Integrated Assessment of Yield, Nitrogen Use Efficiency, and Environmental Impact of Biochar and Organic Fertilizer in Cherry Tomato Production
Abstract
1. Introduction
2. Materials and Methods
2.1. Experimental Site and Design
2.2. SPAD Value, Fruit Yield, and Its Components
2.3. N Accumulation and NUE
2.4. Life Cycle Environmental Impact Assessment with Seven Categories
2.5. Standardized Comparison Using the Z-Score Method
2.6. Statistical Analyses
3. Results
3.1. Fruit Yield and Its Components
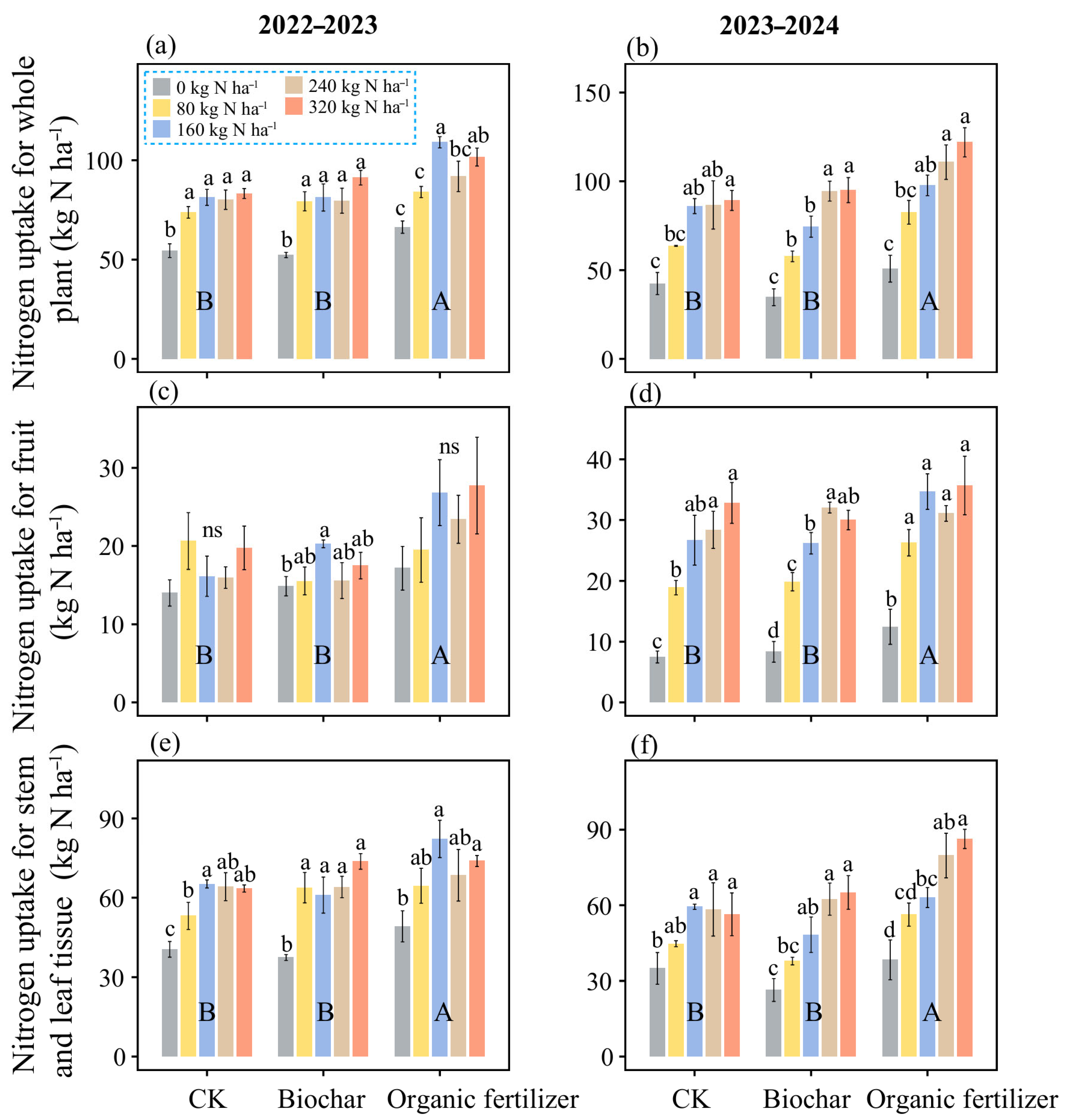
3.2. SPAD Values, N Uptake, and NUE
3.3. Key Environmental Impact Categories
3.4. Integrated Evaluation of Yield Performance, NUE, and Environmental Risk
4. Discussion
4.1. Contrasting Fruit Yields in Response to Soil Amendments
4.2. Environmental Assessment as Influenced by Biochar and Organic Fertilizer
4.3. Comparative Assessment of Biochar and Organic Fertilizer via Z-Score Analysis
5. Conclusions
Author Contributions
Funding
Data Availability Statement
Conflicts of Interest
References
- Kopittke, P.M.; Menzies, N.W.; Wang, P.; McKenna, B.A.; Lombi, E. Soil and the intensification of agriculture for global food security. Environ. Int. 2019, 132, 105078. [Google Scholar] [CrossRef] [PubMed]
- Zhang, X.; Davidson, E.A.; Mauzerall, D.L.; Searchinger, T.D.; Dumas, P.; Shen, Y. Managing nitrogen for sustainable development. Nature 2015, 528, 51–59. [Google Scholar] [CrossRef] [PubMed]
- Steffen, W.; Richardson, K.; Rockström, J.; Cornell, S.E.; Fetzer, I.; Bennett, E.M.; Biggs, R.; Carpenter, S.R.; de Vries, W.; de Wit, C.A.; et al. Planetary boundaries: Guiding human development on a changing planet. Science 2015, 347, 6223. [Google Scholar] [CrossRef] [PubMed]
- Elbadrawy, E.; Sello, A. Evaluation of nutritional value and antioxidant activity of tomato peel extracts. Arab. J. Chem. 2016, 9, S1010–S1018. [Google Scholar] [CrossRef]
- Guo, X.X.; Zhao, D.; Zhuang, M.H.; Wang, C.; Zhang, F.S. Fertilizer and pesticide reduction in cherry tomato production to achieve multiple environmental benefits in Guangxi, China. Sci. Total Environ. 2021, 793, 148527. [Google Scholar] [CrossRef]
- Xu, J.M.; Ren, C.C.; Zhang, X.M.; Wang, C.; Wang, S.T.; Ma, B.; He, Y.; Hu, L.F.; Liu, X.M.; Zhang, F.Z.; et al. Soil health contributes to variations in crop production and nitrogen use efficiency. Nat. Food 2025, 6, 597–609. [Google Scholar] [CrossRef]
- Govindasamy, P.; Muthusamy, S.K.; Bagavathiannan, M.; Mowrer, J.; Jagannadham, P.T.K.; Maity, A.; Halli, H.M.; Sujayananad, G.K.; Vadivel, R.; Das, T.K.; et al. Nitrogen use efficiency-a key to enhance crop productivity under a changing climate. Front. Plant Sci. 2023, 14, 1121073. [Google Scholar] [CrossRef]
- Iqbal, A.; He, L.; Khan, A.; Wei, S.Q.; Akhtar, K.; Ali, I.; Ullah, S.; Munsif, F.; Zhao, Q.; Jiang, L.G. Organic manure coupled with inorganic fertilizer: An approach for the sustainable production of rice by improving soil properties and nitrogen use efficiency. Agronomy 2019, 9, 651. [Google Scholar] [CrossRef]
