Advantages and Challenges of Using Phosphonate-Based Fungicides in Agriculture: Experimental Analysis and Model Development
Abstract
1. Introduction
2. Materials and Methods
2.1. Experimental Greenhouse Trials with Agrifos
2.2. Sampling Methods, Sample Preparation, and Analysis
2.3. Statistical Data Analysis
2.4. Mathematical Model Development
3. Results and Discussion
3.1. Chemical Residues in the Soil
3.1.1. Initial Chemicals in the Soil
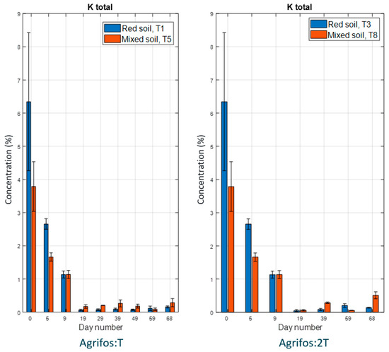
3.1.2. The Total Potassium in the Soil
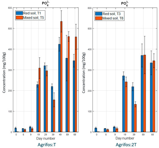
3.1.3. Phosphate in the Soil
3.2. Modelling the Fate of Agrifos-Released Chemicals in the Soil
3.3. Advantages and Challenges of Using Phosphonate-Based Fungicides
3.3.1. The Growth Pattern of Young Pepper Plants in the Experiment
3.3.2. Benefits and Limitations of Phosphonate-Based Fungicide Application in Agriculture
4. Conclusions
Funding
Data Availability Statement
Acknowledgments
Conflicts of Interest
References
- Juárez, M.G.Y.; Tafoya, F.A.; Ruvalcaba, L.P.; Alcaraz, T.d.J.V.; Angulo, T.P.G.; López, R.M. Efecto in vitro de fosfito de potasio sobre Athelia rolfsii y Pythium aphanidermatum. Rev. Mex. Cienc. Agric. 2018, 9, 1532–1538. [Google Scholar] [CrossRef][Green Version]
- Morales-Morales, E.J.; Martínez-Campos, Á.R.; López-Sandoval, J.A.; González, A.M.C.; Rubí-Arriaga, M. Phosphites and their applications in agriculture. Rev. Mex. Cienc. Agric. 2022, 13, 2. [Google Scholar]
- Chang, E.G.B. Phosphite, phosphate, and their interactions in soil and turfgrass. Grass Res. 2023, 3, 13. [Google Scholar] [CrossRef]
- Varadarajan, D.K.; Karthikeyan, A.S.; Matilda, P.D.; Raghothama, K.G. Phosphite, an Analog of Phosphate, Suppresses the Coordinated Expression of Genes under Phosphate Starvation. Plant Physiol. 2002, 129, 1232–1240. [Google Scholar] [CrossRef]
- Dguest, D.; Grant, B. The complex action of phosphonates as antifungal agents. Biol. Rev. 1991, 66, 159–187. [Google Scholar] [CrossRef]
- McDonald, A.E.; Grant, B.R.; Plaxton, W.C. Phosphite (Phosphorous acid): Its Relevance in the Environment and Agriculture and Influence on Plant Phosphate Starvation Response. J. Plant Nutr. 2001, 24, 1505–1519. [Google Scholar] [CrossRef]
- McDonald, A.E.; Niere, J.O.; Plaxton, W.C. Phosphite disrupts the acclimation of Saccharomyces cerevisiae to phosphate starvation. Can. J. Microbiol. 2001, 47, 969–978. [Google Scholar] [CrossRef]
- Rickard, D.A. Review of phosphorus acid and its salts as fertilizer materials. J. Plant Nutr. 2000, 23, 161–180. [Google Scholar] [CrossRef]
- Hua, G.K.H.; Ji, P.; Culbreath, A.K.; Ali, M.E. Comparative Study of Phosphorous-Acid-Containing Products for Managing Phytophthora Blight of Bell Pepper. Agronomy 2022, 12, 1293. [Google Scholar] [CrossRef]
- Achary, V.M.M.; Ram, B.; Manna, M.; Datta, D.; Bhatt, A.; Reddy, M.K.; Agrawal, P.K. Phosphite: A novel P fertilizer for weed management and pathogen control. Plant Biotechnol. J. 2017, 15, 1493–1508. [Google Scholar] [CrossRef]
