Sign in to use this feature.

Years

Between: -

Subjects

remove_circle_outline
remove_circle_outline
remove_circle_outline

Journals

Article Types

Countries / Regions

Search Results (3)

Search Parameters:
Keywords = Agrifos

Order results
Result details
Results per page
Select all
Export citation of selected articles as:
18 pages, 1072 KB  
Article
Advantages and Challenges of Using Phosphonate-Based Fungicides in Agriculture: Experimental Analysis and Model Development
by Anh Nguyen
Agronomy 2025, 15(6), 1360; https://doi.org/10.3390/agronomy15061360 - 31 May 2025
Cited by 1 | Viewed by 1916
Abstract
Phosphonate-based fungicides are believed to control fungal diseases while also supplying nutrients to plants. However, opinions differ on whether they truly serve as nutrients for plants, and the residues of their transformation products have not yet been thoroughly evaluated or mathematically characterized. To [...] Read more.
Phosphonate-based fungicides are believed to control fungal diseases while also supplying nutrients to plants. However, opinions differ on whether they truly serve as nutrients for plants, and the residues of their transformation products have not yet been thoroughly evaluated or mathematically characterized. To address this gap, this study analyzed data from a two-factorial experiment investigating the effects of Agrifos 400 (potassium phosphonate) application. The experiment involved two soil types: red basalt soil and an organically enriched soil. Three-month-old pepper plants (Piper nigrum L.) were treated with Agrifos at application intervals of 10 and 20 days. The soils were inoculated with pathogenic Pythium spp., known to cause root rot diseases in plants. The soil chemical concentrations were analyzed every ten days, while plant growth parameters (height and leaf numbers) were recorded weekly. A mathematical model describing the fate of Agrifos transformation products was developed and parameterized using this experimental data. The results from the two-month experiment indicated that Agrifos did not enhance plant growth during this period. However, it led to a dramatic increase in soil phosphate (PO43−) levels, which could pose environmental risks. Despite this, the developed mathematical model demonstrated strong explanatory power, accurately capturing the observed data trends. Consequently, future research should consider integrating this model into broader biogeochemical cycle simulations, particularly those that incorporate chemical transport through soil water. Such integration would support more accurate predictions of the long-term environmental impacts of phosphonate-based products like Agrifos. Full article
(This article belongs to the Section Farming Sustainability)
Show Figures

Figure 1

9 pages, 979 KB  
Article
Comparative Study of Phosphorous-Acid-Containing Products for Managing Phytophthora Blight of Bell Pepper
by Gia Khuong Hoang Hua, Pingsheng Ji, Albert K. Culbreath and Md Emran Ali
Agronomy 2022, 12(6), 1293; https://doi.org/10.3390/agronomy12061293 - 28 May 2022
Cited by 6 | Viewed by 3166
Abstract
Phytophthora blight of pepper caused by Phytophthora capsici is a major constraint to bell pepper (Capsicum annuum) production. The long-term effectiveness of chemicals currently in use against P. capsici is uncertain due to the development of fungicide resistance by this pathogen. [...] Read more.
Phytophthora blight of pepper caused by Phytophthora capsici is a major constraint to bell pepper (Capsicum annuum) production. The long-term effectiveness of chemicals currently in use against P. capsici is uncertain due to the development of fungicide resistance by this pathogen. Hence, the efficacy of alternative chemicals such as phosphorous-acid-containing products was evaluated in this study. In in vitro tests, ProPhyt, K-Phite, Lexx-A-Phos, Agri-Fos, and Nutri-Phite were less effective in inhibiting mycelial growth (EC50 = 50.5 to 324.4 µg mL−1) and sporangium formation (EC50 = 6.1 to 225.7 µg mL−1) of two P. capsici isolates, but more effective against zoospore germination compared with mefenoxam. Among phosphorous-acid-containing products tested, Nutri-Phite was most effective in inhibiting mycelial growth of both P. capsici isolates. In greenhouse studies, Nutri-Phite was effective against Phytophthora blight used as drench. The use of Nutri-Phite, Agri-Fos, ProPhyt, and K-Phite could induce systemic resistance against foliar blight when applied to the root and potting mix. The results indicated that some phosphorous-acid-containing products have the potential to lower disease occurrence and delay Phytophthora blight of bell pepper without phytotoxic effects. The utility of the systemic protection induced by these products is promising in Phytophthora blight management. Full article
Show Figures

Figure 1

21 pages, 2720 KB  
Article
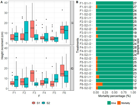
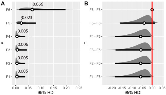
Comparison of Frequentist and Bayesian Generalized Linear Models for Analyzing the Effects of Fungicide Treatments on the Growth and Mortality of Piper Nigrum
by Bao V. Q. Le, Anh Nguyen, Otto Richter and Truc T. Nguyen
Agronomy 2021, 11(12), 2524; https://doi.org/10.3390/agronomy11122524 - 13 Dec 2021
Cited by 2 | Viewed by 3130
Abstract
Foot rot disease poses a devastating threat to pepper agriculture. In Vietnam, conventionally, fungicides are the control methods used against the disease. However, the practical effectiveness of fungicide treatment has yet to be quantitatively assessed. To fill this gap a three-factorial experiment was [...] Read more.
Foot rot disease poses a devastating threat to pepper agriculture. In Vietnam, conventionally, fungicides are the control methods used against the disease. However, the practical effectiveness of fungicide treatment has yet to be quantitatively assessed. To fill this gap a three-factorial experiment was conducted, the factors of which were fungicide application, soil type, and infection pathway, with plant mortality and plant growth as the target variables. Two of the most common fungicides were chosen, including Agrifos 400 (potassium phosphonate) and Aliette 800WG (fosetyl-Al). The two fungicides were used in multiple treatment plans, with soil drenching selected as the means of controlling foot rot disease on red basalt soil and red basalt soil added with organic matter in a greenhouse experiment. Three-month-old pepper (Piper nigrum) plants were treated with Agrifos (application interval of 10 and 20 days), Aliette (application interval of 30 and 60 days), and a combination of both fungicides at half doses. Pepper plants were infected with the fungus Pythium spp. from soil or by direct inoculation. To assess the effect of fungicides on foot rot mortality and the growth of pepper plants, multiple generalized linear models were set up using frequentist and Bayesian approaches. Generally, both procedures suggest the same conclusions for model selection in terms of the Akaike information criterion (AIC) and the deviance information criterion (DIC). Fungicide type was found to be the main factor that affected the survival of plants. Most of the treatments (except Aliette, with an interval of 60 days) effectively reduced the mortality. The usage of fungicides affected the growth of plants in interaction with soil types. Aliette suppressed the growth of plants, especially on red soil, while Agrifos had no effect on the growth of pepper plants. The combined application of Agrifos and Aliette with half doses proves to be a promising solution for balancing cost and effectiveness in protecting plants against foot rot pathogens without affecting their growth. In our case, under the inhomogeneity of variance and unbalanced samples, the Bayesian inference appeared to be the most useful because of its flexibility in terms of model structure. Full article
(This article belongs to the Section Pest and Disease Management)
Show Figures

Graphical abstract

Back to TopTop