A High Proportion of Basal Nitrogen Application Mitigates Straw Return-Induced Nitrogen Immobilization and Sustains Winter Wheat Yield on the Jianghan Plain
Abstract
1. Introduction
2. Materials and Methods
2.1. Field Trials
2.2. Measurements and Data Collection
2.3. Statistical Analysis
3. Results
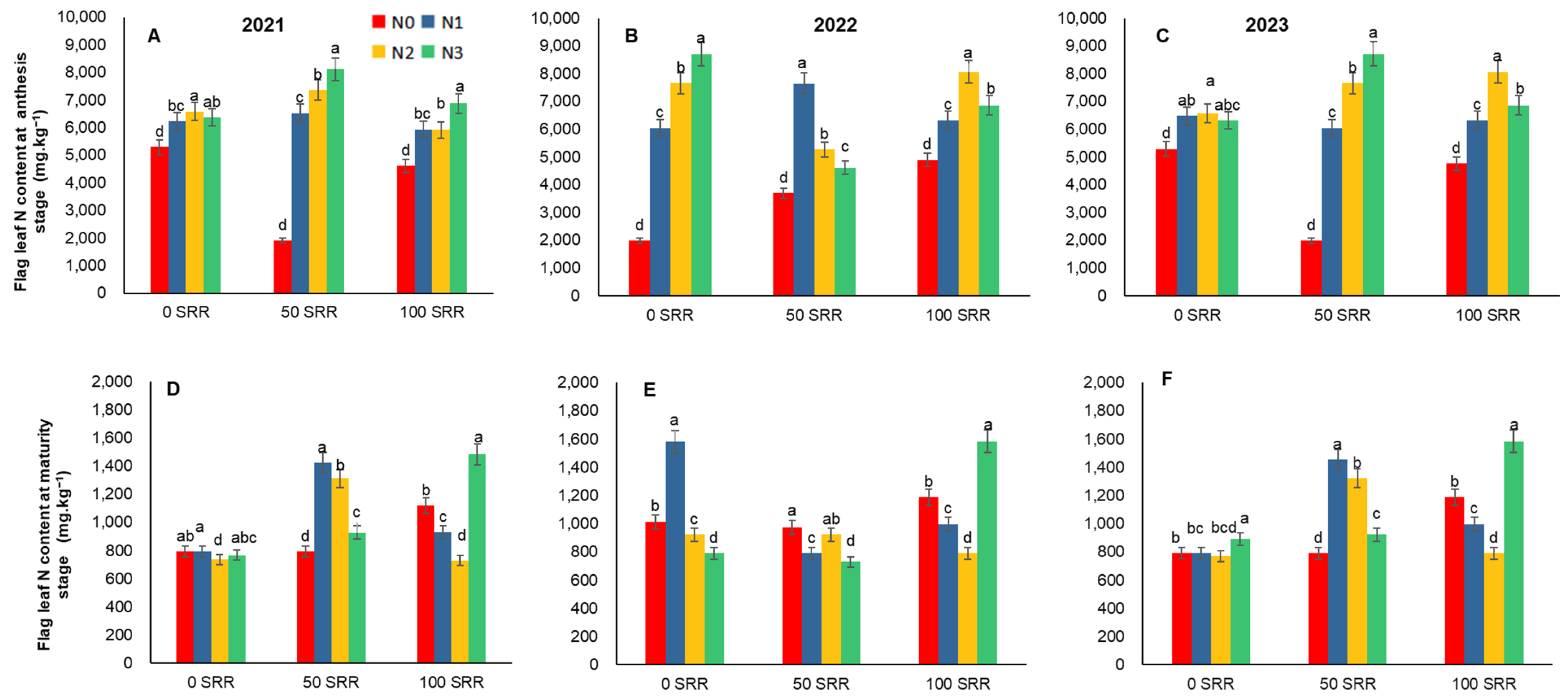
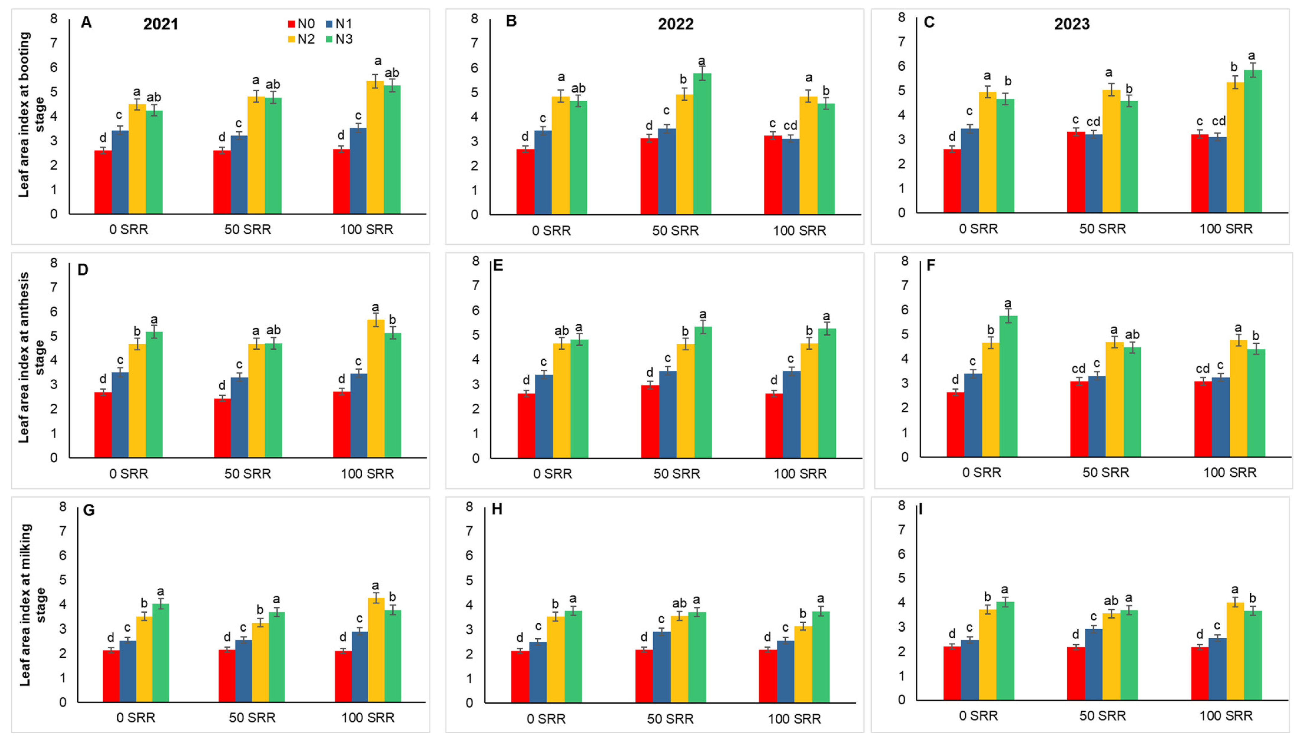
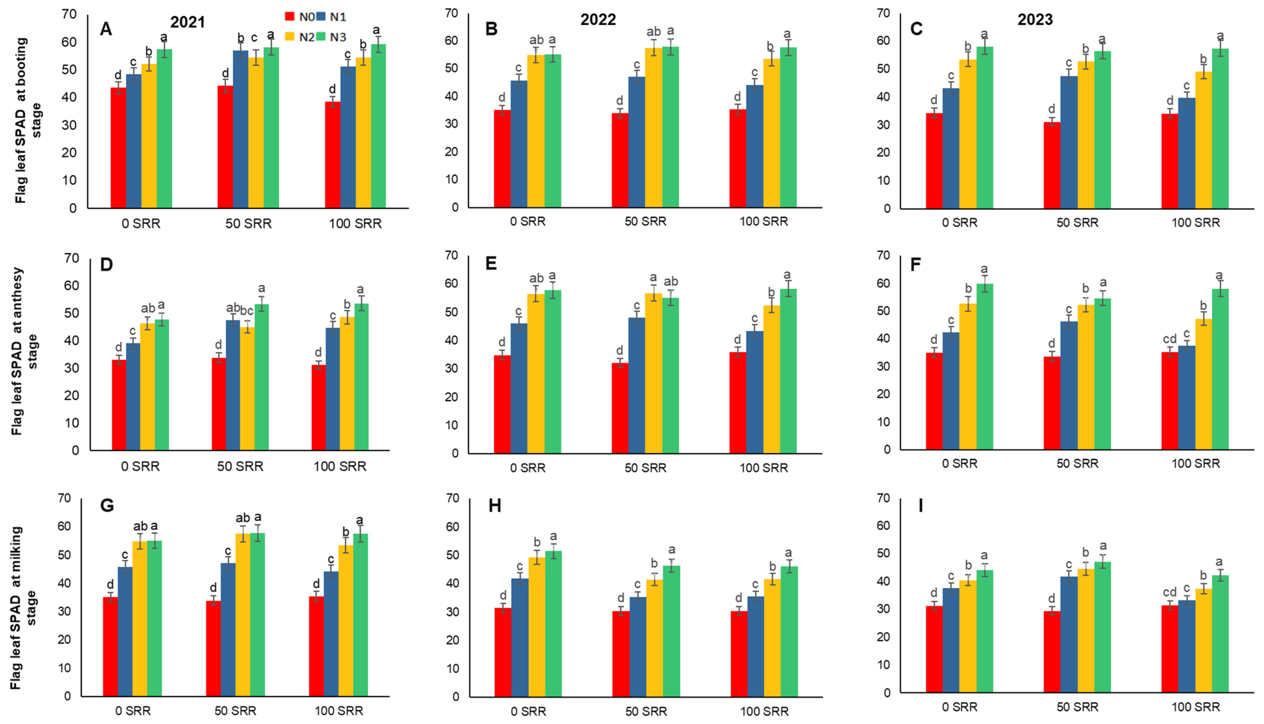
3.1. Effects of N Application and SRR on Leaf Area Index, Chlorophyll Contents (SPAD), and Plant N Contents
3.2. Effects of N Application Rate and Timing and SRR on Grain Yield and Yield Components
3.3. Influence of SRR and N Application Rate and Timing on Soil Physico-Chemical Properties
4. Discussion
4.1. N Application Determines Canopy and Tiller Development While SRR Modulates N Availability
4.2. Soil Reaction and Moisture as Modifying Factors
4.3. Productivity Implications and a Framework for Sustainable Intensification
5. Conclusions
Supplementary Materials
Author Contributions
Funding
Data Availability Statement
Acknowledgments
Conflicts of Interest
References
- Zhang, S.; Li, M.; Cui, X.; Pan, Y. Effect of different straw retention techniques on soil microbial community structure in wheat–maize rotation system. Front. Microbiol. 2023, 13, 251. [Google Scholar] [CrossRef]
- Akwakwa, G.H.; Daryl, K.S.P.; Riaz, A.; Xiaoyan, W. Varying nitrogen fertilization and soil bacterial community dynamics at three growth phases of winter wheat production. Plant Growth Regul. 2024, 104, 1383–1397. [Google Scholar] [CrossRef]
- Yuan, L.; Gao, Y.; Mei, Y.; Liu, J.; Kalkhajeh, Y.K.; Hu, H.; Huang, J. Effects of continuous straw returning on bacterial community structure and enzyme activities in rape-rice soil aggregates. Sci. Rep. 2023, 13, 2357. [Google Scholar] [CrossRef]
- Akwakwa, G.H.; Xiaoyan, W. Impact of rice–wheat straw incorporation and varying nitrogen fertilizer rates on soil physicochemical properties and wheat grain yield. Agronomy 2023, 13, 2363. [Google Scholar] [CrossRef]
- Wei, D.; Wei, S.; Peng, A.; Yang, C.; Chen, C. Responses of bacterial communities in soils under winter wheat to nightly warming and nitrogen addition. Agronomy 2022, 12, 1616. [Google Scholar] [CrossRef]
- Jin, Z.; Shah, T.; Zhang, L.; Liu, H.; Peng, S.; Nie, L. Effect of straw returning on soil organic carbon in rice–wheat rotation system: A review. Food Energy Secur. 2020, 9, 27. [Google Scholar] [CrossRef]
