Non-Deep Physiological Dormancy in Seeds of Crepidiastrum denticulatum (Houtt.) J.H.Pak & Kawano
Abstract
1. Introduction
2. Materials and Methods
2.1. Seed Collection and Basic Characteristics
2.2. Water Imbibition Test
2.3. Seed Sterilization and Incubation
2.4. Light and Temperature Conditions
2.5. GA3 Treatment
2.6. Cold Stratification
2.7. Data Collection and Statistical Analysis
3. Results
3.1. Seed Collection and Basic Characteristics
3.2. Water Imbibition Test
3.3. Light and Temperature Conditions
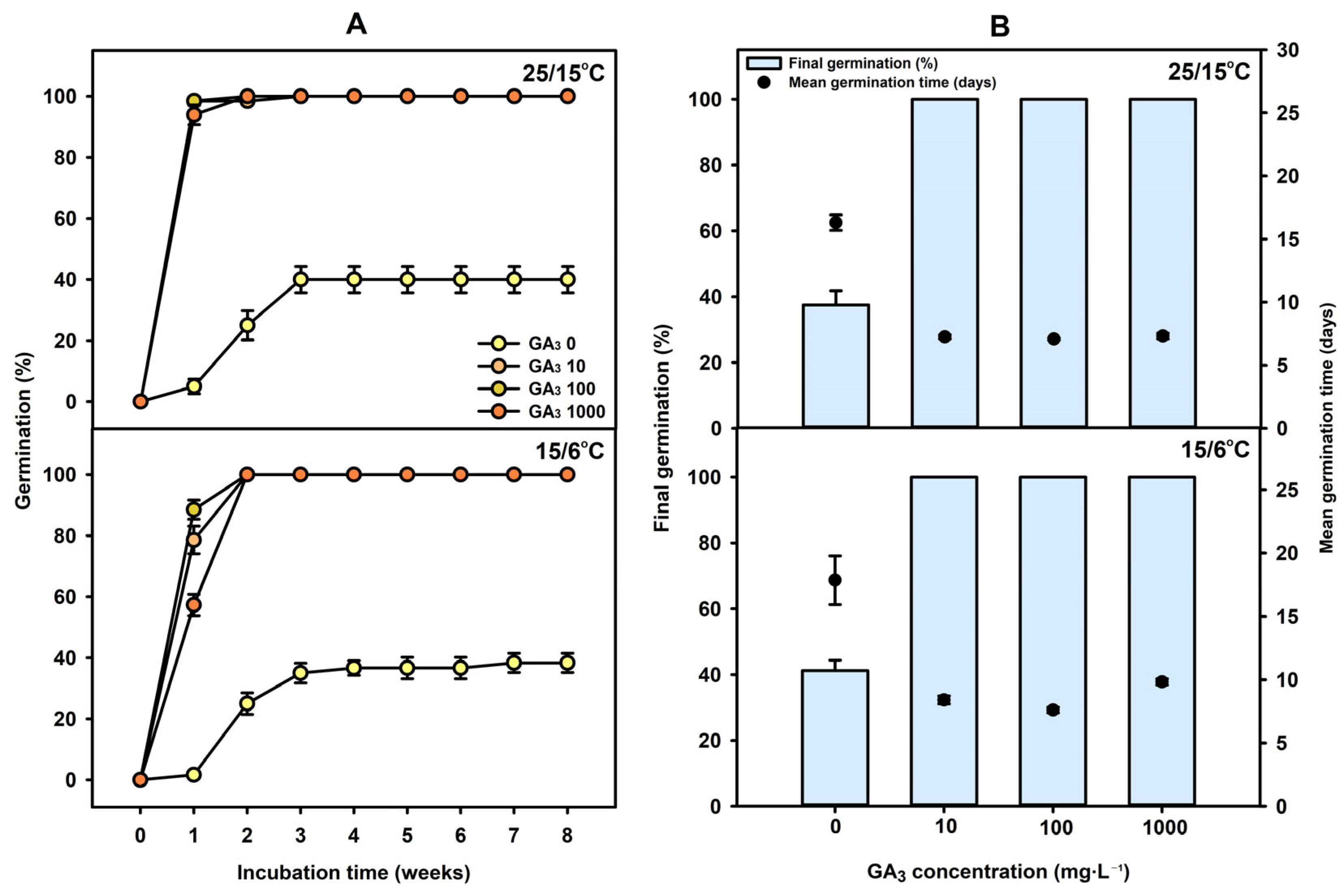
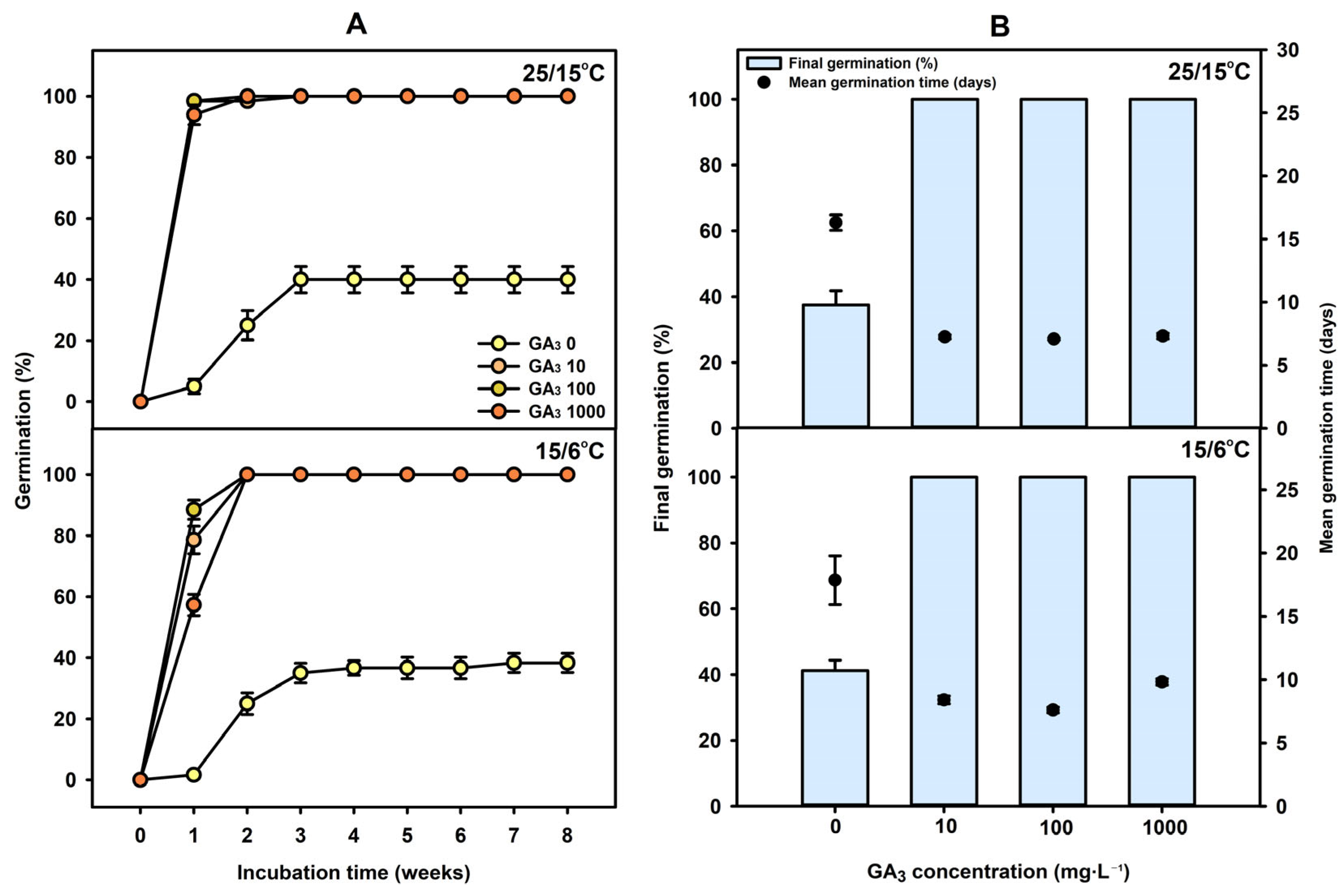
3.4. GA3 Treatment
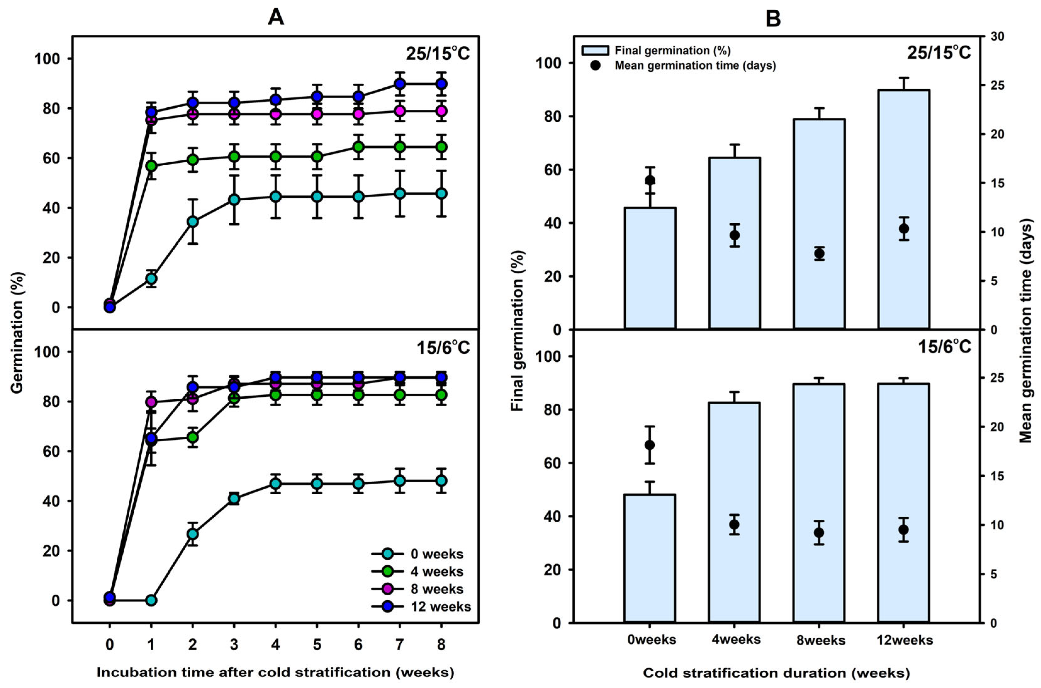
3.5. Cold Stratification
4. Discussion
5. Conclusions
Author Contributions
Funding
Data Availability Statement
Acknowledgments
Conflicts of Interest
References
- Korea National Arboretum. Nature: Crepidiastrum denticulatum (Houtt.) J.H.Pak & Kawano. Available online: https://terms.naver.com/entry.naver?docId=3541468&cid=46694&categoryId=46694 (accessed on 10 October 2025).
- National Institute of Biological Resources. Crepidiastrum denticulatum (Houtt.) J.H.Pak & Kawano. Available online: https://species.nibr.go.kr/home/mainHome.do?cont_link=009&subMenu=009002&contCd=009002&pageMode=view&ktsn=120000063851 (accessed on 10 October 2025).
