Assessing the Synergy of Spring Strip Tillage and Straw Mulching to Mitigate Soil Degradation and Enhance Productivity in Black Soils
Abstract
1. Introduction
2. Materials and Methods
2.1. Experimental Site and Soil Properties
2.2. Experimental Design and Management
2.2.1. Experimental Design
- Conventional Ridge Tillage (CP): In Zhalaite Banner, straw was removed after the autumn harvest, and the field was rotary-tilled and ridged uniformly before spring sowing. In Arong Banner, straw was removed after the autumn harvest, followed by plowing, land leveling, and the formation of large ridges, with direct sowing conducted in the following year.
- No Tillage with Straw Removal (NT): After the autumn harvest, all straw was removed from the field using a straw removal machine. In the following year, a no-till planter was used for direct sowing.
- No Tillage with Straw Mulching (R+NT): After the autumn harvest, straw stubble was retained at a height of 30 cm. In the following year, a no-till planter was used for direct sowing.
- Strip Tillage with Straw Mulching after Autumn Harvest (R+STA): After the autumn harvest, straw stubble was retained at a height of 30 cm. A strip-till machine was used to clear the seedling zone and perform deep loosening, soil crushing, and compaction. In the following year, a no-till planter was used for fertilization and sowing.
- Strip Tillage with Straw Mulching during Spring Sowing (R+STS): After the autumn harvest, straw stubble was retained at a height of 30 cm. Before spring sowing, a strip-till machine was used to clear the seedling zone and perform deep loosening, soil crushing, and compaction. Subsequently, a no-till planter was used for fertilization and sowing.
2.2.2. Crop Establishment and Maintenance
2.3. Sampling Time and Measurement Indicators
2.4. Data Calculations
2.5. Statistical Analysis
3. Results
3.1. Effects of Straw Mulching with Strip Tillage on Soil Wind Erosion Rates
3.2. Effects of Straw Mulching with Strip Tillage on Soil Sediment Discharge
3.3. Effects of Straw Mulching with Strip Tillage on Soil Creep Amount
3.4. Effects of Straw Mulching with Strip Tillage on Straw Coverage and Maize Seedling Emergence Rate
3.5. Effects of Straw Mulching with Strip Tillage on Soil Bulk Density and Water Content
3.6. Effects of Straw Mulching with Strip Tillage on Surface Aerodynamic Roughness