- Bremner, J.M. Recent research on problems in the use of urea as a nitrogen fertilizer. Fertil. Res. 1995, 42, 321–329. [Google Scholar] [CrossRef]
- Dawson, J.C.; Huggins, D.R.; Jones, S.S. Characterizing nitrogen use efficiency in natural and agricultural ecosystems to improve the performance of cereal crops in low-input and organic agricultural systems. Field Crops Res. 2008, 107, 89–101. [Google Scholar] [CrossRef]
- Zhang, M.; Yao, Y.L.; Tian, Y.H.; Ceng, K.; Zhao, M.; Zhao, M.; Yin, B. Increasing yield and N use efficiency with organic fertilizer in Chinese intensive rice cropping systems. Field Crops Res. 2018, 227, 102–109. [Google Scholar] [CrossRef]
- Duan, Y.H.; Xu, M.G.; Wang, B.R.; Yang, X.Y.; Huang, S.M.; Gao, S.D. Long–term evaluation of manure application on maize yield and nitrogen use efficiency in China. Soil Sci. Soc. Am. J. 2011, 75, 1562–1573. [Google Scholar] [CrossRef]
- Neves, D.; Thunman, H.; Matos, A.; Tarelho, L.; Gómez-Barea, A. Characterization and prediction of biomass pyrolysis products. Prog. Energy Combust. Sci. 2011, 37, 611–630. [Google Scholar] [CrossRef]
- Zhang, K.; Sui, Y.H.; Gao, J.P.; Zhang, Z.C.; Chen, L.L.; Tang, S.Y.; Wan, X.; Jiang, H.F.; Zhao, Y.Z.; Zhang, W.Z. Different roles of biochar in mitigating greenhouse gas emissions from paddy fields in northern and southern China. Crop Environ. 2025; in press. [Google Scholar] [CrossRef]
- Liu, Y.; Li, H.D.; Hu, T.S.; Mahmoud, A.; Li, J.; Zhu, R.; Jiao, X.Y.; Jing, P.R. A quantitative review of the effects of biochar application on rice yield and nitrogen use efficiency in paddy fields: A meta-analysis. Sci. Total Environ. 2022, 830, 154792. [Google Scholar] [CrossRef]
- Shahzadi, A.; Noreen, Z.; Alamery, S.; Zafar, F.; Haroon, A.; Rashid, M.; Aslam, M.; Younas, A.; Attia, K.A.; Mohammed, A.A.; et al. Effects of biochar on growth and yield of Wheat (Triticum aestivum L.) under salt stress. Sci. Rep. 2024, 14, 20024. [Google Scholar] [CrossRef]
- Cong, M.F.; Hu, Y.; Sun, X.; Yan, H.; Yu, G.L.; Tang, G.M.; Chen, S.H.; Xu, W.L.; Jia, H.T. Long-term effects of biochar application on the growth and physiological characteristics of maize. Front. Plant Sci. 2023, 14, 1172425. [Google Scholar] [CrossRef] [PubMed]
- Shah, F.; Wu, W. Soil and crop management strategies to ensure higher crop productivity within sustainable environments. Sustainability 2019, 11, 1485. [Google Scholar] [CrossRef]
- Agathokleous, E.; Frei, M.; Knopf, O.M.; Muller, O.; Xu, Y.S.; Nguyen, T.H.; Gaiser, T.; Liu, X.Y.; Liu, B.; Saitanis, C.J.; et al. Adapting crop production to climate change and air pollution at different scales. Nat. Food 2023, 4, 854–865. [Google Scholar] [CrossRef]
