Integrated Soil Fertility Management Enhances Soil Properties, Yield, and Nitrogen Use Efficiency of Rice Cultivation: Influence of Fertilizer Rate, Humic Acid, and Gypsum
Abstract
1. Introduction
2. Materials and Methods
2.1. Site Characteristics
2.2. Greenhouse Experiment
2.3. Soil Sampling
2.4. Laboratory Analyses
2.4.1. Humic Acid and Flue Gas Desulfurization Gypsum Analyses
2.4.2. Soil Analyses
2.4.3. Plant Analyses
2.5. Statistical Analyses
3. Results and Discussion
3.1. Effects of Fertilizer, Humic Acid, and Gypsum Application on Soil Properties
3.2. Yield, Nitrogen Uptake, Nitrogen Use Efficiency, and Nitrogen Agronomic Efficiency of Rice
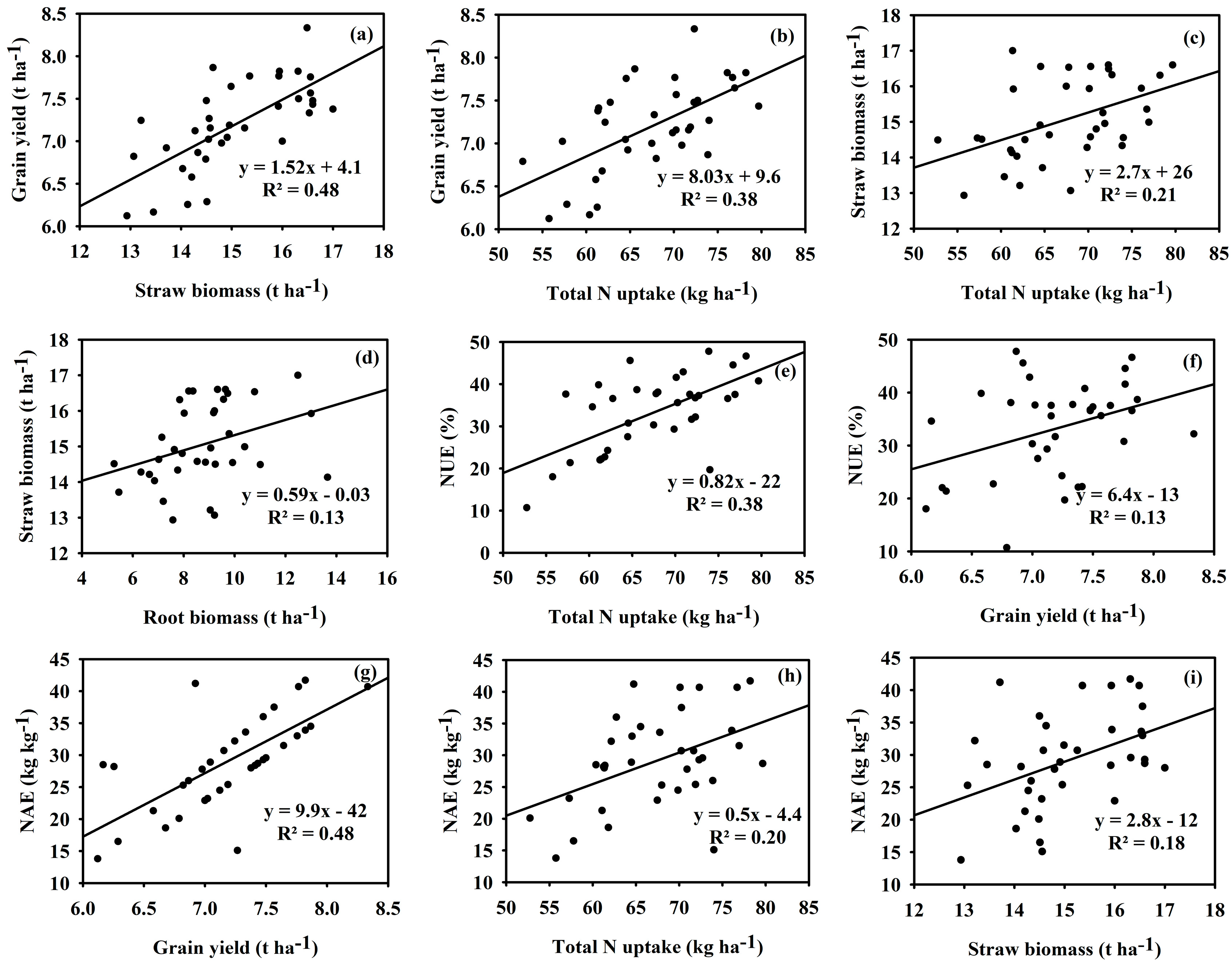
3.3. Relationship Between Soil Properties, Rice Yield, Nitrogen Uptake, Nitrogen Use Efficiency, and Nitrogen Agronomic Efficiency
4. Conclusions
Author Contributions
Funding
Data Availability Statement
Acknowledgments
Conflicts of Interest
References
- Yuan, S.; Stuart, A.M.; Laborte, A.G.; Rattalino Edreira, J.I.; Dobermann, A.; Kien, L.V.N.; Thúy, L.T.; Paothong, K.; Traesang, P.; Tint, K.M.; et al. Southeast Asia Must Narrow Down the Yield Gap to Continue to be a Major Rice Bowl. Nat. Food 2022, 3, 217–226. [Google Scholar] [CrossRef] [PubMed]
- Sun, X.; Ritzema, H.; Huang, X.; Bai, X.; Hellegers, P. Assessment of Farmers’ Water and Fertilizer Practices and Perceptions in the North China Plain. Irrig. Drain. 2022, 71, 980–996. [Google Scholar] [CrossRef]
- Virochsaengaroon, C.; Piratanatsakul, C.; Lawongsa, P.; Sukitprapanon, T.-S. Rice Farmers’ Perceptions and Behaviors on Nitrogen Fertilizer Applications for RD6 Glutinous Rice Cultivation in Northeast Thailand. In Proceedings of the 7th National Soil and Fertilizer Conference 2022 (Soil, the Beginning of Food Security and Sustainability), Chiangmai, Thailand, 7–9 December 2022. [Google Scholar]
- Xu, Z.; He, P.; Yin, X.; Struik, P.C.; Ding, W.; Liu, K.; Huang, Q. Simultaneously Improving Yield and Nitrogen Use Efficiency in a Double Rice Cropping System in China. Eur. J. Agron. 2022, 137, 126513. [Google Scholar] [CrossRef]
- Timsina, J.; Dutta, S.; Devkota, K.P.; Chakraborty, S.; Neupane, R.K.; Bishta, S.; Amgain, L.P.; Singh, V.K.; Islam, S.; Majumdar, K. Improved Nutrient Management in Cereals Using Nutrient Expert and Machine Learning Tools: Productivity, Profitability and Nutrient Use Efficiency. Agric. Syst. 2021, 192, 103181. [Google Scholar] [CrossRef]
- Xu, Y.; He, P.; Xu, X.; Qiu, S.; Ullah, S.; Gao, Q.; Zhou, W. Estimating Nutrient Uptake Requirements for Potatoes Based on QUEFTS Analysis in China. Agron. J. 2019, 111, 2387–2394. [Google Scholar] [CrossRef]
- Shehu, B.M.; Lawan, B.A.; Jibrin, J.M.; Kamara, A.Y.; Mohammed, I.B.; Rurinda, J.; Zingore, S.; Craufurd, P.; Vanlauwe, B.; Adam, A.M.; et al. Balanced Nutrient Requirements for Maize in the Northern Nigerian Savanna: Parameterization and Validation of QUEFTS Model. Field Crop. Res. 2019, 241, 107585. [Google Scholar] [CrossRef]