- Perumal, R.; Kumar, K.S.; Babu, S.M.; Bhagavannarayana, G. Optical characterization of ferroelectric glycinium phosphite single crystals. J. Alloys Compd. 2010, 490, 342–349. [Google Scholar] [CrossRef]
- Borza, T.; Schofield, A.; Sakthivel, G.; Bergese, J.; Gao, X.; Rand, J.; Wang-Pruski, G. Ion chromatography analysis of phosphite uptake and translocation by potato plants: Dose-dependent uptake and inhibition of Phytophthora infestans development. Crop Prot. 2014, 56, 74–81. [Google Scholar] [CrossRef]
- Nader, W.; Zahm, A.; Jaschik, J. Phosphonic acid in plant-based food and feed products—Where does it come from? Food Control 2023, 150, 109701. [Google Scholar] [CrossRef]
- Hthao, T.B.; Yamakawa, T. Phosphite (phosphorous acid): Fungicide, fertilizer or bio-stimulator? Soil Sci. Plant Nutr. 2009, 55, 228–234. [Google Scholar] [CrossRef]
- Adams, F.; Conrad, J.P. Transition of Phosphite to Phosphate in Soils. Soil Sci. 1953, 75, 361. Available online: https://journals.lww.com/soilsci/fulltext/1953/05000/transition_of_phosphite_to_phosphate_in_soils.4.aspx (accessed on 20 February 2025). [CrossRef]
- Ouimette, D.G.; Coffey, M.D. Phosphonate Levels in Avocado (Persea americana) Seedlings and Soil Following Treatment with Fosetyl-Al or Potassium Phosphonate. Am. Phytopathol. Soc. 1989, 73, 3. [Google Scholar] [CrossRef]
- Robertson, H.E.; Boyer, P.D. Orthophosphite as a buffer for biological studies. Arch. Biochem. Biophys. 1956, 62, 396–401. [Google Scholar] [CrossRef]
- Griffith, J.M.; Akins, L.A.; Grant, B.R. Properties of the phosphate and phosphite transport systems of Phytophthora palmivora. Arch. Microbiol. 1989, 152, 430–436. [Google Scholar] [CrossRef]
- McMahon, P.J.; Purwantara, A.; Wahab, A.; Imron, M.; Lambert, S.; Keane, P.J.; Guest, D.I. Phosphonate applied by trunk injection controls stem canker and decreases Phytophthora pod rot (black pod) incidence in cocoa in Sulawesi. Australas. Plant Pathol. 2010, 39, 170–175. [Google Scholar] [CrossRef]
- Carberry, P.; Hochman, Z.; McCown, R.; Dalgliesh, N.; Foale, M.; Poulton, P.; Hargreaves, J.; Hargreaves, D.; Cawthray, S.; Hillcoat, N.; et al. The FARMSCAPE approach to decision support: Farmers’, advisers’, researchers’ monitoring, simulation, communication and performance evaluation. Agric. Syst. 2002, 74, 141–177. [Google Scholar] [CrossRef]
- McCown, R.L. A cognitive systems framework to inform delivery of analytic support for farmers’ intuitive management under seasonal climatic variability. Agric. Syst. 2012, 105, 7–20. [Google Scholar] [CrossRef]
- Bedos, C.; Génermont, S.; Le Cadre, E.; Garcia, L.; Barriuso, E.; Cellier, P. Modelling pesticide volatilization after soil application using the mechanistic model Volt’Air. Atmos. Environ. 2009, 43, 3630–3639. [Google Scholar] [CrossRef]
- Wang, C.; Liu, Z.Q. Foliar uptake of pesticides: Present status and future challenge. Pestic. Biochem. Physiol. 2007, 87, 1–8. Available online: https://api.semanticscholar.org/CorpusID:83610657 (accessed on 20 February 2025). [CrossRef]