- Alhashim, R.; Deepa, R.; Anandhi, A. Environmental impact assessment of agricultural production using LCA: A review. Climate 2021, 9, 164. [Google Scholar] [CrossRef]
- Afshar, R.K.; Dekamin, M. Sustainability assessment of corn production in conventional and conservation tillage systems. J. Clean. Prod. 2022, 351, 131508. [Google Scholar] [CrossRef]
- Bremner, J.M. Determination of nitrogen in soil by the Kjeldahl method. J. Agric. Sci. 1960, 55, 11–33. [Google Scholar] [CrossRef]
- Guinée, J.B. (Ed.) Handbook on Life Cycle Assessment: Operational Guide to the ISO Standards; Kluwer Academic Publishers: Dordrecht, The Netherlands, 2002; ISBN 1-4020-0557-1. [Google Scholar]
- EC-JRC, European Commission—Joint Research Centre. (2011). ILCD Handbook: Recommendations for Life Cycle Impact Assessment in the European Context. EUR 24571 EN. Publications Office of the European Union, Luxembourg. Available online: https://publications.jrc.ec.europa.eu/repository/handle/JRC61049 (accessed on 30 June 2025).
- ISO, 2006a. ISO 14040: Environmental Management—Life Cycle Assessment—Principles and Framework. International Organization for Standardization, Geneva. Available online: https://www.iso.org/standard/37456.html (accessed on 30 June 2025).
- ISO, 2006b. ISO 14044: Environmental Management—Life Cycle Assessment—Requirements and Guidelines. International Organization for Standardization, Geneva. Available online: https://www.iso.org/standard/38498.html (accessed on 30 June 2025).
- Xiong, L.; Liang, C.; Ma, B.L.; Shah, F.; Wu, W. Carbon footprint and yield performance assessment under plastic film mulching for winter wheat production. J. Clean. Prod. 2020, 270, 122468. [Google Scholar] [CrossRef]
- Xiong, L.; Li, Z.J.; Shah, F.; Wang, P.; Yuan, Q.H.; Wu, W. Biodegradable mulch film enhances the environmental sustainability compared with traditional polyethylene film from multidimensional perspectives. Chem. Eng. J. 2024, 492, 152219. [Google Scholar] [CrossRef]
- Gelardi, D.L.; Lazicki, P.A.; Rath, D.; Leinfelder-Miles, M.M.; Scow, K.M.; Geisseler, D.J.; Parikh, S.J. Three-year field trials with seven biochars reveal minor changes in soil chemical properties but no impact on crop yield. Field Crops Res. 2025, 325, 109807. [Google Scholar] [CrossRef]
- Xu, H.; Cai, A.D.; Wu, D.; Liang, G.P.; Xiao, J.; Xu, M.G.; Colinet, G.; Zhang, W.J. Effects of biochar application on crop productivity, soil carbon sequestration, and global warming potential controlled by biochar C: N ratio and soil pH: A global meta-analysis. Soil Tillage Res. 2021, 213, 105125. [Google Scholar] [CrossRef]
- Leng, L.J.; Xu, S.Y.; Liu, R.F.; Yu, T.; Zhuo, X.M.; Leng, S.Q.; Xiong, Q.; Huang, H.J. Nitrogen containing functional groups of biochar: An overview. Bioresour. Technol. 2020, 298, 122286. [Google Scholar] [CrossRef]
