Next Article in Journal
Dynamic Modeling and Parameter Optimization of Potato Harvester Under Multi-Source Excitation
Previous Article in Journal
The Effects of Long-Term Land Use Changes on Bacterial Community Structure and Soil Physicochemical Properties in the Northeast Mollisol Region of China
 
 
Font Type:
Arial Georgia Verdana
Font Size:
Aa Aa Aa
Line Spacing:
Column Width:
Background:
Article

Strawberry Growth Medium Made with Biogas Residues: Feasibility and Economic Benefit Potential

1
Shanxi Institute of Organic Dryland Farming, Shanxi Agricultural University, Taiyuan 030031, China
2
Key Laboratory of Sustainable Dryland Agriculture (Co-Construction by Ministry of Agriculture and Rural Affairs and Shanxi Province), Taiyuan 030031, China
3
Shanxi Province Key Laboratory of Sustainable Dryland Agriculture, Taiyuan 030031, China
*
Author to whom correspondence should be addressed.
Agronomy 2025, 15(5), 1133; https://doi.org/10.3390/agronomy15051133
Submission received: 2 April 2025 / Revised: 29 April 2025 / Accepted: 3 May 2025 / Published: 5 May 2025
(This article belongs to the Section Agricultural Biosystem and Biological Engineering)

Abstract

In this study, we examined the impact of various physical and chemical properties of growth media on strawberry growth, yield, quality, and economic returns. Six treatments were established: T1 (biogas residue/peat/perlite/vinegar residue = 1:5:1:4), T2 (biogas residue/peat/perlite/vinegar residue = 2:3:1:5), T3 (biogas residue/peat/perlite/vinegar residue = 2:3:1:4), T4 (biogas residue/peat/perlite/vinegar residue = 2:4:1:3), T5 (biogas residue/peat/perlite/vinegar residue = 3:4:1:5), and CK (peat/perlite = 4:1). The results showed that compared with CK treatment, the total nitrogen level increased by 3.26- to 3.95-fold and the organic matter content increased by 14.13–25.70%. In particular, T3 (biogas residue/peat/perlite/vinegar residue = 2:3:1:4) exhibited significant growth advantages, with stem diameter, root volume, and fresh weight increasing by 18.89%, 36.41%, and 35.26%, respectively, compared to CK. The yield per plant saw a 14.54% increase, soluble solids rose by 29.34%, and the solid acid ratio was 1.68 times higher than that of CK. Furthermore, the net income was 2.37 times greater than that of CK. A comprehensive assessment revealed that the T3 treatment demonstrated superior performance in both growth parameters and economic returns, suggesting its suitability as an optimal formulation for further experimentation.

1. Introduction

The rapid expansion of the biogas industry, particularly large-scale biogas projects, has led to a significant increase in the generation of biogas residues. If not managed properly, these residues can cause environmental pollution through foul odors and the contamination of soil and water sources [1]. This underscores the urgent need for the resourceful and environmentally friendly utilization of biogas residues to ensure the sustainability of the biogas industry. Biogas residue, a solid byproduct of anaerobic digestion of organic materials, is characterized by its high organic content, humus, and beneficial microorganisms, along with satisfactory physical properties such as loose texture and good water-retention capacity [2,3,4]. These attributes make biogas residue a promising material for use in soilless cultivation systems. Moreover, its application as a growth medium can extend the industrial chain of biogas production, offering both ecological and economic benefits.
Strawberries, valued for their high nutritional value, delicious taste, and rich content of vitamins, sugars, organic acids, and essential mineral elements, have become an increasingly popular fruit worldwide [5,6]. Over the past decade, the cultivation area for strawberries has significantly expanded [7]. The majority of strawberry cultivation still relies on traditional soil-based methods that suffer from issues such as soil salinization, continuous cropping obstacles, and severe plant diseases, which have led to low survival rates and significant yield gaps; thus, soilless cultivation has emerged as an effective solution by avoiding these soil-related challenges while also expanding potential cultivation areas and improving overall production efficiency [8,9,10,11], although the prevalent use of peat as a growing medium poses its own limitations due to its finite nature and prohibitive mining regulations in several countries [12].
Various materials have been explored as potential alternatives to peat, including coconut bran, composted livestock and poultry manure, olive residue compost, vermicompost, rice husk, volcanic rock, and rock wool [13,14,15,16,17,18,19]. However, there is a notable absence of research on the utilization of biogas residues in this context. Despite these advancements, the potential of biogas residue as a peat substitute in soilless strawberry cultivation within controlled environments remains largely unexplored. Research on biogas residues has primarily focused on their use as organic fertilizers, particularly in improving soil fertility and enhancing plant growth [13,14]. In crop studies, most research has concentrated on the early growth stages of crops such as peppers, tomatoes, and cucumbers, with limited research extending to the entire growth cycle. Specifically, there is a notable lack of studies on the use of biogas residues in strawberry cultivation, especially under controlled environment conditions. Research on its application as a growth medium for strawberries has demonstrated dual benefits. First, it diversified the utilization of biogas industry residues, promoting the development of the biogas industry. When biogas residues are used as a growth medium, integrated with water–fertilizer synergy technology, both agricultural products and the growth medium achieve high-value utilization. Second, it promoted the sustainable utilization of resources by transforming waste into valuable inputs, effectively conserving peat resources, and facilitating the resource-oriented recycling of agricultural waste. This approach yields both ecological and economic benefits.
Therefore, in this study, we aim to optimize a composite growth medium using biogas residues as the primary component, supplemented with vinegar residue, peat, and perlite, for strawberry cultivation in controlled environments. The objectives are to determine the optimal formulation of the composite substrate, assess its physical and chemical properties, and evaluate its effects on strawberry growth, yield, and quality throughout the entire growth cycle. This research not only addresses the environmental challenges associated with biogas residues but also explores their potential to advance circular agriculture and promote sustainable strawberry production.