3.7. Effects of Straw Mulching with Strip Tillage on Soil Fertility
3.7.1. Effects of Straw Mulching with Strip Tillage on Soil Total Nitrogen and Soil Organic Carbon
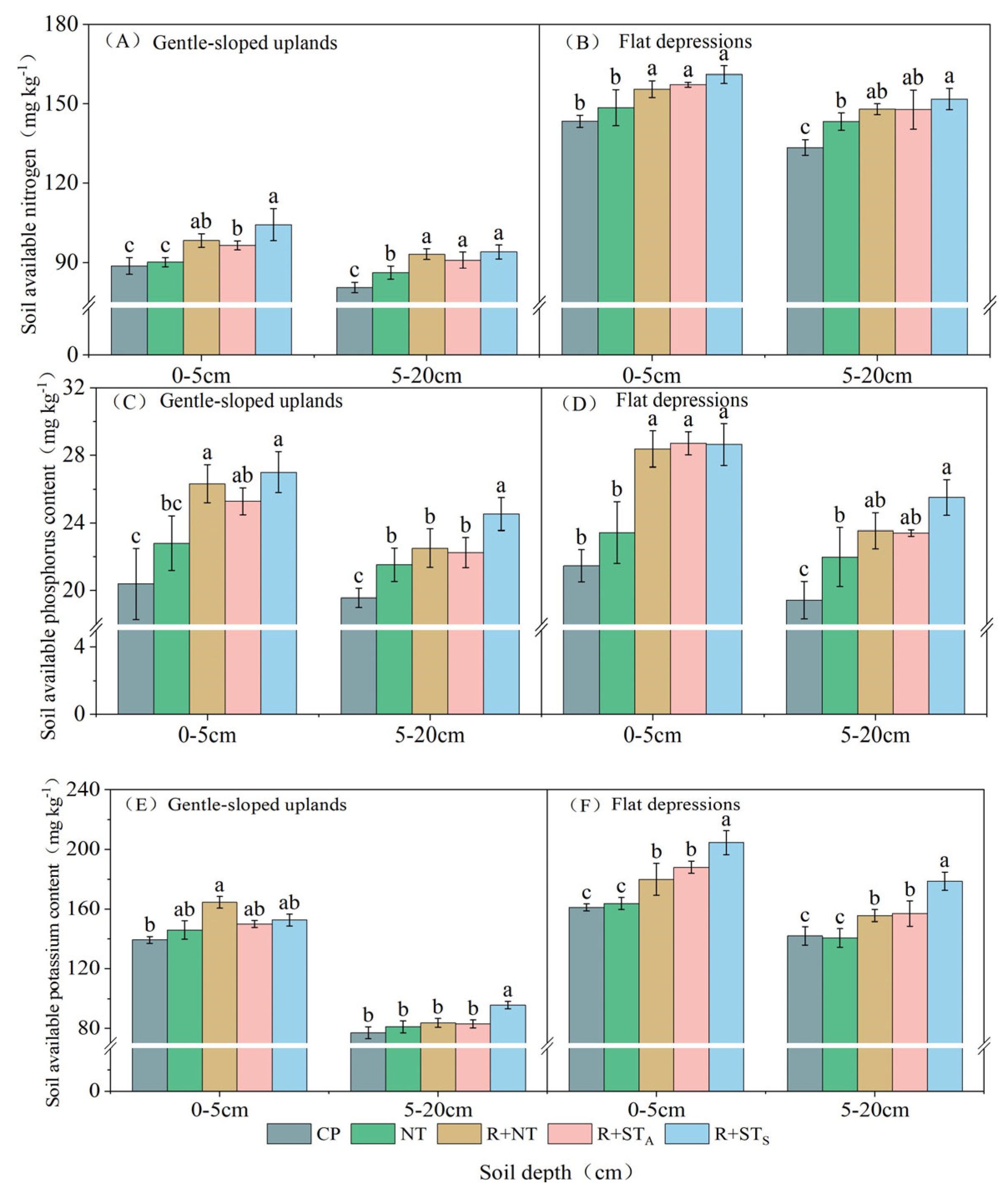
3.7.2. Effects of Straw Mulching with Strip Tillage on Soil Available Nutrients
3.8. Effects of Straw Mulching with Strip Tillage on Maize Yield
3.9. Correlation Analysis of Tillage Practices with Soil Wind Erosion and Nutrients Based on Mantel Test
3.10. Structural Equation Modeling (SEM) Analysis
4. Discussion
4.1. Effects of Tillage Practices on Soil Wind Erosion
4.2. Effects of Tillage Practices and Soil Wind Erosion on Soil Nutrients and Yield
5. Conclusions
Author Contributions
Funding
Data Availability Statement
Conflicts of Interest
References
- Wang, X.; Li, Y.; Gong, X.; Niu, Y.; Chen, Y.; Shi, X.; Li, W. Storage, Pattern and Driving Factors of Soil Organic Carbon in an Ecologically Fragile Zone of Northern China. Geoderma 2019, 343, 155–165. [Google Scholar] [CrossRef]
- Zhang, Y.; Liu, M.; Han, L.; Yang, J.; Zhao, X.; Qu, J.; Li, L.; Bai, Y.; Yan, D.; Hou, G. Spatial Distribution Characteristics of Soil C:N:P:K Eco-Stoichiometry of Farmland and Grassland in the Agro-Pastoral Ecotone in Inner Mongolia, China. Agronomy 2024, 14, 346. [Google Scholar] [CrossRef]
- Hao, C.; Yan, D.; Xiao, W.; Shi, M.; He, D.; Sun, Z. Impacts of Typical Rainfall Processes on Nitrogen in Typical Rainfield of Black Soil Region in Northeast China. Arab. J. Geosci. 2015, 8, 6745–6757. [Google Scholar] [CrossRef]
- Xu, X.; Xu, Y.; Chen, S.; Xu, S.; Zhang, H. Soil Loss and Conservation in the Black Soil Region of Northeast China: A Retrospective Study. Environ. Sci. Policy 2010, 13, 793–800. [Google Scholar] [CrossRef]
- Zhang, S.; Chen, X.; Jia, S.; Liang, A.; Zhang, X.; Yang, X.; Wei, S.; Sun, B.; Huang, D.; Zhou, G. The Potential Mechanism of Long-Term Conservation Tillage Effects on Maize Yield in the Black Soil of Northeast China. Soil Tillage Res. 2015, 154, 84–90. [Google Scholar] [CrossRef]
- Wang, H.; Yang, S.; Wang, Y.; Gu, Z.; Xiong, S.; Huang, X.; Sun, M.; Zhang, S.; Guo, L.; Cui, J. Rates and Causes of Black Soil Erosion in Northeast China. Catena 2022, 214, 106250. [Google Scholar] [CrossRef]
- Dai, Y.C.; Yang, X.Q.; Zhang, Z.G.; Liu, D.; Gao, Y.G. Causes of Soil Degradation and Its Impact on Agriculture in Heilongjiang Province. Mod. Agric. (China) 2017, 10, 13–17. [Google Scholar] [CrossRef]
