Next Article in Journal
Artificially-Induced Lodging Penalties on Grain Number and Weight at Specific Spike Positions of Three Wheat Genotypes Released in Different Decades in the Huang-Huai-Hai Region of China
Previous Article in Journal
X-Ray Diffraction Methods for Microfibril Angle Measurement in Maize and Sorghum Stalks
Previous Article in Special Issue
Revealing Heterogeneous Trade-Offs and Synergies of Food–Carbon–Water Nexus for Sustainable Agricultural Development in Northeast China
 
 
Font Type:
Arial Georgia Verdana
Font Size:
Aa Aa Aa
Line Spacing:
Column Width:
Background:
Article

From Cropland to Marginal Farmland: Spatial Heterogeneity of Soil Organic Carbon and Multi-Pathway Driving Mechanisms in Arid Inland River Basins

1
School of Civil and Hydraulic Engineering, Qinghai University, Xining 810016, China
2
School of Civil and Transportation Engineering, Qinghai Minzu University, Xining 810007, China
3
Qinghai Nuclear Industry Geological Bureau, Xining 810000, China
4
Land Remediation and Ecological Restoration Center, Department of Natural Resources of Qinghai Province, Xining 810001, China
5
State Key Laboratory of Plateau Ecology and Agriculture, Qinghai University, Xining 810016, China
*
Authors to whom correspondence should be addressed.
Agronomy 2026, 16(5), 533; https://doi.org/10.3390/agronomy16050533
Submission received: 13 December 2025 / Revised: 22 January 2026 / Accepted: 24 February 2026 / Published: 28 February 2026

Abstract

Agricultural land-use conversion in high-altitude cold-arid inland river basins profoundly affects soil ecosystems. This study investigates the middle and lower reaches of the Bayin River Basin (Qaidam Basin, China) at approximately 3000 m elevation. We examined a continuous, reversible gradient of land-use intensity ranging from intensively managed cultivated land and orchards to marginal farmland abandoned owing to salinisation and low fertility. Using a multi-model fusion framework combining geostatistics, random forest regression and partial least-squares path modelling, we quantified the spatial patterns of soil properties and the drivers of soil organic carbon (SOC). Compared with marginal farmland, both cultivated land and orchards showed markedly higher SOC content (10.7–41.1% increase), elevated total nitrogen (TN) and clay content, and reduced electrical conductivity and sand fraction. These changes demonstrate that abandonment of marginal farmland impairs SOC accumulation while accelerating soil degradation and salinisation. SOC and TN exhibited strong spatial autocorrelation over distances exceeding 27 km, largely controlled by broad-scale factors such as topography and climate. The Random Forest and Partial Least Squares Path Modeling consistently reveal a close synergistic variation between Total Nitrogen (TN) and Soil Organic Carbon (SOC). TN exerts a direct positive driving effect on SOC, while land use intensity positively affects SOC through an indirect pathway: “sand content drives land use → enhances vegetation cover → increases TN.” Reverse modeling has validated a similar driving effect of SOC on TN. This study offers practical pathways for the sustainable management of marginal farmland and the enhancement of carbon sinks, addressing a common issue in China and other developing countries.

1. Introduction

Soil organic carbon (SOC) constitutes the largest active carbon pool in terrestrial ecosystems. Its dynamics play a pivotal role in regulating soil fertility and crop productivity while directly modulating atmospheric CO2 concentrations and associated climate feedbacks [1]. Nevertheless, agricultural soils are increasingly vulnerable to organic carbon depletion and land degradation due to the combined pressures of global climate change and intensifying human activities [2]. Climate change—manifested through rising temperatures, shifting precipitation patterns, and more frequent extreme weather events—accelerates soil organic matter mineralisation, reduces plant-derived carbon inputs, and intensifies salinisation in arid regions. Consequently, agricultural soil carbon stocks are declining worldwide [3,4]. These impacts are especially severe in ecologically fragile areas, where they directly jeopardise long-term productivity and ecosystem stability. A thorough understanding of the dynamics and controlling mechanisms of soil organic carbon in agroecosystems has therefore emerged as a critical research priority in environmental management and sustainable agriculture [5].
Soil organic carbon (SOC) is a key indicator of soil fertility and health, as it directly influences moisture retention, nutrient conservation, and carbon sequestration capacity [1]. Its content is governed by both natural and anthropogenic factors. Natural factors—including climate, parent material, soil texture, vegetation type, and microbial activity—primarily determine baseline rates of SOC accumulation and decomposition [6]. In agricultural systems, however, management practices exert strong direct control over SOC dynamics. These include fertilization, tillage, irrigation, crop rotation, and straw return, which modify carbon inputs, soil aeration, and nutrient cycling processes [7,8]. Extensive research shows that organic fertilizer application and conservation tillage substantially increase SOC stocks, whereas intensive tillage often accelerates carbon loss [9]. Furthermore, soil physicochemical properties—such as total nitrogen (TN), total phosphorus (TP), texture, electrical conductivity (EC), and pH—co-evolve synergistically with soil organic carbon (SOC), thereby amplifying or mitigating the effects of external disturbances on soil functions [10]. These multifaceted interactions can drive considerable fluctuations in SOC stocks, particularly where the influencing factors display pronounced spatial heterogeneity [11]. Nevertheless, in high-altitude cold and arid regions, the dynamics of SOC, its patterns of co-evolution with other key soil properties, and the associated spatial heterogeneity remain poorly understood.
Land use practices, as the most direct expression of human activity, are widely acknowledged as the primary drivers of soil organic carbon (SOC) dynamics at regional scales. These practices regulate SOC by modifying organic matter inputs (e.g., plant litter and fertilisers), altering ecosystem energy balances, and changing the intensity of soil physical disturbance [12,13]. Numerous studies have examined the effects of land-use change on soil SOC, with most research comparing broad ecosystem types—such as forests, grasslands, and croplands—or investigating SOC recovery during secondary succession after farmland abandonment [8,13,14,15]. Within agricultural systems, attention has primarily focused on differences between tillage practices or crop species [16,17]. However, a distinct land-use category known as marginal farmland exists in China, Central Asia, and the Mediterranean region [18,19,20,21]. This land is typically managed under low-intensity regimes or temporarily abandoned owing to environmental constraints, such as soil salinisation, yet it retains considerable potential for restoration. Marginal farmland is of substantial importance in many developing countries but has received relatively little research attention [22]. Evidence shows that its emergence or expansion markedly disrupts regional soil carbon and nitrogen cycles [23]. Within agricultural systems, a continuous and reversible gradient exists—from intensively cultivated croplands and commercial orchards to marginal farmlands abandoned due to salinisation and declining soil fertility. This gradient reflects a fundamental shift in management intensity and ecosystem functioning, which inevitably triggers cascading responses in soil nutrients, texture, and salinity [24]. Nevertheless, the primary drivers of soil organic carbon (SOC) dynamics along this reversible gradient, the patterns of its co-evolution with other key soil properties, and the associated spatial heterogeneity remain poorly understood. Studies elucidating the mechanisms of SOC evolution under such gradients in the particularly fragile high-altitude, cold, and arid ecosystems are especially scarce.
The Qaidam Basin, situated in northwest China, lies at an average elevation of 3000 m, with a mean annual temperature of approximately 7 °C and annual precipitation below 100 mm. These conditions define it as a typical high-altitude, cold, and arid inland basin [25]. In the middle and lower reaches of the Bayin River, extensive irrigation has created a major agricultural zone. Land-use dynamics in this area have produced a diverse spectrum of agricultural types, ranging from intensively cultivated cropland and economic orchards to marginal farmland affected by soil salinisation and declining fertility. This continuum of land-use intensity, which is both continuous and reversible, offers an ideal natural laboratory for investigating soil evolution under varying agricultural management regimes. This study employs a grid-based sampling approach, integrating geostatistics, Redundancy Analysis (RDA), Random Forest (RF), and Partial Least Squares Path Modeling (PLS-PM) to achieve several key objectives: (1) to identify the direct factors influencing agricultural soil organic carbon (SOC) accumulation and their implications for soil degradation; (2) to uncover the spatial variability structure of agricultural soil SOC at the watershed scale along with its dominant causal factors; (3) to examine the coupling relationships between agricultural soil organic carbon, key soil properties, and environmental factors; and (4) to comprehensively apply geostatistics, the Random Forest model (RF), and Partial Least Squares Path Modeling (PLS-PM) to determine the primary driving factors of agricultural soil SOC and accurately quantify the direct and indirect pathways of influence, as well as the relative contributions of each driving factor. The findings of this research will offer new theoretical insights into the synergistic evolution mechanisms of agricultural soil systems in high-altitude, cold, and arid inland river basins. Additionally, it will provide a solid scientific foundation for sustainable agricultural land use, degradation prevention, and precision agricultural management in the region.

2. Materials and Methods

2.1. Study Area Overview

The Bayin River Basin (36°53′ N to 38°11′ N, 96°29′ E to 98°08′ E) is situated in the northeastern part of the Qaidam Basin, within Delingha City, Qinghai Province, China. This basin exemplifies a typical inland river system in the arid northwest region of China. It originates from the Guogouli Angile tributary of the Qilian Mountains, at an elevation of approximately 5000 m. The middle and lower reaches of the Bayin River refer to the area located downstream of the Heishishan Reservoir, to the north of Delingha City, and upstream of the inflow points of Kuluke Lake and Gahai Lake (see Figure 1). Agriculture plays a vital role in the economic development of the Bayin River Basin. Within this basin, two primary agricultural irrigation districts are identified: the Delingha Irrigation District and the Gahai Irrigation District. Both districts are significant for promoting ecological oasis agriculture in the Qaidam Basin [26]. Based on the World Reference Base for Soil Resources (WRB) classification system, the soil type query results for the study area indicate that Solonchaks are the most dominant soil type, followed by Cambisols. The region is characterized by an average annual temperature of 4.7 °C, annual precipitation of 211 mm, and a maximum evaporation rate of 1845 mm, confirming its classification as a typical arid zone [27]. Currently, agricultural land use in the middle and lower reaches of the Bayin River is categorized into three main types: cropland primarily used for wheat cultivation, garden land mainly for goji berry production, and marginal agricultural land. Notably, marginal agricultural land refers to areas with limited productivity due to soil salinization and low fertility. These areas are often under low-intensity use or temporarily fallow; however, they still hold potential for re-cultivation.

2.2. Sample Collection

This study was conducted in May 2024, focusing on the distribution of cropland, garden land, and marginal agricultural land within the research area. Based on the relative proportions of these land types in the middle and lower reaches of the Bayin River Basin, we selected a total of 100 sites for cropland, 18 sites for garden land, and 7 sites for marginal agricultural land. At each selected site, the geometric center served as the central sampling point, from which four radial sampling points were established in each cardinal direction. Samples from the central point and the four radial points—totaling five sampling points—were thoroughly mixed to represent the average soil condition of the area. This approach addressed soil variability and enhanced the overall representativeness of the samples for each land type [28]. Soil samples were collected from the plow layer (0–20 cm) [29]. After collection, surface litter, stones, and coarse roots were promptly removed. Approximately 1 kg of soil was retained using the quartering method, placed in sample bags, and transported to the laboratory for air drying and sealed storage prior to analysis [28]. The geographic coordinates of each sampling point were recorded using a Global Positioning System (GPS) receiver. The central sampling points were evenly distributed to cover all agricultural land within the middle and lower reaches of the Bayin River Basin. In the field survey, the distinction between conventional farmland (including arable land and orchards) and marginal farmland was based on on-site investigations, interviews with farmers, and queries from local cultivated land databases. Conventional farmland is characterized by ongoing production, level terrain, evidence of irrigation and fertilization, and clear crop residues, primarily cultivating spring wheat (arable land) and goji berries (orchards). In contrast, marginal farmland has been abandoned due to salinization and low fertility, showing no significant signs of cultivation, with the current vegetation predominantly consisting of sparse saline-tolerant weeds. This classification ensures clarity in the land use gradient and enhances the interpretability of the results.