2. Materials and Methods

2.1. Materials

Biogas residue: The biogas residue utilized in the study was obtained from Jin Feng Green Energy Agricultural Technology Co., Ltd. in Qinbi Village, Dahuaishu Town, Hongtong County, Linfen City, Shanxi Province. It originated from the byproducts of anaerobic fermentation in biogas engineering, which underwent solid–liquid separation before undergoing aerobic composting. The aerobic composting pile was constructed to dimensions of 7 m in length, 5 m in width, and 1.5 m in height, with a total volume of 40 cubic meters. The composting system was enclosed by a high-molecular-weight semi-permeable membrane to facilitate aerobic fermentation and included aeration piping, a data collection system, and a control system. From 4 June 2024, the upper limit of the fan was set to 70 °C, the upper limit of the fan was 50 °C, the cycle opening time was 60 s, and the cycle closing time was 600 s. The temperature climbing time was 48 h, the temperature was 25.7–47.3 °C, the high temperature duration was 576 h, the temperature was 51.6–54.8 °C, and the cooling stage lasted for 72 h, 32.3–42.8 °C. The basic physical and chemical properties and heavy metal content of the biogas residue are shown in Table 1.
Vinegar residue: The vinegar residue was a donation from nearby vinegar factories. It had the following nutrient composition: total nitrogen 2.22%, total phosphorus 0.17%, total potassium 0.43%, pH 5.09, and EC 0.46 ms∙cm−1.
Peat and strawberry-specific cultivation substrate: They were obtained from Shandong Sanyi (Shouguang) Agricultural Co., Ltd. (Shandong, China).
Perlite: It was acquired from Puyang Sitong Thermal Insulation Materials Factory in Henan Province.(Henan, China).
The strawberry variety used in the study was Fragaria × ananassa “xiangye”, and the seedlings were purchased from Aishangmei Picking Workshop in Yuci District, Jinzhong City, Shanxi Province. (Shanxi, China).

2.2. Experimental Design

The experiment began in September 2023 and ended in April 2024. The study utilized a single-factor randomized block design comprising 6 treatments, each replicated three times (Table 2); the total number of plants per treatment was 270. A raised cultivation approach was implemented using troughs measuring 30 cm in diameter and 15 cm in depth. Two drip irrigation belts were laid in each elevated cultivation trough, and the distance between the two adjacent drop holes was 10 cm. Strawberries were grown in the “Z” type with a pitch of 20 cm. During the experiment, a nutrient solution was added to the strawberry plants. The nutrient solution was prepared in a 1 m3 tank, and the Yamazaki nutrient solution formula [20] was used (Table 3). Finally, the pH was adjusted to 5.5–6.0 by the addition of sulfuric acid. Strawberries were supplied with nutrient solution through water and fertilizer equipment; the average irrigation frequency during the strawberry growth period was 2 times a day, and the total irrigation amount was 245 m3. The research process was shown in Figure 1.