- Fantke, P.; Wieland, P.; Wannaz, C.; Friedrich, R.; Jolliet, O. Dynamics of pesticide uptake into plants: From system functioning to parsimonious modeling. Environ. Model. Softw. 2013, 40, 316–324. [Google Scholar] [CrossRef]
- Liu, H.; Zhao, W.; He, Z.; Zhang, L. Stochastic modelling of soil moisture dynamics in a grassland of Qilian Mountain at point scale. Sci. China Ser. D Earth Sci. 2007, 50, 1844–1856. [Google Scholar] [CrossRef]
- Arias-Estévez, M.; López-Periago, E.; Martínez-Carballo, E.; Simal-Gándara, J.; Mejuto, J.-C.; García-Río, L. The mobility and degradation of pesticides in soils and the pollution of groundwater resources. Agric. Ecosyst. Environ. 2008, 123, 247–260. [Google Scholar] [CrossRef]
- Holvoet, K.M.A.; Seuntjens, P.; Vanrolleghem, P.A. Monitoring and modeling pesticide fate in surface waters at the catchment scale. Ecol. Modell. 2007, 209, 53–64. [Google Scholar] [CrossRef]
- Baran, N.; Lepiller, M.; Mouvet, C. Agricultural diffuse pollution in a chalk aquifer (Trois Fontaines, France): Influence of pesticide properties and hydrodynamic constraints. J. Hydrol. 2008, 358, 56–69. [Google Scholar] [CrossRef]
- Truong, N.-V.; Burgess, L.W.; Liew, E.C.Y. Prevalence and aetiology of Phytophthora foot rot of black pepper in Vietnam. Australas. Plant Pathol. 2008, 37, 431–442. [Google Scholar] [CrossRef]
- Nguyen, V.L. Spread of Phytophthora capsici in Black Pepper (Piper nigrum) in Vietnam. Engineering 2015, 7, 506–513. [Google Scholar] [CrossRef]
- Le, B.V.Q.; Nguyen, A.; Richter, O.; Nguyen, T.T. Comparison of Frequentist and Bayesian Generalized Linear Models for Analyzing the Effects of Fungicide Treatments on the Growth and Mortality of Piper Nigrum. Agronomy 2021, 11, 2524. [Google Scholar] [CrossRef]
- Al-Busaidi, A.; Cookson, P.; Yamamoto, T. Methods of pH determination in calcareous soils: Use of electrolytes and suspension effect. Soil Res. 2005, 43, 541–545. [Google Scholar] [CrossRef]
- Robinson, G.W. A new method for the mechanical analysis of soils and other dispersions. J. Agric. Sci. 1922, 12, 306–321. [Google Scholar] [CrossRef]
- Rząsa, S.; Owczarzak, W. Methods for the granulometric analysis of soil for science and practice. Pol. J. Soil Sci. 2013, 46, 1. [Google Scholar]
- Walkley, A.; Black, I.A. An Examination of the Degtjareff Method for Determining Soil Organic Matter, and A Proposed Modification of the Chromic Acid Titration Method. Soil Sci. 1934, 37, 29–38. Available online: https://journals.lww.com/soilsci/fulltext/1934/01000/an_examination_of_the_degtjareff_method_for.3.aspx (accessed on 20 February 2025). [CrossRef]
- Fenn, M.E.; Coffey, M.D. Studies on the In Vitro and In Vivo Antifungal Activity of Fosetyl-Al and Phosphorous Acid. Dis. Control. Pest Manag. 1984, 74, 5. [Google Scholar] [CrossRef]
- Rawat, J.; Pandey, N.; Saxena, J. Role of Potassium in Plant Photosynthesis, Transport, Growth and Yield. In Role of Potassium in Abiotic Stress; Iqbal, N., Umar, S., Eds.; Springer Nature: Singapore, 2022; pp. 1–14. [Google Scholar] [CrossRef]
