Effects of Three Years of Biochar Application on Soil Organic Nitrogen Fraction in Tropical Soil
Abstract
1. Introduction
2. Materials and Methods
2.1. Soil Sample Site
2.2. Experimental Design
2.3. Determination of Soil Chemical Indicators
2.4. Determination of Soil Active Organic N
2.5. Soil Extracellular Enzyme Determination
2.6. Statistical Analysis
3. Results
3.1. Soil Chemical and Biological Properties
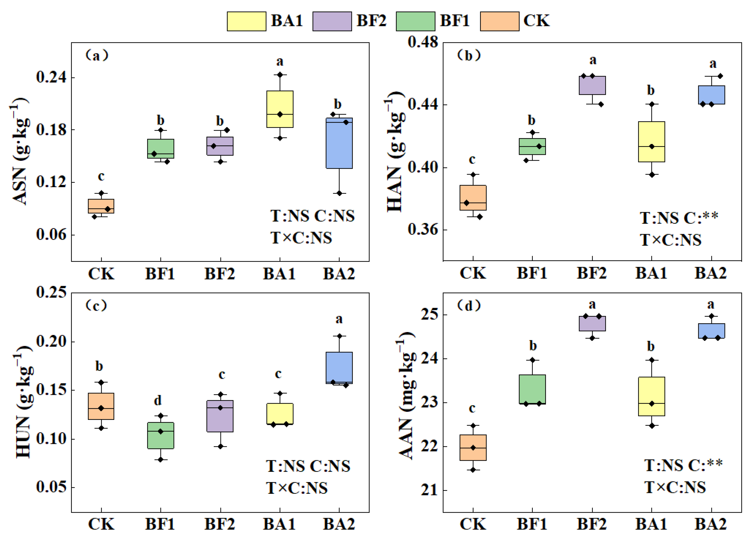
3.2. Soil N Fractions
3.3. Soil Enzyme Activity
3.4. Fitting Analysis of TN, N Fractions, and Chemical Properties
3.5. Interactions Between Soil Organic Nitrogen Fractions and Environmental Factors
4. Discussion
4.1. Effect of Biochar Addition on Soil Chemical and Biological Properties
4.2. Effect of Biochar Addition on Soil Organic N Fractions
4.3. Changes in Soil Organic Nitrogen Fractions Due to Years of Biochar Addition
5. Conclusions
Author Contributions
Funding
Data Availability Statement
Conflicts of Interest
References
- Matson, P.; Lohse, K.A.; Hall, S.J. The globalization of nitrogen deposition: Consequences for terrestrial ecosystems. Ambio 2002, 31, 113–119. [Google Scholar] [CrossRef] [PubMed]
- Esser, G.; Kattge, J.; Sakalli, A. Feedback of carbon and nitrogen cycles enhances carbon sequestration in the terrestrial biosphere. Glob. Change Biol. 2011, 17, 819–842. [Google Scholar] [CrossRef]
- Rennenberg, H.; Dannenmann, M. Nitrogen Nutrition of Trees in Temperate Forests-The Significance of Nitrogen Availability in the Pedosphere and Atmosphere. Forests 2015, 6, 2820–2835. [Google Scholar] [CrossRef]
- Näsholm, T.; Persson, J. Plant acquisition of organic nitrogen in boreal forests. Physiol. Plant. 2001, 111, 419–426. [Google Scholar] [CrossRef]
- O’Brien, J.A.; Vega, A.; Bouguyon, E.; Krouk, G.; Gojon, A.; Coruzzi, G.; Gutierrez, R.A. Nitrate Transport, Sensing, and Responses in Plants. Mol. Plant 2016, 9, 837–856. [Google Scholar] [CrossRef]
- Franklin, O.; Cambui, C.A.; Gruffman, L.; Palmroth, S.; Oren, R.; Näsholm, T. The carbon bonus of organic nitrogen enhances nitrogen use efficiency of plants. Plant Cell Environ. 2017, 40, 25–35. [Google Scholar] [CrossRef]
- Cambui, C.A.; Svennerstam, H.; Gruffman, L.; Nordin, A.; Ganeteg, U.; Näsholm, T. Patterns of Plant Biomass Partitioning Depend on Nitrogen Source. PLoS ONE 2011, 6, e19211. [Google Scholar] [CrossRef]
- Elrys, A.S.; Uwiragiye, Y.; Zhang, Y.; Abdel-Fattah, M.K.; Chen, Z.-X.; Zhang, H.-M.; Meng, L.; Wang, J.; Zhu, T.-B.; Cheng, Y.; et al. Expanding agroforestry can increase nitrate retention and mitigate the global impact of a leaky nitrogen cycle in croplands. Nat. Food 2022, 4, 109–121. [Google Scholar] [CrossRef]
- Cha, J.S.; Park, S.H.; Jung, S.-C.; Ryu, C.; Jeon, J.-K.; Shin, M.-C.; Park, Y.-K. Production and utilization of biochar: A review. J. Ind. Eng. Chem. 2016, 40, 1–15. [Google Scholar] [CrossRef]
- Allohverdi, T.; Mohanty, A.K.; Roy, P.; Misra, M. A Review on Current Status of Biochar Uses in Agriculture. Molecules 2021, 26, 5584. [Google Scholar] [CrossRef]