2.3. Analytical Methods

2.3.1. Physical and Chemical Properties of Growth Medium

Physical properties: The growth medium’s physical properties were assessed following the protocols outlined by Lu et al. [3] and Meng et al. [1]. A container with a known volume (V) was initially weighed (W1), then filled with the air-dried growth medium and reweighed to obtain W2. Subsequently, the container, sealed with two layers of gauze, was submerged in water for 24 h and weighed again to determine W3. The weight of the wet gauze (W4) was also documented. After inverting the sealed container to eliminate excess moisture, the final weight was recorded as W5. Each material underwent triplicate testing. The calculations were as follows:
B u l k   d e n s i t y   ( g · cm 3 ) = ( W 2 W 1 ) V
T o t a l   p o r o s i t y   ( % ) = ( W 3 W 2 W 4 ) V × 100
A e r a t i o n   p o r o s i t y   ( % ) = ( W 3 + W 4 W 5 ) V × 100
W a t e r - h o l d i n g   p o r o s i t y   ( % ) = [ ( W 3 W 2 W 4 ) V ( W 3 + W 4 W 5 ) V ] × 100
A i r - t o - w a t e r   r a t i o = [ ( W 3 + W 4 W 5 ) V ] / [ ( W 3 W 2 W 4 ) V ( W 3 + W 4 W 5 ) V ] × 100
Nutrient content: Total nitrogen was quantified via the Kjeldahl automatic nitrogen analyzer (Foss8410). Effective phosphorus content was determined using the molybdenum-antimony colorimetric method. Fast-acting potassium levels were measured through the ammonium acetate leaching method and analyzed with the 6840 flame spectrophotometer. Organic matter content was evaluated using the potassium dichromate oxidation external heating method.
pH and EC: The air-dried growth medium was mixed with deionized water in a 1:5 mass-to-volume ratio using the saturated leaching method. Following centrifugation and filtration, the pH of the medium was measured using a PHS-3C pH meter, and its electrical conductivity (EC) was determined with a Mettler PC300 desktop conductivity meter. Each sample was measured in triplicate, with the pH and EC values recorded accordingly.

2.3.2. Growth Morphological Indicators

Plant growth index: After establishing seedlings at a fixed density, we assessed the morphological characteristics of strawberry plants at each growth stage, including plant height, stem diameter, and leaf area. Measurements were discontinued once the plants developed eight leaves to facilitate flower and fruit thinning and the removal of senescent leaves. Plant height was measured with a ruler from the ground to the apex of the majority of leaves. Stem diameter was determined using a caliper along the North–South axis of the root stem. Leaf area was calculated using the method proposed by Chen et al. (2009) [21], where Leaf Area = Leaf Length × Leaf Width × 0.73.
Root measurement: In the later stages of strawberry growth, three complete root systems were randomly selected from each treatment and placed in sealed bags for transport back to the laboratory. The root length, average diameter, and other root characteristics of the facility-grown strawberries were measured using the LA-S plant image analysis system, through root scanning and image software analysis. During the root washing process, a 100-mesh sieve was placed beneath the roots to prevent any detached roots from being washed away by the water.
Yield and quality: Mature fruits were harvested and weighed to determine average fruit weight and plant yield. Soluble sugar content was analyzed using the sulfuric acid anthrone method, titratable acidity was assessed through NaOH neutralization titration, vitamin C content was measured using the ammonium molybdate colorimetric method, and soluble solid content was evaluated with a refractometer (PAL-1) by ATAGO (Tokyo, Japan).

2.4. Statistical Analysis

Data were collected and organized using Microsoft Excel 2017. A one-way ANOVA was employed to evaluate the effects of various treatments on the physicochemical properties and growth of strawberries. Duncan’s multiple range test was applied at a significance level of p ≤ 0.05 when significant differences were identified. Strawberry growth indicators and quality index were comprehensively assessed using the fuzzy mathematics membership function method [1]. Redundancy analysis, conducted with Canoco 5, examined the relationships between yield and growth medium physicochemical properties, as well as quality and growth medium properties. Cluster analysis and multiple regression analysis were performed using SPSS 18.0. The “plspm” package in the R language was used to explore the relationship between the basic physicochemical properties of the growth medium, the strawberry plant growth index, and strawberry quality. Graphs were generated using Origin 2019.

3. Results

3.1. Physical and Chemical Characteristics of Growth Media

3.1.1. Physical Characteristics of Growth Media

From the perspective of varying substrate physical properties (Table 4), the bulk density of the mixed cultivation substrates ranged from 0.21 g·cm−3 to 0.25 g·cm−3, total porosity was measured between 85.25% and 98.39%, and the air–water ratio was determined to be 1.8:1 to 2.7:1 in this study. In comparison to T4, the bulk density of T3 increased significantly by 19.05%. There was no significant difference in bulk density and aeration porosity among treatments. The total porosity and water-holding porosity of T1 increased by 10.36% and 8.88%, respectively, compared with those of CK. The water-holding porosity of the T4 treatment was 16.93% lower than that of CK. In general, the physical properties of the treatment with biogas residue and other organic materials were not much different from those of the special growth medium for strawberries.