- Zhang, Z.; Liu, D.; Wu, M.; Xia, Y.; Zhang, F.; Fan, X. Long-term straw returning improves soil K balance and potassium supplying ability under rice and wheat cultivation. Sci. Rep. 2021, 11, 22260. [Google Scholar] [CrossRef]
- Yao, Z.; Yan, G.; Zheng, X.; Wang, R.; Liu, C.; Butterbach-Bahl, K. Straw return reduces yield-scaled N2O plus NO emissions from annual winter wheat-based cropping systems in the North China Plain. Sci. Total Environ. 2017, 590–591, 174–185. [Google Scholar] [CrossRef]
- Liu, Q.; Lu, L.; Hou, J.; Bai, J.; Dong, Q.; Feng, H.; Zou, Y.; Siddique, K.H.M. N Fertilizer in combination with straw improves soil physicochemical properties and crop productivity in sub-humid, drought-prone areas. Agronomy 2024, 14, 1721. [Google Scholar] [CrossRef]
- Hu, M.; Dong, W.; Wang, W.; Gaudel, G.; Mosongo, P.; Hu, C. The effects of deep application of nitrogen fertilization on ammonia volatilization in a winter wheat/summer maize rotation system in the North China Plain. Chin. J. Eco-Agric. 2020, 28, 1880–1889. [Google Scholar] [CrossRef]
- Zhai, S.; Xu, C.; Wu, Y.; Liu, J.; Meng, Y.; Yang, H. Long-term ditch-buried straw return alters soil carbon sequestration, nitrogen availability and grain production in a rice–wheat rotation system. Crop Pasture Sci. 2021, 72, 245–254. [Google Scholar] [CrossRef]
- Liu, Y.; Yu, J.; Zhang, L.; Wang, X.; Yin, G.; Zuo, W.; Bai, Y.; Huo, Z. Effects of fertilization on yield and nitrogen use efficiency of wheat and rice with straw return. Commun. Soil Sci. Plant Anal. 2021, 52, 1161–1170. [Google Scholar] [CrossRef]
- Islam, M.U.; Guo, Z.; Jiang, F.; Peng, X. Does straw return increase crop yield in the wheat–maize cropping system in China? A meta analysis. Field Crops Res. 2022, 279, 108447. [Google Scholar] [CrossRef]
- Liu, X.; Li, S. Temporal and spatial distribution characteristics of crop straw nutrient resources and returning to farmland in China. Trans. Chin. Soc. Agric. Eng. 2017, 33, 1–19. [Google Scholar] [CrossRef]
- Wang, X.; Zhao, S.; Zheng, X.; Wang, Z.; He, G. The impact of straw incorporation and nitrogen fertilizer application on winter wheat yield and nitrogen utilization. Chin. Agric. Sci. 2021, 54, 5043–5053. [Google Scholar] [CrossRef]
- Yang, L.; Muhammad, I.; Chi, Y.X.; Wang, D.; Zhou, X.B. Straw return and nitrogen fertilization to maize regulate soil properties, microbial community, and enzyme activities under a dual cropping system. Front. Microbiol. 2022, 13, 23. [Google Scholar] [CrossRef] [PubMed]