- Wang, Y.; Li, C.; Li, Y.; Zhu, L.; Liu, S.; Yan, L.; Feng, G.; Gao, Q. Agronomic and Environmental Benefits of Nutrient Expert on Maize and Rice in Northeast China. Environ. Sci. Pollut. Res. Int. 2020, 27, 28053–28065. [Google Scholar] [CrossRef]
- Sun, T.; Yang, X.; Tang, S.; Han, K.; He, P.; Wu, L. Genotypic Variation in Nutrient Uptake Requirements of Rice Using the QUEFTS Model. Agronomy 2021, 11, 26. [Google Scholar] [CrossRef]
- Wen, M.; Yang, S.; Huo, L.; He, P.; Xu, X.; Wang, C.; Zhang, Y.; Zhou, W. Estimating Nutrient Uptake Requirements for Melon Based on the QUEFTS Model. Agronomy 2022, 12, 207. [Google Scholar] [CrossRef]
- Sukitprapanon, T.-S.; Suriya, P.; Monkham, T.; Pasuwan, P.; Vityakon, P. Effect of Humic Acid Application on Residual Phosphorus Availability and Phosphorus Use Efficiency of Glutinous Rice Cultivated in Paddy Soils in Northeast Thailand; Research Report; National Research Council of Thailand: Bangkok, Thailand, 2020. (In Thai)
- Urmi, T.A.; Rahman, M.M.; Islam, M.M.; Islam, M.A.; Jahan, N.A.; Mia, M.A.B.; Akhter, S.; Siddiqui, M.H.; Kalaji, H.M. Integrated Nutrient Management for Rice Yield, Soil Fertility, and Carbon Sequestration. Plants 2022, 11, 138. [Google Scholar] [CrossRef]
- Mutuku, E.A.; Roobroeck, D.; Vanlauwe, B.; Boeckx, P.; Cornelis, W.M. Maize Production Under Combined Conservation Agriculture and Integrated Soil Fertility Management in the Sub-Humid and Semi-Arid Regions of Kenya. Field Crop. Res. 2020, 254, 107833. [Google Scholar] [CrossRef]
- Oechaiyaphum, K.; Ullah, H.; Shrestha, R.P.; Datta, A. Impact of Long-Term Agricultural Management Practices on Soil Organic Carbon and Soil Fertility of Paddy Fields in Northeastern Thailand. Geoderma Reg. 2020, 22, e00307. [Google Scholar] [CrossRef]
- Adem, M.; Azadi, H.; Spalevic, V.; Pietrzykowski, M.; Scheffran, J. Impact of Integrated Soil Fertility Management Practices on Maize Yield in Ethiopia. Soil Tillage Res. 2023, 227, 105595. [Google Scholar] [CrossRef]
- Liu, M.; Linna, C.; Ma, S.; Ma, Q.; Song, W.; Shen, M.; Song, L.; Cui, K.; Zhou, Y.; Wang, L. Biochar Combined with Organic and Inorganic Fertilizers Promoted the Rapeseed Nutrient Uptake and Improved the Purple Soil Quality. Front. Nutr. 2022, 9, 997151. [Google Scholar] [CrossRef]
- Han, X.; Liu, S.; Xie, Z.; Ma, X.; Wang, Y.; Peng, C. Dynamic Changes of Humic Acids in Chicken Manure Composting. Pol. J. Environ. Stud. 2022, 31, 1637–1644. [Google Scholar] [CrossRef]
- Lanno, M.; Klavins, M.; Purmalis, O.; Shanskiy, M.; Kisand, A.; Kriipsalu, M. Properties of Humic Substances in Composts Comprised of Different Organic Source Material. Agriculture 2022, 12, 1797. [Google Scholar] [CrossRef]
- Arrobas, M.; de Almeida, S.F.; Raimundo, S.; da Silva Domingues, L.; Rodrigues, M.Â. Leonardites Rich in Humic and Fulvic Acids Had Little Effect on Tissue Elemental Composition and Dry Matter Yield in Pot-Grown Olive Cuttings. Soil Syst. 2022, 6, 7. [Google Scholar] [CrossRef]
- Zhou, L.; Xu, S.; Monreal, C.M.; Mclaughlin, N.B.; Zhao, B.; Liu, J.; Hao, G. Bentonite-Humic Acid Improves Soil Organic Carbon, Microbial Biomass, Enzyme Activities and Grain Quality in A Sandy Soil Cropped to Maize (Zea mays L.) in a Semi-Arid Region. J. Integr. Agric. 2022, 21, 208–221. [Google Scholar] [CrossRef]