3.1.2. Characteristics of Growth Media

From the perspective of chemical properties of different treatments (Table 5), the total nitrogen content, available potassium content, and organic matter content of the treatments with biogas residue and other organic materials were significantly higher than those of the control (CK). The total nitrogen content was 3.26–3.95 times that of CK. The available potassium content was 11.77–21.29% higher than that of CK, and the organic matter content was 14.13–25.70% higher than that of CK. The contents of total nitrogen, available potassium, organic matter, and available phosphorus in T3 were significantly higher than those in CK. The pH of the growth medium of organic materials such as biogas residue was between 5.45 and 5.92, and the electrical conductivity (EC) was between 0.91 and 1.10 ms·cm−1, which were significantly lower than those of CK.

3.2. Growth Parameters of Strawberries

3.2.1. Plant Height, Stem Diameter, and Leaf Area of Strawberry in Different Growth Stages

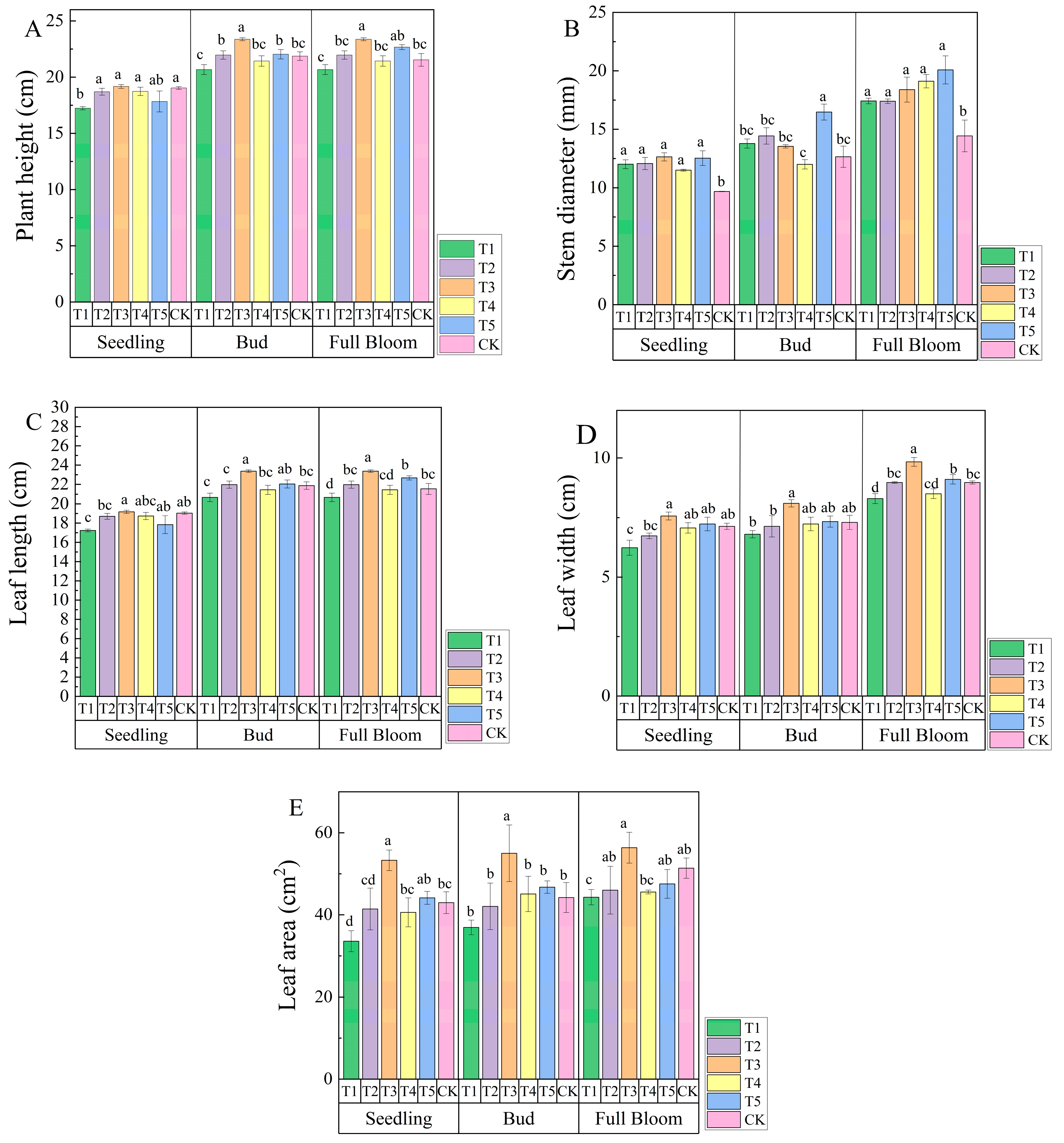
The index observation of the aboveground part of the strawberry mainly included plant height, stem diameter, and leaf area at different growth stages. Because the old leaves of strawberry plants need to be trimmed after flowering, we only evaluated parameters such as plant height, stem diameter, and leaf area before this stage (Figure 2). With the advancement of the strawberry growth period, T3 showed better growth. Regardless of the stage (seedling, bud, or flowering), its plant height, stem diameter, and leaf area were higher than those of CK, but there was no statistical difference between the two. Compared with CK, the stem diameter of the strawberry was increased by 18.80–30.61% and 20.53–39.12% at the seedling and flowering stages, respectively. At the seedling stage and bud stage, the leaf area of the T3 treatment was significantly higher than that of CK. At the flowering stage, although the leaf area of T3 was still higher than that of CK, the difference between the two was not significant.

