Kang, L.; Teng, Y.; Cen, Q.; Fang, Y.; Tian, Q.; Zhang, X.; Wang, H.; Zhang, X.; Xue, D. Genome-wide identification of R2R3-MYB transcription factor and expression analysis under abiotic stress in rice. Plants 2022, 11, 1928. [Google Scholar] [CrossRef]
- Zhang, H.C.; Gong, Y.H.; Tao, T.; Lu, S.; Zhou, W.Y.; Xia, H.; Leng, Y.J. Genome-wide identification of R2R3-MYB transcription factor subfamily genes involved in salt stress in rice (Oryza sativa L.). BMC Genom. 2024, 25, 797. [Google Scholar] [CrossRef] [PubMed]
- Yang, X.; Li, J.; Guo, T.; Guo, B.; Chen, Z.; An, X. Comprehensive analysis of the R2R3-MYB transcription factor gene family in Populus trichocarpa. Ind. Crops Prod. 2021, 168, 113614. [Google Scholar] [CrossRef]
- Xu, Y.; Ni, L.; Yu, C.; Hua, J.; Yin, Y.; Gu, C.; Wang, Z. Genome-wide study of the R2R3-MYB gene family and analysis of HhMYB111r-induced salt tolerance in Hibiscus hamabo Sieb. et Zucc. Plant Sci. 2025, 352, 112378. [Google Scholar] [CrossRef]
- Yang, Y.; Yuan, Z.; Ning, C.; Zhao, B.; Wang, R.; Zheng, X.; He, L. The pea R2R3-MYB gene family and its role in anthocyanin biosynthesis in flowers. Front. Genet. 2022, 13, 936051. [Google Scholar] [CrossRef]
- Yang, J.; Zhang, B.; Gu, G.; Yuan, J.; Shen, S.; Jin, L.; Xie, X. Genome-wide identification and expression analysis of the R2R3-MYB gene family in tobacco (Nicotiana tabacum L.). BMC Genom. 2022, 23, 432. [Google Scholar] [CrossRef]
- Wang, N.; Ma, Q.; Ma, J.; Pei, W.; Liu, G.; Cui, Y.; Wu, M.; Zang, X.; Zhang, J.; Yu, S.; et al. A comparative genome-wide analysis of the R2R3-MYB gene family among four Gossypium species and their sequence variation and association with fiber quality traits in an interspecific G. hirsutum × G. barbadense population. Front. Genet. 2019, 10, 741. [Google Scholar] [CrossRef]
- Tombuloglu, H. Genome-wide identification and expression analysis of R2R3, 3R-and 4R-MYB transcription factors during lignin biosynthesis in flax (Linum usitatissimum). Genomics 2020, 112, 782–795. [Google Scholar] [CrossRef]
- Wu, Y.; Wen, J.; Xia, Y.; Zhang, L.; Du, H. Evolution and functional diversification of R2R3-MYB transcription factors in plants. Hortic. Res. 2022, 9, uhac058. [Google Scholar] [CrossRef] [PubMed]
- Yang, X.; Wang, P.; Qin, N.; Tian, Z.; Wang, J.; Sun, S.; Li, X.; Wang, Y. PdbMYB44 enhances drought tolerance via PP2C-mediated modulation of ABA signaling and stomatal aperture. Plant Physiol. Biochem. 2026, 231, 111042. [Google Scholar] [CrossRef] [PubMed]
- Guo, X.L.; Wu, X.; Li, H.L.; Liu, R.X.; An, J.P.; You, C.X. The R2R3-MYB transcription factor MdMYB62 negatively regulates the drought and salt tolerance in apple. J. Plant Physiol. 2025, 311, 154527. [Google Scholar] [CrossRef]
- Jin, R.; Muhammad, T.; Jia, C.; Yang, T.; Yang, H.; Wang, J.; Wang, B.; Yu, Q. Overexpression of R2R3-MYB type transcription factor SpMYB1 enhances cold and drought tolerance in tomato. Plant Physiol. Biochem. 2025, 229, 110326. [Google Scholar] [CrossRef]
