Xeno-Fungusphere: Fungal-Enhanced Microbial Fuel Cells for Agricultural Remediation with a Focus on Medicinal Plants
Abstract
1. Introduction: Concept of Xeno-Fungusphere
2. Fungal-Augmented MFCs in Agricultural Applications
2.1. Mechanisms of Agrochemical Degradation
2.1.1. Enzymatic Action
2.1.2. Electrochemical Stimulation
2.1.3. Microbial/Biotic Synergy
2.2. Fungi-Augmented MFC Remediation of Organic Pollutant-Contaminated Soils
2.2.1. Pollutant Removal Efficiency
2.2.2. Power Generation
2.2.3. Soil Health Restoration
3. Applications in Medicinal Plant Cultivation
3.1. Fungal MFCs for Pollutant Degradation and Phytometabolite Enhancement
3.2. Synergistic Systems: Fungi–Bacteria–Algae Consortia
4. Challenges and Solutions
4.1. Existing Limitations
4.1.1. Field Heterogeneity and Electrochemical Inconsistencies
4.1.2. Fungal Survival, Ecological Competition, and Metabolic Bottlenecks
4.1.3. Scalability, Economic Barriers, and Knowledge Gaps
4.1.4. Regulatory and Farmer Adoption Challenges
4.2. Strategies for Improvement
4.2.1. Strain Engineering for Enhanced Fungal Resilience and Catalytic Efficiency
4.2.2. Hybrid Systems Integrating Phytoremediation and MFCs
4.2.3. Low-Cost, Conductive Electrodes from Agricultural Waste
4.2.4. Long-Term Field Pilots, Farmer-Centric Optimization, and Circular Economy Integration
5. Conclusions and Future Perspectives
Author Contributions
Funding
Data Availability Statement
Acknowledgments
Conflicts of Interest
Abbreviations
References
- Hao, D.C.; Li, X.J.; Xiao, P.G.; Wang, L.F. The utility of electrochemical systems in microbial degradation of polycyclic aromatic hydrocarbons: Discourse, diversity and design. Front. Microbiol. 2020, 11, 557400. [Google Scholar] [CrossRef] [PubMed]
- Shi, X.; Yang, D.; Li, S.; Yu, K.; Yan, W.; Xu, H. Research progress on coupling and stacking systems to enhance power generation performance of microbial fuel cell. J. Environ. Sci. 2025, 154, 784–804. [Google Scholar] [CrossRef] [PubMed]
- Luo, J.; Jin, H.; Tian, W.; Niu, Z.; Zhang, J.; Wang, T.; Zhou, M. The enhanced effect and mechanism of endogenous sigma factor RpoF on bioelectricity generation in Pseudomonas aeruginosa–inoculated Microbial fuel cells (MFCs). Biosens. Bioelectron. 2025, 278, 117380. [Google Scholar] [CrossRef] [PubMed]
- Park, Y.; Yu, J.; Nguyen, V.K.; Park, S.; Kim, J.; Lee, T. Understanding complete ammonium removal mechanism in single–chamber microbial fuel cells based on microbial ecology. Sci. Total Environ. 2021, 764, 144231. [Google Scholar] [CrossRef]
- Case, N.T.; Gurr, S.J.; Fisher, M.C.; Blehert, D.S.; Boone, C.; Casadevall, A.; Chowdhary, A.; Cuomo, C.A.; Currie, C.R.; Denning, D.W.; et al. Fungal impacts on Earth’s ecosystems. Nature 2025, 638, 49–57. [Google Scholar] [CrossRef]
- Rezaei, Z.; Moghimi, H. Fungal–bacterial consortia: A promising strategy for the removal of petroleum hydrocarbons. Ecotoxicol. Environ. Saf. 2024, 280, 116543. [Google Scholar] [CrossRef]
- Hao, D.C.; Song, S.M.; Cheng, Y.; Qin, Z.Q.; Ge, G.B.; An, B.L.; Xiao, P.G. Functional and transcriptomic characterization of a dye–decolorizing fungus from Taxus rhizosphere. Pol. J. Microbiol. 2018, 67, 417–430. [Google Scholar] [CrossRef]
- Harms, H.; Schlosser, D.; Wick, L.Y. Untapped potential: Exploiting fungi in bioremediation of hazardous chemicals. Nat. Rev. Microbiol. 2011, 9, 177–192. [Google Scholar] [CrossRef]
- Dinakarkumar, Y.; Ramakrishnan, G.; Gujjula, K.R.; Vasu, V.; Balamurugan, P.; Murali, G. Fungal bioremediation: An overview of the mechanisms, applications and future perspectives. Environ. Chem. Ecotoxicol. 2024, 6, 293–302. [Google Scholar] [CrossRef]
- Schröder, U.; Harnisch, F.; Angenent, L.T. Microbial electrochemistry and technology: Terminology and classification. Energy. Environ. Sci. 2015, 8, 513–519. [Google Scholar] [CrossRef]
- Devi, O.Z.; Mishra, S.; Alam, S.; Thakur, L.K. Single–quad gas chromatography estimation of a few selected pesticides as residues in spices of the National Capital Region of Delhi. Environ. Monit. Assess. 2025, 197, 432. [Google Scholar] [CrossRef] [PubMed]
- Kang, C.Z.; Liu, S.Q.; Han, B.X.; Zhou, T.; Wang, X.; Liu, D.H.; Yang, Y.; Guo, L.P. Development goals and strategies of ecological agriculture of Chinese materia medica. Zhongguo Zhong Yao Za Zhi 2025, 50, 42–47. [Google Scholar] [PubMed]
- Jiang, X.; Wang, H.; Huang, Y.; Jin, H.; Ding, J.; Ma, L.; Zheng, L. A novel microbial agent reduces soil paclobutrazol residue, enhances enzyme activities and increases Ophiopogon japonicus production. PeerJ 2025, 13, e19008. [Google Scholar] [CrossRef] [PubMed]
- Cheng, Z.; Xiong, Y.; Ma, T.; Wang, Q.; Song, M.; Zhao, Q.; Zhang, N.; Guo, J.; Wang, Y.; Hou, Z.; et al. Dissipation and risk assessment of propaquizafop in ginseng under field conditions. J. Agric. Food Chem. 2024, 72, 6613–6624. [Google Scholar] [CrossRef]
- Jan, R.; Asaf, S.; Numan, M.; Lubna; Kim, K.-M. Plant secondary metabolite biosynthesis and transcriptional regulation in response to biotic and abiotic stress conditions. Agronomy 2021, 11, 968. [Google Scholar] [CrossRef]
- European Food Safety Authority (EFSA); Bellisai, G.; Bernasconi, G.; Brancato, A.; Cabrera, L.C.; Castellan, I.; Del Aguila, M.; Ferreira, L.; Giner, G.; Greco, L.; et al. Targeted review of maximum residues levels (MRLs) for haloxyfop–P. EFSA J. 2022, 20, e07658. [Google Scholar]
- Gałczyńska, M.; Gamrat, R.; Puc, M. Honey varieties vs metal and pesticide content–literature review and own research. Ann. Agric. Environ. Med. 2025, 32, 9–19. [Google Scholar] [CrossRef]
- García, G.; Carlin, M.; Cano, R.J. Holobiome harmony: Linking environmental sustainability, agriculture, and human health for a thriving planet and one health. Microorganisms 2025, 13, 514. [Google Scholar] [CrossRef]
- Hao, D.C.; Wang, F.; Li, C.; Wang, Y.; Xue, J.; Xiao, P.G. Fungal bioaugmentation enhanced herbicide removal via soil microbial fuel cell: Taking Myrothecium verrucaria and haloxyfop–P as an example. Sci. Total Environ. 2025, 958, 178012. [Google Scholar] [CrossRef]
- Gomathi, S.; Ambikapathy, V.; Panneerselvam, A. Chapter 5—Biodegradation and bioaugmentation of pesticides using potential fungal species. In Plant–Microbe Interaction–Recent Advances in Molecular and Biochemical Approaches 2: Agricultural Aspects of Microbiome Leading to Plant Defence; Academic Press: Cambridge, MA, USA, 2023; pp. 79–94. [Google Scholar]