- Vinas, M.; Mendez, J.C.; Jiménez, V.M. Effect of foliar applications of phosphites on growth, nutritional status and defense responses in tomato plants. Sci. Hortic. 2020, 265, 109200. [Google Scholar] [CrossRef]
- Çalişkan, B.; Çalişkan, A.C. Potassium Nutrition in Plants and Its Interactions with Other Nutrients in Hydroponic Culture. In Potassium; Asaduzzaman, M., Asao, T., Eds.; IntechOpen: Rijeka, Croatia, 2017; p. Ch. 2. [Google Scholar] [CrossRef]
- Raheb, A.; Heidari, A. Effects of clay mineralogy and physico-chemical properties on potassium availability under soil aquic conditions. J. Soil Sci. Plant Nutr. 2012, 12, 747–761. [Google Scholar] [CrossRef]
- Schulte, E.E.; Kelling, K.A. Soil and Applied Potassium. In Soil and Applied Potassium (A2521) by the University of Wisconsin-Madison’s Division of Extension; University of Wisconsin: Madison, WI, USA, 2002. [Google Scholar]
- Casida, L.E. Microbial Oxidation and Utilization of Orthophosphite During Growth. J. Bacteriol. 1960, 80, 237–241. [Google Scholar] [CrossRef]
- George, M.; Konetzka, W.A. Bacterial Oxidation of Orthophosphite. J. Bacteriol. 1966, 91, 578–582. [Google Scholar] [CrossRef]
- Foster, T.L.; Winans, L.; Helms, S.J. Anaerobic utilization of phosphite and hypophosphite by Bacillus sp. Appl. Environ. Microbiol. 1978, 35, 937–944. [Google Scholar] [CrossRef]
- Martínez, A.; Osburne, M.S.; Sharma, A.K.; DeLong, E.F.; Chisholm, S.W. Phosphite utilization by the marine picocyanobacterium Prochlorococcus MIT9301. Environ. Microbiol. 2012, 14, 1363–1377. [Google Scholar] [CrossRef] [PubMed]
- Cohen, Y.; Coffey, M.D. Systemic Fungicides and the Control of Oomycetes. Annu. Rev. Phytopathol. 1986, 24, 311–338. [Google Scholar] [CrossRef]
- Zelinová, V.; Huttová, J.; Mistrík, I.; Pal’ove-Balang, P.; Tamás, L. Impact of Aluminum on Phosphate Uptake and Acid Phosphatase Activity in Root Tips of Lotus Japonicus. J. Plant Nutr. 2009, 32, 1633–1641. [Google Scholar] [CrossRef]
- Zhou, J.M.; Huang, P.M. Kinetics of potassium release from illite as influenced by different phosphates. Geoderma 2007, 4, 221–228. [Google Scholar] [CrossRef]
- Freese, D.; van der Zee, S.E.A.T.M.; van Riemsdijk, W.H. Comparison of different models for phosphate sorption as a function of the iron and aluminium oxides of soils. J. Soil Sci. 1992, 43, 729–738. [Google Scholar] [CrossRef]
- Torrent, J. Rapid and Slow Phosphate Sorption by Mediterranean Soils: Effect of Iron Oxides. Soil Sci. Soc. Am. J. 1987, 51, 78–82. [Google Scholar] [CrossRef]
- Johnston, A.E. Soil fertility and soil organic matter. In Advances in Soil Organic Matter Research: The Impact on Agriculture and the Environment; The Royal Society of Chemistry: Melksham, UK, 1991. [Google Scholar]
- Leclerc, M.L.; Nolin, M.C.; Cluis, D.; Simard, R.R. Grouping soils of the Montreal Lowlands (Quebec) according to fertility and P sorption and desorption characteristics. Can. J. Soil Sci. 2001, 81, 71–83. [Google Scholar] [CrossRef]
- Daly, K.; Jeffrey, D.; Tunney, H. The effect of soil type on phosphorus sorption capacity and desorption dynamics in Irish grassland soils. Soil Use Manag. 2001, 17, 12–20. [Google Scholar] [CrossRef]