3.2.2. Growth of Strawberry Root System

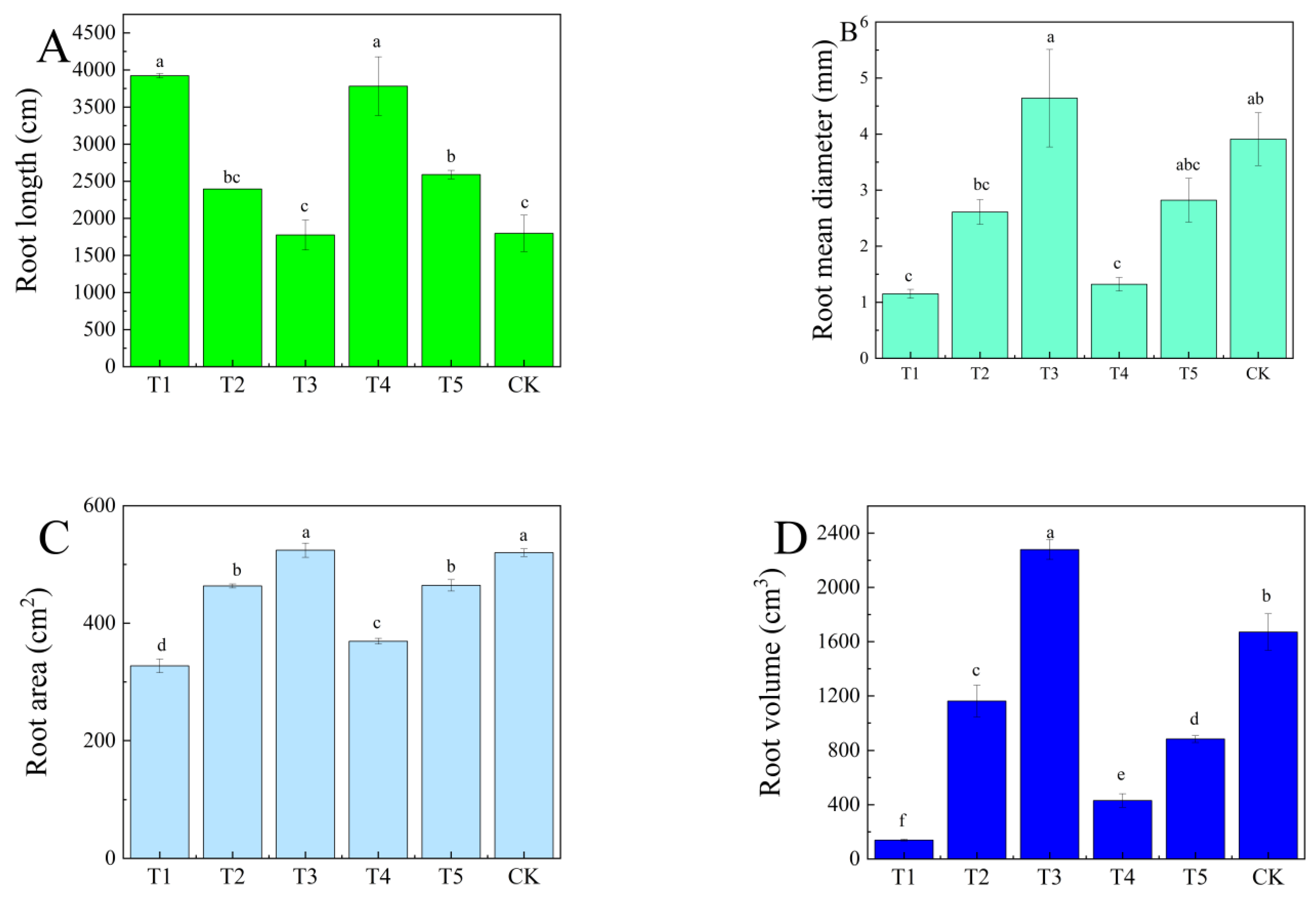
The root is an important organ for strawberries to obtain water and nutrients. When measuring the root length, average root diameter, root area, and root volume of strawberry (Figure 3), the average root diameter and root area of T1 and T4 were significantly lower than those of T3 and CK. The root volume was significantly different between treatments, and the root volume of the T3 treatment was significantly increased by 36.41% compared with that of CK.