- Swathy, K.; Vivekanandhan, P.; Yuvaraj, A.; Sarayut, P.; Kim, J.S.; Krutmuang, P. Biodegradation of pesticide in agricultural soil employing entomopathogenic fungi: Current state of the art and future perspectives. Heliyon 2023, 10, e23406. [Google Scholar] [CrossRef]
- Hao, D.C.; Luan, Y.Y.; Wang, Y.X.; Xiao, P.G. Unveiling Nitrogen Fertilizer in Medicinal Plant Cultivation. Agronomy 2024, 14, 1647. [Google Scholar] [CrossRef]
- Thapa, B.S.; Kim, T.; Pandit, S.; Song, Y.E.; Afsharian, Y.P.; Rahimnejad, M.; Kim, J.R.; Oh, S.E. Overview of electroactive microorganisms and electron transfer mechanisms in microbial electrochemistry. Bioresour. Technol. 2022, 347, 126579. [Google Scholar] [CrossRef] [PubMed]
- Umar, A.; Mubeen, M.; Ali, I.; Iftikhar, Y.; Sohail, M.A.; Sajid, A.; Kumar, A.; Solanki, M.K.; Kumar Divvela, P.; Zhou, L. Harnessing fungal bio–electricity: A promising path to a cleaner environment. Front. Microbiol. 2024, 14, 1291904. [Google Scholar] [CrossRef] [PubMed]
- Shraddha; Shekher, R.; Sehgal, S.; Kamthania, M.; Kumar, A. Laccase: Microbial sources, production, purification, and potential biotechnological applications. Enzyme Res. 2011, 2011, 217861. [Google Scholar] [CrossRef]
- Ayala Schimpf, A.R.; Ortellado, L.E.; Gamarra, M.D.; Fonseca, M.I.; Zapata, P.D. In vitro and computational response of differential catalysis by Phlebia brevispora BAFC 633 laccase in interaction with 2,4–D and chlorpyrifos. Int. J. Mol. Sci. 2024, 25, 12527. [Google Scholar] [CrossRef]
- Chan-Cupul, W.; Heredia-Abarca, G.; Rodríguez-Vázquez, R. Atrazine degradation by fungal co–culture enzyme extracts under different soil conditions. J. Environ. Sci. Health B 2016, 51, 298–308. [Google Scholar] [CrossRef]
- Coleman, T.; Podgorski, M.N.; Doyle, M.L.; Scaffidi–Muta, J.M.; Campbell, E.C.; Bruning, J.B.; De Voss, J.J.; Bell, S.G. Cytochrome P450–catalyzed oxidation of halogen–containing substrates. J. Inorg. Biochem. 2023, 244, 112234. [Google Scholar] [CrossRef]
- Guo, J.; Kong, L.; Tian, L.; Han, Y.; Teng, C.; Ma, H.; Tao, B. Molecular docking and mutation sites of CYP57A1 enzyme with Fomesafen. Pestic. Biochem. Physiol. 2025, 209, 106328. [Google Scholar] [CrossRef]
- Sánchez, C. Fusarium as a promising fungal genus with potential application in bioremediation for pollutants mitigation: A review. Biotechnol. Adv. 2024, 77, 108476. [Google Scholar] [CrossRef]
- Song, H.; Chen, W.J.; Chen, S.F.; Zhu, X.; Mishra, S.; Ghorab, M.A.; Bhatt, P.; Chen, S. Removal of chlorimuron–ethyl from the environment: The significance of microbial degradation and its molecular mechanism. Chemosphere 2024, 366, 143456. [Google Scholar] [CrossRef]
- Bempelou, E.D.; Vontas, J.G.; Liapis, K.S.; Ziogas, V.N. Biodegradation of chlorpyrifos and 3,5,6–trichloro–2–pyridinol by the epiphytic yeasts Rhodotorula glutinis and Rhodotorula rubra. Ecotoxicology 2018, 27, 1368–1378. [Google Scholar] [CrossRef] [PubMed]
- Maqbool, Z.; Hussain, S.; Imran, M.; Mahmood, F.; Shahzad, T.; Ahmed, Z.; Azeem, F.; Muzammil, S. Perspectives of using fungi as bioresource for bioremediation of pesticides in the environment: A critical review. Environ. Sci. Pollut. Res. Int. 2016, 23, 16904–16925. [Google Scholar] [CrossRef] [PubMed]
- Gao, R.; Hao, D.C.; Hu, W.L.; Song, S.; Li, S.Y.; Ge, G.B. Transcriptome profile of polycyclic aromatic hydrocarbon–degrading fungi isolated from Taxus rhizosphere. Curr. Sci. 2019, 116, 1218–1228. [Google Scholar] [CrossRef]
- Wang, C.; Sun, H.; Li, J.; Li, Y.; Zhang, Q. Enzyme activities during degradation of polycyclic aromatic hydrocarbons by white rot fungus Phanerochaete chrysosporium in soils. Chemosphere 2009, 77, 733–738. [Google Scholar] [CrossRef]
- Kwatra, N.; Abraham, J. Mycoremediation of pretilachlor and its metabolite by Aspergillus ficuum. J. Environ. Sci. Health B 2023, 58, 489–499. [Google Scholar] [CrossRef]
- Xu, T. Study on the Electrical Characteristics of Glucose Oxidase and Its Mixed Solution in Electromagnetic Environment. Master’s Thesis, Henan Normal University, Zhengzhou, China, 2021. [Google Scholar]
- Du, B.; Gu, M.Q.; Hu, Z.H.; Zhan, X.M.; Wu, G.X. Thermodynamic analysis of extracellular electron transfer during ethanol oxidation in anaerobic digestion systems. Biomass Bioenergy 2023, 172, 106755. [Google Scholar] [CrossRef]
- He, Y.Y.; Lin, R.; Yu, X.; Ma, Y.; Li, J.; Xie, L. Simultaneous enhancement on lignocellulose degradation and humic acid formation using the electric field coupled with an iron anode in the co–composting of food waste and agricultural waste. Chem. Eng. J. 2023, 475, 145846. [Google Scholar] [CrossRef]
- McGillivray, A.M.; Gow, N.A. Applied electrical fields polarize the growth of mycelial fungi. J. Gen. Microbiol. 1986, 132, 2515–2525. [Google Scholar] [CrossRef][Green Version]
- Jadhav, D.A.; Park, S.G.; Pandit, S.; Yang, E.; Ali Abdelkareem, M.; Jang, J.K.; Chae, K.J. Scalability of microbial electrochemical technologies: Applications and challenges. Bioresour. Technol. 2022, 345, 126498. [Google Scholar] [CrossRef]
- Daccò, C.; Girometta, C.; Asemoloye, M.D.; Carpani, G.; Picco, A.M.; Tosi, S. Key fungal degradation patterns, enzymes and their applications for the removal of aliphatic hydrocarbons in polluted soils: A review. Int. Biodeterior. Biodegrad. 2020, 147, 104866. [Google Scholar] [CrossRef]
- Banerjee, S.; Gupta, N.; Pramanik, K.; Gope, M.; GhoshThakur, R.; Karmakar, A.; Gogoi, N.; Hoque, R.R.; Mandal, N.C.; Balachandran, S. Microbes and microbial strategies in carcinogenic polycyclic aromatic hydrocarbons remediation: A systematic review. Environ. Sci. Pollut. Res. Int. 2024, 31, 1811–1840. [Google Scholar] [CrossRef] [PubMed]
- Li, X.J.; Li, Y.; Zhao, X.; Zhang, X.; Zhao, Q.; Wang, X.; Li, Y.T. Restructured fungal community diversity and biological interactions promote metolachlor biodegradation in soil microbial fuel cells. Chemosphere 2019, 221, 735–749. [Google Scholar] [CrossRef] [PubMed]
- Sarma, H.; Bhattacharyya, P.N.; Jadhav, D.A.; Pawar, P.; Thakare, M.; Pandit, S.; Mathuriya, A.S.; Prasad, R. Fungal–mediated electrochemical system: Prospects, applications and challenges. Curr. Res. Microb. Sci. 2021, 2, 100041. [Google Scholar] [CrossRef] [PubMed]
- Puissant, J.; Jones, B.; Goodall, T.; Mang, D.; Blaud, A.; Gweon, H.S.; Malik, A.; Jones, D.L.; Clark, I.M.; Hirsch, P.R.; et al. The pH optimum of soil exoenzymes adapt to long term changes in soil pH. Soil Biol. Biochem. 2019, 138, 107601. [Google Scholar] [CrossRef]