- Yang, R.; Liu, K.; Geng, S.; Zhang, C.; Yin, L.; Wang, X. Comparison of early season crop types for wheat production and nitrogen use efficiency in the Jianghan Plain in China. PeerJ 2021, 9, 32. [Google Scholar] [CrossRef]
- Bonelli, L.E.; Andrade, F.H. Maize radiation use-efficiency response to optimally distributed foliar-nitrogen-content depends on canopy leaf-area index. Field Crops Res. 2020, 247, 107557. [Google Scholar] [CrossRef]
- Shibaeva, T.G.; Mamaev, A.V.; Sherudilo, E.G. Evaluation of a SPAD-502 plus chlorophyll meter to estimate chlorophyll content in leaves with interveinal chlorosis. Russ. J. Plant Physiol. 2020, 67, 690–696. [Google Scholar] [CrossRef]
- Guebel, D.V.; Nudel, B.C.; Giulietti, A.M. A simple and rapid micro-Kjeldahl method for total nitrogen analysis. Biotechnol. Technol. 1991, 5, 427–430. [Google Scholar] [CrossRef]
- Zhang, L.; He, X.; Liang, Z.; Zhang, W.; Zou, C.; Chen, X. Tiller development affected by nitrogen fertilization in a high-yielding wheat production system. Crop Sci. 2020, 60, 1034–1047. [Google Scholar] [CrossRef]
- Wang, J.; Hussain, S.; Sun, X.; Zhang, P.; Javed, T.; Dessoky, E.S.; Ren, X.; Chen, X. Effects of nitrogen application rate under straw incorporation on photosynthesis, productivity and nitrogen use efficiency in winter wheat. Front. Plant Sci. 2022, 13, 21. [Google Scholar] [CrossRef] [PubMed]
- Pan, L.; Yin, W.; Zhao, L.; Wan, P.; Fan, Z.; Hu, F.; Nan, Y.; Sun, Y.; Fan, H.; He, W.; et al. No tillage with straw mulching enhanced radiation use efficiency of wheat via optimizing canopy radiation interception and photosynthetic properties. Field Crops Res. 2025, 326, 109854. [Google Scholar] [CrossRef]
- Wang, J.; Chen, Z.; Xu, C.; Elrys, A.S.; Shen, F.; Cheng, Y.; Chang, S.X. Organic amendment enhanced microbial nitrate immobilization with negligible denitrification nitrogen loss in an upland soil. Environ. Pollut. 2021, 288, 117721. [Google Scholar] [CrossRef] [PubMed]
- Meng, X.; Ran, C.; Liu, B.; Zhao, Z.; Bai, T.; Zhao, M.; Cheng, Z.; Chen, G.; Geng, Y. Effect of straw return with nitrogen fertilizer on photosynthetic characteristics and yield of rice in soda saline–alkali rice paddy fields. Cereal Res. Commun. 2022, 51, 509–526. [Google Scholar] [CrossRef]
- Cheng, M.; Zhan, W.; Chen, S.; Lan, T.; Liu, Z.; Shao, X.; Wang, L.; Lyu, Y.; Wang, Y. Effects of straw return and nitrogen fertilization on grain yield and leaf senescence of maize in northeast China. Int. J. Plant Prod. 2023, 17, 503–515. [Google Scholar] [CrossRef]