3.2.3. Strawberry Biomass

The T3 treatment exhibited significantly higher quality than CK in both aboveground and underground fresh weight (Figure 4). Aboveground fresh weight increased by 38.38% in T3 compared to CK, while underground fresh weight in CK increased by 32.16%. Moreover, the dry weight of T3 was significantly greater than that of T1, with no significant difference observed between the growth medium with added biogas residue and CK. The ranking of underground dry weight for each treatment was as follows: T3 > T5 > T4 > T2 > CK > T1; T3 showed a 48.13% increase in underground dry weight compared to T1.

3.2.4. Yield of Strawberry

Yields from 7 January to 9 April were counted (Figure 5). In the first month of strawberry harvest, strawberry single fruit weight was significantly higher in T3 than in other treatments. In the following two months, the highest single fruit weight was recorded in T3 and T5, which were significantly higher than the other treatments. The single fruit weight of T3 was significantly increased by 13.88% compared to that of CK. The yield of T3 was significantly higher than that of the other treatments, while those of T1 and T4 were significantly lower than those of the other treatments. The increase in yield per plant in T3 was 14.54% as compared to CK. The multiple regression model was established using SPSS software, and the model summary is shown in Table 6. Model 1 used physical traits as explanatory variables and excluded WPS variables. Model 2 included chemical traits as explanatory variables. In Model 1, the R2 value was 0.496, indicating that the five independent variables, such as bulk density (BD) and total plant stem (TPS), can explain 49.6% of the yield variation. This means that nearly half of the yield can be attributed to these physical traits. In Model 2, the R2 value was 0.565, suggesting that the six independent variables, including total nitrogen (TN) and available phosphorus (AP), can explain 56.5% of the yield. This indicated that chemical traits have a greater impact on yield.

3.2.5. Comprehensive Analysis of the Growth Indicators

Using the method of comprehensive membership function, the multi-index comprehensive evaluation of strawberry growth under different treatments was carried out. The membership value was calculated according to the method of Meng [1], CI = (X − X min)/(X max − X min). X was the observed value, X min was the minimum value, and X max was the maximum value of the measured parameter. The greater the comprehensive evaluation coefficient, the better the plant growth. The verification of the membership function adopts the cross-validation method. Table 7 shows the comprehensive ranking of growth indicators. The T3, T5, and CK comprehensive coefficients were all greater than 0.5, and these treatments ranked in the top three. The T3 growth medium was favorable for strawberry growth. The correlation between growth indicators and physicochemical characteristics of the strawberry was explored by redundancy analysis (RDA) (Figure 6A). The explanatory variables accounted for 52.24% of the variance, of which RDA1 and RDA2 accounted for 38.95% and 13.29%, respectively. Total nitrogen content, effective phosphorus content, organic matter content, and BD were the key factors affecting strawberry growth.
The growth of strawberries was found to be closely associated with the nutrient content of the media. As shown in Figure 7B, the electrical conductivity (EC), total nitrogen content, and organic matter content of the strawberry substrate exhibited significant positive correlations with plant height and stem diameter. The robust growth of the plants was pivotal in determining the biomass formation of the strawberries. Healthy plant growth directly influenced strawberry biomass formation. Stem thickness showed a significant positive correlation with the dry weight of underground parts, while leaf area was significantly positively correlated with both the fresh and dry weight of aboveground parts. Furthermore, root mean diameter demonstrated a highly significant positive correlation with the dry weight of underground parts. This shows that good root development was found to substantially enhance nutrient absorption and improve strawberry yield. Strawberry yield was significantly positively correlated with leaf area and root mean diameter.

3.3. Quality of Strawberries

3.3.1. Strawberry Quality Index Analysis

It can be seen from Table 8 that, except for T1, the soluble solid content of other composite growth media with biogas residue was significantly higher than that of CK. Compared with CK, the soluble solid content increased by 23.39–29.40%. There was no significant difference in vitamin C (VC) content between different treatments. The titratable acid content of T4 was significantly lower than that of other treatments, and the solid acid content of T2, T3, T4, and T5 was lower than that of CK. This showed that the addition of organic matter, such as biogas residue, could effectively improve the sweetness of the strawberry, and the palatability was better. The fruit hardness of the T3 treatment was significantly higher than that of the T4 treatment, which increased by 22.09%.