- Zheng, Q.; Hu, Y.; Zhang, S.; Noll, L.; Böckle, T.; Dietrich, M.; Herbold, C.W.; Eichorst, S.A.; Woebken, D.; Richter, A.; et al. Soil multifunctionality is affected by the soil environment and by microbial community composition and diversity. Soil. Biol. Biochem. 2019, 136, 107521. [Google Scholar] [CrossRef]
- Zhao, S.; Zhang, S. Long–term phosphorus addition alters soil enzyme kinetics with limited impact on their temperature sensitivity in an alpine meadow. Sci. Total Environ. 2024, 957, 177569. [Google Scholar] [CrossRef]
- Patwardhan, S.B.; Deolikar, R.; Nag, M.; Lahiri, D.; Jadhav, D.A.; Ray, R.R.; Pandit, S. Chapter 10—Influence of operational parameters on the performance of microbial fuel cells. In Development in Wastewater Treatment Research and Processes: Bioelectrochemical Systems for Wastewater Management; Elsevier: Amsterdam, The Netherlands, 2023; pp. 153–189. [Google Scholar]
- Huang, J.; Wang, J.; Chen, L.; He, J.; Wu, Y.; Cui, X.; Mei, M.; Li, Y. Improved expression of Cerrena unicolor Laccase in Aspergillus niger via combined strategies and its applications. Biochem. Eng. J. 2024, 209, 109371. [Google Scholar] [CrossRef]
- Zhang, W.T.; Xu, D.; Zhao, Y.; Gao, D.; Xie, Z.; Zhang, X.; Wu, B.; Huang, T.; Peng, L.L. Enhancing electricity generation and pollutant degradation in microbial fuel cells using cyanobacteria–derived biochar electrodes. Bioresour. Technol. 2025, 418, 132000. [Google Scholar] [CrossRef]
- Mohammadi, F.; Vakili-Nezhaad, G.R.; Al-Rawahi, N.; Gholipour, S. Microbial electrochemical systems for bioelectricity generation: Current state and future directions. Result Eng. 2023, 20, 101619. [Google Scholar] [CrossRef]
- Chang, L.; Cui, H.; Liu, W.; Zhang, Y.P.; Zhang, L. Electrodriven ATP synthesis via a reconstructed thylakoid membrane. Angew. Chem. Int. Ed. Engl. 2025, 64, e202421120. [Google Scholar] [CrossRef]
- Sáez–Jiménez, V.; Baratto, M.C.; Pogni, R.; Rencoret, J.; Gutiérrez, A.; Santos, J.I.; Martínez, A.T.; Ruiz–Dueñas, F.J. Demonstration of lignin–to–peroxidase direct electron transfer: A transient–state kinetics, directed mutagenesis, EPR, and NMR study. J. Biol. Chem. 2015, 290, 23201–23213. [Google Scholar] [CrossRef] [PubMed]
- Yaqoob, A.A.; Ibrahim, M.N.; Guerrero-Barajas, C. Modern trend of anodes in microbial fuel cells (MFCs): An overview. Environ. Technol. Innovat. 2021, 23, 101579. [Google Scholar] [CrossRef]
- Sekrecka-Belniak, A.; Toczyłowska-Mamińska, R. Fungi-based microbial fuel cells. Energies 2018, 11, 2827. [Google Scholar] [CrossRef]
- Zhao, J.T.; Li, F.; Cao, Y.; Zhang, X.; Chen, T.; Song, H.; Wang, Z. Microbial extracellular electron transfer and strategies for engineering electroactive microorganisms. Biotechnol. Adv. 2021, 53, 107682. [Google Scholar] [CrossRef]
- Mahadevan, A.; Gunawardena, D.A.; Fernando, S. Biochemical and Electrochemical Perspectives of the Anode of a Microbial Fuel Cell. In Technology and Application of Microbial Fuel Cells; InTech: London, UK, 2014. [Google Scholar]
- Cuesta-Zedeño, L.F.; Batista-García, R.A.; Gunde-Cimerman, N.; Amabilis-Sosa, L.E.; Ramirez-Pereda, B. Utilizing black yeast for sustainable solutions: Pioneering clean energy production and wastewater treatment with Exophiala dermatitidis. Process Biochem. 2024, 147, 630–643. [Google Scholar] [CrossRef]
- Christwardana, M.; Kwon, Y. Yeast and carbon nanotube based biocatalyst developed by synergetic effects of covalent bonding and hydrophobic interaction for performance enhancement of membraneless microbial fuel cell. Bioresour. Technol. 2017, 225, 175–182. [Google Scholar] [CrossRef]
- Gal, I.; Schlesinger, O.; Amir, L.; Alfonta, L. Yeast surface display of dehydrogenases in microbial fuel-cells. Bioelectrochemistry 2016, 112, 53–60. [Google Scholar] [CrossRef]
- Tian, Y.; Li, C.; Liang, D.D.; Xie, T.; He, W.; Li, D.; Feng, Y. Fungus-sourced filament-array anode facilitates Geobacter en-richment and promotes anodic bio-capacitance improvement for efficient power generation in microbial fuel cells. Sci. Total Environ. 2022, 838, 155926. [Google Scholar] [CrossRef]
- Lin, T.; Bai, X.; Hu, Y.; Li, B. Synthetic Saccharomyces cerevisiae-Shewanella oneidensis Consortium Enables Glucose-Fed High-Performance Microbial Fuel Cell. AIChE J. 2017, 63, 1830–1838. [Google Scholar] [CrossRef]
- Islam, M.A.; Ethiraj, B.; Cheng, C.K.; Prasad, R.; Khan, M.M. Enhanced current generation using mutualistic interaction of yeast-bacterial coculture in dual chamber microbial fuel cell. Ind. Eng. Chem. Res. 2018, 57, 813–821. [Google Scholar] [CrossRef]
- Fernández de Dios, M.Á.; González del Campo, A.; Fernández, F.J.; Rodrigo, M.; Pazos, M.; Sanromán, M.Á. Bacterial–fungal interactions enhance power generation in microbial fuel cells and drive dye decolourisation by an ex situ and in situ elec-tro-Fenton process. Bioresour. Technol. 2013, 148, 39–46. [Google Scholar] [CrossRef]
- Chaijak, P.; Sukkasem, C.; Lertworapreecha, M.; Boonsawang, P.; Wijasika, S.; Sato, C. Enhancing electricity generation using laccase-based microbial fuel cell with yeast Galactomyces reessii on cathode. J. Microbiol. Biotechnol. 2018, 28, 999–1005. [Google Scholar] [CrossRef]
- Lai, C.-Y.; Wu, C.-H.; Meng, C.-T.; Lin, C.-W. Decolorization of azo dye and generation of electricity by microbial fuel cell with laccase-producing white-rot fungus on cathode. Appl. Energy 2017, 188, 392–398. [Google Scholar] [CrossRef]
- Yazdi, A.A.; D’Angelo, L.; Omer, N.; Windiasti, G.; Lu, X.; Xu, J. Carbon nanotube modification of microbial fuel cell electrodes. Biosens. Bioelectron. 2016, 85, 536–552. [Google Scholar] [CrossRef]
- Prado, A.; Berenguer, R.; Esteve-Núñez, A. Electroactive biochar outperforms highly conductive carbon materials for biodegrading pollutants by enhancing microbial extracellular electron transfer. Carbon 2019, 146, 597–609. [Google Scholar] [CrossRef]
- Mkilima, T.; Zharkenov, Y.; Abduova, A.; Kudaibergenov, N.; Fazylov, K.; Toleubayeva, S.; Kirgizbayeva, K.; Zhumadilov, I.; Jaxymbetova, M.; Zhapparova, A. Bioelectrochemical degradation of pollutants in wastewater using a dual–chamber microbial fuel cell with graphene–modified electrodes and electroactive bacteria. Case Studi. Chem. Environ. Eng. 2025, 11, 101184. [Google Scholar] [CrossRef]
- Xu, X.; Wei, W.; Zhou, Y.; Liu, J.; Gao, C.; Hu, G.; Li, X.; Wen, J.; Liu, L.; Wu, J.; et al. Customizing biocatalysts by reducing ΔG‡: Integrating ground–state destabilization and transition–state stabilization. Chem Catalysis 2025, 5, 101323. [Google Scholar] [CrossRef]