- Zhang, W.; Long, A.; Ji, X.; Sun, Z.; Tian, P.; Jin, C.; Gong, X.; Jiang, Y.; Qi, H.; Yu, H. Tillage combined with straw return increases maize yield and water use by regulating root morphological distribution and nitrogen metabolism in Northeast China. Soil Tillage Res. 2026, 256, 106876. [Google Scholar] [CrossRef]
- Meng, X.; Guo, Z.; Yang, X.; Su, W.; Li, Z.; Wu, X.; Ahmad, I.; Cai, T.; Han, Q. Straw incorporation helps inhibit nitrogen leaching in maize season to increase yield and efficiency in the Loess Plateau of China. Soil Tillage Res. 2021, 211, 23. [Google Scholar] [CrossRef]
- Wang, Y.; Li, M.; Pei, J.; An, T.; Saeed, M.F.; Shan, T.; Xu, Y.; Wang, K. Dynamics of maize straw–derived nitrogen in soil aggregates as affected by fertilization. J. Soils Sediments 2019, 19, 2882–2890. [Google Scholar] [CrossRef]
- Li, H.; Wang, L.; Peng, Y.; Zhang, S.; Lv, S.; Li, J.; Abdo, A.I.; Zhou, C.; Wang, L. Film mulching, residue retention and N fertilization affect ammonia volatilization through soil labile N and C pools. Agric. Ecosyst. Environ. 2021, 308, 107272. [Google Scholar] [CrossRef]
- Oldfield, E.E.; Bradford, M.A.; Wood, S.A. Global meta-analysis of the relationship between soil organic matter and crop yields. Soil 2019, 5, 15–32. [Google Scholar] [CrossRef]
- Li, N.; Lei, W.; Sheng, M.; Long, J.; Han, Z. Straw amendment and soil tillage alter soil organic carbon chemical composition and are associated with microbial community structure. Eur. J. Soil Biol. 2022, 110, 31–43. [Google Scholar] [CrossRef]
- Zhao, X.; Wang, H.; Lu, D.; Chen, X.; Zhou, M. The effects of straw return on potassium fertilization rate and time in the rice–wheat rotation. Soil Sci. Plant Nutr. 2019, 65, 176–182. [Google Scholar] [CrossRef]







| Treatment ID | Straw Return Rate (SRR) | Nitrogen Regime | Total (N) (kg ha−1) | Nitrogen Application Timing | ||
|---|---|---|---|---|---|---|
| Basal | Overwinter | Jointing | ||||
| T1 | 0% | N0 | 0 | 0 | 0 | 0 |
| T2 | 0% | N1 | 180 | 33.3% | 33.3% | 33.3% |
| T3 | 0% | N2 | 180 | 70% | 30% | 0 |
| T4 | 0% | N3 | 180 | 100% | ||
| T5 | 50% | N0 | 0 | 0 | 0 | 0 |
| T6 | 50% | N1 | 180 | 33.3% | 33.3% | 33.3% |
| T7 | 50% | N2 | 180 | 70% | 30% | 0 |
| T8 | 50% | N3 | 180 | 100% | ||
| T9 | 100% | N0 | 0 | 0 | 0 | 0 |
| T10 | 100% | N1 | 180 | 33.3% | 33.3% | 33.3% |
| T11 | 100% | N2 | 180 | 70% | 30% | 0 |
| T12 | 100% | N3 | 180 | 100% | ||