- Gao, S.; DeLuca, T.H.; Cleveland, C.C. Biochar additions alter phosphorus and nitrogen availability in agricultural ecosystems: A meta-analysis. Sci. Total Environ. 2019, 654, 463–472. [Google Scholar] [CrossRef] [PubMed]
- Bolan, S.; Hou, D.; Wang, L.; Hale, L.; Egamberdieva, D.; Tammeorg, P.; Li, R.; Wang, B.; Xu, J.; Wang, T.; et al. The potential of biochar as a microbial carrier for agricultural and environmental applications. Sci. Total Environ. 2023, 886, 163968. [Google Scholar] [CrossRef] [PubMed]
- Enaime, G.; Luebken, M. Agricultural Waste-Based Biochar for Agronomic Applications. Appl. Sci. 2021, 11, 8914. [Google Scholar] [CrossRef]
- Xia, H.; Riaz, M.; Liu, B.; Li, Y.; El-Desouki, Z.; Jiang, C. Peanut shell biochar in acidic soil increases nitrogen absorption and photosynthesis characteristics of maize under different nitrogen levels. Environ. Dev. Sustain. 2023, 25, 8957–8974. [Google Scholar] [CrossRef]
- Cox, J.; Hue, N.V.; Ahmad, A.; Kobayashi, K.D. Surface-applied or incorporated biochar and compost combination improves soil fertility, Chinese cabbage and papaya biomass. Biochar 2021, 3, 213–227. [Google Scholar] [CrossRef]
- Selvarajh, G.; Ch’ng, H.Y.; Md Zain, N.; Seong Wei, L.; Liew, J.Y.; Mohammad Azmin, S.N.H.; Naher, L.; Abdullah, P.S.; Ahmed, O.H.; Jalloh, M.B.; et al. Enriched rice husk biochar superior to commercial biochar in ameliorating ammonia loss from urea fertilizer and improving plant uptake. Heliyon 2024, 10, e32080. [Google Scholar] [CrossRef]
- Cui, X.; Yuan, J.; Yang, X.; Wei, C.; Bi, Y.; Sun, Q.; Meng, J.; Han, X. Biochar application alters soil metabolites and nitrogen cycle-related microorganisms in a soybean continuous cropping system. Sci. Total Environ. 2024, 917, 170522. [Google Scholar] [CrossRef]
- Pan, Z.; Ullah, H.F.; Saddam, H.; Muhammad, F.; Cai, X.; Cai, L. Biochar amendment enhanced soil nitrogen fractions and wheat yield after four to five years of aging in Loess Plateau, China. Arab. J. Geosci. 2022, 15, 523. [Google Scholar]
- Zhu, L.; Tian, G.; Zhang, L.; Zhao, X.; Wang, J.; Wang, C.; Wang, P.; Tian, E. Biochar application affects dynamics of soil microbial biomass and maize grain yield. Scienceasia 2022, 48, 673–680. [Google Scholar] [CrossRef]
- Victor, B.; Julien, F.; Sarah, G.; Ramin Heidarian, D.; Gilles, C.; Jean-Thomas, C. Young and century-old biochars strongly affect nutrient cycling in a temperate agroecosystem. Agric. Ecosyst. Environ. 2022, 328, 107847. [Google Scholar] [CrossRef]
- Jiang, X.; Tan, X.; Cheng, J.; Haddix, M.L.; Cotrufo, M.F. Interactions between aged biochar, fresh low molecular weight carbon and soil organic carbon after 3.5 years soil-biochar incubations. Geoderma 2019, 333, 99–107. [Google Scholar] [CrossRef]
- Xia, H.; Riaz, M.; Ming, C.; Li, Y.; Wang, X.; Jiang, C. Assessing the difference of biochar and aged biochar to improve soil fertility and cabbage (Brassica oleracea var. capitata) productivity. J. Soils Sediments 2022, 23, 606–618. [Google Scholar] [CrossRef]
- Rezaei Rashti, M.; Esfandbod, M.; Phillips, I.R.; Chen, C.R. Aged biochar alters nitrogen pathways in bauxite-processing residue sand: Environmental impact and biogeochemical mechanisms. Environ. Pollut. 2019, 247, 438–446. [Google Scholar] [CrossRef]