- Baskin, C.C.; Baskin, J.M. Seed dormancy in Asteraceae: A global vegetation zone and taxonomic/phylogenetic assessment. Seed Sci. Res. 2023, 33, 135–169. [Google Scholar] [CrossRef]
- Doilom, M.; Hyde, K.D.; Dong, W.; Liao, C.F.; Suwannarach, N.; Lumyong, S. The plant family Asteraceae is a cache for novel fungal diversity: Novel species and genera with remarkable ascospores in Leptosphaeriaceae. Front. Microbiol. 2021, 12, 660261. [Google Scholar] [CrossRef]
- Park, S.Y.; Oh, M.M. Enhancement of Crepidiastrum denticulatum production using supplemental far-red radiation under various white LED lights. J. Bio-Environ. Control 2021, 30, 149–156. [Google Scholar] [CrossRef]
- Rolnik, A.; Olas, B. The plants of the Asteraceae family as agents in the protection of human health. Int. J. Mol. Sci. 2021, 22, 3009. [Google Scholar] [CrossRef]
- Kim, J.H.; Lee, D.H.; Lee, M.H.; Jung, Y.H.; Park, C.H.; Lee, H.H.; Na, C.S. Antioxidant activity of Asteraceae plant seed extracts. J. Life Sci. 2021, 31, 543–549. [Google Scholar] [CrossRef]
- Kim, M.J.; Lee, H.K. Hepatotoxicity reducing effect of ethanol extracts from fermented Youngia denticulata Houtt. Kitamura in ethanol-treated rats. J. East Asian Soc. Diet. Life 2016, 26, 389–399. [Google Scholar] [CrossRef]
- Park, S.Y.; Bae, J.H.; Oh, M.M. Manipulating light quality to promote shoot growth and bioactive compound biosynthesis of Crepidiastrum denticulatum (Houtt.) Pak & Kawano cultivated in plant factories. J. Appl. Res. Med. Aromat. Plants 2020, 16, 100237. [Google Scholar] [CrossRef]
- Lee, H.J.; Cha, K.H.; Kim, C.Y.; Nho, C.W.; Pan, C.H. Bioavailability of hydroxycinnamic acids from Crepidiastrum denticulatum using simulated digestion and Caco-2 intestinal cells. J. Agric. Food Chem. 2014, 62, 5290–5295. [Google Scholar] [CrossRef] [PubMed]
- Yoo, J.H.; Kang, K.; Yun, J.H.; Kim, M.A.; Nho, C.W. Crepidiastrum denticulatum extract protects the liver against chronic alcohol-induced damage and fat accumulation in rats. J. Med. Food 2014, 17, 432–438. [Google Scholar] [CrossRef]
- Park, S.E.; Choi, D.; Oh, K.N.; Kim, H.; Park, H.; Kim, K.M. Induction of apoptosis using the mixture of fucoidan and Crepidiastrum denticulatum extract in HepG2 liver cancer cells. Food Sci. Preserv. 2024, 31, 276–286. [Google Scholar] [CrossRef]
- Ladouceur, E.; Jiménez-Alfaro, B.; Marin, M.; De Vitis, M.; Abbandonato, H.; Iannetta, P.P.; Pritchard, H.W. Native seed supply and the restoration species pool. Conserv. Lett. 2018, 11, e12381. [Google Scholar] [CrossRef]
- Conrady, M.; Lampei, C.; Bossdorf, O.; Hölzel, N.; Michalski, S.; Durka, W.; Bucharova, A. Plants cultivated for ecosystem restoration can evolve toward a domestication syndrome. Proc. Natl. Acad. Sci. USA 2023, 120, e2219664120. [Google Scholar] [CrossRef] [PubMed]
- Ko, C.H.; Lee, S.Y.; Choi, K.S.; Kim, D.H.; Kim, S.Y.; Lee, K.C. Dormancy and seed germination in the endemic Korean plant Ligustrum foliosum Nakai. Flower Res. J. 2017, 25, 124–132. [Google Scholar] [CrossRef]