| Treatment | 2021 | 2022 | 2023 | ||||||
|---|---|---|---|---|---|---|---|---|---|
| BF | JT | MT | BF | JT | MT | BF | JT | MT | |
| Soil nitrogen (g kg−1) | |||||||||
| T1 | 0.45 ± 0.02 abc | 0.56 ± 0.05 ab | 0.45 ± 0.04 de | 0.44 ± 0.07 cd | 0.59 ± 0.03 b | 0.35 ± 0.07 de | 0.46 ± 0.01 a–d | 0.58 ± 0.05 ab | 0.44 ± 0.02 def |
| T2 | 0.53 ± 0.05 a | 0.50 ± 0.02 b | 0.41 ± 0.00 ef | 0.44 ± 0.02 cd | 0.49 ± 0.01 cde | 0.42 ± 0.00 cd | 0.52 ± 0.06 abc | 0.53 ± 0.02 b | 0.45 ± 0.00 de |
| T3 | 0.41 ± 0.02 bcd | 0.49 ± 0.00 b | 0.52 ± 0.02 c | 0.35 ± 0.05 de | 0.45 ± 0.02 def | 0.51 ± 0.04 c | 0.41 ± 0.03 de | 0.52 ± 0.02 b | 0.52 ± 0.04 cd |
| T4 | 0.39 ± 0.05 bcd | 0.60 ± 0.03 ab | 0.36 ± 0.02 fg | 0.37 ± 0.02 d | 0.54 ± 0.06 bc | 0.37 ± 0.06 cde | 0.41 ± 0.04 cde | 0.62 ± 0.02 ab | 0.40 ± 0.02 ef |
| T5 | 0.56 ± 0.05 a | 0.48 ± 0.00 b | 0.43 ± 0.02 de | 0.42 ± 0.02 cd | 0.48 ± 0.00 cde | 0.41 ± 0.04 cd | 0.53 ± 0.03 ab | 0.51 ± 0.00 b | 0.45 ± 0.04 de |
| T6 | 0.35 ± 0.02 cd | 0.49 ± 0.00 b | 0.72 ± 0.02 b | 0.35 ± 0.01 de | 0.51 ± 0.02 bcd | 0.72 ± 0.07 b | 0.37 ± 0.00 de | 0.52 ± 0.00 b | 0.74 ± 0.04 b |
| T7 | 0.30 ± 0.01 d | 0.68 ± 0.02 a | 0.87 ± 0.02 a | 0.25 ± 0.02 e | 0.69 ± 0.02 a | 0.97 ± 0.00 a | 0.33 ± 0.02 e | 0.69 ± 0.03 a | 0.90 ± 0.02 a |
| T8 | 0.35 ± 0.04 cd | 0.53 ± 0.05 b | 0.86 ± 0.04 a | 0.38 ± 0.02 d | 0.51 ± 0.02 bcd | 0.96 ± 0.00 a | 0.37 ± 0.06 de | 0.54 ± 0.07 b | 0.91 ± 0.02 a |
| T9 | 0.50 ± 0.03 ab | 0.59 ± 0.18 ab | 0.45 ± 0.03 de | 0.51 ± 0.04 bc | 0.38 ± 0.05 f | 0.34 ± 0.09 de | 0.50 ± 0.04 abc | 0.58 ± 0.10 ab | 0.44 ± 0.03 def |
| T10 | 0.53 ± 0.06 a | 0.49 ± 0.05 b | 0.31 ± 0.00 g | 0.56 ± 0.05 ab | 0.41 ± 0.02 ef | 0.30 ± 0.08 de | 0.56 ± 0.07 a | 0.50 ± 0.03 b | 0.35 ± 0.02 f |
| T11 | 0.56 ± 0.05 a | 0.50 ± 0.01 b | 0.42 ± 0.02 ef | 0.60 ± 0.04 ab | 0.38 ± 0.03 f | 0.24 ± 0.05 e | 0.53 ± 0.04 a | 0.53 ± 0.04 b | 0.44 ± 0.04 de |
| T12 | 0.49 ± 0.03 ab | 0.51 ± 0.06 b | 0.49 ± 0.01 cd | 0.61 ± 0.02 a | 0.41 ± 0.00 ef | 0.44 ± 0.02 cd | 0.54 ± 0.03 a | 0.50 ± 0.03 b | 0.55 ± 0.04 c |
| Soil nitrate (mg kg−1) | |||||||||
| T1 | 20.60 ± 0.55 d | 20.12 ± 0.12 de | 11.60 ± 0.34 e | 21.75 ± 0.88 bcd | 20.23 ± 1.17 b–e | 13.41 ± 0.44 b | 20.87 ± 0.67 cd | 20.52 ± 0.82 bcd | 13.56 ± 0.3 ab |
| T2 | 22.94 ± 0.45 abc | 21.34 ± 0.26 bc | 13.56 ± 0.15 ab | 23.41 ± 0.32 ab | 23.50 ± 0.35 a | 13.16 ± 0.01 b | 21.54 ± 0.41 a–d | 20.60 ± 0.4 bc | 12.55 ± 0.28 bc |