- Ao, M.; Zhang, X.D.; Guan, Y.X. Research and Practice of Conservation Tillage Technology in Black Soil of Northeast China. Bull. Chin. Acad. Sci. 2021, 36, 1203–1215. [Google Scholar] [CrossRef]
- Liang, X.; Rehman, S.U.; Zhiqi, W.; Raza, M.A.; Haider, I.; Khalid, M.H.B.; Saeed, A.; Iqbal, Z.; Fatima, S.; Siddiqa, A. Impacts of Conservation Tillage on Agricultural Land Development: A Review. J. Soil Sci. Plant Nutr. 2024, 25, 428–449. [Google Scholar] [CrossRef]
- Somasundaram, J.; Sinha, N.; Dalal, R.C.; Lal, R.; Mohanty, M.; Naorem, A.; Hati, K.; Chaudhary, R.; Biswas, A.; Patra, A. No-Till Farming and Conservation Agriculture in South Asia–Issues, Challenges, Prospects and Benefits. Crit. Rev. Plant Sci. 2020, 39, 236–279. [Google Scholar] [CrossRef]
- Xiao, L.; You, Z.; Zhang, H.; Xie, Z.; Zhao, R.; Greenwood, P. Effects of Conservation Practices on Global Wind Erosion Control: Evidence from Experimental Data. Land Degrad. Dev. 2023, 34, 4386–4398. [Google Scholar] [CrossRef]
- Shinde, R.; Shahi, D.K.; Mahapatra, P.; Singh, C.S.; Naik, S.K.; Thombare, N.; Singh, A.K. Management of Crop Residues with Special Reference to the on-Farm Utilization Methods: A Review. Ind. Crops Prod. 2022, 181, 114772. [Google Scholar] [CrossRef]
- Huo, R.; Wang, J.; Wang, K.; Zhang, Y.; Ren, T.; Li, X.; Cong, R.; Lu, J. Long-Term Straw Return Enhanced Crop Yield by Improving Ecosystem Multifunctionality and Soil Quality under Triple Rotation System: An Evidence from a 15 Years Study. Field Crops Res. 2024, 312, 109395. [Google Scholar] [CrossRef]
- Liu, R.-Z.; Borjigin, Q.; Gao, J.L.; Yu, X.F.; Hu, S.P.; Li, R.-P. Effects of Different Straw Return Methods on Soil Properties and Yield Potential of Maize. Sci. Rep. 2024, 14, 28682. [Google Scholar] [CrossRef]
- Chen, L.; Sun, S.; Yao, B.; Peng, Y.; Gao, C.; Qin, T.; Zhou, Y.; Sun, C.; Quan, W. Effects of Straw Return and Straw Biochar on Soil Properties and Crop Growth: A Review. Front. Plant Sci. 2022, 13, 986763. [Google Scholar] [CrossRef]
- Yang, C.; Geng, Y.; Fu, X.Z.; Coulter, J.A.; Chai, Q. The Effects of Wind Erosion Depending on Cropping System and Tillage Method in a Semi-Arid Region. Agronomy 2020, 10, 732. [Google Scholar] [CrossRef]
- Jiang, F.; Xue, X.; Zhang, L.; Zuo, Y.; Zhang, H.; Zheng, W.; Bian, L.; Hu, L.; Hao, C.; Du, J. Soil Wind Erosion, Nutrients, and Crop Yield Response to Conservation Tillage in North China: A Field Study in a Semi-Arid and Wind Erosion Region after 9 Years. Field Crops Res. 2024, 316, 109508. [Google Scholar] [CrossRef]