- Wan, X.J.; Wu, W.; Liao, Y.C. Mitigating ammonia volatilization and increasing nitrogen use efficiency through appropriate nitrogen management under supplemental irrigation and rain–fed condition in winter wheat. Agric. Water Manag. 2021, 255, 107050. [Google Scholar] [CrossRef]
- Mao, X.P.; Gu, J.L.; Wang, F.; Wang, K.; Liu, R.L.; Hong, Y.; Wang, Y.; Han, F.P. Yield, quality, and nitrogen leaching of open-field tomato in response to different nitrogen application measures in Northwestern China. Plants 2024, 13, 924. [Google Scholar] [CrossRef]
- Wei, Z.B.; Hoffland, E.; Zhuang, M.H.; Hellegers, P.; Cui, Z.L. Organic inputs to reduce nitrogen export via leaching and runoff: A global meta-analysis. Environ. Pollut. 2021, 291, 118176. [Google Scholar] [CrossRef]
- Deng, W.W.; Zhang, A.Y.; Chen, S.J.; He, X.P.; Jin, L.; Yu, X.M.; Yang, S.Z.; Li, B.; Fan, L.Q.; Ji, L.; et al. Heavy metals, antibiotics and nutrients affect the bacterial community and resistance genes in chicken manure composting and fertilized soil. J. Environ. Manag. 2020, 257, 109980. [Google Scholar] [CrossRef] [PubMed]
- Duan, J.Z.; Shao, Y.H.; He, L.; Li, X.; Hou, G.G.; Li, S.N.; Feng, W.; Zhu, Y.J.; Wang, Y.H.; Xie, Y.X. Optimizing nitrogen management to achieve high yield, high nitrogen efficiency and low nitrogen emission in winter wheat. Sci. Total Environ. 2019, 697, 134088. [Google Scholar] [CrossRef] [PubMed]
- Guo, C.; Liu, X.F.; He, X.F. A global meta-analysis of crop yield and agricultural greenhouse gas emissions under nitrogen fertilizer application. Sci. Total Environ. 2022, 831, 154982. [Google Scholar] [CrossRef]
- Li, Y.F.; Zhang, Z.Y.; Wang, Q.R.; Long, X.T.; Cao, Y.W.; Yang, H.P.; Yang, Q. The nitrogen and carbon footprints of ammonia synthesis in China based on life cycle assessment. J. Environ. Manag. 2023, 345, 118848. [Google Scholar] [CrossRef]
- Menegat, S.; Ledo, A.; Tirado, R. Greenhouse gas emissions from global production and use of nitrogen synthetic fertilisers in agriculture. Sci. Rep. 2022, 12, 14490. [Google Scholar] [CrossRef]
- Duan, T.Z.; Zhao, J.T.; Zhu, L.Z. Insights into CO2 and N2O emissions driven by applying biochar and nitrogen fertilizers in upland soil. Sci. Total Environ. 2024, 929, 172439. [Google Scholar] [CrossRef]
- Yu, S.; Mu, Y.T. Sustainable agricultural development assessment: A comprehensive review and bibliometric analysis. Sustainability 2022, 14, 11824. [Google Scholar] [CrossRef]
- Hu, W.; Zhang, Y.P.; Rong, X.M.; Zhou, X.; Fei, J.C.; Peng, J.W.; Luo, G.W. Biochar and organic fertilizer applications enhance soil functional microbial abundance and agroecosystem multifunctionality. Biochar 2024, 6, 3. [Google Scholar] [CrossRef]





| Items | Unit | CK | Biochar | Organic Fertilizer |
|---|---|---|---|---|
| N | kg/ha | 0/80/160/240/320 | 0/80/160/240/320 | 0/80/160/240/320 |
| Phosphorus (P2O5) | kg/ha | 120 | 120 | 120 |
| Potassium (K2O) | kg/ha | 180 | 180 | 180 |
| Biochar | t/ha | 0 | 20 | 0 |
| Organic fertilizer | t/ha | 0 | 0 | 20 |