| T3 | 23.95 ± 0.4 a | 18.59 ± 0.57 f | 12.76 ± 0.44 cd | 23.86 ± 0.21 a | 23.10 ± 0.92 ab | 14.24 ± 0.52 ab | 22.74 ± 0.38 ab | 18.58 ± 0.27 ef | 12.99 ± 0.19 abc |
| T4 | 23.14 ± 0.32 ab | 21.65 ± 0.38 b | 13.08 ± 0.3 bc | 23.26 ± 0.54 abc | 20.33 ± 0.42 b–e | 13.58 ± 0.31 ab | 22.74 ± 0.32 ab | 20.88 ± 0.29 bc | 12.91 ± 0.25 abc |
| T5 | 21.85 ± 0.57 bcd | 19.04 ± 0.17 f | 12.97 ± 0.14 bc | 21.34 ± 0.45 cde | 19.32 ± 0.59 cde | 13.47 ± 0.74 b | 21.93 ± 0.51 abc | 18.86 ± 0.56 def | 13.20 ± 0.81 abc |
| T6 | 20.96 ± 0.88 d | 22.90 ± 0.44 a | 13.14 ± 0.37 bc | 22.58 ± 0.71 abc | 19.54 ± 0.81 cde | 13.99 ± 0.34 ab | 21.17± 0.03 bcd | 22.64 ± 0.85 a | 12.18 ± 0.45 c |
| T7 | 21.61 ± 0.12 bcd | 17.27 ± 0.34 g | 13.96 ± 0.14 a | 21.71 ± 0.68 bcd | 17.87 ± 0.8 e | 14.18 ± 0.59 ab | 20.46 ± 0.96 cd | 17.62 ± 0.65 f | 13.69 ± 0.48 a |
| T8 | 23.65 ± 0.24 a | 19.44 ± 0.25 ef | 12.97 ± 0.15 bc | 21.71 ± 1.19 bcd | 19.21 ± 0.97 de | 13.96 ± 0.35 ab | 23.27 ± 0.28 a | 18.77 ± 0.4 ef | 12.21 ± 0.38 c |
| T9 | 21.43 ± 1.02 cd | 20.11 ± 0.31 de | 12.18 ± 0.15 de | 20.59 ± 0.9 de | 23.03 ± 2.32 ab | 14.20 ± 0.17 ab | 20.10 ± 1.23 d | 19.62 ± 0.87 cde | 12.16 ± 0.12 c |
| T10 | 23.62 ± 0.55 a | 22.35 ± 0.26 ab | 12.76 ± 0.3 cd | 23.50 ± 0.57 ab | 22.21 ± 0.04 abc | 14.00 ± 0.26 ab | 22.12 ± 0.93 abc | 21.18 ± 0.33 abc | 12.51 ± 0.33 bc |
| T11 | 21.56 ± 0.26 cd | 20.63 ± 0.57 cd | 13.95 ± 0.23 a | 19.38 ± 0.58 e | 21.95 ± 0.35 a–d | 14.64 ± 0.23 a | 20.82 ± 0.32 cd | 21.40 ± 0.56 ab | 12.73 ± 0.25 abc |
| T12 | 22.75 ± 0.41 abc | 21.98 ± 0.15 ab | 13.42 ±0.27 abc | 23.66 ± 0.38 ab | 21.33 ± 1.11 a–d | 14.30 ± 0.13 ab | 22.17 ± 0.13 abc | 21.45 ± 0.62 ab | 12.52 ± 0.3 bc |
| Soil ammonium (mg kg−1) | |||||||||
| T1 | 0.38 ± 0.04 ef | 0.40 ± 0.09 de | 2.52 ± 0.27 fg | 0.37 ± 0.06 cde | 0.17 ± 0.04 c | 0.65 ± 0.12 abc | 0.36 ± 0.03 ef | 0.50 ± 0.04 cd | 2.65 ± 0.11 e |
| T2 | 0.86 ± 0.1 bc | 0.47 ± 0.06 cde | 3.13 ± 0.29 def | 0.66 ± 0.13 bcd | 0.26 ± 0.08 bc | 1.38 ± 0.41 abc | 0.92 ± 0.08 cd | 0.50 ± 0.03 cd | 3.14 ± 0.26 cde |
| T3 | 0.14 ± 0.01 g | 0.58 ± 0.05 c | 3.46 ± 0.26 cd | 0.48 ±0.02 bcde | 0.43 ± 0.13 bc | 1.37 ± 0.26 abc | 0.21 ± 0.02 f | 0.69 ± 0.05 b | 3.01 ± 0.08 de |
| T4 | 1.14 ± 0.05 a | 0.56 ± 0.01 c | 3.25 ± 0.22 cde | 1.38 ± 0.23 a | 0.30 ± 0.13 bc | 1.05 ± 0.4 abc | 1.20 ± 0.08 bc | 0.62 ± 0.04 bc | 3.05 ± 0.16 cde |
| T5 | 0.10 ± 0.01 g | 0.87 ± 0.08 b | 1.88 ± 0.06 gh | 0.18 ± 0.02 e | 0.80 ± 0.26 ab | 0.54 ± 0.15 abc | 0.21 ± 0.03 f | 0.90 ± 0.11 a | 1.53 ± 0.2 f |