2.3. Soil Property Analysis

Soil organic carbon (SOC) was determined using the Walkley-Black method, which employs potassium dichromate oxidation to quantify soil organic matter (SOM) content [30]. Soil pH was measured according to the McLean method, utilizing a glass electrode in a soil-water suspension at a ratio of 1:2.5 [31]. Electrical conductivity of the soil was assessed following the Rhoades method, with measurements taken from saturation extracts using a conductivity meter [32]. The particle size distribution of the soil was analyzed using a laser diffraction particle size analyzer and classified in accordance with the USDA soil texture classification system [33]. This system categorizes particles into three classes: clay (<0.002 mm), silt (0.002–0.05 mm), and sand (0.05–2 mm). All measurements were performed in triplicate to ensure accuracy. Total nitrogen and total phosphorus in the soil were determined using a continuous flow analyzer method [12].

2.4. Data Sources and Processing of Environmental Factors

The digital elevation model (DEM) and remote sensing images (RS) used in this study were obtained from the Geospatial Data Cloud platform “https://www.gscloud.cn/” (accessed on 3 July 2025) [34]. Elevation, slope, aspect, slope length, and the normalized difference vegetation index (NDVI) were extracted using the ArcMap 10.8 platform [35]. The NDVI (Normalized Difference Vegetation Index) was calculated based on remote sensing imagery from a geospatial data cloud platform, with the image date being June 2024. Climate data, including temperature, precipitation, and evapotranspiration, were sourced from the Chinese Meteorological Annual Spatial Interpolation Dataset “https://www.resdc.cn/” (accessed on 5 July 2025) [36]. From this dataset, the Mean Annual Temperature (MAT), Mean Annual Precipitation (MAP), and Mean Annual Evaporation (MAE) for each sampling point were calculated in ArcMap 10.8.

2.5. Statistical Analysis

Data organization was conducted using Excel 2019, followed by descriptive statistical analysis to assess the fundamental characteristics of soil physicochemical properties in the study area. Spearman correlation analysis, redundancy analysis (RDA), random forest modeling (RF), and partial least squares path modeling (PLS-PM) were employed to examine the effects of various land use classifications and environmental factors on soil properties. Correlation analysis was conducted to uncover the relationships between land use categories, environmental factors, and the content of various soil indicators. Redundancy analysis (RDA) was employed to assess the strength of the impact of each environmental factor on soil properties, utilizing the vegan package in R with 999 permutations for the tests. The Partial Least Squares Path Modeling (PLS-PM) was implemented using the plspm package, treating all variables as reflective constructs. Bootstrap resampling was performed with 1000 iterations. Both the Random Forest model and PLS-PM were used to quantitatively express the driving processes of environmental factors on the soil indicators. The Random Forest model was configured with ntree set to 1000 and mtry at the default value (p/3). Variable importance p-values were calculated through 299 permutation tests using the rfPermute function, with sample weights standardized inversely based on the sample size of each land use type. Descriptive statistical analysis was performed using IBM SPSS 26.0 software [37]. Additionally, ordinary kriging interpolation was utilized to visualize the spatial distribution of soil properties, employing the optimal semivariance model. The model type and parameters were determined through fitting with geostatistical software (GS+ Version 9). In the analysis, land use types (LUT) were coded as an ordinal gradient (cultivated land = 3, orchard = 2, marginal farmland = 1) to reflect utilization intensity from high to low. All analyses, including correlation, redundancy analysis (RDA), Random Forest model (RF), PLS-PM, and sensitivity analysis, were conducted using R version 4.5.2. Result visualizations were created using R 4.5.2, Origin 2022, and ArcMap 10.8 software.

3. Results

3.1. Changes in Soil Properties

Descriptive statistics are summarized in Table 1. The soil organic carbon (SOC) content in the study area ranged from 2.05 to 11 g·kg−1, with an average of 5.36 g·kg−1. The mean values for total nitrogen (TN) and total phosphorus (TP) were 0.94 g·kg−1 and 0.61 g·kg−1, respectively, with corresponding ranges of 0.31 to 1.83 g·kg−1 for TN and 0.02 to 1.28 g·kg−1 for TP. The mean percentages of clay, silt, and sand were 6.84%, 39.10%, and 54.05%, respectively. Electrical conductivity (EC) values varied from 0.12 to 9.32 dS m−1, with a mean of 1.05 dS m−1. The pH values ranged from 6.87 to 8.74, with an average of 7.96. From the coefficient of variation (CV), it can be seen that the pH variation is the smallest, indicating weak variability, while the EC variation is the largest, indicating strong variability. Skewness, kurtosis, and the Kolmogorov–Smirnov (K-S) test revealed that SOC, TN, TP, silt, and sand followed a normal distribution, whereas the carbon-to-nitrogen ratio (C/N), clay, EC, and pH demonstrated non-normal distributions.
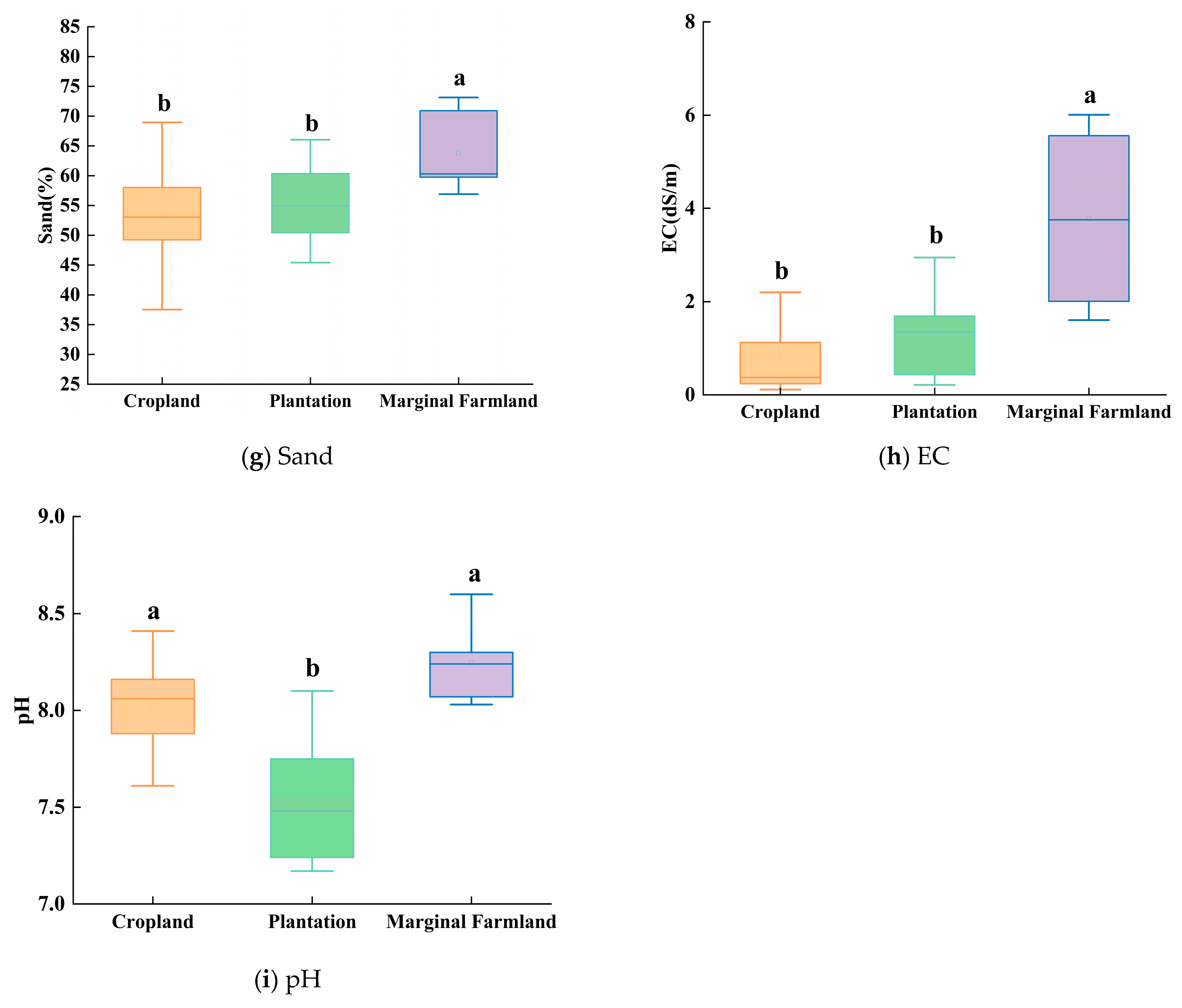
Figure 2 illustrates the quantitative distribution of soil properties across cultivated land, garden land, and marginal farmland in the mid-lower reaches of the Bayin River Basin. Soil organic carbon (SOC) levels were significantly higher in both cultivated and garden lands than in marginal farmland (p < 0.05). The trend for total nitrogen (TN) closely mirrored that of SOC. However, no significant difference in total phosphorus (TP) content was found between garden land and marginal farmland (p > 0.05). Conversely, the carbon-to-nitrogen ratio (C/N) was significantly higher in marginal farmland compared to both cultivated and garden lands (p < 0.05). In terms of particle size distribution, clay and silt contents were significantly greater in cultivated and garden lands than in marginal farmland (p < 0.05). Conversely, sand content was significantly lower in cultivated and garden lands compared to marginal farmland (p < 0.05). Regarding salinity and alkalinity indicators, electrical conductivity (EC) was significantly lower in cultivated and garden lands than in marginal farmland (p < 0.05), and the pH value in garden land was significantly lower than that in both cultivated and marginal farmland (p < 0.05).

3.2. Distribution of Agricultural Soil Properties Within the Watershed and Their Spatial Correlation

The spatial variability of soil properties in the study area displays distinct patterns of change (Table 2). Soil organic carbon (SOC) and total nitrogen (TN) exhibit the strongest spatial structure and extensive spatial correlation, with range values exceeding 27 km and model coefficients of determination (R2) greater than 0.9. In contrast, the carbon-to-nitrogen ratio (C/N), along with clay, silt, and sand contents, is influenced by both structural and random factors. Additionally, total phosphorus (TP), electrical conductivity (EC), and pH show a gradual transition to extremely weak spatial autocorrelation, characterized by nugget-to-sill ratios exceeding 0.7 and reduced range values. Notably, the model fit for pH significantly declines. These findings suggest that the spatial differentiation of soil properties results from a complex interplay of multiple driving forces, with fundamental differences in the predominant causes of variability among the various soil attributes.
Based on the optimal variogram model parameters for various soil properties and the distribution characteristics of agricultural land in the mid-lower reaches of the Bayin River Basin (Figure 1), this study employed ordinary kriging interpolation to analyze the spatial distribution of surface soil properties, resulting in spatial distribution maps for each soil attribute in agricultural land (Figure 3). The interpolation results indicate that high-value zones for soil organic carbon (SOC) and total phosphorus (TP) are primarily located in the western cultivated areas, while low-value zones are mainly found in the southeastern garden and marginal farmland. In contrast, the distribution of total nitrogen (TN) and the carbon-to-nitrogen ratio (C/N) shows an opposite pattern, with low-value zones corresponding to high-value zones for SOC. Clay content exhibits higher values primarily in the western cultivated areas, while lower values are concentrated in the southeastern garden and marginal farmland, as well as in some southwestern cultivated lands. The spatial distribution patterns of silt and sand are opposite to those of clay. High electrical conductivity (EC) values, exceeding 2.22 dS m−1, are concentrated in the southeastern garden and marginal farmland, whereas low values are predominantly found in the central and eastern cultivated areas. High pH values, generally exceeding 8.08, are mainly observed in the western cultivated areas. However, there is no significant correlation between the spatial distribution of pH and land use types.