- Wang, Y.K. Effects of Straw Mulching Less Tillage and Slow Mixed Fertilization on Nitrogen Efficiency of Dryland Maize. Master’s Thesis, Inner Mongolia Agricultural University, Hohhot, China, 2022. [Google Scholar] [CrossRef]
- Zhao, P.Y.; Tuo, D.B.; Zheng, D.W.; Duan, Y.; Li, H.C.; Yan, W.; Yao, J.Q. Research on Quantitative Observation Methods of Field Soil Wind Erosion. J. Anhui Agric. Sci. 2008, 29, 12810–12812. [Google Scholar] [CrossRef]
- Mendez, M.J.; Funk, R.; Buschiazzo, D.E. Efficiency of Big Spring Number Eight (Bsne) and Modified Wilson and Cook (Mwac) Samplers to Collect Pm10, Pm2. 5 and Pm1. Aeolian Res. 2016, 21, 37–44. [Google Scholar] [CrossRef]
- Zhang, P.; Sherman, D.J.; Li, B. Aeolian Creep Transport: A Review. Aeolian Res. 2021, 51, 100711. [Google Scholar] [CrossRef]
- Chang, J.L.; Chen, Z.; Chen, Y.; Qiu, Y.; Shang, X.B. Experimental Study on Three Typical Surface Wind Speed Profiles. J. Soil Water Conserv. (China) 2017, 03, 41–44. [Google Scholar]
- Bao, S.D. Soil Agrochemical Analysis, 3rd ed.; China Agriculture Press: Beijing, China, 2000; ISBN 7109066444. [Google Scholar]
- Yan, B.; Zhang, Y.; Zang, S.; Chen, Q.; Sun, L. Distributions of Particle Sizes in Black Soil and Their Environmental Significance in Northeast China. Sustainability 2021, 13, 3706. [Google Scholar] [CrossRef]
- Zhao, R.; Li, J.; Wu, K.; Kang, L. Cultivated Land Use Zoning Based on Soil Function Evaluation from the Perspective of Black Soil Protection. Land 2021, 10, 605. [Google Scholar] [CrossRef]
- Ma, S.; Wang, L.-J.; Wang, H.-Y.; Zhao, Y.-G.; Jiang, J. Impacts of Land Use/Land Cover and Soil Property Changes on Soil Erosion in the Black Soil Region, China. J. Environ. Manag. 2023, 328, 117024. [Google Scholar] [CrossRef]
- Li, J.J.; Li, Y.; Li, Y.K.; Zhou, L.P.; Zhang, J.H.; Zheng, Q.Z.; Liu, G.W.; Zhang, Z.P. Wind Tunnel Experimental Study on Wind Erosion Control Effect of Conservation Tillage in Hexi Oasis Irrigation Area. J. Soil Water Conserv. (China) 2017, 01, 45–47+68. [Google Scholar] [CrossRef]
- Wu, S.S.; Niu, J.Z.; Lin, X.N. Effects of Conservation Tillage on Soil Wind Erosion in Yanqing Farmland, Beijing Suburbs. Sci. Soil Water Conserv. (China) 2020, 18, 57–67. [Google Scholar] [CrossRef]