| T6 | 0.86 ± 0.09 bc | 1.02 ± 0.03 a | 4.99 ± 0.1 a | 0.71 ± 0.04 bc | 1.24 ± 0.33 a | 0.45 ± 0.19 bc | 0.92 ± 0.14 cd | 0.98 ± 0.05 a | 4.45 ± 0.28 a |
| T7 | 0.71 ± 0.02 cd | 0.46 ± 0.05 cde | 3.73 ± 0.04 cd | 0.62 ± 0.04 bcd | 0.84 ± 0.36 ab | 0.30 ± 0.02 c | 0.79 ± 0.05 d | 0.53 ± 0.12 bcd | 3.19 ± 0.04 cde |
| T8 | 0.53 ± 0.13 de | 0.36 ± 0.04 e | 3.90 ± 0.08 bc | 0.35 ± 0.05 de | 0.53 ± 0.2 bc | 1.53 ± 0.83 abc | 0.62 ± 0.07 de | 0.41 ± 0.05 d | 3.72 ± 0.28 bc |
| T9 | 0.22 ± 0.01 fg | 0.86 ± 0.04 b | 2.72 ± 0.06 ef | 0.31 ± 0.14 de | 0.36 ± 0.33 bc | 1.83 ± 0.51 ab | 0.26 ± 0.01 f | 0.89 ± 0.01 a | 2.70 ± 0.07 e |
| T10 | 1.13 ± 0.06 a | 0.50 ± 0.03 cd | 3.84 ± 0.59 c | 1.31 ± 0.15 a | 0.62 ± 0.08 bc | 1.07 ± 0.48 abc | 1.63 ± 0.06 a | 0.62 ± 0.04 bc | 3.54 ± 0.6 cd |
| T11 | 0.98 ± 0.04 ab | 0.54 ± 0.04 cd | 1.79 ± 0.06 h | 0.66 ± 0.24 bcd | 0.29 ± 0.13 bc | 1.44 ± 0.19 abc | 1.31 ± 0.29 b | 0.54 ± 0.04 bcd | 1.69 ± 0.04 f |
| T12 | 0.66 ± 0.04 d | 0.41 ± 0.02 de | 4.54 ± 0.17 ab | 0.75 ± 0.04 b | 0.25 ± 0.01 bc | 2.01 ± 1.26 a | 0.66 ± 0.08 de | 0.47 ± 0.02 cd | 4.34 ± 0.1 ab |
| Treatment | 2021 | 2022 | 2023 | ||||||
|---|---|---|---|---|---|---|---|---|---|
| BF | JT | MT | BF | JT | MT | BF | JT | MT | |
| T1 | 10.05 ± 0.01 a | 10.81 ± 0.05 cd | 9.88 ± 0.01 bc | 10.2 ± 0.17 a | 10.5 ± 0.37 ab | 10.7 ± 0.31 b–d | 10.55 ± 0.11 a | 10.81 ± 0.05 cd | 9.790 ± 0.05 a–c |
| T2 | 10.01 ± 0.07 a | 10.66 ± 0.19 de | 9.88 ± 0.01 bc | 9.74 ± 0.6 ab | 10.7 ± 0.08 ab | 9.47 ± 0.3 de | 10.09 ± 0.15 ab | 10.76 ± 0.11 cd | 9.770 ± 0.11 a–c |
| T3 | 9.620 ± 0.02 a | 11.85 ± 0.03 a | 8.96 ± 0.1 d | 9.64 ± 0.14 a–c | 10.8 ± 0.36 ab | 9.33 ± 0.1 de | 9.640 ± 0.06 b–d | 11.49 ± 0.19 ab | 9.190 ± 0.35 c |
| T4 | 9.860 ± 0.09 a | 11.35 ± 0.05 b | 9.89 ± 0.06 bc | 9.30 ± 0.35 a–d | 11.2 ± 0.12 ab | 10.5 ± 0.15 b–e | 9.750 ± 0.09 bc | 11.65 ± 0.06 a | 9.820 ± 0.03 a–c |
| T5 | 8.830 ± 0.04 b | 9.900 ± 0.07 f | 9.95 ± 0.03 a–c | 8.51 ± 0.2 de | 13.4 ± 3.41 a | 11.3 ± 0.06 bc | 9.000 ± 0.4 de | 9.960 ± 0.13 e | 9.930 ± 0.03 a–c |
| T6 | 9.060 ± 0.21 b | 11.86 ± 0.04 a | 10.1 ± 0.15 a–c | 9.06 ± 0.27 b–d | 11.5 ± 0.48 ab | 11.7 ± 0.17 ab | 9.360 ± 0.26 cd | 11.55 ± 0.28 ab | 10.03 ± 0.13 a–c |
| T7 | 8.110 ± 0.19 c | 10.82 ± 0.04 cd | 10.8 ± 0.84 a | 7.86 ± 0.26 e | 11.0 ± 0.17 ab | 12.9 ± 1.56 a | 8.520 ± 0.26 e | 10.73 ± 0.07 cd | 10.75 ± 0.86 a |
| T8 | 9.850 ± 0.21 a | 10.45 ± 0.17 e | 10.5 ± 0.27 ab | 9.71 ± 0.41 ab | 10.1 ± 0.34 b | 11.2 ± 0.07 bc | 10.14 ± 0.37 ab | 10.54 ± 0.18 d | 10.39 ± 0.41 ab |