- Shen, H.; Zhang, Q.; Zhang, X.; Jiang, X.; Zhu, S.; Chen, A.; Wu, Z.; Xiong, Z. In situ effects of biochar field-aged for six years on net N mineralization in paddy soil. Soil Tillage Res. 2020, 205, 104766. [Google Scholar] [CrossRef]
- Haider, G.; Joseph, S.; Steffens, D.; Mueller, C.; Taherymoosavi, S.; Mitchell, D.; Kammann, C.I. Mineral nitrogen captured in field-aged biochar is plant-available. Sci. Rep. 2020, 10, 13816. [Google Scholar] [CrossRef] [PubMed]
- Mia, S.; Singh, B.; Dijkstra, F.A. Aged biochar affects gross nitrogen mineralization and recovery: A 15 N study in two contrasting soils. Glob. Chang. Biol. Bioenergy 2017, 9, 1196–1206. [Google Scholar] [CrossRef]
- Oladele, S.O. Changes in physicochemical properties and quality index of an Alfisol after three years of rice husk biochar amendment in rainfed rice—Maize cropping sequence. Geoderma 2019, 353, 359–371. [Google Scholar] [CrossRef]
- St Luce, M.; Ziadi, N.; Zebarth, B.J.; Whalen, J.K.; Grant, C.A.; Gregorich, E.G.; Lafond, G.P.; Blackshaw, R.E.; Johnson, E.N.; O’Donovan, J.T.; et al. Particulate organic matter and soil mineral nitrogen concentrations are good predictors of the soil nitrogen supply to canola following legume and non-legume crops in western Canada. Can. J. Soil Sci. 2013, 93, 607–620. [Google Scholar] [CrossRef]
- Bicharanloo, B.; Shirvan, M.B.; Dijkstra, F.A. Decoupled cycling of carbon, nitrogen, and phosphorus in a grassland soil along a hillslope mediated by clay and soil moisture. Catena 2022, 219, 106648. [Google Scholar] [CrossRef]
- Breza, L.C.; Mooshammer, M.; Bowles, T.M.; Jin, V.L.; Schmer, M.R.; Thompson, B.; Grandy, A.S. Complex crop rotations improve organic nitrogen cycling. Soil Biol. Biochem. 2023, 177, 108911. [Google Scholar] [CrossRef]
- Weintraub-Leff, S.R.; Hall, S.J.; Craig, M.E.; Sihi, D.; Wang, Z.; Hart, S.C. Standardized Data to Improve Understanding and Modeling of Soil Nitrogen at Continental Scale. Earths Future 2023, 11, e2022EF003224. [Google Scholar] [CrossRef]
- Latifah, O.; Ahmed, O.H.; Majid, N.M.A. Soil pH Buffering Capacity and Nitrogen Availability Following Compost Application in a Tropical Acid Soil. Compost. Sci. Util. 2017, 26, 1–15. [Google Scholar] [CrossRef]
- Jiang, H.; Yang, N.; Qian, H.; Chen, G.; Wang, W.; Lu, J.; Li, Y.; Hu, Y. Effects of Different Ecological Restoration Pattern on Soil Organic Nitrogen Components in Alpine Sandy Land. Agronomy 2024, 4, 680. [Google Scholar] [CrossRef]
- Subba Rao, A.; Ghosh, A.B. Effect of continuous cropping and fertilizer use on the organic nitrogen fractions in a typic ustochrept soil. Plant Soil 1981, 62, 377–383. [Google Scholar] [CrossRef]
- Mundra, M.C.; Bhandari, G.S.; Srivastava, O.P. Studies on mineralization and immobilization of nitrogen in soil. Geoderma 1973, 9, 27–33. [Google Scholar] [CrossRef]
- Shi, L.-H.; Tang, H.-M.; Sun, G.; Sun, M.; Long, Z.-D.; Wen, L.; Cheng, K.-K.; Luo, Z.-C. Impacts of long-term different fertilization managements on soil acid hydrolysable organic nitrogen fractions in double-cropping rice field. J. Appl. Ecol. 2022, 33, 3345–3351. [Google Scholar] [CrossRef]