- BARROW, N.J. A mechanistic model for describing the sorption and desorption of phosphate by soil. J. Soil Sci. 1983, 34, 733–750. [Google Scholar] [CrossRef]
- Ige, D.V.; Akinremi, O.O.; Flaten, D.N.; Ajiboye, B.; Kashem, M.A. Phosphorus sorption capacity of alkaline Manitoba soils and its relationship to soil properties. Can. J. Soil Sci. 2005, 85, 417–426. [Google Scholar] [CrossRef]
- Carswell, C.; Grant, B.R.; Theodorou, M.E.; Harris, J.; Niere, J.O.; Plaxton, W.C. The Fungicide Phosphonate Disrupts the Phosphate-Starvation Response in Brassica nigra Seedlings. Plant Physiol. 1996, 110, 105–110. [Google Scholar] [CrossRef]
- Carswell, M.C.; Grant, B.R.; Plaxton, W.C. Disruption of the phosphate-starvation response of oilseed rape suspension cells by the fungicide phosphonate. Planta 1997, 203, 67–74. [Google Scholar] [CrossRef] [PubMed]
- Förster, H.; Adaskaveg, J.E.; Kim, D.H.; Stanghellini, M.E. Effect of Phosphite on Tomato and Pepper Plants and on Susceptibility of Pepper to Phytophthora Root and Crown Rot in Hydroponic Culture. Plant Dis. 1998, 82, 1165–1170. [Google Scholar] [CrossRef]
- Ticconi, C.A.; Delatorre, C.A.; Abel, S. Attenuation of Phosphate Starvation Responses by Phosphite in Arabidopsis. Plant Physiol. 2001, 127, 963–972. [Google Scholar] [CrossRef]
- Thao, H.T.B.; Yamakawa, T.; Myint, A.K.; Sarr, P.S. Effects of phosphite, a reduced form of phosphate, on the growth and phosphorus nutrition of spinach (Spinacia oleracea L.). Soil Sci. Plant Nutr. 2008, 54, 761–768. [Google Scholar] [CrossRef]
- Albrigo, G. Effects of foliar applications of urea or Nutriphite on flowering and yields of Valencia orange trees. Agric. Food Sci. 1999, 112, 1–4. Available online: https://api.semanticscholar.org/CorpusID:73712679 (accessed on 20 February 2025).
- Lovatt, B.; Mikkelsen, R.L. Phosphite Fertilizers: What Are They? Can You Use Them? What Can They Do? Better Crops 2006, 90, 4. Available online: https://api.semanticscholar.org/CorpusID:52994032 (accessed on 20 February 2025).
- Rossall, S.; Qing, C.; Paneri, M.; Bennett, M.; Swarup, R. A ‘growing’ role for phosphites in promoting plant growth and development. ISHS Acta Hortic. 2016, 1148, 61–68. [Google Scholar] [CrossRef]
- Mohammed, U.; Davis, J.; Rossall, S.; Swarup, K.; Czyzewicz, N.; Bhosale, R.; Foulkes, J.; Murchie, E.H.; Swarup, R. Phosphite treatment can improve root biomass and nutrition use efficiency in wheat. Front. Plant Sci. 2022, 13, 1017048. [Google Scholar] [CrossRef]
- Gómez-Merino, F.C.; Trejo-Téllez, L.I. Biostimulant activity of phosphite in horticulture. Sci. Hortic. 2015, 196, 82–90. [Google Scholar] [CrossRef]
- Nussaume, L.; Kanno, S.; Javot, H.; Marin, E.; Nakanishi, T.M.; Thibaud, M.-C. Phosphate Import in Plants: Focus on the PHT1 Transporters. Front. Plant Sci. 2011, 2, 83. [Google Scholar] [CrossRef] [PubMed]
- Malusà, E.; Tosi, L. Phosphorous acid residues in apples after foliar fertilization: Results of field trials. Food Addit. Contam. 2005, 22, 541–548. [Google Scholar] [CrossRef] [PubMed]