3.3. Relationship Between Agricultural Soil Organic Carbon and Environmental Factors Within the Watershed

Redundancy analysis indicated that (Figure 4), the model constructed with seven environmental factors—elevation (EL), slope (SLP), aspect (ASP), mean annual evaporation (MAE), mean annual temperature (MAT), normalized difference vegetation index (NDVI), and land use type (LUT)—showed a highly significant explanatory power for the entire soil property matrix (p = 0.001). Among the first two constrained axes, the first axis accounted for 75.39% of the constrained variance, while the second axis explained 13.55%. After addressing and removing the mean annual precipitation (MAP), which exhibited severe multicollinearity with MAE, the variance inflation factors (VIF) for all environmental factors fell below 10 (see Table 3). Under these conditions, the marginal effect tests for the environmental factors (Table 3) revealed that elevation (EL), mean annual evaporation (MAE), and normalized difference vegetation index (NDVI) made significant independent contributions to the variation in soil properties (p < 0.05). In contrast, land use type (LUT) showed marginal significance at p = 0.07, while the effects of slope (SLP), aspect (ASP), and mean annual temperature (MAT) were not significant (p > 0.05). Overall, the combined effect of all environmental factors explained 22.18% of the total variation in soil properties.
Correlation analysis (Figure 5) revealed a strong positive relationship between soil organic carbon (SOC) content and total nitrogen (TN) (r = 0.80, p < 0.01). Additionally, SOC exhibited significant correlations with silt, clay, and sand fractions (p < 0.01). Moderate negative correlations were observed between SOC and electrical conductivity (EC) (r = −0.30, p < 0.01) as well as mean annual temperature (MAT) (r = −0.47, p < 0.01). Furthermore, SOC demonstrated a weak positive correlation with mean annual precipitation (MAP) (r = 0.19, p < 0.05) and elevation (EL) (r = 0.23, p < 0.01). Moderate positive correlations were also identified between SOC and the normalized difference vegetation index (NDVI) (r = 0.44, p < 0.01) and land use type (LUT) (r = 0.29, p < 0.01). In contrast, correlations between SOC and total phosphorus (TP), carbon-to-nitrogen ratio (C/N), pH, slope (SLP), and aspect (ASP) were weak (|r| < 0.25) and not statistically significant (p > 0.05).
Among the remaining factors, total nitrogen (TN) exhibits a strong positive correlation with clay content and mean annual precipitation (MAP), while showing a strong negative correlation with the carbon-to-nitrogen ratio (C/N) and sand fraction. Notably, clay and silt are highly negatively correlated (r = −0.96, p < 0.01), indicating a compensatory relationship between these two components in the soil texture composition. Additionally, land use type (LUT) demonstrates significant correlations (p < 0.01) with all other soil properties and environmental indicators examined in this study, except for C/N, slope (SLP), and aspect (ASP).

3.4. Importance Analysis of Soil Organic Carbon Based on Random Forest Model

Soil organic carbon (SOC) plays a central role among the soil properties in the study area. It exhibits a strong co-variation with total nitrogen (TN) and demonstrates robust spatial autocorrelation patterns. This suggests that the spatial differentiation of SOC reflects the distribution patterns of soil properties influenced by macro-scale pedogenic processes, as well as the associated carbon–nitrogen cycling functions. Consequently, SOC serves as a key indicator of spatial variability and ecological functionality within the region’s soil system. To further elucidate the driving mechanisms underlying these relationships, this study will focus on SOC, quantitatively identifying its dominant environmental factors and their relative contributions.
This study utilized random forest analysis to systematically assess the multi-factor contributions affecting the dynamics of soil organic carbon (SOC). Figure 6 indicate that total nitrogen (TN) is the most important predictive variable (% IncMSE = 46.58, p < 0.01), followed by the carbon-to-nitrogen ratio (C/N, % IncMSE = 18.56, p < 0.01) and sand content (% IncMSE = 10.35, p < 0.05). Land use type (LUT) significantly explained variation in SOC, reaching statistical significance (% IncMSE = 3.23, p < 0.05), underscoring its role in the soil carbon cycle independent of other environmental factors. Furthermore, climatic and vegetation factors, such as mean annual temperature (MAT, p < 0.05) and the Normalized Difference Vegetation Index (NDVI, p < 0.05), demonstrated significant effects. In contrast, the importance of topographic factors (elevation, slope, aspect) was relatively low (p > 0.05).

3.5. Analysis of Driving Factors for Soil Organic Carbon

Based on the preliminary analysis results, key factors significantly influencing soil organic carbon (SOC) were identified. A partial least squares path modeling (PLS-PM) approach was employed to construct the SOC response model (Figure 7). This model quantifies the path coefficients of each driving factor, elucidating the distinct mechanisms of their influence. The goodness of fit (GOF) for the model was measured at 0.6, indicating a reliable level of explanatory power for the data.
Land use type (LUT) was categorized using a gradient of land use intensity, with values ranging from high to low assigned to cropland, garden land, and marginal farmland. This approach quantifies the differences among various land use types. Figure 7 demonstrates that sand content has a significant negative direct effect on land use type (LUT), with a path coefficient of −0.3 (SE = 0.085, p < 0.001). Additionally, sand content exerts a notable negative influence on the normalized difference vegetation index (NDVI) with a path coefficient of −0.260 (SE = 0.082, p < 0.01), and it also negatively impacts total nitrogen (TN) directly (path coefficient = −0.406, SE = 0.059, p < 0.001). Furthermore, NDVI has a significant positive effect on TN (path coefficient = 0.421, SE = 0.069, p < 0.001). Total nitrogen exhibits a strong positive direct effect on soil organic carbon (SOC) with a path coefficient of 0.795 (SE = 0.086, p < 0.001). The model explains 64% of the variance in soil organic carbon (R2 = 0.64), indicating a robust capacity for explaining SOC variation. To assess the robustness of the model, a bootstrap resampling method was employed, involving 1000 iterations to calculate the standard errors (SE), confidence intervals (95% CI), and p-values for each path coefficient. The results, presented in Table 4, show that the 95% confidence intervals for all significant paths do not include zero.
Table 5 presents the results of the PLS-PM model regarding the impact of various variables on soil organic carbon (SOC). This includes direct effects, indirect effects, total effects, and relative contribution rates. The data indicate that total nitrogen (TN) is the most significant direct factor influencing SOC accumulation, with a direct effect of 0.79 and a contribution rate of 46.75%. Sand content (Sand) exerts a significant negative effect through an indirect pathway involving land use type (LUT), vegetation cover, and total nitrogen, resulting in a total impact of −0.47 and a contribution rate of 27.81%. The normalized difference vegetation index (NDVI) demonstrates a negative direct effect (−0.03) and a positive indirect effect (0.34), culminating in a total effect of 0.31 and a contribution rate of 18.34%. In contrast, the direct effect of land use type (LUT) is weak (0.01), with a total contribution rate of only 7.10%. These results reveal that the accumulation of SOC in agricultural soils is primarily driven by total nitrogen, while sand content influences the system’s balance through indirect pathways involving land use choices and vegetation-nitrogen interactions in a geological context.

Robustness Testing of the Carbon-Nitrogen Relationship Model

Given the strong correlation and significance of total nitrogen (TN) with soil organic carbon (SOC) observed in Section 3.5, we constructed a reverse path model using SOC as a predictor variable for TN to further investigate the causal direction of the carbon-nitrogen relationship. This model demonstrated an acceptable goodness of fit (GoF = 0.58), indicating a close synergistic relationship between SOC and TN in the study area.
A random forest analysis of total nitrogen in soil was conducted to systematically assess the contributions of multiple factors influencing its dynamics. Figure 8 indicates that soil organic carbon (SOC) is the most significant predictor variable, with an importance score of % Inc. MSE = 47.69 (p < 0.01). This is followed by the carbon-to-nitrogen ratio (C/N, % Inc. MSE = 32.50, p < 0.01) and the normalized difference vegetation index (NDVI, % Inc. MSE = 15.58, p < 0.01). Additionally, sand content (Sand) accounted for a statistically significant portion of total nitrogen variability (% IncMSE = 14.19, p < 0.05), indicating its important role in the nitrogen cycling process independent of other environmental factors.
Based on the previous analytical results and to better align with Figure 7, a total nitrogen (TN) response model was constructed using the Partial Least Squares Path Model (PLS-PM) as shown in Figure 9. This model quantifies the path coefficients of various driving factors, elucidating differences in their impact mechanisms. The goodness of fit (GOF) of the model is 0.58, indicating a reliable capacity to explain the data.
Figure 9 illustrates that sand content (Sand) exerts a significant negative direct effect on land use type (LUT) with a path coefficient of −0.30 (SE = 0.086, p < 0.001). Sand also significantly negatively affects the normalized difference vegetation index (NDVI) with a path coefficient of −0.26 (SE = 0.084, p < 0.01) and directly negatively impacts soil organic carbon (SOC) with a path coefficient of −0.35 (SE = 0.079, p < 0.001). Conversely, NDVI has a significant positive effect on SOC (path coefficient = 0.31, SE = 0.073, p < 0.001), while SOC exhibits a strong positive direct effect on TN (path coefficient = 0.61, SE = 0.066, p < 0.001). The model explains 73% of the variance in TN (R2 = 0.73), indicating a robust capacity to account for variations in total nitrogen.
To validate the robustness of the model, a bootstrap resampling method was employed, involving 1000 resamples to calculate the standard error (SE), 95% confidence intervals (95% CI), and p-values for each path coefficient. The results (Table 6) demonstrate that the 95% CI for all significant paths does not include zero.
Table 7 presents the results of the PLS-PM model regarding the impact of various variables on total nitrogen (TN) in soil. This includes direct, indirect, and total effects, as well as their relative contributions. The data indicate that soil organic carbon (SOC) is the most significant direct factor influencing TN accumulation, with a direct effect of 0.61 and a contribution rate of 34.75%. Sand content (Sand) exerts a significant negative effect through an indirect pathway involving land use type (LUT), vegetation cover, and SOC, resulting in a total effect of −0.56 and a contribution rate of 32.05%. The normalized difference vegetation index (NDVI) has a positive direct effect (0.23) and a positive indirect effect (0.19), leading to a total effect of 0.41 and a contribution rate of 23.68%. In contrast, land use type (LUT) exhibits a weak direct effect (0.02), contributing only 9.52% to the total variance.

3.6. Sensitivity Analysis

To assess the impact of sample imbalance—particularly the limited number of marginal farmland samples (n = 7)—on the conclusions regarding differences in primary soil properties, this study employed a non-parametric bootstrap method for sensitivity analysis. The original data underwent 5000 resamples to calculate the 95% confidence intervals for the mean differences in soil properties (including SOC, TN, TP, C/N, Caly, Silt, Sand, EC, and pH) between cultivated land (n = 100) and garden land (n = 18) relative to marginal farmland (n = 7). The bias-corrected and accelerated method (BCa) was prioritized; if BCa calculations proved unstable, the analysis automatically switched to the percentile method (perc) or the basic method (basic). The analysis was conducted using the boot package in R 4.5.2.
The results are presented in Table 8. With the exception of the differences in electrical conductivity (EC) between garden land and marginal farmland, as well as the pH differences between cultivated/garden land and marginal farmland, all other comparisons yielded 95% confidence intervals that do not include zero. This indicates that the originally observed inter-group differences retain statistical significance under bootstrap resampling.
Although the small sample size for marginal farmland resulted in wider confidence intervals and some bootstrap replicates exhibited extreme values (causing mean differences to appear as NaN), the direction and significance of the confidence intervals were highly consistent with the original results. This supports the conclusions that marginal farmland shows a significant reduction in soil organic carbon (SOC) accumulation—approximately 1.77–2.84 g·kg−1 higher in cultivated land and 1.17–2.37 g·kg−1 higher in garden land—as well as a decrease in total nitrogen, an increase in total phosphorus, a reduction in C/N ratio, an increase in clay and silt content, a decrease in sand content, and an exacerbation of salinization risk. The non-significance of pH differences may reflect the lower variability of this parameter between land types.