- Ha, P.T.; Moon, H.; Kim, B.H.; Ng, H.Y.; Chang, I.S. Determination of charge transfer resistance and capacitance of microbial fuel cell through a transient response analysis of cell voltage. Biosens. Bioelectron. 2010, 25, 1629–1634. [Google Scholar] [CrossRef]
- Hao, D.C.; Zhang, C.R.; Xiao, P.G. The first Taxus rhizosphere microbiome revealed by shotgun metagenomic sequencing. J. Basic Microbiol. 2018, 58, 501–512. [Google Scholar] [CrossRef]
- Aftab, Q.; Wang, X.; Lu, J.; Tariq, M.; Liu, Y. Advancing soil microbial fuel cells: Exploring bioelectrogenesis mechanisms for integration into environmental bioremediation. Renew. Sustain. Energy Rev. 2025, 214, 115495. [Google Scholar] [CrossRef]
- Yang, G.Q.; Xia, X.; Nie, W.; Qin, B.; Hou, T.; Lin, A.; Yao, S.; Zhuang, L. Bidirectional extracellular electron transfer pathways of Geobacter sulfurreducens biofilms: Molecular insights into extracellular polymeric substances. Environ. Res. 2024, 245, 118038. [Google Scholar] [CrossRef] [PubMed]
- Zhao, X.D.; Li, X.J.; Li, Y.; Sun, Y.; Zhang, X.; Weng, L.; Ren, T.; Li, Y.T. Shifting interactions among bacteria, fungi and archaea enhance removal of antibiotics and antibiotic resistance genes in the soil bioelectrochemical remediation. Biotechnol. Biofuels 2019, 12, 160. [Google Scholar] [CrossRef] [PubMed]
- Sun, Y.; Zhao, L.; Li, X.J.; Xu, H.; Weng, L.; Yang, L.; Li, Y.T. Response of soil bacterial and fungal community structure succession to earthworm addition for bioremediation of metolachlor. Ecotoxicol. Environ. Saf. 2020, 189, 109926. [Google Scholar] [CrossRef] [PubMed]
- Elshobary, M.E.; Zabed, H.M.; Yun, J.; Zhang, G.; Qi, X.H. Recent insights into microalgae–assisted microbial fuel cells for generating sustainable bioelectricity. Int. J. Hydrogen Energy 2021, 46, 3135–3159. [Google Scholar] [CrossRef]
- Zhang, B.; Shi, S.; Tang, R.; Qiao, C.; Yang, M.; You, Z.; Shao, S.; Wu, D.; Yu, H.; Zhang, J.; et al. Recent advances in enrichment, isolation, and bio–electrochemical activity evaluation of exoelectrogenic microorganisms. Biotechnol. Adv. 2023, 66, 108175. [Google Scholar] [CrossRef]
- Chhachhiya, N.; Tiwari, A.; Sharma, R.S.; Rai, P.K.; Anand, S.; Mishra, V. Transformative potential of optimized microbial fuel cell designs and materials for eco–friendly management of hazardous chemical waste. J. Water Process Eng. 2025, 69, 106647. [Google Scholar] [CrossRef]
- Hayasaka, M.; Hamajima, L.; Yoshida, Y.; Mori, R.; Kato, H.; Suzuki, H.; Tsurigami, R.; Kojima, T.; Kato, M.; Shimizu, M. Phenanthrene degradation by a flavoprotein monooxygenase from Phanerodontia chrysosporium. Appl. Environ. Microbiol. 2025, 91, e0157424. [Google Scholar] [CrossRef]
- Kadri, T.; Rouissi, T.; Kaur Brar, S.; Cledon, M.; Sarma, S.; Verma, M. Biodegradation of polycyclic aromatic hydrocarbons (PAHs) by fungal enzymes: A review. J. Environ. Sci. 2017, 51, 52–74. [Google Scholar] [CrossRef]
- Fayyaz, I.; Saddick, S.; Mahmood, R.T.; Asad, M.J.; Hussain, M.A.; Hu, J.; Awais, M.; Khan, M.I.; Saydaxmetova, S. Biodegradation of Azo and disperse dyes by Trametes versicolor: Process optimization and MnP enzyme dynamics. Results Eng. 2025, 25, 103980. [Google Scholar] [CrossRef]
- Lan, B.; Liu, C.; Wang, S.; Jin, Y.; Yadav, A.K.; Srivastava, P.; Yuan, S.; Hu, C.; Zhu, G. Enhanced electron transfer for the improvement of nitrogen removal efficiency and N2O reduction at low temperatures. Water Res. 2025, 272, 122993. [Google Scholar] [CrossRef]
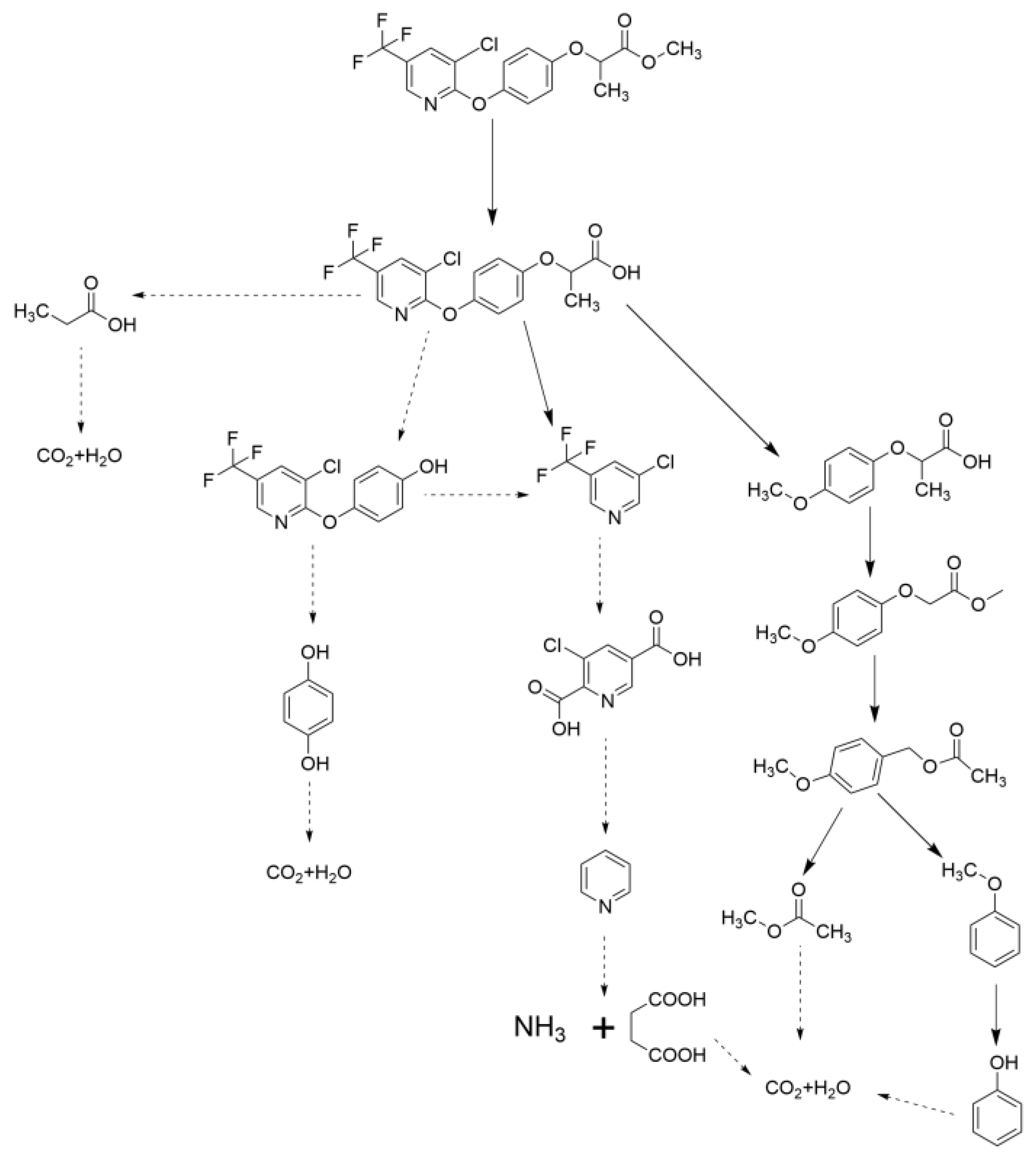
- Hao, D.C.; Zheng, Y.W.; Wang, F.; Han, L.; Zhang, Z. Fungal Electrochemical Remediation of Herbicide-contaminated Soil: Preliminary Study on Degradation Kinetics. Biotechnol. Bull. 2024, 40, 261–272. [Google Scholar]
- Fatehbasharzad, P.; Aliasghari, S.; Tabrizi, I.S.; Khan, J.A.; Boczkaj, G. Microbial fuel cell applications for removal of petroleum hydrocarbon pollutants: A review. Water Resour. Industry 2022, 28, 100178. [Google Scholar] [CrossRef]
- Raqba, R.; Rafaqat, S.; Ali, N.; Munis, M.F. Biodegradation of Reactive Red 195 azo dye and chlorpyrifos organophosphate along with simultaneous bioelectricity generation through bacterial and fungal based biocathode in microbial fuel cell. J. Water Process Eng. 2022, 50, 103177. [Google Scholar] [CrossRef]
- Zhang, Y.; Zhao, Y.; Zhou, M. A photosynthetic algal microbial fuel cell for treating swine wastewater. Environ. Sci. Pollut. Res. Int. 2019, 26, 6182–6190. [Google Scholar] [CrossRef]
- Angelaalincy, M.; Senthilkumar, N.; Karpagam, R.; Kumar, G.G.; Ashokkumar, B.; Varalakshmi, P. Enhanced extracellular polysaccharide production and self–sustainable electricity generation for PAMFCs by Scenedesmus sp. SB1. ACS Omega 2017, 2, 3754–3765. [Google Scholar] [CrossRef]
- Karich, A.; Ullrich, R.; Scheibner, K.; Hofrichter, M. Fungal unspecific peroxygenases oxidize the majority of organic EPA priority pollutants. Front. Microbiol. 2017, 8, 1463. [Google Scholar] [CrossRef]
- Ma, H.L.; Kermasha, S.; Gao, J.; Borges, R.M.; Yu, X. Laccase–catalyzed oxidation of phenolic compounds in organic media. J. Mol. Catal. B Enzym. 2009, 57, 89–95. [Google Scholar] [CrossRef]
- Portela, P.C.; Shipps, C.C.; Shen, C.; Srikanth, V.; Salgueiro, C.A.; Malvankar, N.S. Widespread extracellular electron transfer pathways for charging microbial cytochrome OmcS nanowires via periplasmic cytochromes PpcABCDE. Nat. Commun. 2024, 15, 2434. [Google Scholar] [CrossRef]
- Yahampath Arachchige Don, C.D.; Babel, S. Chapter 1—Integration of bioelectrochemical and algal systems for bioproducts generation. In Algae Based Bioelectrochemical Systems for Carbon Sequestration, Carbon Storage, Bioremediation and Bioproduct Generation; Academic Press: Cambridge, MA, USA, 2024; pp. 1–19. [Google Scholar]
- Ueki, T. Cytochromes in extracellular electron transfer in Geobacter. Appl. Environ. Microbiol. 2021, 87, e03109-20. [Google Scholar] [CrossRef]
- Wang, B.; Wu, S.; Chang, X.; Chen, J.; Ma, J.; Wang, P.; Zhu, G. Characterization of a novel hyper–thermostable and chlorpyrifos–hydrolyzing carboxylesterase EstC: A representative of the new esterase family XIX. Pestic. Biochem. Physiol. 2020, 170, 104704. [Google Scholar] [CrossRef]