3.3.2. Comprehensive Analysis of Quality Indicators

Table 9 shows the fuzzy membership function analysis of strawberry quality under different growth media. The ranking was T3 >T2 > CK >T1 >T5> T4. The comprehensive evaluation coefficient of T3 was 0.7481, ranking first. The comprehensive evaluation coefficient of T2 was 0.7071, ranking second, and the comprehensive evaluation coefficient of CK was 0.5413, ranking third. The comprehensive evaluation coefficients of other treatments were lower than those of CK. According to the redundancy analysis (Figure 7A), the explanatory variables accounted for 58.11% of the variance, of which RDA1 and RDA2 accounted for 44.69% and 13.42%, respectively. It can be seen from Figure 7B that there was a significant positive correlation between the growth medium and strawberry quality. Although the growth index also had a positive effect on the formation of strawberry quality, the effect was relatively weak. The factor loadings of EC (0.87), total nitrogen content (0.85), available potassium content (0.83), organic matter content (0.72), and AWR (0.71) were all greater than 0.7, which was closely related to the formation of strawberry quality.

3.4. Cluster Analysis of Strawberry Growth Medium

Through the method of hierarchical clustering analysis (Figure 8), the treatments could be divided into five categories at a distance of 5: I = T2 and T5; II = T3; III = T1; Ⅳ = T4; and Ⅴ = CK. At a distance of 10, they could be divided into four categories: I = T2 and T5; II = T3; III = T1 and T4; Ⅳ = CK. At a distance of 20, they could be divided into three categories: I = T2, T3, and T5; II = T1 and T4; III = CK. At a distance of 25, they were divided into only two types.

3.5. Evaluation of Economic Benefits of Growth Medium

According to the economic benefit analysis (Table 10), the highest total investment (104.37 CNY·hm−2) was made in the peat growing medium (CK), but the net income was only 43.79 CNY·hm−2. In contrast, the treatments using biogas residues (T1, T2, T3, T4, and T5) performed better, especially T3, with a net income of 103.61 CNY·hm−2, reflecting the advantages of growing medium made by biogas residues in cost control and yield conversion. The relatively low production material costs of T1 and T4, but the subsequent decrease in net income, indicated that under these two formulations, the yield of facility strawberries was lower, thus affecting their revenue, and thus, the T1 and T4 formulations need to be further optimized. Overall, biogas-compounded growing medium has wide application prospects and good market potential in agricultural production, while the high cost of the peat growing medium limits its competitiveness for large-scale cultivation. In the future, the mixed use of peat resources and biogas residues will help the growth and yield of facility strawberries, while reducing the cost, further optimizing the investment strategy, and improving the overall economic efficiency.

4. Discussion

4.1. Selection and Pretreatment of Growth Medium Materials

In previous studies on the use of biogas as a growth medium, it was not clear whether biogas residue still needs pretreatment after anaerobic fermentation or whether it can be used directly. In the preliminary experiment, we found that the yellow ghost umbrella could grow when uncomposted biogas residue was used as the growth medium. This kind of bacterium competes with strawberries for nutrients, resulting in local dry spots in the growth medium. At the same time, if the biogas residue was not sealed after composting, it would be easy for grubs to grow in it. Through experience, we believe that if biogas residue is used as the growth medium, it needs to be pretreated. Yan Gui et al. (2024) [22] also observed that well-decomposed digestate was more beneficial for ginseng growth.
Biogas residue is considered to be a high-quality material that can replace peat resources in strawberry growth media. In this study, we successfully utilized vinegar residue in the preparation of a biogas residue-based growth medium. Studies by Wang et al. [23] (2022) have demonstrated that vinegar residue is a valuable source of organic matter and acidic functional groups. Zahra Mirfattahi et al. [24] (2020) induced salt tolerance in strawberry (Fragaria × ananassa Duch) plants by acetate application. The application of organic materials such as vinegar residue effectively modulated nutrient efficacy and balanced nutrient provision. A small quantity of peat was incorporated to address the inadequate buffering capacity of biogas and vinegar residues. Similar results have been obtained in studies using other agricultural wastes to prepare strawberry substrates [10,16,25].