- Tahoun, A.M.M.A.; El-Enin, M.M.A.; Mancy, A.G.; Sheta, M.H.; Shaaban, A. Integrative Soil Application of Humic Acid and Foliar Plant Growth Stimulants Improves Soil Properties and Wheat Yield and Quality in Nutrient-Poor Sandy Soil of a Semiarid Region. J. Soil Sci. Plant Nutr. 2022, 22, 2857–2871. [Google Scholar] [CrossRef]
- Xu, J.; Li, Q.; Yu, H.; Jiang, W. Effect of Humic Acid Addition on Buffering Capacity and Nutrient Storage Capacity of Soilless Substrates. Front. Plant Sci. 2021, 12, 644229. [Google Scholar] [CrossRef]
- Kong, B.; Wu, Q.; Li, Y.; Zhu, T.; Ming, Y.; Li, C.; Li, C.; Wang, F.; Jiao, S.; Shi, L.; et al. The Application of Humic Acid Urea Improves Nitrogen Use Efficiency and Crop Yield by Reducing the Nitrogen Loss Compared with Urea. Agriculture 2022, 12, 1996. [Google Scholar] [CrossRef]
- Shen, Y.; Jiao, S.; Ma, Z.; Lin, H.; Gao, W.; Chen, J. Humic Acid-Modified Bentonite Composite Material Enhances Urea-Nitrogen Use Efficiency. Chemosphere 2020, 255, 126976. [Google Scholar] [CrossRef] [PubMed]
- Tavares, O.C.H.; Santos, L.A.; de Araújo, O.J.L.; Bucher, C.P.C.; García, A.C.; Arruda, L.N.; de Souza, S.R.; Fernandes, M.S. Humic Acid as a Biotechnological Alternative to Increase N-NO3- or N-NH4+ Uptake in Rice Plants. Biocatal. Agric. Biotechnol 2019, 20, 101226. [Google Scholar] [CrossRef]
- Guo, Y.; Ma, Z.; Ren, B.; Zhao, B.; Liu, P.; Zhang, J. Effects of Humic Acid Added to Controlled-Release Fertilizer on Summer Maize Yield, Nitrogen Use Efficiency and Greenhouse Gas Emission. Agriculture 2022, 12, 448. [Google Scholar] [CrossRef]
- Gonzalez, J.M.; Dick, W.A.; Islam, K.R.; Watts, D.B.; Fausey, N.R.; Flanagan, D.C.; Batte, M.T.; VanToai, T.T.; Reeder, R.C.; Shedekar, V.S. Cover Crops, Crop Rotation, and Gypsum, as Conservation Practices, Impact Mehlich-3 Extractable Plant Nutrients and Trace Metals. Int. Soil Water Conserv. Res. 2024, 12, 650–662. [Google Scholar] [CrossRef]
- Hartina; Monkham, T.; Vityakon, P.; Sukitprapanon, T.-S. Coapplication of Humic Acid and Gypsum Affects Soil Chemical Properties, Rice Yield, and Phosphorus Use Efficiency in Acidic Paddy Soils. Sci. Rep. 2025, 15, 4350. [Google Scholar] [CrossRef]
- Minato, E.A.; Brignoli, F.M.; Neto, M.E.; Besen, M.R.; Cassim, B.M.A.R.; Lima, R.S.; Tormena, C.A.; Inoue, T.T.; Batista, M.A. Lime and Gypsum Application to Low-Acidity Soils: Changes in Soil Chemical Properties, Residual Lime Content and Crop Agronomic Performance. Soil Tillage Res. 2023, 234, 105860. [Google Scholar] [CrossRef]
- Tirado-Corbalá, R.; Slater, B.K.; Dick, W.A.; Bigham, J.; Muñoz-Muñoz, M. Gypsum Amendment Effects on Micromorphology and Aggregation in No-Till Mollisols and Alfisols from Western Ohio, USA. Geoderma Reg. 2019, 16, e00217. [Google Scholar] [CrossRef]
- Xing, Y.; Zhu, Z.-L.; Wang, F.; Zhang, X.; Li, B.-Y.; Liu, Z.-X.; Wu, X.-X.; Ge, S.-F.; Jiang, Y.-M. Role of Calcium as a Possible Regulator of Growth and Nitrate Nitrogen Metabolism in Apple Dwarf Rootstock Seedlings. Sci. Hortic. 2021, 276, 109740. [Google Scholar] [CrossRef]