4. Discussion

4.1. Direct Influencing Factors of the Land Use Intensity Gradient on the Accumulation of Organic Carbon in Agricultural Soils and the Characterization of Soil Degradation

The results of this study indicate that marginal farmland exhibits significantly reduced soil organic carbon (SOC) accumulation and characteristic soil degradation compared to cultivated and garden land (Section 3.1). To further assess whether these differences are influenced by the small sample size for marginal farmland (n = 7), a non-parametric bootstrap sensitivity analysis was conducted (Section 3.6). The findings reveal that, with the exception of the differences in electrical conductivity (EC) and pH between garden land and marginal farmland, all inter-group differences in key soil properties remained significant under bootstrap resampling. The direction of the confidence intervals was consistent, confirming the robustness of the main conclusions. Although the small sample size led to wider intervals and some extreme values (with bootstrap means appearing as NaN), the overall trends were unaffected.
The results of this study indicate that in the middle and lower reaches of the Bayin River Basin, the average soil organic carbon (SOC) content decreases by 10.71% to 41.07% when comparing cropland and garden land to marginal farmland. This finding suggests that, in high-altitude arid inland river basins, even marginal farmland with cultivation potential can experience a significant reduction in agricultural soil carbon sink function due to temporary fallowing. Cropland and garden land sustain higher external carbon inputs through the continuous application of organic fertilizers, straw return, root residue retention, and effective irrigation practices [38]. In contrast, marginal farmland relies solely on the sparse litter from local natural vegetation, resulting in a drastic decline in carbon input. Moreover, higher salinity and alkalinity levels contribute to poorer soil fertility in these areas, leading to lower carbon accumulation efficiency compared to well-managed agricultural systems. This conclusion is consistent with previous findings by Zhang et al. [39], which suggest that sustainable land management practices can enhance soil organic carbon stocks. Total nitrogen (TN), which is closely linked to soil organic carbon (SOC), decreases by approximately 28% to 31%, resulting in a significant increase in the carbon-to-nitrogen ratio. This suggests that inadequate nitrogen supply is the primary factor limiting SOC accumulation. These findings align with the observed trend of rapid carbon stock loss following fallowing in arid regions worldwide [40]. However, this study quantifies the extent of SOC loss specifically within the gradient of marginal farmland. It emphasizes that, without intervention, marginal farmland—often characterized by low soil fertility in developing countries—may reach an irreversible threshold of carbon sink degradation within a certain timeframe.
The decline in soil organic carbon (SOC) is accompanied by a deterioration in the physical structure of agricultural soils and an increased risk of salinization. Cropland and garden land exhibit significantly higher clay and silt content compared to marginal farmland, which shows a notable increase in sand content. This phenomenon can be attributed to two main factors. First, long-term agricultural practices such as tillage and irrigation enhance the accumulation of fine particles (clay and silt) at the soil surface or prevent their erosion. Second, in arid regions, marginal farmland, characterized by lower vegetation cover, is more susceptible to wind erosion. This leads to the removal of fine particles and results in the coarsening of surface soils [41]. Significant differences are observed in soil salinity and alkalinity indicators, specifically electrical conductivity (EC) and pH. The EC in marginal farmland is substantially higher than that in cropland and garden land. This suggests that, following fallowing, reduced water use by vegetation, combined with intense local evaporation, contributes to the accumulation of surface salts [42]. These degradations are interconnected and indirectly inhibit SOC accumulation by destabilizing soil aggregates and reducing the availability of organic matter occlusion sites in larger pores. Previous studies indicate that for every 1% decrease in clay content, the proportion of physically protected SOC may decrease by approximately 0.58% [43], a trend also observed in this study. Therefore, the emergence of marginal farmland not only leads to insufficient carbon input but also creates a positive feedback loop through texture coarsening and salinization, further accelerating the depletion of the carbon pool.
The results indicate that marginal farmland in high-altitude arid regions should not be viewed as suitable for “ecological restoration.” Instead, it poses a dual threat to soil carbon sinks and agricultural productivity. The transition from cropland and garden land to marginal farmland is not simply a form of ecological restoration; it is associated with declines in soil fertility—particularly in organic carbon and fine particulate matter—and an increased risk of salinization. Therefore, implementing moderate agricultural management practices to prevent the expansion of marginal farmland is the most economically viable strategy for carbon sequestration in the short term. Policy incentives could support the potential for re-cultivation, while light interventions, such as cover cropping and the application of organic fertilizers, should be employed in areas already at risk of salinization. These measures can help disrupt the cycle of texture coarsening and surface salt accumulation, while also enhancing SOC content. This study provides a practical approach for conserving carbon sinks in the arid oasis agricultural regions of Northwest China and similar developing countries.

4.2. Spatial Variability Structure of Soil Organic Carbon and Its Scale Differentiation and Dominant Control Factors

Geostatistical analysis indicates that soil organic carbon (SOC) and total nitrogen (TN) exhibit strong spatial autocorrelation, characterized by a range exceeding 27 km, a nugget-to-sill ratio of less than 0.53, and an R2 value greater than 0.90. This suggests that their spatial distribution is primarily influenced by macro-scale pedogenic factors, including climate, parent material, and topography [44]. Consequently, the distribution reflects a large-scale and relatively stable gradient pattern. This characteristic implies that the total SOC within a watershed is predominantly determined by natural background factors, rendering short-term anthropogenic interventions inadequate for altering its overall distribution framework. These conclusions are consistent with the findings of Gao et al. [45], which emphasize that the spatial distribution of soil carbon and nitrogen in northern China is governed by large-scale environmental factors. Kriging interpolation maps indicate that areas with high soil organic carbon (SOC) concentrations are primarily found in the central and western regions of long-term cultivated land. In contrast, lower SOC values are associated with garden land and marginal farmland. This finding suggests that while macro-scale pedogenic factors establish the baseline SOC levels, the intensity of human activities is the most significant influence on localized variations within a 27 km range. These insights offer a solid foundation for spatial delineation in future precision management efforts.
In contrast, the spatial autocorrelation of attributes such as electrical conductivity (EC), pH, and total phosphorus (TP) is significantly weaker. These attributes exhibit low spatial association, with a nugget-to-sill ratio greater than 0.7, short ranges of less than 4 km, and reduced model fit. This implies that their variability is primarily driven by localized, high-frequency anthropogenic disturbances, including fertilization, irrigation, land leveling, and fallowing [46]. For example, the application of phosphorus fertilizer demonstrates strong plot-specific characteristics, while the spatial accumulation of salts (EC) is influenced by micro-topographical variations and differences in the quality and quantity of irrigation water. As a result, these attributes fluctuate significantly over short distances [47]. These findings align with the conclusions of Barja et al. [48], which indicate that human activities substantially increase the spatial heterogeneity of soil salinity and pH. Soil organic carbon (SOC) is predominantly influenced by natural factors at larger scales, yet it remains sensitive to localized disturbances at medium and small scales. For example, in the interspersed zones of southeastern garden lands and marginal farmland, an increase in electrical conductivity (EC) often correlates with a decline in SOC content. This finding indicates that salinization is not merely an independent degradation process; it also significantly accelerates the loss of SOC. This study quantifies, for the first time, the threshold of spatial variation in agricultural SOC in arid high-altitude regions, estimated to be approximately 27 km. This provides a theoretical basis for differentiated carbon sink management at the watershed scale.
The spatial interpolation maps clearly visualize the distribution patterns of various soil properties. A consistent spatial distribution is observed for total nitrogen (TN), and carbon-to-nitrogen (C/N) ratios, with low-value areas concentrated in the western cultivated lands and high-value areas in the southeastern cultivated regions. This pattern may be attributed to variations in water-heat conditions, soil texture, and differing cultivation histories across the watershed [49]. High concentrations of total phosphorus and clay content are primarily found in the western cultivated lands, indicating potentially more fertile soil conditions and refined agricultural management practices in this region. In contrast, high-value zones for electrical conductivity (EC) predominantly occur in the southeastern garden lands and marginal farmlands, suggesting a higher risk of salinization or specific hydrogeological conditions in these areas [50]. The spatial distribution of pH values does not show a clear correlation with land use types, possibly due to the overall alkaline background of the study area [51]. These characteristics not only validate the results of the geostatistical analysis but also underscore the need to target carbon sequestration efforts in regions most susceptible to SOC loss and with the highest potential for improvement. This approach could maximize carbon sink enhancements at minimal cost.

4.3. Coupling Relationship Between Agricultural Soil Organic Carbon and Key Soil Properties and Environmental Factors

The results of redundancy analysis (RDA) and correlation analysis reveal a strong positive correlation between soil organic carbon (SOC) and total nitrogen (TN) (r = 0.80, p < 0.01). This relationship exemplifies the typical coupling of carbon and nitrogen cycles within ecosystems and aligns with established ecological stoichiometric principles [52]. As shown by the arrows in Figure 4, SOC is positively correlated with clay and silt content while exhibiting a strong negative correlation with sand content. This finding highlights the important role of physical protection mechanisms in soil carbon stabilization, as finer soil particles typically have a larger specific surface area. This property facilitates the adsorption of organic matter and protects it from microbial decomposition. This conclusion is consistent with the theoretical framework proposed by Barnard et al. [53], which addresses the role of soil aggregates and physical protection mechanisms. Soil organic carbon (SOC) is moderately negatively correlated with electrical conductivity (EC) (r = −0.30, p < 0.01). This indicates that salinization may directly inhibit the input of soil organic carbon by affecting vegetation growth, consistent with the findings of Setia et al. [54] in arid regions. The results highlight that total nitrogen (TN) and soil texture are key factors determining SOC content.
Among the environmental factors examined, Figure 4 illustrates that soil organic carbon (SOC) has the strongest correlation with the normalized difference vegetation index (NDVI) (r = 0.44, p < 0.01). In contrast, SOC shows negligible correlation with aspect (ASP) and slope (SLP). These findings are consistent with those reported by Heikkinen et al. [55]. Soil organic carbon (SOC) exhibits a moderate positive correlation with land use type (LUT) (r = 0.29, p < 0.01). This suggests that intensive land management may enhance SOC levels through increased vegetation cover and nutrient inputs [56]. In contrast, SOC shows a moderate negative correlation with mean annual temperature (MAT) (r = −0.47, p < 0.01) and a weak positive correlation with mean annual precipitation (MAP). The negative correlation with MAT may be attributed to accelerated mineralization resulting from rising temperatures, while increased moisture supports vegetation productivity [57,58]. Additionally, elevation (EL) displays a weak positive correlation with SOC (r = 0.23, p < 0.01), which may relate to the limited topographic variation in the study area.
The first two constrained axes of the Redundancy Analysis (RDA) accounted for 88.94% of the constrained variance. Elevation (EL), mean annual evaporation (MAE), and NDVI exhibited significant independent contributions (p < 0.05), while land use type (LUT) showed marginal significance at p = 0.07. The variance inflation factors (VIF) for all variables were below 10, indicating that issues of multicollinearity in the model were effectively mitigated, thereby enhancing the reliability of the environmental factor explanations. Collectively, the environmental factors explained only 22.18% of the variation in soil properties. This highlights that approximately three-quarters of the variation remains unexplained. This unexplained variance may be due to unmeasured intrinsic soil characteristics, such as mineral composition and microbial communities, as well as the intensity of specific human activities, including fertilizer application and irrigation frequency. Additionally, stochastic processes may play a role [59]. The observed relationships suggest that in high-altitude arid regions, the dynamics of agricultural soil organic carbon (SOC) are influenced by vegetation productivity, total nitrogen (TN) content, soil texture, and salinization levels. Notably, both NDVI and TN serve as critical intervention points that can be effectively managed. This study offers a framework for understanding the associations between environmental attributes, which can aid in the development of more accurate SOC prediction models and precision management strategies. These insights lay the groundwork for identifying key factors controlling carbon sequestration in the Qaidam Basin and similar arid oasis agricultural areas.