| Irrigation | m3/ha | 800 | 800 | 800 |
| Electricity | kWh | 58.6 | 58.6 | 58.6 |
| HDPE pipeline | kg/ha | 16.74 | 16.74 | 16.74 |
| Herbicide | kg/ha | 2.25 | 2.25 | 2.25 |
| Insecticide | kg/ha | 0.3 | 0.3 | 0.3 |
| Diesel | L/ha | 142 | 142 | 142 |
| Machinery | kg/ha | 16 | 16 | 16 |
| Transportation | tkm/ha | 147/165/182/199/217 | 2147/2165/2182/2199/2217 | 2147/2165/2182/2199/2217 |
| Parameters | Year (Y) | Treatments (T) | N Rates (N) | Y × T | Y × N | T × N | Y × T × N |
|---|---|---|---|---|---|---|---|
| Yield-related parameters | |||||||
| Fruit yield | 92.15 ** | 48.58 ** | 72.11 ** | 5.09 ** | 1.68 ns | 14.36 ** | 1.05 ns |
| Fruit number | 20.27 ** | 47.35 ** | 31.89 ** | 1.68 ns | 2.65 * | 3.79 ** | 1.04 ns |
| Fruit weigh | 486.1 ** | 9.59 ** | 17.63 ** | 1.3 ns | 3.32 ** | 15.99 ** | 3.58 ** |
| Aboveground biomass | 1.37 ns | 20.7 ** | 29.28 ** | 1.82 ns | 1.31 ns | 1.37 ns | 0.47 ns |
| N uptake and use efficiency | |||||||
| N uptake for the whole plant | 0.45 ns | 30.57 ** | 62.28 ** | 1.09 ns | 0.84 ns | 7.11 ** | 0.83 ns |
| N uptake for fruit | 31.62 ** | 12.64 ** | 26.8 ** | 0.17 ns | 0.64 ns | 10.58 ** | 0.81 ns |
| N uptake for stem and leaf tissue | 11.8 ** | 15.21 ** | 30.6 ** | 1.6 ns | 0.87 ns | 2.19* | 1.04 ns |
| SPAD | 119.0 ** | 17.9 ** | 77.35 ** | 2.21 ns | 3.9 ** | 25.39 ** | 2.61 * |
| PFP | 69.8 ** | 37.48 ** | 931.7 ** | 5.23** | 5.88 ** | 0.63 ns | 1.19 ns |
| NAE | 126.9 ** | 3.55 * | 18.62 ** | 2.16 ns | 1.55 ns | 2.85 * | 0.79 ns |
| NRE | 29.38 ** | 3.96 * | 21.04 ** | 1.61 ns | 0.52 ns | 1.03 ns | 1.72 ns |
| NPE | 94.5 ** | 0.72 ns | 2.2 ns | 0.48 ns | 1.08 ns | 0.98 ns | 1.88 ns |
| NHI | 27.2 ** | 0.24 ns | 1.02 ns | 1.35 ns | 0.79 ns | 4.4 ** | 1.03 ns |
| Treatments | N Rates (kg N ha−1) | Fruit Yield (t ha−1) | Fruit Number (no. m−2) | Fruit Weight (g) | Aboveground Biomass (t ha−1) |
|---|---|---|---|---|---|
| 2022–2023 | |||||
| CK | 0 | 15.1 c | 108 c | 14.0 bc | 3.97 b |
| 80 | 17.1 b | 119 bc | 14.4 abc | 5.02 a | |
| 160 | 17.8 ab | 117 bc | 15.2 a | 5.35 a | |
| 240 | 19.0 a | 127 ab | 14.9 ab | 5.05 a | |
| 320 | 18.7 ab | 139 a | 13.5 c | 5.04 a | |
| Mean | 17.5 B | 122 B | 14.4 A | 4.89 B | |
| Biochar | 0 | 14.7 b | 112 a | 13.1a | 3.39 b |
| 80 | 16.4 ab | 118 a | 13.9a | 5.49 a | |
| 160 | 18.3 a | 132 a | 14.0a | 5.21 a | |
| 240 | 18.4 a | 131 a | 14.1a | 5.25 a | |
| 320 | 17.4 a | 127 a | 13.8a | 5.65 a | |
| Mean | 17.1 B | 124 B | 13.8 A | 5.00 AB | |
| Organic | 0 | 16.9 b | 118 c | 14.4 a | 4.84 c |
| fertilizer | 80 | 19.3 a | 156 a | 12.3 b | 5.05 bc |
| 160 | 20.1 a | 138 b | 14.6 a | 6.07 a | |
| 240 | 20.1 a | 146 ab | 13.8 a | 5.74 ab | |
| 320 | 21.0 a | 150 a | 14.0 a | 5.93 a | |
| Mean | 19.5 A | 142 A | 13.8 A | 5.52 A | |
| 2023–2024 | |||||
| CK | 0 | 13.2 c | 91 c | 14.5 c | 3.62 b |
| 80 | 17.7 b | 97 bc | 18.3 b | 4.59 ab | |