- Enamala, M.K.; Dixit, R.; Tangellapally, A.; Singh, M.; Dinakarrao, S.M.; Chavali, M.; Pamanji, S.R.; Ashokkumar, V.; Kadier, A.; Chandrasekhar, K. Photosynthetic microorganisms (Algae) mediated bioelectricity generation in microbial fuel cell: Concise review. Environ. Technol. Innovat. 2020, 19, 100959. [Google Scholar] [CrossRef]
- Gajda, I.; Stinchcombe, A.; Greenman, J.; Melhuish, C.; Ieropoulos, I. Algal ‘lagoon’ effect for oxygenating MFC cathodes. Int. J. Hydrogen Energy 2014, 39, 21857–21863. [Google Scholar] [CrossRef]
- Wang, Q.; Zhang, C.; Zhao, X.; Wang, Y.; Li, Z.; Zhou, Y.; Ren, G. Algae–Bacteria cooperated microbial ecosystem: A self–circulating semiartificial photosynthetic purifying strategy. Sci. Total Environ. 2023, 905, 167187. [Google Scholar] [CrossRef] [PubMed]
- Adeleke, R.; Nwangburuka, C.; Oboirien, B. Origins, roles and fate of organic acids in soils: A review. S. Afr. J. Bot. 2017, 108, 393–406. [Google Scholar] [CrossRef]
- Chen, X.D.; Li, X.J.; Li, Y.; Zhao, L.; Sun, Y.; Rushimisha, I.E.; Han, T.; Weng, L.; Lin, X.; Li, Y.T. Bioelectric field drives ion migration with the electricity generation and pollutant removal. Environ. Technol. Innovat. 2021, 24, 101901. [Google Scholar] [CrossRef]
- Kaur, J.; Kaur, G. Dehydrogenase activity as a biological indicator of soil health. Chem. Sci. Rev. Lett. 2021, 10, 326–329. [Google Scholar]
- He, Y.Y.; Chen, W.; Xiang, Y.; Zhang, Y.; Xie, L. Unveiling the effect of PFOA presence on the composting process: Roles of oxidation stress, carbon metabolism, and humification process. J. Hazard. Mater. 2024, 479, 135682. [Google Scholar] [CrossRef]
- Vandana; Priyadarshanee, M.; Das, S. Bacterial extracellular polymeric substances: Biosynthesis and interaction with environmental pollutants. Chemosphere 2023, 332, 138876. [Google Scholar] [CrossRef]
- Schalk, I.J. Bacterial siderophores: Diversity, uptake pathways and applications. Nat. Rev. Microbiol. 2025, 23, 24–40. [Google Scholar] [CrossRef]
- Guo, S.; Wang, P.; Wang, X.; Zou, M.; Liu, C.; Hao, J. Microalgae as biofertilizer in modern agriculture. In Microalgae Biotechnology for Food, Health and High Value Products; Alam, M., Xu, J.L., Wang, Z., Eds.; Springer: Singapore, 2020; pp. 397–411. [Google Scholar]
- Yang, L.L.; Song, X.; Feng, Y.; Qiu, X.; Yan, X.; Ruan, R.; Cheng, P. Improving soil structure and function for continuous cropping of sweet melon using microalgae–based biological fertilizer. Algal Res. 2025, 85, 103868. [Google Scholar] [CrossRef]
- Zhang, X.; Li, X.J.; Zhao, X.; Chen, X.; Zhou, B.; Weng, L.; Li, Y.T. Bioelectric field accelerates the conversion of carbon and nitrogen in soil bioelectrochemical systems. J. Hazard. Mater. 2020, 388, 121790. [Google Scholar] [CrossRef] [PubMed]
- Zhang, Y.; Wang, X.; He, G.; Geng, Y.; Chen, C.; Zhou, J.; Li, Z.; Feng, J.; Diao, Y.; Yang, L.; et al. Rhizosphere bacterial community structure and nutrient cycling genes jointly drive the soil multifunctionality of Phoebe bournei young plantations under potassium fertilizer. Glob. Ecol. Conserv. 2025, 58, e03473. [Google Scholar] [CrossRef]
- Zhang, T.; Shi, X.C.; Ding, R.; Xu, K.; Tremblay, P.L. The hidden chemolithoautotrophic metabolism of Geobacter sulfurreducens uncovered by adaptation to formate. ISME J. 2020, 14, 2078–2089. [Google Scholar] [CrossRef] [PubMed]
- Jing, X.Y.; Liu, X.; Zhang, Z.; Wang, X.; Rensing, C.; Zhou, S. Anode respiration–dependent biological nitrogen fixation by Geobacter sulfurreducens. Water Res. 2022, 208, 117860. [Google Scholar] [CrossRef]
- Liang, J.L.; Liu, J.; Jia, P.; Yang, T.T.; Zeng, Q.W.; Zhang, S.C.; Liao, B.; Shu, W.S.; Li, J.T. Novel phosphate–solubilizing bacteria enhance soil phosphorus cycling following ecological restoration of land degraded by mining. ISME J. 2020, 14, 1600–1613. [Google Scholar] [CrossRef]
- Sulu–Gambari, F.; Seitaj, D.; Meysman, F.J.; Schauer, R.; Polerecky, L.; Slomp, C.P. Cable bacteria control iron–phosphorus dynamics in sediments of a coastal hypoxic basin. Environ. Sci. Technol. 2016, 50, 1227–1233. [Google Scholar] [CrossRef]
- Wang, Y.F.; Wang, W.; Qi, X.; Li, D.; Liu, Y.; Song, X.; Cao, X. Magnetite–equipped algal–rich sediments for microbial fuel cells: Remediation of sediment organic matter pollution and mechanisms of remote electron transfer. Sci. Total Environ. 2024, 912, 169545. [Google Scholar] [CrossRef]
- Huarachi-Olivera, R.; Dueñas-Gonza, A.; Yapo-Pari, U.; Vega, P.; Romero-Ugarte, M.; Tapia, J.; Molina, L.; Lazarte-Rivera, A.; Pacheco-Salazar, D.G.; Esparza, M. Bioelectrogenesis with microbial fuel cells (MFCs) using the microalga Chlorella vulgaris and bacterial communities. Electron. J. Biotechnol. 2018, 31, 34–43. [Google Scholar] [CrossRef]
- Halvorson, H.M.; Barry, J.R.; Lodato, M.B.; Findlay, R.H.; Francoeur, S.N.; Kuehn, K.A. Periphytic algae decouple fungal activity from leaf litter decomposition via negative priming. Funct. Ecol. 2019, 33, 188–201. [Google Scholar] [CrossRef]
- Glodowska, M.; Welte, C.U.; Kurth, J.M. Chapter Four—Metabolic potential of anaerobic methane oxidizing archaea for a broad spectrum of electron acceptors. In Advances in Microbial Physiology; Academic Press: Cambridge, MA, USA, 2022; Volume 80, pp. 157–201. [Google Scholar]
- Ouboter, H.T.; Mesman, R.; Sleutels, T.; Postma, J.; Wissink, M.; Jetten, M.S.M.; Ter Heijne, A.; Berben, T.; Welte, C.U. Mechanisms of extracellular electron transfer in anaerobic methanotrophic archaea. Nat. Commun. 2024, 15, 1477. [Google Scholar] [CrossRef]
- Tripathy, V.; Basak, B.B.; Varghese, T.S.; Saha, A. Residues and contaminants in medicinal herbs—A review. Phytochem. Lett. 2015, 14, 67–78. [Google Scholar] [CrossRef]
- Peng, B.; Xie, Y.; Lai, Q.; Liu, W.; Ye, X.; Yin, L.; Zhang, W.; Xiong, S.; Wang, H.; Chen, H. Pesticide residue detection technology for herbal medicine: Current status, challenges, and prospects. Anal Sci. 2024, 40, 581–597. [Google Scholar] [CrossRef]
- Pandya, R.S.; Kaur, T.; Bhattacharya, R.; Bose, D.; Saraf, D. Harnessing microorganisms for bioenergy with microbial fuel cells: Powering the future. Water–Energy Nexus 2024, 7, 1–12. [Google Scholar] [CrossRef]
- Rathinavel, N.; Samuel, J.O.; Veleeswaran, A.; Nallathambi, S.; Ponnuchamy, K.; Muthusamy, G.; Raja, R.; Ramalingam, K.R.; Alagarsamy, A. Exploring the key factors enhancing the microbial fuel cell performance. Process Safety Environ. Protect. 2025, 193, 385–402. [Google Scholar] [CrossRef]
- Qiu, Q.; Bender, S.F.; Mgelwa, A.S.; Hu, Y. Arbuscular mycorrhizal fungi mitigate soil nitrogen and phosphorus losses: A meta–analysis. Sci. Total Environ. 2022, 807 Pt 1, 150857. [Google Scholar] [CrossRef]