4.4. Analysis of Key Driving Mechanisms for Soil Organic Carbon Accumulation

Building on a comprehensive understanding of the relationships between various soil properties and environmental factors, this study focuses on soil organic carbon (SOC) as a key indicator to elucidate its intrinsic driving mechanisms. SOC plays a central role within soil systems, acting as a critical link in the cycling of essential nutrients, such as nitrogen and phosphorus, and demonstrating a sensitive response to management activities, including land use changes [60]. Therefore, clarifying the driving factors of SOC offers valuable insights into the operational mechanisms of the entire agricultural soil system. This study is the first to quantitatively differentiate the direct dominant effects of nitrogen from the indirect regulatory effects of land use in high-altitude, cold, and arid oasis agricultural systems with varying intensities of reversible utilization. This research enhances the existing literature on the mechanisms driving soil organic carbon (SOC) dynamics in marginal agricultural lands in developing countries.
This study employs a comprehensive approach that combines Random Forest and Partial Least Squares Path Modeling (PLS-PM) to analyze the key driving mechanisms underlying the accumulation of soil organic carbon (SOC) in agricultural soils within the middle and lower reaches of the Bayin River basin. This study employed a combination of Random Forest and Partial Least Squares Path Modeling (PLS-PM) to thoroughly analyze the key driving mechanisms behind soil organic carbon (SOC) accumulation in the middle and lower reaches of the Bayin River basin. The Random Forest model identified total nitrogen (TN) as the most important variable for predicting SOC dynamics, with a %IncMSE of 46.58, significantly surpassing the importance of other factors. This finding aligns closely with Xu et al.’s [61] discovery regarding the constancy of the carbon-to-nitrogen ratio in soil microbial metabolism, highlighting the intricate relationship between carbon and nitrogen. The carbon-to-nitrogen ratio (C/N) and sand content ranked as the second and third most important predictors, respectively, indicating that both the chemical composition of organic matter and the physical structure of the soil are crucial factors regulating SOC stability [62].
The Partial Least Squares Path Modeling (PLS-PM) structural equation model further quantified the direct and indirect pathways through which various driving factors influence soil organic carbon (SOC), thereby revealing a more intricate causal network. The model confirmed that total nitrogen (TN) has a strong direct positive effect on soil organic carbon (SOC), with a path coefficient of 0.79 and a unique contribution rate of 39.5%. This finding highlights the importance of maintaining or enhancing soil nitrogen pools to promote carbon sequestration in management practices. To investigate potential reverse causality, this study developed a reverse model with soil organic carbon (SOC) as the predictor variable for total nitrogen (TN). The results demonstrated that the direct effect of SOC on TN was also significant, with a path coefficient of 0.61, indicating a comparable model fit to the original model. This suggests that SOC and TN exhibit a statistically significant co-variation, indicating that a unidirectional causal relationship cannot fully explain their interaction.
In general, high total nitrogen (TN) levels typically promote the mineralization of soil organic matter (SOM), leading to a decrease in soil organic carbon (SOC). Conversely, SOC accumulation is often associated with nitrogen deficiency and low biological activity. However, this study found a significant positive correlation between TN and SOC (r = 0.80, p < 0.01; path coefficient = 0.79). This relationship may be attributed to the widespread nitrogen deficiency in agricultural areas of the Qaidam Basin, where increased TN alleviates nitrogen limitations, enhances plant productivity, and increases carbon input, resulting in a net gain in SOC that outweighs potential mineralization losses. Specifically, irrigation agriculture combined with the application of organic and mineral fertilizers in the region improves the carbon-to-nitrogen (C/N) balance, promoting SOC storage rather than dominating mineralization. For instance, Sun et al. [63] reported through a meta-analysis that irrigation has a significant positive effect on SOC and TN stocks, particularly under irrigated conditions in arid and semi-arid regions. Similarly, Yan et al. [64] demonstrated through field trials that irrigation, coupled with nitrogen fertilization, positively affects crop yield and carbon input. In contrast, marginal farmland experiences a decline in both SOC and TN due to abandonment and salinization, leading to nitrogen loss and reduced carbon input. Sand content serves as a primary driving factor that indirectly regulates the entire chain by influencing land use types (LUT). This explains the relatively low total contribution of LUT in the model (approximately 10%), suggesting that LUT acts more as a mediating variable rather than a dominant factor.
The selection of model path direction is based on the regional ecological context. In arid agricultural areas where nitrogen is generally deficient, total nitrogen (TN) is more likely to be a limiting factor for soil organic carbon (SOC) accumulation. The robustness of the reverse model further supports the co-variation between SOC and TN. Additionally, land use type (LUT) acts as a mediating variable. It is influenced by the soil texture and, in turn, alters surface vegetation growth and types, which affects nitrogen cycling and indirectly regulates SOC accumulation. This finding aligns with Huang et al. [65], who concluded that changes in land use indirectly influence soil organic carbon through alterations in plant carbon input. In contrast, while the Normalized Difference Vegetation Index (NDVI) demonstrated significance in the Random Forest analysis, it showed a weak direct path to SOC in the path model. This suggests that its impact on SOC may occur indirectly through interactions with other variables. Transforming this apparent correlation into a quantitative understanding of causal pathways reveals that SOC accumulation in the study area is primarily governed by a mechanism of “synergistic dominance of nitrogen and carbon, regulated by multiple indirect pathways.” This insight carries significant implications for agricultural management in the region. Specifically, when considering carbon sequestration strategies, it is crucial to focus not only on direct carbon inputs but also on optimizing nitrogen cycling and collaboratively improving soil texture and vegetation cover as core initiatives. This mechanism offers a viable new approach for sustainable land management and carbon neutrality goals in marginal farmland across China and in arid developing countries along the Belt and Road Initiative.

5. Conclusions

(1) In the middle and lower reaches of the Bayin River Basin within the Qaidam Basin, agricultural land shows a degrading trend along a continuous and reversible gradient from cultivated land to garden land and marginal farmland. Key soil quality indicators, including soil organic carbon (SOC), total nitrogen, and clay content, exhibit a decline, while sand content increases, electrical conductivity rises, and the risk of salinization escalates. The spatial distribution of SOC and total nitrogen displays strong autocorrelation (range > 27 km), primarily influenced by macro factors such as climate and parent material. In contrast, electrical conductivity, pH, and total phosphorus are mainly governed by localized anthropogenic activities, including fertilization and irrigation.
(2) In the context of continuous land use gradients, the core driving mechanism for soil organic carbon (SOC) accumulation can be described as “total nitrogen (TN) as a direct dominant factor, with sand content influencing SOC indirectly through the land use-vegetation-nitrogen chain.” TN exhibits a strong direct positive effect on SOC, indicating a synergistic relationship between carbon and nitrogen. Sand, as an upstream driving factor, negatively impacts land use intensity. However, land use intensity positively enhances vegetation cover, which subsequently increases TN through an indirect pathway, resulting in a total positive effect on SOC. This highlights the mediating role of soil texture in land use selection and underscores the critical value of the vegetation-nitrogen chain in regulating carbon sinks within arid agricultural systems.
(3) The emergence of marginal farmland in arid regions represents not merely ecological degradation or natural recovery, but rather a complex process characterized by simultaneous losses of soil organic carbon (SOC) and total nitrogen (TN), alongside soil salinization. A small sample sensitivity analysis further verified the statistical robustness of inter-group differences. In China and many developing countries, where high salinity levels or low fertility are prevalent in marginal farmland, a strategy of abandonment should be avoided. Instead, moderate intensification of management practices should be maintained to prevent abandonment. This can be achieved particularly through the improvement of soil texture and vegetation cover, which optimizes nitrogen cycling. Such measures can facilitate both the enhancement of soil carbon sinks and the sustainable utilization of these lands, leading to a win-win situation.

Author Contributions

Conceptualization, H.X. and Y.Z.; methodology, H.X. and P.W.; software, K.L.; validation, J.H. and L.F.; formal analysis, P.W.; investigation, H.X., P.W. and L.F.; resources, R.L.; data curation, H.X. and K.L.; writing—original draft preparation, H.X.; writing—review and editing, H.X., P.W., J.H., R.L. and Y.Z.; visualization, J.H.; supervision, Y.Z.; project administration, R.L.; funding acquisition, R.L. and Y.Z. All authors have read and agreed to the published version of the manuscript.

Funding

This research was jointly funded by the Department of Science and Technology of Qinghai Province (Grant No. 2024-SF–148), Qinghai University (Grant No. 2024sldsrt04), and the Department of Natural Resources of Qinghai Province (Grant No. 63000000024T000001207). The Article Processing Charge (APC) was funded by Qinghai University.

Data Availability Statement

The data presented in this study are available on request from the corresponding authors.

Conflicts of Interest

The authors declare no conflict of interest.