| 160 | 19.0 b | 107 b | 17.7 b | 4.98 a | |
| 240 | 22.0 a | 123 a | 17.8 b | 5.25 a | |
| 320 | 23.9 a | 121 a | 19.7 a | 5.21 a | |
| Mean | 19.2 B | 108 B | 17.6 A | 4.73 B | |
| Biochar | 0 | 14.0 d | 98 d | 14.3 c | 3.12 c |
| 80 | 18.4 c | 111 c | 16.6 b | 4.64 b | |
| 160 | 21.1 b | 124 b | 17.0 ab | 4.57 b | |
| 240 | 23.6 a | 136 a | 17.4 ab | 5.37 a | |
| 320 | 22.2 ab | 123 b | 18.0 a | 5.33 a | |
| Mean | 19.9 B | 118 B | 16.7 A | 4.61 B | |
| Organic | 0 | 16.3 c | 101 b | 16.2 a | 4.29 b |
| fertilizer | 80 | 22.6 b | 127 a | 17.8 a | 5.46 ab |
| 160 | 26.4 a | 148 a | 17.9 a | 5.94 a | |
| 240 | 25.7 ab | 147 a | 17.5 a | 6.11 a | |
| 320 | 25.7 ab | 150 a | 17.2 a | 6.55 a | |
| Mean | 23.3 A | 135 A | 17.3 A | 5.67 A |
| Treatments | N Rates (kg N ha−1) | PFP (kg kg−1) | NAE (kg kg−1) | NRE (%) | NPE (kg kg−1) | NHI (%) |
|---|---|---|---|---|---|---|
| 2022–2023 | ||||||
| CK | 0 | / | / | / | / | 25.7 a |
| 80 | 214 a | 25.9 a | 24.1 a | 111 a | 28.2 a | |
| 160 | 111 b | 16.9 b | 16.8 ab | 114 a | 19.6 a | |
| 240 | 79 c | 16.5 b | 10.7 b | 167 a | 20.1 a | |
| 320 | 58 d | 11.4 b | 9.0 b | 131 a | 23.6 a | |
| Mean | 116 A | 17.7 A | 15.1 A | 131 A | 23.4 A | |
| Biochar | 0 | / | / | / | / | 28.4 a |
| 80 | 205 a | 21.5 a | 33.8 a | 62.6 a | 19.9 b | |
| 160 | 115 b | 22.8 a | 18.1 b | 178 a | 25.3 ab | |
| 240 | 77 c | 15.5 a | 11.4 b | 164 a | 19.4 b | |
| 320 | 54 c | 8.6 a | 12.2 b | 72.3 a | 19.2 b | |
| Mean | 113 A | 17.1 A | 18.9 A | 119 A | 22.4 A | |
| Organic | 0 | / | / | / | / | 26.4 a |
| fertilizer | 80 | 241 a | 29.4 a | 22.1 a | 139 a | 23.5 a |
| 160 | 126 b | 20.0 ab | 26.7 a | 75.6 a | 24.8 a | |
| 240 | 84 c | 13.2 b | 10.6 b | 152 a | 26.2 a | |
| 320 | 66 d | 12.9 b | 11.0 b | 131 a | 26.9 a | |
| Mean | 129 A | 18.9 A | 17.6 A | 124 A | 25.6 A | |
| 2023–2024 | ||||||
| CK | 0 | / | / | / | / | 18.4 b |
| 80 | 221 a | 56.1 a | 26.5 a | 211 a | 29.7 a | |
| 160 | 119 b | 36.5 b | 27.3 a | 133 a | 30.7 a | |
| 240 | 92 c | 36.6 b | 18.4 ab | 227 a | 33.2 a | |
| 320 | 75 d | 33.6 b | 14.6 b | 242 a | 37.4 a | |
| Mean | 127 A | 40.7 A | 21.7 B | 203 A | 29.9 A | |
| Biochar | 0 | / | / | / | / | 24.5 a |
| 80 | 230 a | 54.6 a | 28.8 a | 193 a | 34.3 a | |
| 160 | 132 b | 43.9 ab | 24.8 a | 178 ab | 35.7 a | |
| 240 | 99 c | 40.0 b | 24.9 a | 164 ab | 34.3 a | |
| 320 | 69 d | 25.5 c | 18.9 a | 135 b | 31.8 a | |
| Mean | 132 A | 41.0 A | 24.3 AB | 167 A | 32.1 A | |
| Organic | 0 | / | / | / | / | 25.5 b |
| fertilizer | 80 | 282 a | 79.0 a | 39.7 a | 199 ab | 31.8 ab |
| 160 | 165 b | 63.7 ab | 29.3 ab | 223 a | 35.5 a | |
| 240 | 107 c | 39.3 b | 25.0 ab | 163 ab | 28.3 ab | |
| 320 | 80 c | 29.5 c | 22.2 b | 135 b | 29.0 ab | |
| Mean | 159 A | 52.9 A | 29.1 A | 135 A | 30.0 A |
| Treatments | N Rates (kg N ha−1) | Ecotoxicity | Global Warming | Fossil Resource Scarcity | Human Toxicity | Water Consumption | Terrestrial Acidification | Mineral Resource Scarcity |