- Jiangkuan, N.; Chen, X.; Lashari, M.; Jianqiang, D.; Du, Z. Impact of Flue Gas Desulfurization Gypsum and Lignite Humic Acid Application on Soil Organic Matter and Physical Properties of a Saline-Sodic Farmland Soil in Eastern China. J. Soils Sediments 2016, 16, 109740. [Google Scholar] [CrossRef]
- Nan, J.; Chen, X.; Wang, X.; Lashari, M.S.; Wang, Y.; Guo, Z.; Du, Z. Effects of Applying Flue Gas Desulfurization Gypsum and Humic Acid on Soil Physicochemical Properties and Rapeseed Yield of a Saline-Sodic Cropland in the Eastern Coastal Area of China. J. Soils Sediments 2016, 16, 38–50. [Google Scholar] [CrossRef]
- Saqib, A.I.; Ahmed, K.; Naseem, A.R.; Qadir, G.; Nawaz, M.Q.; Khalid, M.; Warraich, I.A.; Arif, M. Integrated use of Humic Acid and Gypsum under Saline-Sodic Conditions. Pak. J. Agric. Res. 2020, 33, 684–691. [Google Scholar] [CrossRef]
- Sun, L.; Ma, Y.; Liu, Y.; Li, J.; Deng, J.; Rao, X.; Zhang, Y. The Combined Effects of Nitrogen Fertilizer, Humic Acid, and Gypsum on Yield-Scaled Greenhouse Gas Emissions from a Coastal Saline Rice Field. Environ. Sci. Pollut. Res. 2019, 26, 19502–19511. [Google Scholar] [CrossRef] [PubMed]
- Chen, J.; Hu, G.; Wang, H.; Fu, W. Leaching and Migration Characteristics of Nitrogen During Coastal Saline Soil Remediation by Combining Humic Acid with Gypsum and Bentonite. Ann. Agric. Sci. 2023, 68, 1–11. [Google Scholar] [CrossRef]
- Meteorological Department. Climate of Thailand; Thai Meteorological Department, Ministry of Information and Communication Technology: Bangkok, Thailand, 2022. (In Thai)
- Soil Survey Staff. Keys to Soil Taxonomy, 13th ed.; USDA Natural Resources Conservation Service: Washington, DC, USA, 2022.
- Fagundes Costa, R.; Firmano, R.; Bossolani, J.; Alleoni, L. Soil Chemical Properties, Enzyme Activity and Soybean and Corn Yields in a Tropical Soil under No-Till Amended with Lime and Phosphogypsum. Int. J. Plant Prod. 2023, 17, 235–250. [Google Scholar] [CrossRef]
- de Queiroz Barcelos, J.P.; De Souza, M.; Do Nascimento, C.A.C.; Rosolem, C.A. Soil Acidity Amelioration Improves N And C Cycles in the Short Term in a System with Soybean Followed by Maize-Guinea Grass Intercropping. Geoderma 2022, 421, 115909. [Google Scholar] [CrossRef]
- Puparn Royal Development Study Center. Handbook for Cultivating Sakhon Nakon Rice Variety; Royal Irrigation Department, Ministry of Agriculture and Cooperatives: Bangkok, Thailand, 2012. (In Thai)
- Ksawery, K.; John, G.R.; Gorm, P.T.; Baiq Emielda, Y. The Composition and Dissolution in Citric Extractants of Ash from the Thermal Gasification of Pig Manure. Chem. Eng. J. 2010, 163, 1–9. [Google Scholar] [CrossRef]
- Rayment, G.E.; Lyons, D.J. Soil Chemical Methods—Australasia; Csrio Publishing: Clayton, Australia, 2011. [Google Scholar]
- Soil Survey Staff. Soil Survey Field and Laboratory Methods Manual; Soil Survey Investigations Report No. 51, Version 1.0; Burt, R., Ed.; U.S. Department of Agriculture, Natural Resources Conservation Service: Washington, DC, USA, 2009.