- Baek, S.G.; Im, J.H.; Kwak, M.J.; Park, C.H.; Lee, M.H.; Na, C.S.; Woo, S.Y. Non-deep physiological dormancy in seed and germination requirements of Lysimachia coreana Nakai. Horticulturae 2021, 7, 490. [Google Scholar] [CrossRef]
- Nonogaki, H. Seed germination and dormancy: The classic story, new puzzles, and evolution. J. Integr. Plant Biol. 2019, 61, 541–563. [Google Scholar] [CrossRef]
- Penfield, S. Seed Dormancy and Germination. Curr. Biol. 2017, 27, R874–R878. [Google Scholar] [CrossRef] [PubMed]
- Baskin, J.M.; Baskin, C.C. A classification system for seed dormancy. Seed Sci. Res. 2004, 14, 1–16. [Google Scholar] [CrossRef]
- Baskin, C.C.; Baskin, J.M. Seeds: Ecology, Biogeography, Evolution of Dormancy and Germination, 2nd ed.; Academic Press: San Diego, CA, USA, 2014. [Google Scholar]
- Carruggio, F.; Onofri, A.; Catara, S.; Impelluso, C.; Castrogiovanni, M.; Lo Cascio, P.; Cristaudo, A. Conditional seed dormancy helps Silene hicesiae Brullo & Signor. overcome stressful Mediterranean summer conditions. Plants 2021, 10, 2130. [Google Scholar] [CrossRef]
- Kildisheva, O.A.; Erickson, T.E.; Kramer, A.T.; Zeldin, J.; Merritt, D.J. Optimizing physiological dormancy break of understudied cold desert perennials to improve seed-based restoration. J. Arid Environ. 2019, 170, 104001. [Google Scholar] [CrossRef]
- Fernández, M.; Tapias, R. Seed dormancy and seedling ecophysiology reveal the ecological amplitude of the threatened endemism Picris willkommii (Schultz Bip.) Nyman (Asteraceae). Plants 2022, 11, 1981. [Google Scholar] [CrossRef]
- Baskin, C.C.; Baskin, J.M.; Van Auken, O.W. Role of Temperature in Dormancy Break and/or Germination of Autumn-maturing Achenes of Eight Perennial Asteraceae from Texas, U.S.A. Plant Species Biol. 1998, 13, 13–20. [Google Scholar] [CrossRef]
- Carasso, V.; Mucciarelli, M.; Dovana, F.; Müller, J.V. Comparative germination ecology of two endemic Rhaponticum species (Asteraceae) in different climatic zones of the Ligurian and Maritime Alps (Piedmont, Italy). Plants 2020, 9, 708. [Google Scholar] [CrossRef]
- Baskin, C.C.; Baskin, J.M. When breaking seed dormancy is a problem: Try a move-along experiment. Nativ. Plants J. 2003, 4, 17–21. [Google Scholar] [CrossRef]
- Wang, J.Y.; Bu, Z.J.; Poschlod, P.; Yusup, S.; Zhang, J.Q.; Zhang, Z.X. Seed dormancy types and germination response of 15 plant species in temperate montane peatlands. Ecol. Evol. 2024, 14, e11671. [Google Scholar] [CrossRef] [PubMed]
- Nautiyal, P.C.; Sivasubramaniam, K.; Dadlani, M. Seed dormancy and regulation of germination. Seed Sci. Technol. 2023, 52, 39–66. [Google Scholar] [CrossRef]
- Baskin, C.C.; Baskin, J.M. Seeds: Ecology, Biogeography and Evolution of Dormancy and Germination, 1st ed.; Academic Press: San Diego, CA, USA, 1998. [Google Scholar]
- Lamont, B.B.; Pausas, J.G. Seed dormancy revisited: Dormancy-release pathways and environmental interactions. Funct. Ecol. 2023, 37, 1106–1125. [Google Scholar] [CrossRef]