References

  1. Smith, P.; Soussana, J.F.; Angers, D.; Schipper, L.; Chenu, C.; Rasse, D.P.; Batjes, N.H.; van Egmond, F.; McNeill, S.; Kuhnert, M.; et al. How to measure, report and verify soil carbon change to realize the potential of soil carbon sequestration for atmospheric greenhouse gas removal. Glob. Change Biol. 2020, 26, 219–241. [Google Scholar] [CrossRef]
  2. Smith, M.E.; Bommarco, R.; Vico, G. Rethinking Crop Rotational Benefits Under Climate Change: Beyond the Growing Season. Glob. Change Biol. 2025, 31, e70012. [Google Scholar] [CrossRef]
  3. Khan, M.T.; Supronienė, S.; Žvirdauskienė, R.; Aleinikovienė, J. Climate, Soil, and Microbes: Interactions Shaping Organic Matter Decomposition in Croplands. Agronomy 2025, 15, 1928. [Google Scholar] [CrossRef]
  4. Hassani, A.; Smith, P.; Shokri, N. Negative correlation between soil salinity and soil organic carbon variability. Proc. Natl. Acad. Sci. USA 2024, 121, e2317332121. [Google Scholar] [CrossRef] [PubMed]
  5. Gyawali, A. Biochar for soil health and climate change mitigation: A sustainable approach. Ecofeminism Clim. Change 2024, 5, 94–103. [Google Scholar] [CrossRef]
  6. Jobbágy, E.G.; Jackson, R.B. The vertical distribution of soil organic carbon and its relation to climate and vegetation. Ecol. Appl. 2000, 10, 423–436. [Google Scholar] [CrossRef]
  7. Mesfin, S.; Taye, G.; Hailemariam, M. Effects of integrated soil and water conservation measures on soil aggregate stability, soil organic matter and soil organic carbon stock of smallholder farmlands in semi-arid Northern Ethiopia. Carbon Manag. 2018, 9, 155–164. [Google Scholar] [CrossRef]
  8. Bai, X.; Huang, Y.; Ren, W.; Coyne, M.; Jacinthe, P.-A.; Tao, B.; Hui, D.; Yang, J.; Matocha, C. Responses of soil carbon sequestration to climate-smart agriculture practices: A meta-analysis. Glob. Change Biol. 2019, 25, 2591–2606. [Google Scholar]
  9. Chen, W.; Chen, K.; Wu, F. Forest gaps reduce soil organic carbon stability by decreasing fungal necromass carbon and mineral-associated organic carbon in a calcareous forest. Appl. Soil Ecol. 2025, 206, 105781. [Google Scholar]
  10. Míguez-Montero, M.A.; Valentine, A.; Pérez-Fernández, M.A. Regulatory effect of phosphorus and nitrogen on nodulation and plant performance of leguminous shrubs. AoB Plants 2020, 12, plz047. [Google Scholar] [CrossRef]
  11. Ren, Z.; Li, C.; Fu, B.; Wang, S.; Stringer, L.C. Effects of aridification on soil total carbon pools in China’s drylands. Glob. Change Biol. 2024, 30, e17091. [Google Scholar]
  12. Zhu, Y.; Guo, B.; Liu, C.; Lin, Y.; Fu, Q.; Li, N.; Li, H. Soil fertility, enzyme activity, and microbial community structure diversity among different soil textures under different land use types in coastal saline soil. J. Soils Sediments 2021, 21, 2240–2252. [Google Scholar] [CrossRef]
  13. Pandher, L.K.; Gupta, R.K.; Kukal, S.S. Soil organic carbon, its fractions and soil organic carbon stocks under different land use systems in Typic Ustrochrepts of northwest India. Trop. Ecol. 2020, 61, 258–266. [Google Scholar] [CrossRef]
  14. Feng, W.; Wang, Z.; Wang, Y. Comparable Increasing Rate of Soil Inorganic Carbon with Soil Organic Carbon after Land-Use Change Across China’s Drylands. Chemosphere 2023, 325, 138319. [Google Scholar] [CrossRef]
  15. Luo, Z.; Viscarra Rossel, R.A.; Shi, Z. Distinct controls over the temporal dynamics of soil carbon fractions after land use change. Glob. Change Biol. 2020, 26, 4614–4625. [Google Scholar] [CrossRef]
  16. Franzluebbers, A.J. Soil organic carbon sequestration and agricultural greenhouse gas emissions in the southeastern USA. Soil Tillage Res. 2005, 83, 120–147. [Google Scholar] [CrossRef]
  17. Pittelkow, C.M.; Liang, X.; Linquist, B.A.; van Groenigen, K.J.; Lee, J.; Lundy, M.E.; van Gestel, N.; Six, J.; Venterea, R.T.; van Kessel, C. Productivity limits and potentials of the principles of conservation agriculture. Nature 2015, 517, 365–368. [Google Scholar] [CrossRef] [PubMed]
  18. Wang, Y.; Li, X.; Xin, L.; Tan, M. Farmland marginalization and its drivers in mountainous areas of China. Sci. Total Environ. 2020, 719, 135132. [Google Scholar] [CrossRef] [PubMed]
  19. Woodhouse, S.P.; Good, J.E.G.; Lovett, A.A.; Fuller, R.J.; Dolman, P.M. Effects of land-use and agricultural management on birds of marginal farmland: A case study in the Llŷn peninsula, Wales. Agric. Ecosyst. Environ. 2005, 107, 331–340. [Google Scholar] [CrossRef]
  20. Mazzorato, A.C.M.; Esch, E.H.; MacDougall, A.S. Prospects for soil carbon storage on recently retired marginal farmland. Sci. Total Environ. 2022, 806, 150738. [Google Scholar]
  21. Quintas-Soriano, C.; Buerkert, A.; Plieninger, T. Effects of land abandonment on nature contributions to people and good quality of life components in the Mediterranean region: A review. Land Use Policy 2022, 116, 106053. [Google Scholar] [CrossRef]
  22. Laiskhanov, S.; Smanov, Z.; Kaimuldinova, K.; Aliaskarov, D.; Myrzaly, N. Study of the ecological and reclamation condition of abandoned saline lands and their development for sustainable development goals. Sustainability 2023, 15, 14181. [Google Scholar] [CrossRef]
  23. Gorooei, A.; Aynehband, A.; Rahnama, A.; Gaiser, T.; Kamali, B. Cropping systems and agricultural management strategies affect soil organic carbon dynamics in semi-arid regions. Front. Sustain. Food Syst. 2023, 6, 1016000. [Google Scholar] [CrossRef]
  24. Liu, S.; Li, F.; Zhang, Q.; Li, Z.; Tian, C.; Qiao, Y.; Du, K.; Cheng, H.; Chen, G.; Li, X. Soil salinity weakening and soil quality enhancement after long-term reclamation of different croplands in the Yellow River Delta. Sustainability 2023, 15, 1173. [Google Scholar] [CrossRef]
  25. Zeng, F.; Zhang, X.; Zhan, T.; Zhang, Z.; Chen, L.; Chen, L.; Ji, M. Rapid warming and increasing moisture levels in the qaidam basin. Theor. Appl. Climatol. 2024, 155, 7121–7132. [Google Scholar]
  26. Zhang, B.; Zhao, D.; Zhou, P.; Qu, S.; Liao, F.; Wang, G. Hydrochemical characteristics of groundwater and dominant water–rock interactions in the Delingha Area, Qaidam Basin, Northwest China. Water 2020, 12, 836. [Google Scholar] [CrossRef]
  27. Zhang, X.; Chen, J.; Chen, J.; Ma, F.; Wang, T. Lake expansion under the Groundwater contribution in Qaidam Basin, China. Remote Sens. 2022, 14, 1756. [Google Scholar] [CrossRef]
  28. Gonçalves, J.R.M.R.; Ferraz, G.A.S.; Reynaldo, É.F.; Marin, D.B.; Ferraz, P.F.P. Comparative economic analysis of soil sampling methods used in precision agriculture. An. Acad. Bras. Ciências 2020, 92, e20190277. [Google Scholar] [CrossRef]
  29. Bougiouklis, J.N.; Barouchas, P.E.; Petropoulos, P.; Tsesmelis, D.E.; Moustakas, N. Precision soil sampling strategy for the delineation of management zones in olive cultivation using unsupervised machine learning methods. Sci. Rep. 2025, 15, 8253. [Google Scholar] [CrossRef]
  30. Laoufi, H.; Bachir, H.; Hadj-Miloud, S.; Clark, K. Comparative Assessment of Three Methods for Soil Organic Matter Determination in Calcareous Soils, Eastern Algeria. Land 2025, 14, 2030. [Google Scholar] [CrossRef]
  31. Hsu, S.L.; Hung, J.; Wallace, A. Soil pH variation within a soil. II. pH variation in a neutral and an alkaline soil. Commun. Soil Sci. Plant Anal. 2004, 35, 331–336. [Google Scholar] [CrossRef]
  32. Spiteri, K.; Sacco, A.T. Estimating the electrical conductivity of a saturated soil paste extract (ECe) from 1:1(EC1:1), 1:2(EC1:2) and 1:5(EC1:5) soil:water suspension ratios, in calcareous soils from the Mediterranean Islands of Malta. Commun. Soil Sci. Plant Anal. 2024, 55, 1302–1312. [Google Scholar] [CrossRef]
  33. Moreno-Maroto, J.M.; Alonso-Azcárate, J. Evaluation of the USDA soil texture triangle through Atterberg limits and an alternative classification system. Appl. Clay Sci. 2022, 229, 106689. [Google Scholar] [CrossRef]
  34. Zhao, H.; Li, J.; Yuan, Q.; Lin, L.; Yue, L.; Xu, H. Downscaling of soil moisture products using deep learning: Comparison and analysis on Tibetan Plateau. J. Hydrol. 2022, 607, 127570. [Google Scholar] [CrossRef]
  35. Koo, H.; Chun, Y.; Griffith, D.A. Integrating spatial data analysis functionalities in a GIS environment: Spatial Analysis using ArcGIS Engine and R (SAAR). Trans. GIS 2018, 22, 721–736. [Google Scholar] [CrossRef] [PubMed]
  36. He, J.; Yang, K.; Tang, W.; Lu, H.; Qin, J.; Chen, Y.; Li, X. The first high-resolution meteorological forcing dataset for land process studies over China. Sci. Data 2020, 7, 25. [Google Scholar] [CrossRef]
  37. Anthony, T.; Nkwunonwo, U.; Emmanuel, A.; Ganiyu, O. Environmental and geostatistical modelling of soil properties toward precision agriculture. Discov. Soil 2025, 2, 59. [Google Scholar] [CrossRef]
  38. Wang, Q.; Xu, Y.; Zhu, G.; Jiao, Y.; Qiu, D.; Lu, S.; Yang, J.; Chen, L.; Meng, G.; Li, R. Terraced fields increased soil organic carbon content in croplands of the loess plateau. Sci. Rep. 2025, 15, 36020. [Google Scholar] [CrossRef] [PubMed]
  39. Zhang, F.H.; Yang, H.C.; Gale, W.J.; Cheng, Z.B.; Yan, J.H. Temporal changes in soil organic carbon and aggregate-associated organic carbon after reclamation of abandoned, salinized farmland. J. Agric. Sci. 2017, 155, 205–215. [Google Scholar] [CrossRef]
  40. Liu, M.; Han, G. Alterations of ecosystem nitrogen status following agricultural land abandonment in the Karst Critical Zone Observatory (KCZO), Southwest China. PeerJ 2023, 11, e14790. [Google Scholar] [CrossRef]
  41. Eckhoff, K.D.; Reed, S.C.; Bradford, J.B.; Daly, N.C.; Griffen, K.; Reibold, R.; Lupardus, R.; Munson, S.M.; Sengsirirak, A.; Villarreal, M.L. Dryland soil recovery after disturbance across soil and climate gradients of the Colorado Plateau. Sci. Total Environ. 2024, 932, 172976. [Google Scholar] [CrossRef] [PubMed]
  42. Zong, R.; Tan, M.; Han, Y.; Zou, R.; Wang, Z. Changes in soil microbial community following the conversion of wasteland to cotton land in saline-sodic region of Northwest China. Appl. Soil Ecol. 2022, 174, 104424. [Google Scholar] [CrossRef]
  43. Schweizer, S.A.; Mueller, C.W.; Höschen, C.; Ivanov, P.; Kögel-Knabner, I. The role of clay content and mineral surface area for soil organic carbon storage in an arable toposequence. Biogeochemistry 2021, 156, 401–420. [Google Scholar] [CrossRef]
  44. Wang, X.; Li, Y.; Duan, Y.; Wang, L.; Niu, Y.; Li, X.; Yan, M. Spatial variability of soil organic carbon and Total nitrogen in desert steppes of China’s Hexi corridor. Front. Environ. Sci. 2021, 9, 761313. [Google Scholar] [CrossRef]
  45. Gao, P.; Wang, B.; Geng, G.P.; Zhang, G.C. Spatial distribution of soil organic carbon and total nitrogen based on GIS and geostatistics in a small watershed in a hilly area of northern China. PLoS ONE 2013, 8, e83592. [Google Scholar]
  46. Álvarez-Herrera, J.G.; Jaime-Guerrero, M.; Fernández-Pérez, C.J. Spatial Variability and Geostatistical Modeling of Soil Physical Properties Under Eucalyptus globulus Plantations. Geomatics 2025, 5, 41. [Google Scholar] [CrossRef]
  47. Singh, S.K.; Tagung, T.; Kumar, A.; Singh, P.; Singh, H.; Kashiwar, S.R.; Tiwari, S.; Singh, A.K.; Kumari, S.; Singh, Y.V. Geo Spatial Assessment and Micronutrient Mapping of Calcareous Soils in Muzaffarpur District, Bihar, India. J. Sci. Res. Rep. 2024, 30, 155–165. [Google Scholar] [CrossRef]
  48. Barja, A.; Pizarro, S. Ensemble Machine Learning for Digital Mapping of Soil pH and Electrical Conductivity in the Andean Agroecosystem of Peru. Front. Soil Sci. 2025, 5, 1673628. [Google Scholar] [CrossRef]
  49. Oladele, O.; Braimoh, A. Potential of agricultural land management activities for increased soil carbon sequestration in Africa-a review. Appl. Ecol. Environ. Res. 2014, 12, 741–751. [Google Scholar] [CrossRef]
  50. Tibhirine, Z.; Namr, K.I.; Bouasria, A.; El Bourhrami, B.E.; Ettayeb, H. Geospatial and temporal assessment of the variability of soil organic matter and electrical conductivity in irrigated semi-arid area. Geol. Ecol. Landsc. 2025, 9, 161–172. [Google Scholar] [CrossRef]
  51. Mosley, L.M.; Rengasamy, P.; Fitzpatrick, R. Soil pH: Techniques, challenges and insights from a global dataset. Eur. J. Soil Sci. 2024, 75, e70021. [Google Scholar] [CrossRef]
  52. Tong, R.; Wu, T.; Jiang, B.; Wang, Z.; Xie, B.; Zhou, B. Soil carbon, nitrogen, and phosphorus stoichiometry and its influencing factors in Chinese fir plantations across subtropical China. Front. For. Glob. Change 2023, 5, 1086328. [Google Scholar] [CrossRef]
  53. Barnard, M.; Dalal, R.C.; Weng, Z.H.; Schweizer, S.A.; Kopittke, P.M. Physicochemical protection is more important than chemical functional composition in controlling soil organic carbon retention following long-term land-use change. Geoderma 2024, 452, 117098. [Google Scholar] [CrossRef]
  54. Setia, R.; Marschner, P.; Baldock, J.; Chittleborough, D.; Smith, P.; Smith, J. Salinity effects on carbon mineralization in soils of varying texture. Soil Biol. Biochem. 2011, 43, 1908–1916. [Google Scholar] [CrossRef]
  55. Heikkinen, J.; Keskinen, R.; Ylivainio, K. Defining critical SOC/clay thresholds for soil health in boreal croplands using satellite-based NDVI proxies for productivity and resilience. Agric. Food Sci. 2025, 34, 62–69. [Google Scholar] [CrossRef]
  56. Shafizadeh-Moghadam, H.; Minaei, F.; Talebi-khiavi, H.; Xu, T.; Homaee, M. Synergetic use of multi-temporal Sentinel-1, Sentinel-2, NDVI, and topographic factors for estimating soil organic carbon. CATENA 2022, 212, 106077. [Google Scholar] [CrossRef]
  57. Xu, W.; Li, W.; Jiang, P.; Wang, H.; Bai, E. Distinct temperature sensitivity of soil carbon decomposition in forest organic layer and mineral soil. Sci. Rep. 2014, 4, 6512. [Google Scholar] [CrossRef]
  58. Rutere, C.; Posselt, M.; Horn, M.A. Fate of trace organic compounds in hyporheic zone sediments of contrasting organic carbon content and impact on the microbiome. Water 2020, 12, 3518. [Google Scholar] [CrossRef]
  59. Wang, L.; Wang, Y.; Wu, X.; Guo, J.; Zhou, J. Decipher soil organic carbon density dynamics, driving forces and future stability across Southwest China. Geoderma 2025, 463, 117537. [Google Scholar] [CrossRef]
  60. Liu, R.J.; Li, Z.C.; Wu, Y.C.; Cheng, C. Comparison of Soil Liable Organic Carbon in Secondary Forests and Chinese Fir Plantations. Adv. Mater. Res. 2013, 726, 3912–3917. [Google Scholar] [CrossRef]
  61. Xu, C.; Xu, X.; Ju, C.; Chen, H.Y.H.; Wilsey, B.J.; Luo, Y.; Fan, W. Long-term, amplified responses of soil organic carbon to nitrogen addition worldwide. Glob. Change Biol. 2021, 27, 1170–1180. [Google Scholar] [CrossRef] [PubMed]
  62. Zhou, G.; Xu, S.; Ciais, P.; Manzoni, S.; Fang, J.; Yu, G.; Tang, X.; Zhou, P.; Wang, W.; Yan, J. Climate and litter C/N ratio constrain soil organic carbon accumulation. Natl. Sci. Rev. 2019, 6, 746–757. [Google Scholar] [CrossRef] [PubMed]
  63. Sun, W.; He, Z.; Ma, D.; Liu, B.; Li, R.; Wang, S.; Malekian, A. Response of soil carbon and nitrogen stocks to irrigation-A global meta-analysis. Sci. Total Environ. 2024, 957, 177641. [Google Scholar] [CrossRef] [PubMed]
  64. Yan, Z.; Zhang, W.; Wang, Q.; Liu, E.; Sun, D.; Liu, B.; Liu, X.; Mei, X. Changes in soil organic carbon stocks from reducing irrigation can be offset by applying organic fertilizer in the North China Plain. Agric. Water Manag. 2022, 266, 107539. [Google Scholar] [CrossRef]
  65. Huang, Y.; Liang, C.; Duan, X.; Chen, H.; Li, D. Variation of microbial residue contribution to soil organic carbon sequestration following land use change in a subtropical karst region. Geoderma 2019, 353, 340–346. [Google Scholar] [CrossRef]
Figure 1. Distribution of the study area and sampling points.
Figure 1. Distribution of the study area and sampling points.
Agronomy 16 00533 g001
Figure 2. Changes in Soil Properties of Agricultural Land in the Middle and Lower Reaches of the Bayin River Basin. Note: SOC, soil organic carbon; TN, total nitrogen in soil; TP, total phosphorus in soil; C/N, soil carbon-to-nitrogen ratio; Clay, soil clay particles; Silt, soil silt particles; Sand, soil sand particles; EC, electrical conductivity. The box plots in the figure illustrate the distribution of soil properties across cropland, plantations, and marginal farmland. The upper and lower boundaries of the box represent the upper quartile and lower quartile, respectively. The horizontal line within the box indicates the median. The whiskers extend upward and downward to the maximum and minimum values within 1.5 times the interquartile range. Different letters (a, b) denote significant differences based on the Kruskal—Wallis test and post hoc multiple comparisons (Dunn’s test) with a significance level of p < 0.05.