- Lu, H.; Li, S.; Jin, F.; Shao, M.a. Contributions of Organic Nitrogen Forms to Mineralized Nitrogen during Incubation Experiments of the Soils on the Loess Plateau. Commun. Soil Sci. Plant Anal. 2009, 40, 3399–3419. [Google Scholar] [CrossRef]
- Kazumichi, F.; Chie, H. Urea uptake by spruce tree roots in permafrost-affected soils. Soil Biol. Biochem. 2022, 169, 108647. [Google Scholar] [CrossRef]
- Wang, J.-S.; Stewart, J.R.; Khan, S.A.; Dawson, J.O. Elevated amino sugar nitrogen concentrations in soils: A potential method for assessing N fertility enhancement by actinorhizal plants. Symbiosis 2009, 50, 71–76. [Google Scholar] [CrossRef]
- Bushong, J.T.; Roberts, T.L.; Ross, W.J.; Norman, R.J.; Slaton, N.A.; Wilson, C.E. Evaluation of Distillation and Diffusion Techniques for Estimating Hydrolyzable Amino Sugar-Nitrogen as a Means of Predicting Nitrogen Mineralization. Soil Sci. Soc. Am. J. 2008, 72, 992–999. [Google Scholar] [CrossRef]
- Otto, R.; Mulvaney, R.L.; Khan, S.A.; Trivelin, P.C.O. Quantifying soil nitrogen mineralization to improve fertilizer nitrogen management of sugarcane. Biol. Fertil. Soils 2013, 49, 893–904. [Google Scholar] [CrossRef]
- VanZomeren, C.M.; Reddy, K.R. Use of a Modified Chemical Fractionation Scheme to Characterize Organic Nitrogen in Wetland Soils. Soil Sci. Soc. Am. J. 2015, 79, 1509–1517. [Google Scholar] [CrossRef]
- Prieto-Fernández, Á.; Carballas, T. Soil organic nitrogen composition in Pinus forest acid soils: Variability and bioavailability. Biol. Fertil. Soils 2000, 32, 177–185. [Google Scholar] [CrossRef]
- Wang, D.; Lan, Y.; Chen, W.; Han, X.; Liu, S.; Cao, D.; Cheng, X.; Wang, Q.; Zhan, Z.; He, W. The six-year biochar retention interacted with fertilizer addition alters the soil organic nitrogen supply capacity in bulk and rhizosphere soil. J. Environ. Manag. 2023, 338, 117757. [Google Scholar] [CrossRef]
- Jadhao, S.D.; Bajpai, R.K.; Tiwari, A.; Bachkaiya, V.; Singh, M.; Kharche, V.K.; Mali, D.V.; Sonune, B.A. Nitrogen Dynamics in Soil as Influenced by Long-term Manuring and Fertilization under Rice Grown on Vertisol of Chhattisgarh. J. Indian Soc. Soil Sci. 2019, 67, 65. [Google Scholar] [CrossRef]
- Sun, T.; Wang, Y.; Hui, D.; Jing, X.; Feng, W. Vertical distributions of soil microbial biomass carbon: A global dataset. Data Brief 2020, 32, 106147. [Google Scholar] [CrossRef]
- Bao, S. Soil and Agricultural Chemistry Analysis; China Agriculture Press: Beijing, China, 2000. [Google Scholar]
- Vance, E.D.; Brookes, P.C.; Jenkinson, D.S. An extraction method for measuring soil microbial biomass C. Soil Biol. Biochem. 1987, 19, 703–707. [Google Scholar] [CrossRef]
- Bremner, J.M. Organic Forms of Nitrogen. In Methods of Soil Analysis; American Society of Agronomy: Madison, WI, USA, 1965; pp. 1238–1255. [Google Scholar]
- Claire, L.P.; Kylie, M.M.; Manuel, G.-J.; Clara, S.W.; Catherine, E.S.; Thomas, W.; Michael, A.G.; Donald, W.W.; Jeff, N.; Kristin, M.T. Towards predicting biochar impacts on plant-available soil nitrogen content. Biochar 2022, 4, 9. [Google Scholar] [CrossRef]