- Lal, R. Enhancing Eco-Efficiency in Agro-Ecosystems Through Soil Carbon Sequestration. Crop Sci. 2010, 50, S-120–S-131. [Google Scholar] [CrossRef]
- McBratney, A.; Field, D.J.; Koch, A. The Dimensions of Soil Security. Geoderma 2014, 213, 203–213. [Google Scholar] [CrossRef]
- Jiang, C.; Liu, J.; Zhang, H.; Zhang, Z.; Wang, D. China’s Progress Towards Sustainable Land Degradation Control: Insights from the Northwest Arid Regions. Ecol. Eng. 2019, 127, 75–87. [Google Scholar] [CrossRef]
- Zhang, H.; Gao, Y.; Sun, D.; Liu, L.; Cui, Y.; Zhu, W. Wind Erosion Changes in a Semi-Arid Sandy Area, Inner Mongolia, China. Sustainability 2019, 11, 188. [Google Scholar] [CrossRef]
- Rashmi, I.; Karthika, K.; Roy, T.; Shinoji, K.; Kumawat, A.; Kala, S.; Pal, R. Soil Erosion and Sediments: A Source of Contamination and Impact on Agriculture Productivity. In Agrochemicals in Soil and Environment: Impacts and Remediation; Springer: Berlin/Heidelberg, Germany, 2022; pp. 313–345. [Google Scholar] [CrossRef]
- Zucca, C.; Fleiner, R.; Bonaiuti, E.; Kang, U. Land Degradation Drivers of Anthropogenic Sand and Dust Storms. Catena 2022, 219, 106575. [Google Scholar] [CrossRef]
- Jia, H.; Wang, G.; Guo, L.; Zhuang, J.; Tang, L. Wind Erosion Control Utilizing Standing Corn Residue in Northeast China. Soil Tillage Res. 2015, 153, 112–119. [Google Scholar] [CrossRef]
- Liu, Y.; Ye, X.; Bao, H.; Wang, X.; Juan, Y. Effects of Straw Incorporation Combined with Fertilizer on Physiochemical Properties of Soil and Yield of Spring Maize. Soils 2023, 55, 254–261. [Google Scholar]
- Jaskulska, I.; Lemanowicz, J.; Dębska, B.; Jaskulski, D.; Breza-Boruta, B. Changes in Soil Organic Matter and Biological Parameters as a Result of Long-Term Strip-Till Cultivation. Agriculture 2023, 13, 2188. [Google Scholar] [CrossRef]
- Galindo, F.S.; Strock, J.S.; Pagliari, P.H. Impacts of Corn Stover Management and Fertilizer Application on Soil Nutrient Availability and Enzymatic Activity. Sci. Rep. 2022, 12, 1985. [Google Scholar] [CrossRef]
- Zhang, X.; Ren, X.; Cai, L. Effects of Different Straw Incorporation Amounts on Soil Organic Carbon, Microbial Biomass, and Enzyme Activities in Dry-Crop Farmland. Sustainability 2024, 16, 10588. [Google Scholar] [CrossRef]












| Year | Topography | Setup Time | Sampling Time | Land Preparation and Sowing | Setup Time | Sampling Time |
|---|---|---|---|---|---|---|