- Zhang, Y.Y.; Zhang, J.; Wang, Y.; Luo, Z.; Li, X.; Wang, Y.; Luo, J.; Yang, M.H. Unveiling the contamination patterns of neonicotinoid insecticides: Detection, distribution, and risk assessment in Panax notoginseng across plant parts. J. Agric. Food Chem. 2024, 72, 17834–17846. [Google Scholar] [CrossRef]
- Lin, C.W.; Lai, C.; Liu, S.; Chen, Y.; Alfanti, L. Enhancing bioelectricity generation and removal of copper in microbial fuel cells with a laccase–catalyzed biocathode. J. Clean. Prod. 2021, 298, 126726. [Google Scholar] [CrossRef]
- Hong, S.B.; Piao, S.L.; Chen, A.; Liu, Y.; Liu, L.; Peng, S.; Sardans, J.; Sun, Y.; Peñuelas, J.; Zeng, H. Afforestation neutralizes soil pH. Nat. Commun. 2018, 9, 520. [Google Scholar] [CrossRef]
- Pan, L.; Li, Y.; Zhao, W.; Sui, Y.; Yang, N.; Liu, L.; Liu, Y.; Tang, Z.; Mu, L. Metabolomics analysis of different diameter classes of Taxus chinensis reveals that the resource allocation is related to carbon and nitrogen metabolism. BMC Plant Biol. 2024, 24, 383. [Google Scholar] [CrossRef]
- Hao, D.C.; Li, C.X.; Xiao, P.G.; Xie, H.T.; Bao, X.L.; Wang, L.F. Conservation Tillage in Medicinal Plant Cultivation in China: What, Why, and How. Agronomy 2023, 13, 1890. [Google Scholar] [CrossRef]
- Hammami, H.; Eslami, S.V. Physiological and growth responses of milk thistle (Silybum marianum (L.) Gaertn.) to soil–applied herbicides. J. Environ. Manag. 2024, 365, 121420. [Google Scholar] [CrossRef]
- Shukla, M.; Kumar, S. Algal growth in photosynthetic algal microbial fuel cell and its subsequent utilization for biofuels. Renew. Sustain. Energy Rev. 2018, 82 Pt 1, 402–414. [Google Scholar] [CrossRef]
- Demidchik, V. Mechanisms of oxidative stress in plants: From classical chemistry to cell biology. Environ. Expt. Bot. 2015, 109, 212–228. [Google Scholar] [CrossRef]
- Haritash, A.K.; Kaushik, C.P. Biodegradation aspects of polycyclic aromatic hydrocarbons (PAHs): A review. J. Hazard. Mater. 2009, 169, 1–15. [Google Scholar] [CrossRef]
- Chanika, E.; Georgiadou, D.; Soueref, E.; Karas, P.; Karanasios, E.; Tsiropoulos, N.G.; Tzortzakakis, E.A.; Karpouzas, D.G. Isolation of soil bacteria able to hydrolyze both organophosphate and carbamate pesticides. Bioresour. Technol. 2011, 102, 3184–3192. [Google Scholar] [CrossRef]
- Chugh, M.; Kumar, L.; Shah, M.P.; Bharadvaja, N. Algal Bioremediation of heavy metals: An insight into removal mechanisms, recovery of by–products, challenges, and future opportunities. Energy Nexus 2022, 7, 100129. [Google Scholar] [CrossRef]
- Cai, S.; Zhao, X.; Yan, X.Y. Towards precise nitrogen fertilizer management for sustainable agriculture. Earth Crit. Zone 2025, 2, 100026. [Google Scholar] [CrossRef]
- Turkeltaub, T.; Wang, J.; Cheng, Q.; Jia, X.; Zhu, Y.; Shao, M.; Binley, A. Soil moisture and electrical conductivity relationships under typical Loess Plateau land covers. Vadose Zone J. 2022, 21, e20174. [Google Scholar] [CrossRef]
- Tahir, S.; Marschner, P. Clay addition to sandy soil—Influence of clay type and size on nutrient availability in sandy soils amended with residues differing in C/N ratio. Pedosphere 2017, 27, 293–305. [Google Scholar] [CrossRef]
- Liu, X.D.; Tournassat, C.; Grangeon, S.; Kalinichev, A.G.; Takahashi, Y.; Fernandes, M.M. Molecular–level understanding of metal ion retention in clay–rich materials. Nat. Rev. Earth Environ. 2022, 3, 461–476. [Google Scholar] [CrossRef]
- Farkas, D.; Proctor, K.; Kim, B.; Avignone Rossa, C.; Kasprzyk-Hordern, B.; Di Lorenzo, M. Assessing the impact of soil microbial fuel cells on atrazine removal in soil. J. Hazard. Mater. 2024, 478, 135473. [Google Scholar] [CrossRef]
- Zhang, Z.; Furman, A. Soil redox dynamics under dynamic hydrologic regimes—A review. Sci. Total Environ. 2021, 763, 143026. [Google Scholar] [CrossRef]
- Cha, J.; Choi, S.; Yu, H.; Kim, H.; Kim, C. Directly applicable microbial fuel cells in aeration tank for wastewater treatment. Bioelectrochem. 2010, 78, 72–79. [Google Scholar] [CrossRef]
- Wang, C.; Kuzyakov, Y. Mechanisms and implications of bacterial–fungal competition for soil resources. ISME J. 2024, 18, wrae073. [Google Scholar] [CrossRef]
- Zhang, Y.; Li, S.; Li, H.; Wang, R.; Zhang, K.Q.; Xu, J. Fungi–nematode interactions: Diversity, ecology, and biocontrol prospects in agriculture. J. Fungi. 2020, 6, 206. [Google Scholar] [CrossRef]
- Wong, H.J.; Mohamad-Fauzi, N.; Rizman-Idid, M.; Convey, P.; Alias, S.A. Protective mechanisms and responses of micro–fungi towards ultraviolet–induced cellular damage. Polar Sci. 2019, 20 Pt 1, 19–34. [Google Scholar] [CrossRef]
- Alster, C.J.; Allison, S.D.; Johnson, N.G.; Glassman, S.I.; Treseder, K.K. Phenotypic plasticity of fungal traits in response to moisture and temperature. ISME Commun. 2021, 1, 43. [Google Scholar] [CrossRef]
- Singh, S.; Kumar, V.; Gill, J.P.K.; Datta, S.; Singh, S.; Dhaka, V.; Kapoor, D.; Wani, A.B.; Dhanjal, D.S.; Kumar, M.; et al. Herbicide glyphosate: Toxicity and microbial degradation. Int. J. Environ. Res. Public Health 2020, 17, 7519. [Google Scholar] [CrossRef]
- Huang, Y.P.; Li, Z.; Yao, K.; Chen, C.; Deng, C.; Fang, Y.; Li, R.; Tian, H. Suppressing toxic intermediates during photocatalytic degradation of glyphosate by controlling adsorption modes. Appl. Catal. B Environ. 2021, 299, 120671. [Google Scholar] [CrossRef]
- Kafle, A.; Timilsina, A.; Gautam, A.; Adhikari, K.; Bhattarai, A.; Aryal, N. Phytoremediation: Mechanisms, plant selection and enhancement by natural and synthetic agents. Environ. Adv. 2022, 8, 100203. [Google Scholar] [CrossRef]
- Liu, Y.; Zhang, Y.; Yang, C.; Shahzad, M.W.; Yan, Y.; Dai, L.; Lu, W.; Chen, W.; He, X.; Xu, B.B.; et al. A hierarchical multimetal oxides@graphene fabric electrode with high energy density and robust cycling performance for flexible supercapacitors. Nano Lett. 2025, 25, 4485–4493. [Google Scholar] [CrossRef]
- Aiswaria, P.; Mohamed, S.N.; Singaravelu, D.L.; Brindhadevi, K.; Pugazhendhi, A. A review on graphene/graphene oxide supported electrodes for microbial fuel cell applications: Challenges and prospects. Chemosphere 2022, 296, 133983. [Google Scholar]
- Gomes, D.G.; Coelho, E.; Silva, R.; Domingues, L.; Teixeira, J.A. 8—Bioreactors and engineering of filamentous fungi cultivation. In Current Developments in Biotechnology and Bioengineering: Filamentous Fungi Biorefinery; Elsevier: Amsterdam, The Netherlands, 2023; pp. 219–250. [Google Scholar]