- Dong, J.; Cao, L.; Zhang, X.; Zhang, W.; Yang, T.; Zhang, J.; Che, D. An R2R3-MYB transcription factor RmMYB108 responds to chilling stress of Rosa multiflora and conferred cold tolerance of Arabidopsis. Front. Plant Sci. 2021, 12, 696919. [Google Scholar] [CrossRef] [PubMed]
- Zhou, X.; Lei, D.; Yao, W.; Li, S.; Wang, H.; Lu, J.; Zhang, Y. A novel R2R3-MYB transcription factor PbMYB1L of Pyrus bretschneideri regulates cold tolerance and anthocyanin accumulation. Plant Cell Rep. 2024, 43, 34. [Google Scholar] [CrossRef] [PubMed]
- Grünig, N.; Horz, J.M.; Pucker, B. Diversity and ecological functions of anthocyanins. BMC Plant Biol. 2025, 26, 146. [Google Scholar] [CrossRef] [PubMed]
- Zhang, L.; Jiang, X.; Liu, Q.; Ahammed, G.J.; Lin, R.; Wang, L.; Shao, S.; Yu, J.; Zhou, Y. The HY5 and MYB15 transcription factors positively regulate cold tolerance in tomato via the CBF pathway. Plant Cell Environ. 2020, 43, 2712–2726. [Google Scholar] [CrossRef]
- Chen, N.; Pan, L.; Yang, Z.; Su, M.; Xu, J.; Jiang, X.; Yin, X.; Wang, T.; Wan, F.; Chi, X. A MYB-related transcription factor from peanut, AhMYB30, improves freezing and salt stress tolerance in transgenic Arabidopsis through both DREB/CBF and ABA-signaling pathways. Front. Plant Sci. 2023, 14, 1136626. [Google Scholar] [CrossRef]
- Han, Z.; Zhang, C.; Zhang, H.; Duan, Y.; Zou, Z.; Zhou, L.; Zhu, X.; Fang, W.; Ma, Y. CsMYB transcription factors participate in jasmonic acid signal transduction in response to low temperature stress in tea plant (Camellia sinensis). Plants 2022, 11, 2869. [Google Scholar] [CrossRef]
- Ye, J.; Wang, C.; Liu, Y.; Chen, S.; Jin, J.; Zhang, L.; Liu, P.; Tang, J.; Zhang, J.; Wang, Z.; et al. CGD: A multi-omics database for Chrysanthemum genomic and biological research. Hortic. Res. 2024, 11, uhae238. [Google Scholar] [CrossRef]
- Mistry, J.; Chuguransky, S.; Williams, L.; Qureshi, M.; Salazar, G.A.; Sonnhammer, E.L.L.; Tosatto, S.C.E.; Paladin, L.; Raj, S.; Richardson, L.J.; et al. Pfam: The protein families database in 2021. Nucleic Acids Res. 2021, 49, D412–D419. [Google Scholar] [CrossRef]
- Chen, C.; Wu, Y.; Li, J.; Wang, X.; Zeng, Z.; Xu, J.; Xia, R. TBtools-II: A “one for all, all for one” bioinformatics platform for biological big-data mining. Mol. Plant 2023, 16, 1733–1742. [Google Scholar] [CrossRef]
- Garcia-Hernandez, M.; Berardini, T.Z.; Chen, G.; Crist, D.; Doyle, A.; Huala, E.; Knee, E.; Lambrecht, M.; Miller, N.; Mueller, L.A.; et al. TAIR: A resource for integrated Arabidopsis data. Funct. Integr. Genom. 2002, 2, 239–253. [Google Scholar] [CrossRef]
- Ladunga, I. Finding homologs in amino acid sequences using network BLAST searches. Curr. Protoc. Bioinform. 2009, 25, 3.4.1–3.4.34. [Google Scholar] [CrossRef]
- Letunic, I.; Bork, P. SMART v10: Three decades of the protein domain annotation resource. Nucleic Acids Res. 2026, 54, D499–D503. [Google Scholar] [CrossRef] [PubMed]
- Sonnhammer, E.L.L.; Eddy, S.R.; Birney, E.; Bateman, A.; Durbin, R. Pfam: Multiple sequence alignments and HMM-profiles of protein domains. Nucleic Acids Res. 1998, 26, 320–322. [Google Scholar] [CrossRef] [PubMed]