| T9 | 10.09 ± 0.29 a | 10.94 ± 0.04 c | 9.26 ± 0.28 cd | 9.64 ± 0.4 a–c | 9.86 ± 0.22 b | 9.16 ± 0.18 e | 10.11 ± 0.19 ab | 10.37 ± 0.18 de | 9.510 ± 0.33 bc |
| T10 | 8.870 ± 0.01 b | 10.99 ± 0.06 c | 9.99 ± 0.12 a–c | 8.76 ± 0.26 c–e | 9.23 ± 0.19 b | 10.7 ± 0.28 b–d | 9.580 ± 0.3 b–d | 11.12 ± 0.28 bc | 10.07 ± 0.2 a–c |
| T11 | 9.620 ± 0.18 a | 10.68 ± 0.06 de | 8.96 ± 0.04 d | 9.03 ± 0.24 b–d | 9.89 ± 0.18 b | 10.1 ± 0.21 c–e | 9.620 ± 0.15 b–d | 10.67 ± 0.12 cd | 9.230 ± 0.25 c |
| T12 | 9.670 ± 0.29 a | 10.79 ± 0.06 cd | 9.62 ± 0.41 b–d | 9.87 ± 0.03 ab | 9.00 ± 0.38 b | 10.2 ± 0.18 c–e | 9.510 ± 0.28 b–d | 10.81 ± 0.09 cd | 10.18 ± 0.36 a–c |
Disclaimer/Publisher’s Note: The statements, opinions and data contained in all publications are solely those of the individual author(s) and contributor(s) and not of MDPI and/or the editor(s). MDPI and/or the editor(s) disclaim responsibility for any injury to people or property resulting from any ideas, methods, instructions or products referred to in the content. |
© 2026 by the authors. Licensee MDPI, Basel, Switzerland. This article is an open access article distributed under the terms and conditions of the Creative Commons Attribution (CC BY) license.
Share and Cite
Akwakwa, G.H.; Daryl, K.S.P.; Zhou, M.; Wang, X. A High Proportion of Basal Nitrogen Application Mitigates Straw Return-Induced Nitrogen Immobilization and Sustains Winter Wheat Yield on the Jianghan Plain. Agronomy 2026, 16, 493. https://doi.org/10.3390/agronomy16050493
Akwakwa GH, Daryl KSP, Zhou M, Wang X. A High Proportion of Basal Nitrogen Application Mitigates Straw Return-Induced Nitrogen Immobilization and Sustains Winter Wheat Yield on the Jianghan Plain. Agronomy. 2026; 16(5):493. https://doi.org/10.3390/agronomy16050493
Chicago/Turabian StyleAkwakwa, Gabriel Hopla, Kem Senou Pavel Daryl, Meixue Zhou, and Xiaoyan Wang. 2026. "A High Proportion of Basal Nitrogen Application Mitigates Straw Return-Induced Nitrogen Immobilization and Sustains Winter Wheat Yield on the Jianghan Plain" Agronomy 16, no. 5: 493. https://doi.org/10.3390/agronomy16050493
APA StyleAkwakwa, G. H., Daryl, K. S. P., Zhou, M., & Wang, X. (2026). A High Proportion of Basal Nitrogen Application Mitigates Straw Return-Induced Nitrogen Immobilization and Sustains Winter Wheat Yield on the Jianghan Plain. Agronomy, 16(5), 493. https://doi.org/10.3390/agronomy16050493