- Chakraborty, I.; Sathe, S.M.; Dubey, B.K.; Ghangrekar, M.M. Waste–derived biochar: Applications and future perspective in microbial fuel cells. Bioresour. Technol. 2020, 312, 123587. [Google Scholar] [CrossRef]
- Huggins, T.; Wang, H.; Kearns, J.; Jenkins, P.; Ren, Z.J. Biochar as a sustainable electrode material for electricity production in microbial fuel cells. Bioresour. Technol. 2014, 157, 114–119. [Google Scholar] [CrossRef]
- Logan, B.E.; Rossi, R.; Ragab, A.; Saikaly, P.E. Electroactive microorganisms in bioelectrochemical systems. Nat. Rev. Microbiol. 2019, 17, 307–319. [Google Scholar] [CrossRef]
- Liu, C.M.; Qin, J.; Dou, X.; Yang, M.H.; Sun, X.B. Extrinsic harmful residues in Chinese herbal medicines: Types, detection, and safety evaluation. Chin. Herb. Med. 2018, 10, 117–136. [Google Scholar] [CrossRef]
- Zhang, F.; Hao, X.; Liu, J.; Hou, H.; Chen, S.L.; Wang, C. Herbal Multiomics Provide insights into gene discovery and bioproduction of triterpenoids by engineered microbes. J. Agric. Food Chem. 2025, 73, 47–65. [Google Scholar] [CrossRef]
- Garg, S.; Kim, M.; Romero-Suarez, D. Current advancements in fungal engineering technologies for Sustainable Development Goals. Trends Microbiol. 2025, 33, 285–301. [Google Scholar] [CrossRef]
- Schuster, M.; Kahmann, R. CRISPR–Cas9 genome editing approaches in filamentous fungi and oomycetes. Fungal Genet. Biol. 2019, 130, 43–53. [Google Scholar] [CrossRef]
- Ottenheim, C.; Nawrath, M.; Wu, J. Microbial mutagenesis by atmospheric and room–temperature plasma (ARTP): The latest development. Bioresour. Bioprocess. 2018, 5, 12. [Google Scholar] [CrossRef]
- Jansson, J.K.; McClure, R.; Egbert, R.G. Soil microbiome engineering for sustainability in a changing environment. Nat. Biotechnol. 2023, 41, 1716–1728. [Google Scholar] [CrossRef]
- Tripathi, S.; Singh, V.K.; Srivastava, P.; Singh, R.; Devi, R.S.; Kumar, A.; Bhadouria, R. Chapter 4—Phytoremediation of organic pollutants: Current status and future directions. In Abatement of Environmental Pollutants: Trends and Strategies; Elsevier: Amsterdam, The Netherlands, 2020; pp. 81–105. [Google Scholar]
- Tong, Y.Y.; Zheng, X.; Hu, Y.; Wu, J.; Liu, H.; Deng, Y.; Lv, W.; Yao, H.; Chen, J.; Ge, T. Root exudate–mediated plant–microbiome interactions determine plant health during disease infection. Agri. Ecosyst. Environ. 2024, 370, 109056. [Google Scholar] [CrossRef]
- Singh, S.; Tiwari, S. Chapter 10—Responses of plants to herbicides: Recent advances and future prospectives. In Plant Life Under Changing Environment: Responses and Management; Springer: Berlin/Heidelberg, Germany, 2020; pp. 237–250. [Google Scholar]
- Shahab, H.; Naeem, M.; Iqbal, M.; Aqeel, M.; Ullah, S.S. IoT–driven smart agricultural technology for real–time soil and crop optimization. Smart Agric. Technol. 2025, 10, 100847. [Google Scholar] [CrossRef]
- Chang, Y.Y.; Cao, Q.; Venton, B.J. 3D printing for customized carbon electrodes. Curr. Opin. Electrochem. 2023, 38, 101228. [Google Scholar] [CrossRef]
- Ghorui, M.; Chowdhury, S.; Balu, P.; Burla, S. Arbuscular mycorrhizal inoculants and its regulatory landscape. Heliyon 2024, 10, e30359. [Google Scholar] [CrossRef]
- Chen, F.; Zhou, B.; Yang, L.; Zhuang, J.; Chen, X. Annual atrazine residue estimation in Chinese agricultural soils by integrated modeling of machine learning and mechanism–based models. J. Hazard. Mater. 2024, 472, 134539. [Google Scholar] [CrossRef]
- Kumar, V.; Zadokar, A.; Kumar, P.; Sharma, R.; Sharma, R.; Siddiqui, M.W.; Irfan, M.; Chandora, R. Advancing medicinal plant agriculture: Integrating technology and precision agriculture for sustainability. PeerJ 2025, 13, e19058. [Google Scholar] [CrossRef]
- Luo, H.; Zhao, Y.; Hua, H.; Zhang, Y.; Zhang, X.; Fang, Q.; Li, Q.; Zhang, Y.; Tan, P.; Yang, A.; et al. Research progress on quality assurance of genuine Chinese medicinal in Sichuan. Chin. Med. 2021, 16, 19. [Google Scholar] [CrossRef]


| Fungal Species | Location | MFC Type | Pollutant | Role in Electron Transfer | Removal Efficiency (%) | Max PD/CD/Voltage | Electron Mediator/Secretions | Time (Days) | Reference |
|---|---|---|---|---|---|---|---|---|---|
| Exophiala dermatitidis EXF8193 | Anode | Single chamber | Basic Blue 9 (BB9) | Generates electrons through glucose metabolism and transfers them to the anode directly or indirectly (e.g., via cytochromes) through biofilms; may release electrons via enzymatic oxidation during Basic Blue 9 degradation. | 70 (within 120 h) | Maximum voltage: 284 mV | N/A | 5 | [59] |
| Saccharomyces cerevisiae | Anode | Single chamber | None | Metabolizes glucose via glycolysis and the tricarboxylic acid cycle to produce NADH/FADH2; electrons are directly transferred to the anode through redox reactions (Fe3⁺/Fe2⁺) of cytochromes c and a3. Carbon nanotubes (CNTs) enhance electron transfer efficiency via covalent bonding (C-N) and hydrophobic interactions, eliminating the need for exogenous mediators. | None | PD 344 mW/m2 | Cytochromes c and a3, NAD/NADH, FAD/FADH2 | Stable operation for more than 8 days | [60] |
| S. cerevisiae (displaying AmPDH) | Anode | Single chamber | None | Immobilizes the pyranose dehydrogenase (AmPDH) derived from Agaricus meleagris through the α-agglutinin yeast surface display (YSD) system; provides a metabolic environment to assist enzyme activity and bridges electron transfer to the anode through the mediator methylene blue (MB). | None | PD 3.9 μW/cm2 (for D-xylose) | 1 mM methylene blue (MB) | N/A | [61] |
| Flammulina velutipes (carbonized), Pleurotus eryngii (carbonized) | Anode | Dual chamber | None | N/O-doped functional groups (pyridinic N, pyrrolic N) in mycelia optimize interfacial electron transfer at the anode; filamentous structure increases specific surface area, promoting biofilm enrichment of electroactive bacteria (e.g., Geobacter), indirectly enhancing electron transfer efficiency. | None | PD 3.5 ± 0.2 W/m2 | N/O-doped functional groups (pyridinic N, pyrrolic N, C-O/C=O bonds) | 30 | [62] |
| S. cerevisiae | Anode | Dual chamber | None | In coculture with Shewanella oneidensis, genetically engineered to metabolize glucose into lactate by knocking out ethanol pathways and introducing the L-LDH gene, providing a carbon source for S. oneidensis. Avoids biofilm formation to prevent competition for anode surface, indirectly facilitating S. oneidensis electron transfer via cytochromes and flavins. | None | PD 123.4 mW/m2 | Lactate (metabolite), S. oneidensis-secreted flavins | About 12.5 | [63] |