| CK | 0 | 1.58 × 105 | 4.32 × 103 | 1.27 × 103 | 9.16 × 102 | 8.30 × 102 | 1.65 × 101 | 4.18 × 101 |
| 80 | 2.31 × 105 | 5.56 × 103 | 1.40 × 103 | 9.72 × 102 | 8.45 × 102 | 6.38 × 101 | 4.29 × 101 | |
| 160 | 3.04 × 105 | 6.79 × 103 | 1.53 × 103 | 1.03 × 103 | 8.60 × 102 | 1.11 × 102 | 4.40 × 101 | |
| 240 | 3.76 × 105 | 8.03 × 103 | 1.66 × 103 | 1.08 × 103 | 8.75 × 102 | 1.58 × 102 | 4.51 × 101 | |
| 320 | 4.49 × 105 | 9.27 × 103 | 1.79 × 103 | 1.14 × 103 | 8.90 × 102 | 2.06 × 102 | 4.62 × 101 | |
| Mean | 3.04 × 105 | 6.79 × 103 | 1.53 × 103 | 1.03 × 103 | 8.60 × 102 | 1.11 × 102 | 4.40 × 101 | |
| Biochar | 0 | 2.02 × 105 | 1.15 × 104 | 2.63 × 103 | 1.44 × 103 | 8.50 × 102 | 5.10 × 101 | 5.27 × 101 |
| 80 | 2.75 × 105 | 1.27 × 104 | 2.76 × 103 | 1.49 × 103 | 8.65 × 102 | 9.82 × 101 | 5.39 × 101 | |
| 160 | 3.47 × 105 | 1.40 × 104 | 2.89 × 103 | 1.55 × 103 | 8.80 × 102 | 1.45 × 102 | 5.50 × 101 | |
| 240 | 4.20 × 105 | 1.52 × 104 | 3.03 × 103 | 1.60 × 103 | 8.95 × 102 | 1.93 × 102 | 5.61 × 101 | |
| 320 | 4.93 × 105 | 1.64 × 104 | 3.16 × 103 | 1.66 × 103 | 9.10 × 102 | 2.40 × 102 | 5.72 × 101 | |
| Mean | 3.47 × 105 | 1.40 × 104 | 2.89 × 103 | 1.55 × 103 | 8.80 × 102 | 1.45 × 102 | 5.50 × 101 | |
| Organic | 0 | 3.54 × 105 | 1.75 × 104 | 4.67 × 103 | 3.01 × 103 | 8.71 × 102 | 6.99 × 101 | 6.86 × 101 |
| fertilizer | 80 | 4.27 × 105 | 1.88 × 104 | 4.80 × 103 | 3.06 × 103 | 8.86 × 102 | 1.17 × 102 | 6.97 × 101 |
| 160 | 4.99 × 105 | 2.00 × 104 | 4.93 × 103 | 3.12 × 103 | 9.01 × 102 | 1.64 × 102 | 7.08 × 101 | |
| 240 | 5.72 × 105 | 2.12 × 104 | 5.06 × 103 | 3.17 × 103 | 9.16 × 102 | 2.12 × 102 | 7.20 × 101 | |
| 320 | 6.45 × 105 | 2.25 × 104 | 5.19 × 103 | 3.23 × 103 | 9.31 × 102 | 2.59 × 102 | 7.31 × 101 | |
| Mean | 4.99 × 105 | 2.00 × 104 | 4.93 × 103 | 3.12 × 103 | 9.01 × 102 | 1.64 × 102 | 7.08 × 101 |
| Treatments | N Rates (kg N ha−1) | Ecotoxicity | Global Warming | Fossil Resource Scarcity | Human Toxicity | Water Consumption | Terrestrial Acidification | Mineral Resource Scarcity |
|---|---|---|---|---|---|---|---|---|
| CK | 0 | 1.12 × 101 | 3.05 × 10−1 | 7.21 × 10−1 | 8.98 × 10−2 | 6.47 × 10−2 | 5.87 × 10−2 | 1.17 × 10−3 |
| 80 | 1.33 × 101 | 3.20 × 10−1 | 5.86 × 10−1 | 8.05 × 10−2 | 5.59 × 10−2 | 4.86 × 10−2 | 3.67 × 10−3 | |
| 160 | 1.65 × 101 | 3.69 × 10−1 | 5.54 × 10−1 | 8.32 × 10−2 | 5.60 × 10−2 | 4.67 × 10−2 | 6.03 × 10−3 | |
| 240 | 1.97 × 101 | 4.22 × 10−1 | 5.35 × 10−1 | 8.71 × 10−2 | 5.67 × 10−2 | 4.59 × 10−2 | 8.29 × 10−3 | |
| 320 | 2.11 × 101 | 4.35 × 10−1 | 4.79 × 10−1 | 8.40 × 10−2 | 5.35 × 10−2 | 4.18 × 10−2 | 9.67 × 10−3 | |
| Mean | 1.64 × 101 | 3.70 × 10−1 | 5.75 × 10−1 | 8.49 × 10−2 | 5.74 × 10−2 | 4.83 × 10−2 | 5.77 × 10−3 | |
| Biochar | 0 | 1.41 × 101 | 8.01 × 10−1 | 7.25 × 10−1 | 1.83 × 10−1 | 1.00 × 10−1 | 5.92 × 10−2 | 3.55 × 10−3 |