- Prasad, M.; Chrysargyris, A.; McDaniel, N.; Kavanagh, A.; Gruda, N.S.; Tzortzakis, N. Plant Nutrient Availability and pH of Biochars and Their Fractions, with the Possible Use as a Component in a Growing Media. Agronomy 2019, 1, 10. [Google Scholar] [CrossRef]
- Mia, S.; Dijkstra, F.A.; Singh, B. Aging Induced Changes in Biochar’s Functionality and Adsorption Behavior for Phosphate and Ammonium. Environ. Sci. Technol. 2017, 51, 8359–8367. [Google Scholar] [CrossRef]
- Timofeeva, A.; Galyamova, M.; Sedykh, S. Prospects for Using Phosphate-Solubilizing Microorganisms as Natural Fertilizers in Agriculture. Plants 2022, 11, 2119. [Google Scholar] [CrossRef] [PubMed]
- Zhengwu, C.; Yang, W.; Nan, W.; Fangfang, M.; Yuyu, Y. Effects of Ageing on Surface Properties of Biochar and Bioavailability of Heavy Metals in Soil. Agriculture 2024, 14, 1631. [Google Scholar] [CrossRef]
- Clough, T.J.; Condron, L.M. Biochar and the Nitrogen Cycle: Introduction. J. Environ. Qual. 2010, 39, 1218–1223. [Google Scholar] [CrossRef]
- Bamminger, C.; Poll, C.; Sixt, C.; Högy, P.; Wüst, D.; Kandeler, E.; Marhan, S. Short-term response of soil microorganisms to biochar addition in a temperate agroecosystem under soil warming. Agric. Ecosyst. Environ. 2016, 233, 308–317. [Google Scholar] [CrossRef]
- Schomberg, H.H.; Gaskin, J.W.; Harris, K.; Das, K.C.; Novak, J.M.; Busscher, W.J.; Watts, D.W.; Woodroof, R.H.; Lima, I.M.; Ahmedna, M.; et al. Influence of Biochar on Nitrogen Fractions in a Coastal Plain Soil. J. Environ. Qual. 2012, 41, 1087–1095. [Google Scholar] [CrossRef]
- Jin, X.; Zhang, T.; Hou, Y.; Bol, R.; Zhang, X.; Zhang, M.; Yu, N.; Meng, J.; Zou, H.; Wang, J. Review on the effects of biochar amendment on soil microorganisms and enzyme activity. J. Soils Sediments 2024, 24, 2599–2612. [Google Scholar] [CrossRef]
- Das, S.K. Impacts of Soil Aggregation on Nitrogen Storage and Supply in Biomass Incorporated Sandy-Loam Acidic Soil. Water Air Soil Pollut. 2024, 235, 757. [Google Scholar] [CrossRef]
- Liu, L.; Tan, Z.; Zhang, L.; Huang, Q. Influence of pyrolysis conditions on nitrogen speciation in a biochar ‘preparation-application’ process. J. Energy Inst. 2017, 91, 916–926. [Google Scholar] [CrossRef]
- Ali, M.H.; Fahmi, A.H. Preparation and Characterization of Biochars from Plant and Animal Waste Under Different Pyrolysis Temperature. IOP Conf. Ser. Earth Environ. Sci. 2024, 1371, 082029. [Google Scholar] [CrossRef]
- Murtaza, G.; Ahmed, Z.; Usman, M. Feedstock type, pyrolysis temperature and acid modification effects on physiochemical attributes of biochar and soil quality. Arab. J. Geosci. 2022, 15, 305. [Google Scholar] [CrossRef]
- Wu, H.; Du, S.; Zhang, Y.; An, J.; Zou, H.; Zhang, Y.; Yu, N. Effects of irrigation and nitrogen fertilization on greenhouse soil organic nitrogen fractions and soil-soluble nitrogen pools. Agric. Water Manag. 2019, 216, 415–424. [Google Scholar] [CrossRef]
- Ma, L.; Huo, Q.; Tian, Q.; Xu, Y.; Hao, H.; Min, W.; Hou, Z. Continuous application of biochar increases 15N fertilizer translocation into soil organic nitrogen and crop uptake in drip-irrigated cotton field. J. Soils Sediments 2022, 23, 1204–1216. [Google Scholar] [CrossRef]