Figure 2. Changes in Soil Properties of Agricultural Land in the Middle and Lower Reaches of the Bayin River Basin. Note: SOC, soil organic carbon; TN, total nitrogen in soil; TP, total phosphorus in soil; C/N, soil carbon-to-nitrogen ratio; Clay, soil clay particles; Silt, soil silt particles; Sand, soil sand particles; EC, electrical conductivity. The box plots in the figure illustrate the distribution of soil properties across cropland, plantations, and marginal farmland. The upper and lower boundaries of the box represent the upper quartile and lower quartile, respectively. The horizontal line within the box indicates the median. The whiskers extend upward and downward to the maximum and minimum values within 1.5 times the interquartile range. Different letters (a, b) denote significant differences based on the Kruskal—Wallis test and post hoc multiple comparisons (Dunn’s test) with a significance level of p < 0.05.
Agronomy 16 00533 g002aAgronomy 16 00533 g002b
Figure 3. Spatial Distribution of Soil Properties in Agricultural Land in the Middle and Lower Reaches of the Bayin River Basin. Note: SOC, soil organic carbon; TN, total nitrogen in soil; TP, total phosphorus in soil; C/N, soil carbon-to-nitrogen ratio; Clay, soil clay particles; Silt, soil silt particles; Sand, soil sand particles; EC, electrical conductivity.
Figure 3. Spatial Distribution of Soil Properties in Agricultural Land in the Middle and Lower Reaches of the Bayin River Basin. Note: SOC, soil organic carbon; TN, total nitrogen in soil; TP, total phosphorus in soil; C/N, soil carbon-to-nitrogen ratio; Clay, soil clay particles; Silt, soil silt particles; Sand, soil sand particles; EC, electrical conductivity.
Agronomy 16 00533 g003aAgronomy 16 00533 g003b
Figure 4. Redundancy Analysis of Land Use Types, Environmental Factors and Soil Properties. Note: SOC, soil organic carbon; TN, total nitrogen in soil; TP, total phosphorus in soil; C/N, soil carbon-to-nitrogen ratio; Clay, soil clay particles; Silt, soil silt particles; Sand, soil sand particles; EC, electrical conductivity; EL, altitude; ASP, aspect; SLP, slope; MAE, annual average evaporation; MAT, annual average temperature; NDVI, normalized vegetation index.; LUT, Land Use Types.
Figure 4. Redundancy Analysis of Land Use Types, Environmental Factors and Soil Properties. Note: SOC, soil organic carbon; TN, total nitrogen in soil; TP, total phosphorus in soil; C/N, soil carbon-to-nitrogen ratio; Clay, soil clay particles; Silt, soil silt particles; Sand, soil sand particles; EC, electrical conductivity; EL, altitude; ASP, aspect; SLP, slope; MAE, annual average evaporation; MAT, annual average temperature; NDVI, normalized vegetation index.; LUT, Land Use Types.
Agronomy 16 00533 g004
Figure 5. Correlation analysis of environmental factors and soil properties. Note: SOC, soil organic carbon; TN, total nitrogen in soil; TP, total phosphorus in soil; C/N, soil carbon-to-nitrogen ratio; Clay, soil clay particles; Silt, soil silt particles; Sand, soil sand particles; EC, electrical conductivity; EL, altitude; ASP, aspect; SLP, slope; MAP, annual average rainfall; MAE, annual average evaporation; MAT, annual average temperature; NDVI, normalized vegetation index.; LUT, land use type. Here, * indicates a significance level of p < 0.05, and ** indicates a significance level of p < 0.01.
Figure 5. Correlation analysis of environmental factors and soil properties. Note: SOC, soil organic carbon; TN, total nitrogen in soil; TP, total phosphorus in soil; C/N, soil carbon-to-nitrogen ratio; Clay, soil clay particles; Silt, soil silt particles; Sand, soil sand particles; EC, electrical conductivity; EL, altitude; ASP, aspect; SLP, slope; MAP, annual average rainfall; MAE, annual average evaporation; MAT, annual average temperature; NDVI, normalized vegetation index.; LUT, land use type. Here, * indicates a significance level of p < 0.05, and ** indicates a significance level of p < 0.01.
Agronomy 16 00533 g005
Figure 6. The relative importance of environmental factors on soil organic carbon. Note: TN, total nitrogen in soil; TP, total phosphorus in soil; C/N, soil carbon-to-nitrogen ratio; Clay, soil clay particles; Silt, soil silt particles; Sand, soil sand particles; EC, electrical conductivity; EL, altitude; ASP, aspect; SLP, slope; MAP, annual average rainfall; MAE, annual average evaporation; MAT, annual average temperature; NDVI, normalized vegetation index.; LUT, land use type. Here, * indicates a significance level of p < 0.05, and ** indicates a significance level of p < 0.01.
Figure 6. The relative importance of environmental factors on soil organic carbon. Note: TN, total nitrogen in soil; TP, total phosphorus in soil; C/N, soil carbon-to-nitrogen ratio; Clay, soil clay particles; Silt, soil silt particles; Sand, soil sand particles; EC, electrical conductivity; EL, altitude; ASP, aspect; SLP, slope; MAP, annual average rainfall; MAE, annual average evaporation; MAT, annual average temperature; NDVI, normalized vegetation index.; LUT, land use type. Here, * indicates a significance level of p < 0.05, and ** indicates a significance level of p < 0.01.
Agronomy 16 00533 g006
Figure 7. Structure diagram of soil organic carbon driving factors. Note: SOC, Soil Organic Carbon; TN, Total Soil Nitrogen; Sand, Soil Sand Content; NDVI, Normalized Difference Vegetation Index; LUT, land use type. R2 represents the proportion of the total variation in the dependent variable explained by the independent variables, and GOF indicates the goodness of fit of the entire model (GOF > 0.5). The significance levels for each predictor variable are *** p < 0.001.
Figure 7. Structure diagram of soil organic carbon driving factors. Note: SOC, Soil Organic Carbon; TN, Total Soil Nitrogen; Sand, Soil Sand Content; NDVI, Normalized Difference Vegetation Index; LUT, land use type. R2 represents the proportion of the total variation in the dependent variable explained by the independent variables, and GOF indicates the goodness of fit of the entire model (GOF > 0.5). The significance levels for each predictor variable are *** p < 0.001.
Agronomy 16 00533 g007
Figure 8. The relative importance of environmental factors on total nitrogen in soil. Note: SOC, soil organic carbon; TP, total phosphorus in soil; C/N, soil carbon-to-nitrogen ratio; Clay, soil clay particles; Silt, soil silt particles; Sand, soil sand particles; EC, electrical conductivity; EL, altitude; ASP, aspect; SLP, slope; MAP, annual average rainfall; MAE, annual average evaporation; MAT, annual average temperature; NDVI, normalized vegetation index.; LUT, land use type.
Figure 8. The relative importance of environmental factors on total nitrogen in soil. Note: SOC, soil organic carbon; TP, total phosphorus in soil; C/N, soil carbon-to-nitrogen ratio; Clay, soil clay particles; Silt, soil silt particles; Sand, soil sand particles; EC, electrical conductivity; EL, altitude; ASP, aspect; SLP, slope; MAP, annual average rainfall; MAE, annual average evaporation; MAT, annual average temperature; NDVI, normalized vegetation index.; LUT, land use type.
Agronomy 16 00533 g008
Figure 9. Structure diagram of the driving factors of total nitrogen in soil. Note: SOC, Soil Organic Carbon; TN, Total Soil Nitrogen; Sand, Soil Sand Content; NDVI, Normalized Difference Vegetation Index; LUT, land use type. R2 represents the proportion of the total variation in the dependent variable explained by the independent variables, and GOF indicates the goodness of fit of the entire model (GOF > 0.5). The significance levels for each predictor variable are ** p < 0.01, *** p < 0.001.
Figure 9. Structure diagram of the driving factors of total nitrogen in soil. Note: SOC, Soil Organic Carbon; TN, Total Soil Nitrogen; Sand, Soil Sand Content; NDVI, Normalized Difference Vegetation Index; LUT, land use type. R2 represents the proportion of the total variation in the dependent variable explained by the independent variables, and GOF indicates the goodness of fit of the entire model (GOF > 0.5). The significance levels for each predictor variable are ** p < 0.01, *** p < 0.001.
Agronomy 16 00533 g009
Table 1. Descriptive statistics of soil indicators.
Table 1. Descriptive statistics of soil indicators.
NormTotalMeanSDMax.Min.CV (%)SkewnessKurtosisDT
SOC (g·kg−1)1255.361.7711.002.0533.060.740.38N
TN (g·kg−1)1250.940.371.830.3139.240.35−0.66N
TP (g·kg−1)1250.610.171.280.228.540.291.93N
C/N1256.111.7113.182.5728.021.081.98NN
Clay (%)1256.842.3714.563.0334.691.131.66NN
Silt (%)12539.106.0952.317.715.57−0.600.81N
Sand (%)12554.057.5078.8233.4713.880.140.71N
EC (dS m−1)1251.051.409.320.12133.303.1412.16NN
pH1257.960.318.746.873.88−0.981.42NN
Note: Min., minimum value; Max., maximum value; SD, standard deviation; CV, coefficientof variation; DT, distribution type; N, normal distribution; NN, abnormal distribution; SOC, TN, TP, Clay, Silt and Sand represent soil organic carbon, total nitrogen, total phosphorus, the proportion of clay, silt and sand particles in the soil, respectively, the same below.
Table 2. Statistical Parameters of Soil Indicators.
Table 2. Statistical Parameters of Soil Indicators.
Soil PropertyModelNugget Value (C0)Sill Value (C0 + C)Nugget-to-Sill Ratio (C0/C0 + C)100%Range (km)Coefficient of Determination (R2)Residual (RSS)
SOCLinear0.11260.17250.37429.980.9052.79 × 10−4
TNGaussian0.02390.05080.53027.310.9434.18 × 10−5
TPExponential0.00080.01150.9283.870.7986.95 × 10−7
C/NExponential0.07980.26760.70221.330.6592.63 × 10−3
ClayExponential0.13300.45100.70520.090.8014.35 × 10−3
CiltExponential0.18400.57900.64521.330.7396.13 × 10−3
SandExponential0.16000.71600.77721.330.7956.96 × 10−3
ECGaussian0.21101.57800.86615.770.8937.39 × 10−3
pHSpherical3.1 × 10−33.07 × 10−30.9900.170.3463.33 × 10−7
Note: SOC, soil organic carbon; TN, total nitrogen in soil; TP, total phosphorus in soil; C/N, soil carbon-to-nitrogen ratio; Clay, soil clay particles; Silt, soil silt particles; Sand, soil sand particles; EC, electrical conductivity.
Table 3. The RDA results of soil properties and environmental factors.
Table 3. The RDA results of soil properties and environmental factors.
Environmental FactorsELSLPASPMAEMATNDVILUT
f0.5510.0990.0190.410.080.710.127
P0.0010.1540.9010.0010.2450.0010.070
VIF5.5831.3251.2383.8546.5681.2893.839
Note: f represents the marginal explanatory contribution of environmental factors; P indicates the significance level based on permutation test; VIF represents the variance inflation factor (VIF > 10 indicates severe multicollinearity). EL, altitude; ASP, aspect; SLP, slope; MAE, annual average evaporation; MAT, annual average temperature; NDVI, normalized vegetation index.; LUT, land use type.
Table 4. Bootstrap validation of the driving factor model of soil organic carbon.
Table 4. Bootstrap validation of the driving factor model of soil organic carbon.
PathMean. BootSELower Limit of the 95% Confidence IntervalUpper Limit of the 95% Confidence Intervalp Value
Sand -> LUT−0.2970.085−0.452−0.1230.0007
Sand -> NDVI−0.2580.082−0.412−0.0910.0021
Sand -> TN−0.4080.059−0.523−0.2937.71 × 10−8
Sand -> SOC−0.0260.087−0.1920.1380.6904
LUT -> NDVI0.3480.0680.2170.4935.03 × 10−5
LUT -> SOC0.0120.037−0.0590.0870.8341
NDVI -> TN0.4220.0690.2860.5472.83 × 10−8
NDVI -> SOC−0.0240.072−0.1700.1130.7051
TN -> SOC0.7930.0860.6250.9467.62 × 10−19
Note: The p-values are limited to the direct paths; Mean. Boot represents the bootstrap mean; SE (Std. Error) stands for standard error; for bootstrap, significance can be determined by whether the CI does not contain 0.
Table 5. The influence of different factors on soil organic carbon.
Table 5. The influence of different factors on soil organic carbon.
Latent VariableDirect ImpactIndirect InfluenceOverall ImpactContribution (%)
TN0.7900.7946.75
LUT−0.03−0.44−0.4727.81
Sand−0.030.340.3118.34
NDVI0.010.110.127.10
Note: TN, Total Soil Nitrogen; Sand, Soil Sand Content; NDVI, Normalized Difference Vegetation Index; LUT, land use type. The direct influence is the path coefficient between two variables, the indirect influence is the sum of the products of the relevant path coefficients, the total influence is the sum of the direct and indirect influences, and the relative contribution rate is the absolute value of the total effect as a proportion.
Table 6. Bootstrap validation of the soil total nitrogen driving factor model.
Table 6. Bootstrap validation of the soil total nitrogen driving factor model.
PathMean. BootSELower Limit of the 95% Confidence IntervalUpper Limit of the 95% Confidence Intervalp Value
Sand -> LUT−0.2910.086−0.450−0.1080.0007
Sand -> NDVI−0.2590.084−0.419−0.0980.0021
Sand -> SOT−0.3520.079−0.503−0.1940.31 × 10−4
Sand -> TN−0.1910.054−0.293−0.0860.0009
LUT -> NDVI0.3480.0680.2120.4825.03 × 10−5
LUT -> TN0.0210.038−0.0550.0980.6826
NDVI -> SOC0.3160.0730.1670.4470.0002
NDVI -> TN0.2270.0600.1160.3460.0002
SOC -> TN0.6020.0660.4680.7237.62 × 10−19
Note: The p-values are limited to the direct paths; Mean. Boot represents the bootstrap mean; SE (Std. Error) stands for standard error; for bootstrap, significance can be determined by whether the CI does not contain 0.
Table 7. The influence of different factors on the total nitrogen content of the soil.
Table 7. The influence of different factors on the total nitrogen content of the soil.
Latent VariableDirect ImpactIndirect InfluenceOverall ImpactContribution (%)
SOC0.6100.6134.75
Sand−0.19−0.37−0.5632.05
NDVI0.230.190.4123.68
LUT0.020.140.179.52
Note: SOC, Soil Organic Carbon; Sand, Soil Sand Content; NDVI, Normalized Difference Vegetation Index; LUT, land use type. The direct influence is the path coefficient between two variables, the indirect influence is the sum of the products of the relevant path coefficients, the total influence is the sum of the direct and indirect influences, and the relative contribution rate is the absolute value of the total effect as a proportion.
Table 8. Results of self-sampling sensitivity analysis.
Table 8. Results of self-sampling sensitivity analysis.
Soil PropertyComparable GroupBootstrap Mean DifferenceLower Limit of 95% Confidence IntervalUpper Limit of the 95% Confidence IntervalCI TypeSignificance
SOC (g·kg−1)Cropland vs. Marginal FarmlandNaN1.772.84bcaYES
Plantation vs. Marginal FarmlandNaN1.172.37bcaYES
TN (g·kg−1)Cropland vs. Marginal FarmlandNaN0.460.64bcaYES
Plantation vs. Marginal FarmlandNaN0.330.47bcaYES
TP (g·kg−1)Cropland vs. Marginal FarmlandNaN0.230.39bcaYES
Plantation vs. Marginal FarmlandNaN0.020.19bcaYES
C/NCropland vs. Marginal FarmlandNaN−2.48−0.92bcaYES
Plantation vs. Marginal FarmlandNaN−2.59−1.04bcaYES
Caly (%)Cropland vs. Marginal FarmlandNaN1.613.72bcaYES
Plantation vs. Marginal FarmlandNaN1.023.15bcaYES
Silt (%)Cropland vs. Marginal FarmlandNaN3.2113.43bcaYES
Plantation vs. Marginal FarmlandNaN1.6512.31bcaYES
Sand (%)Cropland vs. Marginal FarmlandNaN−16.26−6.23bcaYES
Plantation vs. Marginal FarmlandNaN−14.84−4.04bcaYES
EC (dS m−1)Cropland vs. Marginal FarmlandNaN−5.84−0.55bcaYES
Plantation vs. Marginal FarmlandNaN−5.160.06bcaNO
pHCropland vs. Marginal FarmlandNaN−0.290.51bcaNO
Plantation vs. Marginal FarmlandNaN−0.710.18bcaNO
Note: Bootstrap mean differences were calculated based on 5000 resamplings; in a few cases, the mean was NaN due to extreme resampling values, but this did not affect the calculation of the confidence interval; if the 95% CI did not include 0, it was considered significant (equivalent to p < 0.05). The analysis confirmed the robustness of the original conclusion. Although the sample size of marginal farmland was small, it did not change the judgment of the main soil degradation trend.
Disclaimer/Publisher’s Note: The statements, opinions and data contained in all publications are solely those of the individual author(s) and contributor(s) and not of MDPI and/or the editor(s). MDPI and/or the editor(s) disclaim responsibility for any injury to people or property resulting from any ideas, methods, instructions or products referred to in the content.