| 2023 | Gently sloped uplands | 04/01 | 04/30 | 04/30 | 05/02 | 06/15 |
| Flat depressions | 04/03 | 05/03 | 05/04 | 05/05 | 06/18 | |
| 2024 | Gently sloped uplands | 04/01 | 04/26 | 04/06 | 04/28 | 06/12 |
| Flat depressions | 04/03 | 04/29 | 05/07 | 05/08 | 06/22 |
| Year | Topography | Treatment | Pre-Sowing Coverage (%) | Post-Sowing Coverage (%) | Germination Rate (%) |
|---|---|---|---|---|---|
| 2023 | Gently sloped uplands | CP | - | - | 94.35 ± 4.49 ab |
| NT | 29.87 ± 1.40 c | 27.20 ± 3.12 d | 89.58 ± 1.03 b | ||
| R+NT | 93.20 ± 1.60 a | 89.07 ± 0.61 a | 81.55 ± 2.87 c | ||
| R+STA | 86.40 ± 2.80 b | 82.93 ± 2.20 b | 90.18 ± 1.79 b | ||
| R+STS | 93.07 ± 0.83 a | 78.13 ± 2.41 c | 95.24 ± 1.36 a | ||
| Flat depressions | CP | - | - | 91.96 ± 1.79 ab | |
| NT | 32.60 ± 1.98 c | 31.20 ± 3.60 c | 89.29 ± 3.22 b | ||
| R+NT | 92.27 ± 2.44 a | 90.40 ± 2.43 a | 85.42 ± 1.86 c | ||
| R+STA | 86.27 ± 2.31 b | 84.27 ± 1.29 b | 91.67 ± 0.52 ab | ||
| R+STS | 92.40 ± 2.50 a | 80.80 ± 4.40 b | 94.05 ± 1.36 a | ||
| 2024 | Gently sloped uplands | CP | - | - | 94.05 ± 0.52 a |
| NT | 31.20 ± 1.44 c | 27.07 ± 3.61 d | 89.58 ± 1.86 b | ||
| R+NT | 93.20 ± 1.60 a | 89.87 ± 2.89 a | 84.52 ± 1.86 c | ||
| R+STA | 85.60 ± 2.62 b | 82.93 ± 3.95 b | 90.48 ± 0.52 b | ||
| R+STS | 92.80 ± 1.06 a | 74.80 ± 3.60 c | 94.94 ± 1.03 a | ||
| Flat depressions | CP | - | - | 92.26 ± 3.72 a | |
| NT | 33.20 ± 1.44 c | 30.67 ± 4.42 c | 91.67 ± 2.06 a | ||
| R+NT | 92.00 ± 1.60 a | 91.47 ± 1.40 a | 85.12 ± 1.03 b | ||
| R+STA | 86.40 ± 0.80 b | 83.47 ± 0.61 b | 91.07 ± 1.79 a | ||
| R+STS | 91.20 ± 2.50 a | 80.13 ± 2.81 b | 94.05 ± 2.73 a |
| Year | Topography | Treatment | Pre-Sowing SWC (%) | Post-Sowing SWC (%) | Pre-Sowing BD (g cm−3) | Post-Sowing BD (g cm−3) |
|---|---|---|---|---|---|---|
| 2023 | Gently sloped uplands | CP | 13.90 ± 0.48 c | 12.14 ± 0.13 d | 1.47 ± 0.04 a | 1.30 ± 0.03 c |
| NT | 14.03 ± 0.48 c | 13.93 ± 0.21 c | 1.49 ± 0.02 a | 1.49 ± 0.03 a | ||
| R+NT | 18.60 ± 1.20 a | 18.58 ± 1.78 a | 1.43 ± 0.02 b | 1.43 ± 0.01 b | ||
| R+STA | 17.14 ± 0.95 b | 15.91 ± 1.03 b | 1.44 ± 0.01 b | 1.42 ± 0.04 b | ||
| R+STS | 19.33 ± 0.38 a | 16.07 ± 0.67 b | 1.44 ± 0.02 b | 1.41 ± 0.02 b | ||
| Flat depressions | CP | 15.56 ± 1.27 d | 25.06 ± 0.31 b | 1.20 ± 0.06 b | 1.24 ± 0.02 a | |
| NT | 18.26 ± 0.61 c | 25.98 ± 1.80 b | 1.38 ± 0.09 a | 1.29 ± 0.01 a | ||