- Monsalve, V.; Viteri, R.; Rubio, C.; Tovar, D. Effects of potassium phosphite in combination with the fungicide metalaxyl mancozeb in the control of downy mildew (Peronospora destructor berk) in bulb onion (Allium cepa L.). Rev. Natl. Fac. Agron. Medellin. 2012, 65, 6317–6325. [Google Scholar]
- Yáñez-Juárez, M.G.; López-Orona, C.A.; Ayala-Tafoya, F.; Partida-Ruvalcaba, L.; de Jesús Velázquez-Alcaraz, T.; Medina-López, R. Phosphites as alternative for the management of phytopathological problems. Rev. Mex. Fitopatol. 2018, 36, 79–94. [Google Scholar]
- Truong, N.V.; Burgess, L.W.; Liew, E.C.Y. Greenhouse and field evaluations of potassium phosphonate: The control of Phytophthora foot rot of black pepper in Vietnam. Arch. Phytopathol. Plant Prot. 2012, 45, 724–739. [Google Scholar] [CrossRef]







| Soil Type | ID | Code | Treatment |
|---|---|---|---|
| Red Soil | V1 | Control | No fungicide |
| T1 | Agrifos:T | 100 mL KPhi/pot (10-day interval) | |
| T3 | Agrifos:2T | 100 mL KPhi/pot (20-day interval) | |
| Mix Soil | V3 | Control | No fungicide |
| T5 | Agrifos:T | 100 mL KPhi/pot (10-day interval) | |
| T8 | Agrifos:2T | 100 mL KPhi/pot (20-day interval) |
| Original Soil | Mixed Soil | Red Soil |
|---|---|---|
| (N = 3) | (N = 3) | |
| Fine Sand (%) | ||
| Mean (SD) | 8.39 (2.24) | 14.70 (4.08) |
| Median [Min, Max] | 7.34 [6.87, 11.00] | 15.20 [10.40, 18.50] |
| Coarse Sand (%) | ||
| Mean (SD) | 6.97 (0.92) | 13.80 (1.08) |
| Median [Min, Max] | 6.54 [6.35, 8.03] | 14.30 [12.50, 14.50] |
| Silt (%) | ||
| Mean (SD) | 3.29 (0.58) | 1.04 (0.92) |
| Median [Min, Max] | 3.16 [2.78, 3.92] | 0.76 [0.30, 2.07] |
| Clay (%) | ||
| Mean (SD) | 81.40 (3.69) | 70.50 (3.43) |
| Median [Min, Max] | 83.30 [77.10, 83.60] | 71.60 [66.70, 73.30] |
| Fe (%) | ||
| Mean (SD) | 2.23 (0.97) | 4.33 (4.05) |
| Median [Min, Max] | 2.34 [1.21, 3.14] | 3.16 [0.99, 8.84] |
| K (%) | ||
| Mean (SD) | 3.79 (0.75) | 5.34 (0.57) |
| Median [Min, Max] | 3.71 [3.08, 4.57] | 5.66 [4.69, 5.68] |
| N (%) | ||
| Mean (SD) | 0.44 (0.07) | 0.36 (0.05) |
| Median [Min, Max] | 0.458 [0.360, 0.486] | 0.39 [0.30, 0.39] |
| Organic Matter (OM) (%) | ||
| Mean (SD) | 4.71 (0.57) | 6.98 (0.10) |
| Median [Min, Max] | 4.49 [4.28, 5.35] | 6.95 [6.90, 7.10] |
| Soil pHKCl | ||
| Mean (SD) | 5.50 (0.31) | 4.70 (0.15) |
| Median [Min, Max] | 5.61 [5.15, 5.74] | 4.63 [4.60, 4.88] |
| PO43− (mg/100g) | ||
| Mean (SD) | 1.32 (0.25) | 19.00 (4.34) |
| Median [Min, Max] | 1.21 [1.14, 1.60] | 17.40 [15.80, 24.00] |
| Al Total (%) | ||
| Mean (SD) | 8.71 (0.53) | 6.05 (1.50) |
| Median [Min, Max] | 8.82 [8.13, 9.18] | 6.91 [4.32, 6.93] |
| Al3+ (mEq) | ||
| Mean (SD) | 0.032 (0.03) | 0.20 (0.08) |
| Median [Min, Max] | 0.02 [0.00, 0.07] | 0.16 [0.16, 0.29] |
| Treatment ID | Min | Max | Mean | Median | Min | Max | Mean | Median |
|---|---|---|---|---|---|---|---|---|
| Height at the start | Height at the end | |||||||
| T1 | 15.00 | 75.10 | 36.80 | 37.80 | 15.00 | 86.40 | 41.60 | 42.90 |