- Nguyen, L.T.; Schmidt, H.A.; Von Haeseler, A.; Minh, B.Q. IQ-TREE: A fast and effective stochastic algorithm for estimating maximum-likelihood phylogenies. Mol. Biol. Evol. 2015, 32, 268–274. [Google Scholar] [CrossRef] [PubMed]
- Chen, C.; Wu, Y.; Xia, R. A painless way to customize Circos plot: From data preparation to visualization using TBtools. iMeta 2022, 1, e35. [Google Scholar] [CrossRef]
- Lescot, M.; Déhais, P.; Thijs, G.; Marchal, K.; Moreau, Y.; Van de Peer, Y.; Rombauts, S. PlantCARE, a database of plant cis-acting regulatory elements and a portal to tools for in silico analysis of promoter sequences. Nucleic Acids Res. 2002, 30, 325–327. [Google Scholar] [CrossRef]
- Benjamini, Y.; Hochberg, Y. On the adaptive control of the false discovery rate in multiple testing with independent statistics. J. Educ. Behav. Stat. 2000, 25, 60–83. [Google Scholar] [CrossRef]
- Livak, K.J.; Schmittgen, T.D. Analysis of relative gene expression data using real-time quantitative PCR and the 2−ΔΔCT method. Methods 2001, 25, 402–408. [Google Scholar] [CrossRef]
- Cannon, S.B.; Mitra, A.; Baumgarten, A.; Young, N.D.; Ma, G. The roles of segmental and tandem gene duplication in the evolution of large gene families in Arabidopsis thaliana. BMC Plant Biol. 2004, 4, 10. [Google Scholar] [CrossRef]
- Du, H.; Liang, Z.; Zhao, S.; Nan, M.G.; Tran, L.-S.P.; Lu, K.; Huang, Y.-B.; Li, J.-N. The evolutionary history of R2R3-MYB proteins across 50 eukaryotes: New insights into subfamily classification and expansion. Sci. Rep. 2015, 5, 11037. [Google Scholar] [CrossRef]
- Zhang, C.; Zhang, T.; Luebert, F.; Xiang, Y.; Huang, C.-H.; Hu, Y.; Rees, M.; Frohlich, M.W.; Qi, J.; Weigend, M.; et al. Asterid Phylogenomics/Phylotranscriptomics uncover morphological evolutionary histories and support phylogenetic placement for numerous whole-genome duplications. Mol. Biol. Evol. 2020, 37, 3188–3210. [Google Scholar] [CrossRef]
- Barker, M.S.; Kane, N.C.; Matvienko, M.; Kozik, A.; Michelmore, R.W.; Knapp, S.J.; Rieseberg, L.H. Multiple Paleopolyploidizations during the evolution of the Compositae Reveal Parallel Patterns of Duplicate Gene Retention after Millions of Years. Mol. Biol. Evol. 2008, 25, 2445–2455. [Google Scholar] [CrossRef]
- Wendel, J.F. Genome evolution in polyploids. Plant Mol. Biol. 2000, 42, 225–249. [Google Scholar] [CrossRef] [PubMed]
- Roy, S. Function of MYB domain transcription factors in abiotic stress and epigenetic control of stress response in plant genome. Plant Signal. Behav. 2016, 11, e1117723. [Google Scholar] [CrossRef] [PubMed]
- Li, J.; Hun, G.; Sui, N. Research advances of MYB transcription factors in plant stress resistance and breeding. Plant Signal. Behav. 2019, 14, 1613131. [Google Scholar] [CrossRef]
- Qin, T.; Zhang, M.; Yi, X.; Yang, J.; Ying, J.; Wang, H.; Wang, Y. RsMYB90, a R2R3-MYB transcription factor, plays a positive role in regulating low temperature stress in radish. Plant Biol. 2026, 28, 69–78. [Google Scholar] [CrossRef]
- Li, Y.; Zhang, J.; Wang, S.; Liu, Y.; Yang, M.; Huang, Y. Genome-wide identification of the Pyrus R2R3-MYB gene family and PhMYB62 regulation analysis in Pyrus hopeiensis flowers at low temperature. Int. J. Biol. Macromol. 2024, 257, 128611. [Google Scholar] [CrossRef]