| R+NT | 25.39 ± 1.12 a | 28.49 ± 0.47 a | 1.34 ± 0.02 a | 1.24 ± 0.04 a | ||
| R+STA | 20.93 ± 1.52 b | 28.30 ± 0.53 a | 1.31 ± 0.05 a | 1.26 ± 0.03 a | ||
| R+STS | 26.26 ± 0.99 a | 28.55 ± 0.35 a | 1.33 ± 0.03 a | 1.25 ± 0.02 a | ||
| 2024 | Gently sloped uplands | CP | 14.39 ± 0.40 c | 13.62 ± 0.22 d | 1.48 ± 0.02 a | 1.31 ± 0.02 c |
| NT | 14.46 ± 0.26 c | 15.60 ± 0.21 c | 1.48 ± 0.01 a | 1.48 ± 0.01 a | ||
| R+NT | 18.77 ± 0.52 a | 18.59 ± 0.51 a | 1.41 ± 0.01 b | 1.43 ± 0.01 b | ||
| R+STA | 17.09 ± 0.66 b | 17.07 ± 0.48 b | 1.42 ± 0.02 b | 1.41 ± 0.02 b | ||
| R+STS | 18.99 ± 0.43 a | 17.41 ± 0.51 b | 1.41 ± 0.01 b | 1.41 ± 0.02 b | ||
| Flat depressions | CP | 16.55 ± 0.51 d | 24.60 ± 0.53 c | 1.23 ± 0.03 c | 1.22 ± 0.02 c | |
| NT | 18.55 ± 0.37 c | 25.29 ± 0.74 c | 1.41 ± 0.01 b | 1.40 ± 0.05 a | ||
| R+NT | 23.45 ± 1.30 a | 28.67 ± 0.59 a | 1.33 ± 0.04 a | 1.29 ± 0.02 b | ||
| R+STA | 20.17 ± 0.42 b | 27.05 ± 0.50 b | 1.35 ± 0.03 a | 1.27 ± 0.01 b | ||
| R+STS | 23.67 ± 1.22 a | 27.89 ± 0.65 ab | 1.30 ± 0.03 a | 1.26 ± 0.01 bc |
| Year | Topography | Treatment | Ear Density (Ears ha−1) | Kernels per Ear (No. Ear−1) | 1000-Kernel Weight (g) | Grain Yield (t ha−1) |
|---|---|---|---|---|---|---|
| 2023 | Gently sloped uplands | CP | 7.87 ± 0.04 ab | 562.36 ± 4.76 c | 312.94 ± 2.50 b | 11.69 ± 0.06 c |
| NT | 7.77 ± 0.07 bc | 561.13 ± 3.05 c | 330.15 ± 3.03 a | 12.23 ± 0.02 b | ||
| R+NT | 7.69 ± 0.07 c | 552.13 ± 5.92 d | 319.58 ± 6.54 b | 11.56 ± 0.12 d | ||
| R+STA | 7.31 ± 0.32 d | 602.56 ± 3.43 a | 318.73 ± 3.24 b | 11.87 ± 0.05 c | ||
| R+STS | 7.95 ± 0.09 a | 575.46 ± 2.84 b | 333.41 ± 3.14 a | 12.96 ± 0.45 a | ||
| Flat depressions | CP | 7.41 ± 0.04 c | 533.43 ± 2.29 b | 320.52 ± 2.08 b | 10.77 ± 0.07 d | |
| NT | 7.48 ± 0.09 bc | 543.60 ± 5.31 b | 338.90 ± 3.54 b | 11.74 ± 0.04 b | ||
| R+NT | 7.59 ± 0.09 bc | 536.27 ± 5.77 b | 322.62 ± 3.84 b | 11.31 ± 0.07 c | ||
| R+STA | 7.67 ± 0.04 b | 557.50 ± 4.04 a | 322.08 ± 3.04 b | 11.70 ± 0.05 b | ||
| R+STS | 8.03 ± 0.19 a | 544.43 ± 9.86 b | 325.20 ± 11.60 a | 12.89 ± 0.11 a | ||
| 2024 | Gently sloped uplands | CP | 7.93 ± 0.09 b | 572.70 ± 14.29 a | 301.29 ± 5.21 a | 11.66 ± 0.11 b |
| NT | 8.08 ± 0.08 ab | 557.13 ± 19.51 b | 306.58 ± 8.28 a | 11.72 ± 0.11 b | ||
| R+NT | 7.89 ± 0.11 b | 552.83 ± 4.75 b | 314.30 ± 4.71 a | 11.50 ± 0.04 c | ||
| R+STA | 7.36 ± 0.04 c | 582.23 ± 10.85 a | 313.69 ± 6.79 a | 11.42 ± 0.07 c | ||