- APHA. Standard Methods for the Examination of Water and Wastewater; American Public Health Association-American Water Works Association: Baltimore, MA, USA, 1998. [Google Scholar]
- Gee, G.W.; Bauder, J.W. Particle-Size Analysis. In Methods of Soil Analysis: Part 1. Physical and Mineralogical Methods, 2nd ed.; Klute, A., Ed.; American Society of Agronomy, Inc.: Madison, WI, USA, 1986. [Google Scholar]
- Anderson, J.; Ingram, J. Tropical Soil Biology and Fertility: A Handbook of Methods, 2nd ed.; C.A.B. International: Wallingford, UK, 1993; 221p. [Google Scholar]
- Ding, C.; Du, S.; Ma, Y.; Li, X.; Zhang, T.; Wang, X. Changes in the pH of Paddy Soils after Flooding and Drainage: Modeling and Validation. Geoderma 2019, 337, 511–513. [Google Scholar] [CrossRef]
- Sahrawat, K.L. Fertility and Organic Matter in Submerged Rice Soils. Curr. Sci. 2005, 88, 735–739. Available online: https://www.jstor.org/stable/24111259 (accessed on 31 January 2025).
- Ponnamperuma, F.N. The Chemistry of Submerged Soils. In Advances in Agronomy; Brady, N.C., Ed.; Academic Press: Cambridge, MA, USA, 1972; Volume 24, pp. 29–96. [Google Scholar]
- Sukitprapanon, T.S.; Suddhiprakarn, A.; Kheoruenromne, I.; Anusontpornperm, S.; Gilkes, R.J. Forms of Acidity in Potential, Active and Post-Active Acid Sulfate Soils in Thailand. Thai J. Agric. Sci. 2015, 48, 133–146. Available online: https://li01.tci-thaijo.org/index.php/TJAS/article/view/246182 (accessed on 10 February 2025).
- Varadachari, C.; Mondal, A.; Ghosh, K. Some Aspects of Clay-Humus Complexation: Effect of Exchangeable Cations and Lattice Charge. Soil Sci. 1991, 151, 220–227. [Google Scholar] [CrossRef]
- Singh Brar, B.; Singh, J.; Singh, G.; Kaur, G. Effects of Long-Term Application of Inorganic and Organic Fertilizers on Soil Organic Carbon and Physical Properties in Maize–Wheat Rotation. Agronomy 2015, 5, 220–238. [Google Scholar] [CrossRef]
- Schwalb, S.A.; Hemkemeyer, M.; Christensen, B.T.; Heinze, S.; Oliva, R.L.; Joergensen, R.G.; Wichern, F. Disentangling the Effects of Mineral Fertiliser N, P And K on Microbial Biomass, Necromass and Ionome in Soil From the Askov Long-Term Field Experiment. Soil Biol. Biochem. 2024, 195, 109449. [Google Scholar] [CrossRef]
- Stevenson, F.J.; Butler, J.H.A. Chemistry of Humic Acids And Related Pigments. In Organic Geochemistry: Methods and Results; Eglinton, G., Murphy, M.T.J., Eds.; Springer: Berlin/Heidelberg, Germany, 1969; pp. 534–557. [Google Scholar]
- Febrisiantosa, A.; Ravindran, B.; Choi, H.L. The Effect of Co-Additives (Biochar and FGD Gypsum) on Ammonia Volatilization during the Composting of Livestock Waste. Sustainability 2018, 10, 795. [Google Scholar] [CrossRef]
- Hartina, H.; Monkham, T.; Wisawapipat, W.; Vityakon, P.; Sukitprapanon, T.-S. Influence of Humic Acid and Gypsum on Phosphorus Dynamics and Rice Yield in Acidic Paddy Soil: Insights from Sequential Extraction and XANES Spectroscopy. 2025. Available online: https://doi.org/10.2139/ssrn.5171153 (accessed on 16 March 2025).