- Hardy, B.; Sleutel, S.; Dufey, J.E.; Cornelis, J.-T. The Long-Term Effect of Biochar on Soil Microbial Abundance, Activity and Community Structure Is Overwritten by Land Management. Front. Environ. Sci. 2019, 7, 110. [Google Scholar] [CrossRef]
- Emer, N.R.; Semenov, A.M.; Zelenev, V.V.; Zinyakova, N.B.; Kostina, N.V.; Golichenkov, M.V. Daily dynamics of the number and activity of nitrogen-fixing bacteria in fallow and intensely cultivated soils. Eurasian Soil Sci. 2014, 47, 801–808. [Google Scholar] [CrossRef]
- Bhattacharyya, S.S.; Ros, G.H.; Furtak, K.; Iqbal, H.M.N.; Parra-Saldivar, R. Soil carbon sequestration-An interplay between soil microbial community and soil organic matter dynamics. Sci. Total Environ. 2022, 815, 152928. [Google Scholar] [CrossRef]
- Drenovsky, R.E.; Vo, D.; Graham, K.J.; Scow, K.M. Soil water content and organic carbon availability are major determinants of soil microbial community composition. Microb. Ecol. 2004, 48, 424–430. [Google Scholar] [CrossRef]
- Cao, Y.; Shen, Y.-Y.; Chen, Y.-S.; Wang, Z.-H.; Mou, Z.-Y.; Xu, G.-P.; Zhang, D.-N.; Sun, Y.-J.; Mao, X.-Y. Effects of Biochar Application on Soil Organic Nitrogen Component and Active Nitrogen in Eucalyptus Plantations After Five Years in Northern Guangxi. Huan Jing Ke Xue 2023, 44, 6235–6247. [Google Scholar] [CrossRef] [PubMed]
- Kollah, B.; Singh, B.; Parihar, M.; Ahirwar, U.; Atoliya, N.; Dubey, G.; Patra, A.; Mohanty, S.R. Elevated CO2 chlorpyrifos and biochar influence nitrification and microbial abundance in the rhizosphere of wheat cultivated in a tropical vertisol. Rhizosphere 2019, 10, 100151. [Google Scholar] [CrossRef]
- Patel, M.R.; Panwar, N.L. Evaluating the agronomic and economic viability of biochar in sustainable crop production. Biomass Bioenergy 2024, 188, 107328. [Google Scholar] [CrossRef]
- Aller, D.; Mazur, R.; Moore, K.; Hintz, R.; Laird, D.; Horton, R. Biochar Age and Crop Rotation Impacts on Soil Quality. Soil Sci. Soc. Am. J. 2017, 81, 1157–1167. [Google Scholar] [CrossRef]
- Thi Thu Nhan, N.; Helen, M.W.; Cheng-Yuan, X.; Lukas, Z.; Zhe Han, W.; Zhihong, X.; Rongxiao, C.; Iman, T.; Hang-Wei, H.; Shahla Hosseini, B. The effects of short term, long term and reapplication of biochar on soil bacteria. Sci. Total Environ. 2018, 636, 142–151. [Google Scholar]
- Lei, C.; Lu, T.; Qian, H.; Liu, Y. Machine learning models reveal how biochar amendment affects soil microbial communities. Biochar 2023, 5, 89. [Google Scholar] [CrossRef]
- Futa, B.; Oleszczuk, P.; Andruszczak, S.; Kwiecinska-Poppe, E.; Kraska, P. Effect of Natural Aging of Biochar on Soil Enzymatic Activity and Physicochemical Properties in Long-Term Field Experiment. Agronomy 2020, 10, 449. [Google Scholar] [CrossRef]
- Dorner, M.; Behrens, S. Biochar as ammonia exchange biofilm carrier for enhanced aerobic nitrification in activated sludge. Bioresour. Technol. 2024, 413, 131374. [Google Scholar] [CrossRef]
- Zahn, F.E.; Soell, E.; Chapin, T.K.; Wang, D.; Gomes, S.I.F.; Hynson, N.A.; Pausch, J.; Gebauer, G. Novel insights into orchid mycorrhiza functioning from stable isotope signatures of fungal pelotons. New Phytol. 2023, 239, 1449–1463. [Google Scholar] [CrossRef] [PubMed]