Share and Cite

MDPI and ACS Style

Xu, H.; Wang, P.; Lu, K.; Hao, J.; Feng, L.; Li, R.; Zhang, Y. From Cropland to Marginal Farmland: Spatial Heterogeneity of Soil Organic Carbon and Multi-Pathway Driving Mechanisms in Arid Inland River Basins. Agronomy 2026, 16, 533. https://doi.org/10.3390/agronomy16050533

AMA Style

Xu H, Wang P, Lu K, Hao J, Feng L, Li R, Zhang Y. From Cropland to Marginal Farmland: Spatial Heterogeneity of Soil Organic Carbon and Multi-Pathway Driving Mechanisms in Arid Inland River Basins. Agronomy. 2026; 16(5):533. https://doi.org/10.3390/agronomy16050533

Chicago/Turabian Style

Xu, Hao, Pengquan Wang, Kesi Lu, Jia Hao, Lingzheng Feng, Runjie Li, and Yongkun Zhang. 2026. "From Cropland to Marginal Farmland: Spatial Heterogeneity of Soil Organic Carbon and Multi-Pathway Driving Mechanisms in Arid Inland River Basins" Agronomy 16, no. 5: 533. https://doi.org/10.3390/agronomy16050533

APA Style

Xu, H., Wang, P., Lu, K., Hao, J., Feng, L., Li, R., & Zhang, Y. (2026). From Cropland to Marginal Farmland: Spatial Heterogeneity of Soil Organic Carbon and Multi-Pathway Driving Mechanisms in Arid Inland River Basins. Agronomy, 16(5), 533. https://doi.org/10.3390/agronomy16050533

Note that from the first issue of 2016, this journal uses article numbers instead of page numbers. See further details here.

Article Metrics

Back to TopTop