- Abubakar, M.S.A.; Attanda, M.L. Factors that cause seed dormancy. In Seed Biology Updates; IntechOpen: London, UK, 2022. [Google Scholar] [CrossRef]
- Oh, H.J.; Shin, U.S.; Lee, S.Y.; Kim, S.Y.; Jeong, M.J. Non-deep physiological dormancy in seeds of Euphorbia jolkinii Boiss. native to Korea. J. Ecol. Environ. 2021, 45, 20. [Google Scholar] [CrossRef]
- Nikolaeva, M.G. Physiology of Deep Dormancy in Seeds; Shapiro, Z., Translator; Nauka: Leningrad, Russia; National Science Foundation: Washington, DC, USA, 1969. [Google Scholar]
- Baskin, C.C.; Baskin, J.M. Mimicking the natural thermal environments experienced by seeds to break physiological dormancy to enhance seed testing and seedling production. Seed Sci. Technol. 2022, 50, 21–29. [Google Scholar] [CrossRef]
- Lee, S.Y.; Park, K.; Jang, B.K.; Ji, B.; Lee, H.; Baskin, C.C.; Cho, J.S. Exogenous gibberellin can effectively and rapidly break intermediate physiological dormancy of Amsonia elliptica seeds. Front. Plant Sci. 2022, 13, 1043897. [Google Scholar] [CrossRef]
- Kim, J.H.; Kwon, H.C.; Lee, S.Y. Seed dormancy and germination characteristics of Scutellaria indica L. var. coccinea S.T. Kim & S.T. Lee, an endemic species found on Jeju Island, South Korea. Horticulturae 2025, 11, 1019. [Google Scholar] [CrossRef]
- Maleki, K.; Soltani, E.; Arabhosseini, A.; Aghili Lakeh, M. A quantitative analysis of primary dormancy and dormancy changes during burial in seeds of Brassica napus. Nord. J. Bot. 2021, 39, e03281. [Google Scholar] [CrossRef]
- Hind, N.; Yamanaka, M.; Yasue, N. Crepidiastrum grandicollum (Koidz.) Nakai: Compositae: Plants in peril 42. Curtis’s Bot. Mag. 2024, 41, 395–414. [Google Scholar] [CrossRef]
- Seo, H.T.; Choi, B.K.; Moon, Y.G.; Kim, S.W.; Park, K.D.; Kwon, S.B. Effect of light conditions and wet cold treatments on seed germination in several wild vegetables. J. Agric. Life Environ. Sci. 2018, 30, 64–72. [Google Scholar] [CrossRef]
- Merritt, D.J.; Kristiansen, M.; Flematti, G.R.; Turner, S.R.; Ghisalberti, E.L.; Trengove, R.D.; Dixon, K.W. Effects of a butenolide present in smoke on light-mediated germination of Australian Asteraceae. Seed Sci. Res. 2006, 16, 29–35. [Google Scholar] [CrossRef]
- Plummer, J.; Bell, D. The effect of temperature, light and gibberellic acid (GA3) on the germination of Australian everlasting daisies (Asteraceae, tribe Inuleae). Aust. J. Bot. 1995, 43, 93–102. [Google Scholar] [CrossRef]
- Klupczyńska, E.A.; Pawłowski, T.A. Regulation of seed dormancy and germination mechanisms in a changing environment. Int. J. Mol. Sci. 2021, 22, 1357. [Google Scholar] [CrossRef] [PubMed]
- Kuroda, A.; Sawada, Y. Effects of temperature on seed dormancy and germination of the coastal dune plant Viola grayi: Germination phenology and responses to winter warming. Am. J. Bot. 2022, 109, 237–249. [Google Scholar] [CrossRef]