| R+STS | 8.13 ± 0.12 a | 582.86 ± 9.63 a | 307.77 ± 1.31 a | 12.39 ± 0.10 a | ||
| Flat depressions | CP | 7.64 ± 0.09 c | 553.56 ± 3.79 a | 290.17 ± 7.48 d | 10.91 ± 0.19 d | |
| NT | 7.95 ± 0.09 ab | 540.10 ± 16.47 b | 315.09 ± 3.77 ab | 11.49 ± 0.10 b | ||
| R+NT | 7.79 ± 0.12 bc | 552.73 ± 4.82 a | 303.51 ± 0.81 c | 11.12 ± 0.22 cd | ||
| R+STA | 7.87 ± 0.04 ab | 549.4 ± 9.72 ab | 308.71 ± 2.61 bc | 11.33 ± 0.10 bc | ||
| R+STS | 8.05 ± 0.12 a | 542.67 ± 3.05 b | 320.34 ± 4.09 a | 11.89 ± 0.08 a |
Disclaimer/Publisher’s Note: The statements, opinions and data contained in all publications are solely those of the individual author(s) and contributor(s) and not of MDPI and/or the editor(s). MDPI and/or the editor(s) disclaim responsibility for any injury to people or property resulting from any ideas, methods, instructions or products referred to in the content. |
© 2025 by the authors. Licensee MDPI, Basel, Switzerland. This article is an open access article distributed under the terms and conditions of the Creative Commons Attribution (CC BY) license (https://creativecommons.org/licenses/by/4.0/).
Share and Cite
Yang, Z.; Bai, L.; Wang, T.; Cheng, Z.; Wang, Z.; Wang, Y.; Wang, F.; Luo, F.; Wang, Z. Assessing the Synergy of Spring Strip Tillage and Straw Mulching to Mitigate Soil Degradation and Enhance Productivity in Black Soils. Agronomy 2025, 15, 1415. https://doi.org/10.3390/agronomy15061415
Yang Z, Bai L, Wang T, Cheng Z, Wang Z, Wang Y, Wang F, Luo F, Wang Z. Assessing the Synergy of Spring Strip Tillage and Straw Mulching to Mitigate Soil Degradation and Enhance Productivity in Black Soils. Agronomy. 2025; 15(6):1415. https://doi.org/10.3390/agronomy15061415
Chicago/Turabian StyleYang, Zhihong, Lanfang Bai, Tianhao Wang, Zhipeng Cheng, Zhen Wang, Yongqiang Wang, Fugui Wang, Fang Luo, and Zhigang Wang. 2025. "Assessing the Synergy of Spring Strip Tillage and Straw Mulching to Mitigate Soil Degradation and Enhance Productivity in Black Soils" Agronomy 15, no. 6: 1415. https://doi.org/10.3390/agronomy15061415
APA StyleYang, Z., Bai, L., Wang, T., Cheng, Z., Wang, Z., Wang, Y., Wang, F., Luo, F., & Wang, Z. (2025). Assessing the Synergy of Spring Strip Tillage and Straw Mulching to Mitigate Soil Degradation and Enhance Productivity in Black Soils. Agronomy, 15(6), 1415. https://doi.org/10.3390/agronomy15061415