- Lin, Z.; Li, Y.; Wang, Y.; Liu, X.; Ma, L.; Zhang, Z. Initiation and amplification of SnRK2 activation in abscisic acid signaling. Nat. Commun. 2021, 12, 2456. [Google Scholar] [CrossRef] [PubMed]
- Du, H.; Wang, X.; Hu, J.; Tan, K.; Liu, C.; Ma, B. Identification and Functional Characterization of the CrRLK1L Gene Family in Salt Tolerance in Rice (Oryza sativa L.). Genes 2025, 12, 1454. [Google Scholar] [CrossRef] [PubMed]
- Kopeć, P.; Rapacz, M.; Arora, R. Post-translational activation of CBF for inducing freezing tolerance. Trends Plant Sci. 2022, 27, 415–417. [Google Scholar] [CrossRef] [PubMed]
- Ge, W.; Luo, M.; Sun, H.; Wei, B.D.; Zhou, X.; Zhou, Q.; Ji, S. CaMYB340 homo-and heterodimers mediate chilling injury in bell pepper by participating in fatty acid desaturation and the ICE-CBF pathway. 2024; Preprint from Authorea Preprints. [Google Scholar] [CrossRef]
- Chen, Y.; Chen, Z.; Kang, J.; Kang, D.; Gu, H.; Qin, G. AtMYB14 regulates cold tolerance in Arabidopsis. Plant Mol. Biol. Rep. 2013, 31, 87–97. [Google Scholar] [CrossRef]
- Zhang, Z.; Hu, X.; Zhang, Y.; Miao, Z.; Xie, C.; Meng, X.; Dong, J. Opposing control by transcription factors MYB61 and MYB3 increases freezing tolerance by relieving C-repeat binding factor suppression. Plant Physiol. 2016, 172, 1306–1323. [Google Scholar] [CrossRef] [PubMed]






Disclaimer/Publisher’s Note: The statements, opinions and data contained in all publications are solely those of the individual author(s) and contributor(s) and not of MDPI and/or the editor(s). MDPI and/or the editor(s) disclaim responsibility for any injury to people or property resulting from any ideas, methods, instructions or products referred to in the content. |
© 2026 by the authors. Licensee MDPI, Basel, Switzerland. This article is an open access article distributed under the terms and conditions of the Creative Commons Attribution (CC BY) license.
Share and Cite
Wang, S.; Yin, J.; Liu, X.; Feng, S.; Zhang, D.; Bai, Y.; Yang, X.; Zhou, Y. Genome-Wide Identification and Expression Analysis of R2R3-MYB Gene Family in Chrysanthemum indicum Under Low-Temperature Stress. Agronomy 2026, 16, 567. https://doi.org/10.3390/agronomy16050567
Wang S, Yin J, Liu X, Feng S, Zhang D, Bai Y, Yang X, Zhou Y. Genome-Wide Identification and Expression Analysis of R2R3-MYB Gene Family in Chrysanthemum indicum Under Low-Temperature Stress. Agronomy. 2026; 16(5):567. https://doi.org/10.3390/agronomy16050567
Chicago/Turabian StyleWang, Shuheng, Jiayi Yin, Xuanlu Liu, Siyu Feng, Dongyang Zhang, Yun Bai, Xue Yang, and Yunwei Zhou. 2026. "Genome-Wide Identification and Expression Analysis of R2R3-MYB Gene Family in Chrysanthemum indicum Under Low-Temperature Stress" Agronomy 16, no. 5: 567. https://doi.org/10.3390/agronomy16050567
APA StyleWang, S., Yin, J., Liu, X., Feng, S., Zhang, D., Bai, Y., Yang, X., & Zhou, Y. (2026). Genome-Wide Identification and Expression Analysis of R2R3-MYB Gene Family in Chrysanthemum indicum Under Low-Temperature Stress. Agronomy, 16(5), 567. https://doi.org/10.3390/agronomy16050567