| Lipomyces starkeyi | Anode | Dual chamber | Palm oil mill effluent | In coculture with Klebsiella pneumoniae, utilizes bacterial-secreted electron shuttles (e.g., 2,6-di-tert-butylbenzoquinone) for enhanced electron transfer; participates in direct electron transfer via membrane cytochromes, synergizing with bacterial indirect electron transfer to form conductive biofilms and reduce charge transfer resistance. | None | PD 12.87 W/m3 | Bacterial-derived quinone-based shuttles | 15 | [64] |
| Trametes versicolor | Anode | Dual chamber | Dyes (e.g., azo dyes) | In coculture with bacteria, mycelial networks provide attachment sites for bacteria (e.g., Shewanella), facilitating electron transfer from bacteria to the anode; laccase catalyzes reductive degradation of dyes (e.g., Crystal Violet) at the cathode, indirectly promoting electron transfer to the electrode. | Lissamine Green 94; Crystal Violet 83 | PD 1.2 W/m3 | Laccase, redox enzymes | 60 | [65] |
| Galactomyces reessii | Cathode | Dual chamber | None | Secretes laccase (multicopper oxidase) to catalyze oxygen reduction to water at the cathode, directly participating in electron transfer; modified coconut shell charcoal electrodes enhance electron transfer kinetics between laccase and the electrode. | None | PD 59 mW/m2 and CD 278 mA/m2 | Laccase (multicopper oxidase) | 45 | [66] |
| Ganoderma lucidum BCRC 36123 | Cathode | Single chamber | Acid Orange 7 (AO7) | Secretes laccase to the cathode. The laccase catalyzes the oxidative degradation of AO7 and directly participates in oxygen-reduction reactions. Oxygen acts as the electron acceptor, and laccase facilitates the transfer of electrons (accepted from the anode) to oxygen, improving the cathode’s electron-acceptance efficiency. Possibly uses AO7 or its metabolites as electron mediators to complete the electron loop. | >90 | PD 13.38 mW/m2; CD 33 mA/m2 | Laccase | 5 | [67] |
| Treatment | Advantages | Disadvantages | Herbicide Type Florpyrrauxifen-Benzyl (F)/Haloxyfop-P (H) | Removal Efficiency | Power Quality–Power Density/Current Density | Time (Days) | Reference |
|---|---|---|---|---|---|---|---|
| Electrokinetic | Versatile, highly energy efficient, auto-controllable, highly environmentally compatible. | High soil internal resistance restricts ion movement, leading to low current density and low herbicide removal rate. | Florpyrrauxifen-benzyl, haloxyfop-P | F 71% H 38% | F: power density 1.46 × 10−5 μW/cm2; current density 0.01 A/cm2 H: power density 5.99 × 10−4 μW/cm2; current density 0.03 A/cm2 | 7 d | [85] |
| Microbial (non-electrode) | Low cost, environmentally friendly, uses organic pollutants as carbon source for microbial growth, sustainable. | Long treatment time (60 days required), low efficiency. | Florpyrrauxifen-benzyl, haloxyfop-P | F 100% H 61% | Neither generates nor consumes electricity | 60 d | [85] |
| MFCs | Removes soil pollutants and generates electricity using bioelectrochemical technology, no need for additional power supply. | Soil physicochemical properties affect remediation effect; large differences in tolerance among different strains; toxicity of intermediate products and long-term impacts need further study. | Florpyrrauxifen-benzyl, haloxyfop-P | F 100% H 62% | F: power density 1.23 × 10−5 μW/cm2; current density 0.09 A/cm2 H: power density 0.01 μW/cm2; current density 0.37 A/cm2 | 30 d | [85] |
| Indigenous microorganism (open circuit) | Low cost, environmentally friendly, and highly sustainable. | Long treatment time, low efficiency, and high susceptibility to environmental impacts. | Haloxyfop-P | F anode 85.87%; cathode 83.15% | Neither generates nor consumes electricity | 90 d | [19] |
| Pollutant Removal | Power Generation | Soil Health Restoration | |
|---|---|---|---|
| Fungal MFC | Dominated by enzymatic degradation (laccases, peroxidases) coupled with DET via hyphal networks | Enzymatic oxidation (e.g., laccases, peroxidases) and DET via conductive hyphae, minimizing energy losses | Stabilizes pH via organic acid secretion and enhances enzyme activity (e.g., dehydrogenase, urease) through pollutant mineralization |
| Bacterial MFC | Relies on EET pathways (e.g., cytochromes, nanowires) for pollutant oxidation | EET pathways (cytochromes, nanowires) for long-range electron transport | Promotes nutrient cycling via siderophores and extracellular polymeric substances (EPSs) |
| Algal MFC | Combines biosorption with cathodic oxygen reduction, enhancing pollutant immobilization | Anodic pollutant oxidation + cathodic oxygen reduction, leveraging photosynthetic activity | Enriches SOC and improves soil structure through photosynthetic biomass deposition |
Disclaimer/Publisher’s Note: The statements, opinions and data contained in all publications are solely those of the individual author(s) and contributor(s) and not of MDPI and/or the editor(s). MDPI and/or the editor(s) disclaim responsibility for any injury to people or property resulting from any ideas, methods, instructions or products referred to in the content. |
© 2025 by the authors. Licensee MDPI, Basel, Switzerland. This article is an open access article distributed under the terms and conditions of the Creative Commons Attribution (CC BY) license (https://creativecommons.org/licenses/by/4.0/).
Share and Cite
Hao, D.-C.; Li, X.; Wang, Y.; Li, J.; Li, C.; Xiao, P. Xeno-Fungusphere: Fungal-Enhanced Microbial Fuel Cells for Agricultural Remediation with a Focus on Medicinal Plants. Agronomy 2025, 15, 1392. https://doi.org/10.3390/agronomy15061392
Hao D-C, Li X, Wang Y, Li J, Li C, Xiao P. Xeno-Fungusphere: Fungal-Enhanced Microbial Fuel Cells for Agricultural Remediation with a Focus on Medicinal Plants. Agronomy. 2025; 15(6):1392. https://doi.org/10.3390/agronomy15061392
Chicago/Turabian StyleHao, Da-Cheng, Xuanqi Li, Yaoxuan Wang, Jie Li, Chengxun Li, and Peigen Xiao. 2025. "Xeno-Fungusphere: Fungal-Enhanced Microbial Fuel Cells for Agricultural Remediation with a Focus on Medicinal Plants" Agronomy 15, no. 6: 1392. https://doi.org/10.3390/agronomy15061392
APA StyleHao, D.-C., Li, X., Wang, Y., Li, J., Li, C., & Xiao, P. (2025). Xeno-Fungusphere: Fungal-Enhanced Microbial Fuel Cells for Agricultural Remediation with a Focus on Medicinal Plants. Agronomy, 15(6), 1392. https://doi.org/10.3390/agronomy15061392