| 80 | 1.58 × 101 | 7.30 × 10−1 | 5.98 × 10−1 | 1.59 × 10−1 | 8.56 × 10−2 | 4.97 × 10−2 | 5.64 × 10−3 | |
| 160 | 1.76 × 101 | 7.11 × 10−1 | 5.28 × 10−1 | 1.47 × 10−1 | 7.87 × 10−2 | 4.47 × 10−2 | 7.36 × 10−3 | |
| 240 | 2.00 × 101 | 7.24 × 10−1 | 4.95 × 10−1 | 1.44 × 10−1 | 7.62 × 10−2 | 4.26 × 10−2 | 9.19 × 10−3 | |
| 320 | 2.49 × 101 | 8.28 × 10−1 | 5.25 × 10−1 | 1.60 × 10−1 | 8.38 × 10−2 | 4.60 × 10−2 | 1.21 × 10−2 | |
| Mean | 1.85 × 101 | 7.59 × 10−1 | 5.74 × 10−1 | 1.58 × 10−1 | 8.49 × 10−2 | 4.84 × 10−2 | 7.57 × 10−3 | |
| Organic | 0 | 2.13 × 101 | 1.05× 100 | 6.51 × 10−1 | 2.81 × 10−1 | 1.81 × 10−1 | 5.25 × 10−2 | 4.21 × 10−3 |
| fertilizer | 80 | 2.04 × 101 | 8.97 × 10−1 | 5.16 × 10−1 | 2.29 × 10−1 | 1.46 × 10−1 | 4.23 × 10−2 | 5.58 × 10−3 |
| 160 | 2.15 × 101 | 8.60 × 10−1 | 4.65 × 10−1 | 2.12 × 10−1 | 1.34 × 10−1 | 3.88 × 10−2 | 7.05 × 10−3 | |
| 240 | 2.50 × 101 | 9.26 × 10−1 | 4.72 × 10−1 | 2.21 × 10−1 | 1.38 × 10−1 | 4.00 × 10−2 | 9.26 × 10−3 | |
| 320 | 2.76 × 101 | 9.64 × 10−1 | 4.63 × 10−1 | 2.22 × 10−1 | 1.38 × 10−1 | 3.99 × 10−2 | 1.11 × 10−2 | |
| Mean | 2.32 × 101 | 9.40 × 10−1 | 5.13 × 10−1 | 2.33 × 10−1 | 1.48 × 10−1 | 4.27 × 10−2 | 7.44 × 10−3 |
Disclaimer/Publisher’s Note: The statements, opinions and data contained in all publications are solely those of the individual author(s) and contributor(s) and not of MDPI and/or the editor(s). MDPI and/or the editor(s) disclaim responsibility for any injury to people or property resulting from any ideas, methods, instructions or products referred to in the content. |
© 2025 by the authors. Licensee MDPI, Basel, Switzerland. This article is an open access article distributed under the terms and conditions of the Creative Commons Attribution (CC BY) license (https://creativecommons.org/licenses/by/4.0/).
Share and Cite
Li, Z.; Zhang, S.; Shah, F.; Xiong, L.; Wu, W. Integrated Assessment of Yield, Nitrogen Use Efficiency, and Environmental Impact of Biochar and Organic Fertilizer in Cherry Tomato Production. Agronomy 2025, 15, 1623. https://doi.org/10.3390/agronomy15071623
Li Z, Zhang S, Shah F, Xiong L, Wu W. Integrated Assessment of Yield, Nitrogen Use Efficiency, and Environmental Impact of Biochar and Organic Fertilizer in Cherry Tomato Production. Agronomy. 2025; 15(7):1623. https://doi.org/10.3390/agronomy15071623
Chicago/Turabian StyleLi, Zhaojie, Shuxin Zhang, Farooq Shah, Li Xiong, and Wei Wu. 2025. "Integrated Assessment of Yield, Nitrogen Use Efficiency, and Environmental Impact of Biochar and Organic Fertilizer in Cherry Tomato Production" Agronomy 15, no. 7: 1623. https://doi.org/10.3390/agronomy15071623
APA StyleLi, Z., Zhang, S., Shah, F., Xiong, L., & Wu, W. (2025). Integrated Assessment of Yield, Nitrogen Use Efficiency, and Environmental Impact of Biochar and Organic Fertilizer in Cherry Tomato Production. Agronomy, 15(7), 1623. https://doi.org/10.3390/agronomy15071623