- Attanayake, C.P.; Dharmakeerthi, R.S.; Kumaragamage, D.; Indraratne, S.P.; Goltz, D. Flooding-Induced Inorganic Phosphorus Transformations in Two Soils, With and Without Gypsum Amendment. J. Environ. Qual. 2022, 51, 90–100. [Google Scholar] [CrossRef]
- Fageria, N.K.; Carvalho, G.D.; Santos, A.B.; Ferreira, E.P.B.; Knupp, A.M. Chemistry of Lowland Rice Soils and Nutrient Availability. Commun. Soil Sci. Plant Anal. 2011, 42, 1913–1933. [Google Scholar] [CrossRef]
- Fuentes-Lara, L.O.; Medrano-Macías, J.; Pérez-Labrada, F.; Rivas-Martínez, E.N.; García-Enciso, E.L.; González-Morales, S.; Juárez-Maldonado, A.; Rincón-Sánchez, F.; Benavides-Mendoza, A. From Elemental Sulfur to Hydrogen Sulfide in Agricultural Soils and Plants. Molecules 2019, 24, 2282. [Google Scholar] [CrossRef]
- Schnug, E. Sulphur in Agroecosystems; Springer Science+Business Media, B.V.: Braunschweig, Germany, 1998; Volume 2, pp. 7–226. [Google Scholar]
- Chaganti, V.N.; Culman, S.W.; Dick, W.A.; Kost, D. Effects of Gypsum Application Rate and Frequency on Corn Response to Nitrogen. Agron. J. 2019, 111, 1109–1117. [Google Scholar] [CrossRef]
- Weng, X.; Li, H.; Ren, C.; Zhou, Y.; Zhu, W.; Zhang, S.; Liu, L. Calcium Regulates Growth and Nutrient Absorption in Poplar Seedlings. Front. Plant Sci. 2022, 13, 887098. [Google Scholar] [CrossRef]
- Gu, J.; Yang, J. Nitrogen (N) Transformation in Paddy Rice Field: Its Effect on N Uptake and Relation to Improved N Management. Crop. Environ. 2022, 1, 7–14. [Google Scholar] [CrossRef]
- Somboon, S. Effects of Rice Straw and Its Derived Biochar Incorporation on Greenhouse Gas Emissions, Nitrogen Losses, and Rice Yield Cultivated in Paddy Field. Ph.D. Thesis, Khon Kaen University, Khon Kaen, Thailand, 2025. [Google Scholar]
- Bossolani, J.W.; Crusciol, C.A.C.; Garcia, A.; Moretti, L.G.; Portugal, J.R.; Rodrigues, V.A.; da Fonseca, M.d.C.; Calonego, J.C.; Caires, E.F.; Amado, T.J.C.; et al. Long-Term Lime and Phosphogypsum Amended-Soils Alleviates the Field Drought Effects on Carbon and Antioxidative Metabolism of Maize by Improving Soil Fertility and Root Growth. Front. Plant Sci. 2021, 12, 650296. [Google Scholar] [CrossRef] [PubMed]
- Cheng, F.; Bin, S.; Iqbal, A.; He, L.; Wei, S.; Zheng, H.; Yuan, P.; Liang, H.; Ali, I.; Xie, D.; et al. High Sink Capacity Improves Rice Grain Yield by Promoting Nitrogen and Dry Matter Accumulation. Agronomy 2022, 12, 1688. [Google Scholar] [CrossRef]
- Gu, J.; Chen, Y.; Zhang, H.; Li, Z.; Zhou, Q.; Yu, C.; Kong, X.; Liu, L.; Wang, Z.; Yang, J. Canopy Light and Nitrogen Distributions are Related to Grain Yield and Nitrogen Use Efficiency in Rice. Field Crop. Res. 2017, 206, 74–85. [Google Scholar] [CrossRef]
- Hussain, T.; Hussain, N.; Ahmed, M.; Nualsri, C.; Duangpan, S. Impact of Nitrogen Application Rates on Upland Rice Performance, Planted under Varying Sowing Times. Sustainability 2022, 14, 1997. [Google Scholar] [CrossRef]
- Chen, Z.; Wang, Q.; Ma, J.; Zou, P.; Jiang, L. Impact of Controlled-Release Urea on Rice Yield, Nitrogen Use Efficiency and Soil Fertility in a Single Rice Cropping System. Sci. Rep. 2020, 10, 10432. [Google Scholar] [CrossRef]
- Du, M.; Zhang, W.; Gao, J.; Liu, M.; Zhou, Y.; He, D.; Zhao, Y.; Liu, S. Improvement of Root Characteristics due to Nitrogen, Phosphorus, and Potassium Interactions Increases Rice (Oryza sativa L.) Yield and Nitrogen Use Efficiency. Agronomy 2022, 12, 23. [Google Scholar] [CrossRef]