- Chen, X.; Yoong, F.Y.; O’Neill, C.M.; Penfield, S. Temperature during seed maturation controls seed vigour through ABA breakdown in the endosperm and causes a passive effect on DOG1 mRNA levels during entry into quiescence. New Phytol. 2021, 232, 1311–1322. [Google Scholar] [CrossRef]
- Kim, H.M.; Kim, J.H.; Lee, J.H.; Kim, G.M.; Lee, M.H.; Park, C.Y.; Kim, D.H.; Lee, D.H.; Kim, K.M.; Na, C.S. Dormancy-release and germination improvement of Korean bellflower (Campanula takesimana Nakai), a rare and endemic plant native to the Korean peninsula. PLoS ONE 2023, 18, e0292280. [Google Scholar] [CrossRef]
- Ryu, S.H.; Rhie, Y.H.; Lee, S.Y.; Ko, C.H.; Lee, J.H.; Lee, H.J.; Lee, K.C. Effect of after-ripening, cold stratification, and GA3 treatment on Lychnis wilfordii (Regel) Maxim. seed germination. Hortic. Sci. Technol. 2017, 35, 525–533. [Google Scholar] [CrossRef]
- An, K.; Yang, M.; Baskin, C.C.; Li, M.; Zhu, M.; Jiao, C.; Zhang, P. Type 2 nondeep physiological dormancy in seeds of Fraxinus chinensis subsp. rhynchophylla (Hance) A.E. Murray. Forests 2022, 13, 1951. [Google Scholar] [CrossRef]
- Nur, M.; Baskin, C.C.; Lu, J.J.; Tan, D.Y.; Baskin, J.M. A new type of non-deep physiological dormancy: Evidence from three annual Asteraceae species in the cold deserts of Central Asia. Seed Sci. Res. 2014, 24, 301–314. [Google Scholar] [CrossRef]
- Zhang, K.; Yao, L.; Zhang, Y.; Tao, J. Achene heteromorphism in Bidens pilosa (Asteraceae): Differences in germination and possible adaptive significance. AoB Plants 2019, 11, plz026. [Google Scholar] [CrossRef] [PubMed]





Disclaimer/Publisher’s Note: The statements, opinions and data contained in all publications are solely those of the individual author(s) and contributor(s) and not of MDPI and/or the editor(s). MDPI and/or the editor(s) disclaim responsibility for any injury to people or property resulting from any ideas, methods, instructions or products referred to in the content. |
© 2025 by the authors. Licensee MDPI, Basel, Switzerland. This article is an open access article distributed under the terms and conditions of the Creative Commons Attribution (CC BY) license.
Share and Cite
Baek, J.J.; Lee, Y.J.; Nam, G.-H.; Kang, J.-W.; Lee, S.Y. Non-Deep Physiological Dormancy in Seeds of Crepidiastrum denticulatum (Houtt.) J.H.Pak & Kawano. Agronomy 2026, 16, 23. https://doi.org/10.3390/agronomy16010023
Baek JJ, Lee YJ, Nam G-H, Kang J-W, Lee SY. Non-Deep Physiological Dormancy in Seeds of Crepidiastrum denticulatum (Houtt.) J.H.Pak & Kawano. Agronomy. 2026; 16(1):23. https://doi.org/10.3390/agronomy16010023
Chicago/Turabian StyleBaek, Jin Ju, Yang Jin Lee, Gi-Heum Nam, Jun-Won Kang, and Seung Youn Lee. 2026. "Non-Deep Physiological Dormancy in Seeds of Crepidiastrum denticulatum (Houtt.) J.H.Pak & Kawano" Agronomy 16, no. 1: 23. https://doi.org/10.3390/agronomy16010023
APA StyleBaek, J. J., Lee, Y. J., Nam, G.-H., Kang, J.-W., & Lee, S. Y. (2026). Non-Deep Physiological Dormancy in Seeds of Crepidiastrum denticulatum (Houtt.) J.H.Pak & Kawano. Agronomy, 16(1), 23. https://doi.org/10.3390/agronomy16010023