- Yang, L.; Bai, J.; Liu, J.; Zeng, N.; Cao, W. Green Manuring Effect on Changes of Soil Nitrogen Fractions, Maize Growth, and Nutrient Uptake. Agronomy 2018, 81, 261. [Google Scholar] [CrossRef]
- Cong, M.; Hu, Y.; Sun, X.; Yan, H.; Yu, G.; Tang, G.; Chen, S.; Xu, W.; Jia, H. Long-term effects of biochar application on the growth and physiological characteristics of maize. Front. Plant Sci. 2023, 14, 1172425. [Google Scholar] [CrossRef]






| Parameter | CK | BF1 | BF2 | BA1 | BA2 |
|---|---|---|---|---|---|
| pH | 6.51 ± 0.07 bc | 6.71 ± 0.08 ab | 6.83 ± 0.06 a | 6.13 ± 0.17 d | 6.23 ± 0.07 c |
| SOC (g kg−1) | 11.78 ± 0.45 d | 21.99 ± 0.70 c | 29.68 ± 0.54 a | 21.04 ± 0.78 c | 27.42 ± 0.14 b |
| TN (g kg−1) | 0.97 ± 0.02 d | 1.54 ± 0.22 c | 1.89 ± 0.04 a | 1.56 ± 0.02 c | 1.78 ± 0.05 b |
| C/N | 12.11 ± 0.48 d | 14.32 ± 0.48 b | 15.69 ± 0.57 a | 13.45 ± 0.18 c | 15.44 ± 0.47 a |
| Available P (mg kg−1) | 106.06 ± 7.78 b | 151.54 ± 24.03 a | 166.53 ± 55.13 a | 112.55 ± 16.96 b | 129.55 ± 1.41 ab |
| Available K (mg kg−1) | 173.53 ± 26.07 e | 394.76 ± 10.20 b | 645.65 ± 13.60 a | 222.42 ± 24.94 d | 282.54 ± 3.40 c |
| MBC (mg kg−1) | 113.16 ± 13.42 d | 252.63 ± 23.24 b | 339.47 ± 6.44 a | 207.89 ± 9.85 c | 265.79 ± 7.44 b |
| MBN (mg kg−1) | 12.17 ± 0.81 c | 14.99 ± 0.89 b | 17.88 ± 0.53 a | 13.82 ± 0.59 b | 17.28 ± 0.28 a |
Disclaimer/Publisher’s Note: The statements, opinions and data contained in all publications are solely those of the individual author(s) and contributor(s) and not of MDPI and/or the editor(s). MDPI and/or the editor(s) disclaim responsibility for any injury to people or property resulting from any ideas, methods, instructions or products referred to in the content. |
© 2025 by the authors. Licensee MDPI, Basel, Switzerland. This article is an open access article distributed under the terms and conditions of the Creative Commons Attribution (CC BY) license (https://creativecommons.org/licenses/by/4.0/).
Share and Cite
Meng, L.; Jiang, C.; Huang, M.; Lu, Q.; Wan, Y.; Yang, A.; Tang, S.; Wu, Y.; Dan, X.; Zhu, Q.; et al. Effects of Three Years of Biochar Application on Soil Organic Nitrogen Fraction in Tropical Soil. Agronomy 2025, 15, 1357. https://doi.org/10.3390/agronomy15061357
Meng L, Jiang C, Huang M, Lu Q, Wan Y, Yang A, Tang S, Wu Y, Dan X, Zhu Q, et al. Effects of Three Years of Biochar Application on Soil Organic Nitrogen Fraction in Tropical Soil. Agronomy. 2025; 15(6):1357. https://doi.org/10.3390/agronomy15061357
Chicago/Turabian StyleMeng, Longwei, Chunlan Jiang, Meirong Huang, Qiqian Lu, Yunxing Wan, Anfu Yang, Shuirong Tang, Yanzheng Wu, Xiaoqian Dan, Qilin Zhu, and et al. 2025. "Effects of Three Years of Biochar Application on Soil Organic Nitrogen Fraction in Tropical Soil" Agronomy 15, no. 6: 1357. https://doi.org/10.3390/agronomy15061357
APA StyleMeng, L., Jiang, C., Huang, M., Lu, Q., Wan, Y., Yang, A., Tang, S., Wu, Y., Dan, X., Zhu, Q., Meng, L., Elrys, A. S., & Zhang, J. (2025). Effects of Three Years of Biochar Application on Soil Organic Nitrogen Fraction in Tropical Soil. Agronomy, 15(6), 1357. https://doi.org/10.3390/agronomy15061357