- Agegnehu, G.; Nelson, P.N.; Bird, M.I. The Effects of Biochar, Compost and their Mixture and Nitrogen Fertilizer on Yield and Nitrogen Use Efficiency of Barley Grown on a Nitisol in the Highlands of Ethiopia. Sci. Total Environ. 2016, 569–570, 869–879. [Google Scholar] [CrossRef]
- Vanlauwe, B.; Bationo, A.; Chianu, J.; Giller, K.E.; Merckx, R.; Mokwunye, U.; Ohiokpehai, O.; Pypers, P.; Tabo, R.; Shepherd, K.D.; et al. Integrated Soil Fertility Management: Operational Definition and Consequences for Implementation and Dissemination. Outlook Agric. 2010, 39, 17–24. [Google Scholar] [CrossRef]
- Zheng, E.; Qin, M.; Zhang, Z.; Xu, T. Humic Acid Fertilizer Incorporation Increases Rice Radiation Use, Growth, and Yield: A Case Study on the Songnen Plain, China. Agriculture 2022, 12, 653. [Google Scholar] [CrossRef]
- Jing, J.; Zhang, S.; Yuan, L.; Li, Y.; Lin, Z.; Xiong, Q.; Zhao, B. Combining Humic Acid with Phosphate Fertilizer Affects Humic Acid Structure and Its Stimulating Efficacy on the Growth and Nutrient Uptake of Maize Seedlings. Sci. Rep. 2020, 10, 17502. [Google Scholar] [CrossRef]








| Property | Initial Soil | Humic Acid | FG |
|---|---|---|---|
| Soil classification | Aeric Kandiaquult | - | - |
| Soil texture | Sandy loam | - | - |
| Sand (g kg−1) | 583 | - | - |
| Silt (g kg−1) | 359 | - | - |
| Clay (g kg−1) | 58 | - | - |
| pH | 4.7 | 9.8 | 7.7 |
| EC (mS cm−1) | 0.08 | 8.3 | 3.3 |
| TOC (g kg−1) | 1.6 | 291 | - |
| CEC (cmol kg−1) | 2.6 | 57 | - |
| Base saturation (%) | 34.6 | - | - |
| NH4-N (mg kg−1) | 23 | - | - |
| NO3-N (mg kg−1) | 12 | - | - |
| Exchangeable Ca (mg kg−1) | 95 | - | - |
| Exchangeable S (mg kg−1) | 37 | - | - |
| Water soluble Ca (g kg−1) | - | - | 141 |
| Total N (g kg−1) | 0.56 | 11 | 0.12 |
| Total Ca (g kg−1) | 0.28 | 9.4 | 388 |
| Total S (g kg−1) | 0.14 | 6.7 | 199 |
| Treatment | Nitrogen Input (kg ha−1) | |||
|---|---|---|---|---|
| Fertilizer | HA | FG | Total | |
| FP | 75 | 0 | 0 | 75 |
| FP + FG23 | 75 | 0 | 0.003 | 75.003 |
| FP + FG636 | 75 | 0 | 0.08 | 75.08 |
| FP + HA | 75 | 10.68 | 0 | 85.68 |
| FP + HA + FG23 | 75 | 10.68 | 0.003 | 85.683 |
| FP + HA + FG636 | 75 | 10.68 | 0.08 | 85.76 |
| NR | 61 | 0 | 0 | 61 |
| NR + FG23 | 61 | 0 | 0.003 | 61.003 |
| NR + FG636 | 61 | 0 | 0.08 | 61.08 |
| NR + HA | 61 | 10.68 | 0 | 71.68 |
| NR + HA + FG23 | 61 | 10.68 | 0.003 | 71.683 |
| NR + HA + FG636 | 61 | 10.68 | 0.08 | 71.76 |
| Soil Properties | Soil pH | Eh | TOC | CEC | Total N | Total Ca | Total S | NH4-N | NO3-N | Exc. Ca | Exc. S |
|---|---|---|---|---|---|---|---|---|---|---|---|
| (mV) | (g kg−1) | (cmol kg−1) | (g kg−1) | (mg kg−1) | |||||||
| Fertilizer (F) | |||||||||||
| FP | 6.8 | −100 | 2.3 | 3.1 a | 1.5 a | 409 b | 686 | 16 b | 5.2 a | 280 | 57 |
| NR | 6.9 | −110 | 2.3 | 2.2 b | 1.4 b | 514 a | 718 | 19 a | 4.4 b | 295 | 63 |
| p value | 0.448 | 0.217 | 0.168 | <0.001 | 0.052 | <0.001 | 0.442 | 0.013 | 0.023 | 0.173 | 0.167 |
| Humic acid (HA) | |||||||||||
| No HA | 6.8 | −97 | 2.2 b | 2.3 b | 1.4 b | 423 b | 653 b | 17 | 5.2 a | 286 | 60 |
| HA | 6.8 | −113 | 2.3 a | 3.0 a | 1.6 a | 500 a | 751 a | 19 | 4.4 b | 290 | 60 |
| p value | 0.913 | 0.064 | 0.003 | <0.001 | <0.001 | 0.004 | 0.023 | 0.109 | 0.038 | 0.741 | 0.928 |
| Gypsum (FG) | |||||||||||
| No FG | 7 | −104 | 2.3 | 2.7 ab | 1.4 | 450 | 645 b | 18 ab | 4.2 b | 284 b | 54 b |
| FG23 | 6.8 | −101 | 2.2 | 2.4 b | 1.5 | 442 | 683 ab | 15 b | 5.7 a | 329 a | 77 a |
| FG636 | 6.8 | −111 | 2.3 | 2.8 a | 1.5 | 492 | 779 a | 20 a | 4.6 b | 250 c | 50 c |