| T5 | 15.20 | 71.90 | 39.90 | 40.40 | 18.30 | 80.30 | 45.30 | 45.90 |
| T3 | 16.20 | 57.50 | 37.40 | 38.70 | 22.60 | 64.20 | 43.90 | 45.30 |
| T8 | 19.90 | 63.40 | 41.30 | 40.40 | 22.10 | 73.90 | 47.50 | 46.40 |
| V1 | 16.90 | 40.70 | 28.00 | 28.00 | 22.20 | 58.80 | 39.30 | 39.20 |
| V3 | 15.90 | 69.30 | 38.00 | 38.30 | 31.00 | 78.40 | 50.70 | 50.90 |
| Height increment at the start | Height increment at the end | |||||||
| T1 | 0.00 | 0.00 | 0.00 | 0.00 | 0.00 | 11.30 | 4.80 | 5.00 |
| T5 | 0.00 | 0.00 | 0.00 | 0.00 | 3.00 | 8.30 | 5.30 | 5.40 |
| T3 | 0.00 | 0.00 | 0.00 | 0.00 | 6.40 | 6.60 | 6.50 | 6.50 |
| T8 | 0.00 | 0.00 | 0.00 | 0.00 | 2.10 | 10.40 | 6.20 | 6.00 |
| V1 | 0.00 | 0.00 | 0.00 | 0.00 | 5.20 | 18.00 | 11.20 | 11.20 |
| V3 | 0.00 | 0.00 | 0.00 | 0.00 | 9.10 | 15.10 | 12.60 | 12.60 |
| Leaf number at the start | Leaf number at the end | |||||||
| T1 | 5.00 | 6.00 | 6.00 | 6.00 | 7.00 | 9.00 | 8.00 | 9.00 |
| T5 | 6.00 | 7.00 | 6.00 | 6.00 | 8.00 | 10.00 | 9.00 | 9.00 |
| T3 | 6.00 | 7.00 | 7.00 | 7.00 | 11.00 | 14.00 | 12.00 | 12.00 |
| T8 | 5.00 | 7.00 | 6.00 | 6.00 | 9.00 | 11.00 | 10.00 | 11.00 |
| V1 | 5.00 | 6.00 | 5.00 | 5.00 | 11.00 | 14.00 | 12.00 | 12.00 |
| V3 | 6.00 | 7.00 | 6.00 | 6.00 | 10.00 | 12.00 | 11.00 | 11.00 |
| Factor | Height | Height Increment | Leaf Number |
|---|---|---|---|
| Soil | ** | ** | ** |
| Dose Frequency | ** | ** | ** |
| Time | ** | ** | ** |
| Soil–Dose Interaction | ** | ** | ** |
| Soil–Time Interaction | - | ** | ** |
| Dose–Time Interaction | - | ** | ** |
| Soil–Dose–Time Interaction | - | - | ** |
Disclaimer/Publisher’s Note: The statements, opinions and data contained in all publications are solely those of the individual author(s) and contributor(s) and not of MDPI and/or the editor(s). MDPI and/or the editor(s) disclaim responsibility for any injury to people or property resulting from any ideas, methods, instructions or products referred to in the content. |
© 2025 by the author. Licensee MDPI, Basel, Switzerland. This article is an open access article distributed under the terms and conditions of the Creative Commons Attribution (CC BY) license (https://creativecommons.org/licenses/by/4.0/).
Share and Cite
Nguyen, A. Advantages and Challenges of Using Phosphonate-Based Fungicides in Agriculture: Experimental Analysis and Model Development. Agronomy 2025, 15, 1360. https://doi.org/10.3390/agronomy15061360
Nguyen A. Advantages and Challenges of Using Phosphonate-Based Fungicides in Agriculture: Experimental Analysis and Model Development. Agronomy. 2025; 15(6):1360. https://doi.org/10.3390/agronomy15061360
Chicago/Turabian StyleNguyen, Anh. 2025. "Advantages and Challenges of Using Phosphonate-Based Fungicides in Agriculture: Experimental Analysis and Model Development" Agronomy 15, no. 6: 1360. https://doi.org/10.3390/agronomy15061360
APA StyleNguyen, A. (2025). Advantages and Challenges of Using Phosphonate-Based Fungicides in Agriculture: Experimental Analysis and Model Development. Agronomy, 15(6), 1360. https://doi.org/10.3390/agronomy15061360