| p value | 0.122 | 0.514 | 0.136 | 0.023 | 0.404 | 0.211 | 0.037 | 0.001 | 0.012 | <0.001 | <0.001 |
| Interactions (p value) | |||||||||||
| F × HA | 0.238 | 0.343 | 0.32 | 0.099 | 0.01 | <0.001 | 0.008 | 0.089 | 0.362 | <0.001 | 0.751 |
| F × FG | 0.721 | 0.577 | 0.143 | 0.45 | 0.696 | 0.388 | <0.001 | 0.116 | 0.028 | 0.085 | 0.352 |
| HA × FG | 0.802 | 0.174 | 0.319 | 0.006 | 0.003 | 0.005 | 0.043 | 0.004 | 0.024 | <0.001 | 0.158 |
| F × HA × FG | 0.313 | 0.697 | 0.379 | <0.001 | <0.001 | 0.008 | 0.141 | 0.267 | 0.681 | 0.018 | 0.682 |
| Treatment | Straw Biomass | Root Biomass | Grain Yield | Total N Uptake | NUE | NAE |
|---|---|---|---|---|---|---|
| (t ha−1) | (kg ha−1) | (%) | (kg kg−1) | |||
| Fertilizer (F) | ||||||
| FP | 15.4 | 9.5 a | 7.3 | 68 | 31 b | 28 |
| NR | 14.7 | 8.1 b | 7.1 | 67 | 36 a | 30 |
| p value | 0.099 | <0.001 | 0.23 | 0.657 | 0.008 | 0.234 |
| Humic acid (HA) | ||||||
| No HA | 14.9 | 9.3 a | 7.0 b | 65 b | 30 b | 25 b |
| HA | 15.1 | 8.3 b | 7.4 a | 70 a | 36 a | 33 a |
| p value | 0.73 | 0.014 | 0.004 | 0.013 | 0.004 | <0.001 |
| Gypsum (FG) | ||||||
| No FG | 15.3 | 8.5 b | 7.3 | 69 | 36 | 31 a |
| FG23 | 15.4 | 9.7 a | 7.3 | 68 | 33 | 30 a |
| FG636 | 14.5 | 8.3 b | 6.9 | 66 | 31 | 26 b |
| p value | 0.12 | 0.011 | 0.094 | 0.429 | 0.101 | 0.034 |
| Interactions (p-value) | ||||||
| F × HA | 0.499 | 0.008 | 0.903 | 0.177 | 0.161 | 0.073 |
| F × FG | 0.243 | 0.257 | 0.368 | 0.334 | 0.853 | 0.631 |
| HA × FG | 0.662 | 0.027 | 0.768 | 0.053 | <0.001 | 0.001 |
| F × HA × FG | 0.709 | 0.218 | 0.184 | 0.073 | <0.001 | 0.012 |
Disclaimer/Publisher’s Note: The statements, opinions and data contained in all publications are solely those of the individual author(s) and contributor(s) and not of MDPI and/or the editor(s). MDPI and/or the editor(s) disclaim responsibility for any injury to people or property resulting from any ideas, methods, instructions or products referred to in the content. |
© 2025 by the authors. Licensee MDPI, Basel, Switzerland. This article is an open access article distributed under the terms and conditions of the Creative Commons Attribution (CC BY) license (https://creativecommons.org/licenses/by/4.0/).
Share and Cite
Hartina; Monkham, T.; Vityakon, P.; Sukitprapanon, T.-S. Integrated Soil Fertility Management Enhances Soil Properties, Yield, and Nitrogen Use Efficiency of Rice Cultivation: Influence of Fertilizer Rate, Humic Acid, and Gypsum. Agronomy 2025, 15, 1335. https://doi.org/10.3390/agronomy15061335
Hartina, Monkham T, Vityakon P, Sukitprapanon T-S. Integrated Soil Fertility Management Enhances Soil Properties, Yield, and Nitrogen Use Efficiency of Rice Cultivation: Influence of Fertilizer Rate, Humic Acid, and Gypsum. Agronomy. 2025; 15(6):1335. https://doi.org/10.3390/agronomy15061335
Chicago/Turabian StyleHartina, Tidarat Monkham, Patma Vityakon, and Tanabhat-Sakorn Sukitprapanon. 2025. "Integrated Soil Fertility Management Enhances Soil Properties, Yield, and Nitrogen Use Efficiency of Rice Cultivation: Influence of Fertilizer Rate, Humic Acid, and Gypsum" Agronomy 15, no. 6: 1335. https://doi.org/10.3390/agronomy15061335
APA StyleHartina, Monkham, T., Vityakon, P., & Sukitprapanon, T.-S. (2025). Integrated Soil Fertility Management Enhances Soil Properties, Yield, and Nitrogen Use Efficiency of Rice Cultivation: Influence of Fertilizer Rate, Humic Acid, and Gypsum. Agronomy, 15(6), 1335. https://doi.org/10.3390/agronomy15061335