4.2. Physicochemical Properties of Growth Medium

An ideal growth medium for strawberries should possess a low salinity, a slightly acidic pH, good aeration, and high water and nutrient retention capacities [26,27]. In this study, the compounded biogas growth medium exhibited a bulk density ranging from 0.21 to 0.25 g cm−3, with total porosity ranging from 85.25% to 98.39%. The air/water ratio ranged from 1:1.8 to 1:2.7, pH levels varied from 5.45 to 5.97, and the electrical conductivity (EC) ranged from 0.91 to 1.13 ms·cm−1, meeting the requirements for crop growth [8,28,29,30,31]. Strawberry is a fruit of high economic value, but it has poor salt tolerance [29]. The physicochemical characteristics of growth media play a crucial role in determining their suitability for cultivating strawberries [3,32]. In this study, the T3 (biogas residue/peat/perlite/vinegar residue = 2:3:1:4) had a better effect.
The total porosity in this study differed from previous studies, which suggests an optimal total porosity range of 70–90%. The total porosity of the biogas growth medium in this study was relatively high. This may be related to the particle size composition of the growth medium material. Endo et al. and Nguyen et al. [30,33] identified the optimal growth medium aeration porosity as 20–30% and water-holding capacity (WHC) as 50–60%, consistent with the results of this study.
Elevated water-holding porosity levels can induce hypoxia in plants. High-density growth media may compromise aeration and drainage, causing anoxia and stunting strawberry growth. Conversely, an excessively low unit weight impedes root anchorage during watering, resulting in water and nutrient loss and weak plant growth. In this experiment, although the organic matter content of T1 was higher than that of CK, and EC and pH were in the ideal range of strawberry growth, its water-holding porosity was significantly lower than that of CK, and its growth and yield were not as good as those of CK.

4.3. Influence of the Growing Medium on Strawberry Growth Parameters

A suitable compound biogas residue growth medium can effectively promote strawberry growth. In T1, a high total porosity was observed, suggesting that the growing medium’s particles were relatively loose, making it difficult for strawberry seedling roots to anchor and accelerating water flow during irrigation. The average root diameter of T3 was 4.04 times that of T1. Strong root development contributed greatly to the nutrient uptake of strawberries, which may also explain why T3 plants grew better than T1. Eyheraguibel et al. [29] found that root development led to an increase in root surface area and improved the absorption and utilization of mineral nutrients. Robust roots were noted to better support plant growth, aiding strawberries in effectively absorbing nutrients and water, and providing sufficient materials and energy for the growth of aboveground stems and leaves, thereby promoting an increase in plant biomass [25].
In our experiments, we observed an intriguing phenomenon: The length of strawberry roots did not necessarily correlate with the vigor of the strawberry plants. Instead, the growth vigor of strawberry plants was found to be closely related to the average diameter of the strawberry roots. Two reasons were identified for this: Firstly, spatial constraints played a role. In the elevated cultivation method, the substrate was filled to a height of 30 cm and a width of 40 cm on the racks. Within this limited growing space, driven by the roots’ tendency to seek water and nutrients, the roots may have prioritized lateral expansion to occupy more space for water and nutrients, thereby increasing the root diameter. Secondly, the characteristics of the growth medium influenced root development. Different ratios of growth medium resulted in varying bulk densities, porosities, and water-holding porosities, affecting the water retention and aeration of the medium.

4.4. Impact of Growing Medium on Strawberry Yield and Quality

In this study, the single berry weight across treatments ranged from 17.66 to 23.59 g, with a yield per plant ranging from 128.70 to 189.22 g. Treatment T3 exhibited a significant 13.88% increase in single berry weight and a 14.54% increase in yield per plant compared to the control (CK). Ailin Molosag et al. [34] showed that the weight of a single fruit in earthworm compost was 14.70–16.90 g. In their hydroponic strawberry experiment, S. S. Sahoo, D. Sahoo, and K. K. Sahoo [25] found that the single fruit weight was between 12.20 and 21.19 g. Azizi Yeganeh et al. [16] identified Selve as a strawberry variety with a berry weight of 18.5 g, while Pedro Palencia et al. [10] counted the total yield of strawberries per plant for 5 months and found it to be close to 911 g. In this paper, the single berry weight statistics were slightly higher than the results of these studies, because in the statistical calculation process, strawberries with a single berry weight of less than 8 g were excluded to avoid the masking of the growth medium differences due to the problem of large and small strawberries. In addition, there is a certain relationship with different varieties of strawberries [10,16].
The addition of organic materials, such as biogas residue, resulted in higher levels of soluble solids compared to the control group, showing an increase ranging from 12.87% to 29.34%. This observation indicates that the increase in organic materials influenced the synthesis and metabolism of sugar in strawberries [16]. Soluble sugar content in T3 increased by 29.34%, and the SSC/TA ratio increased by 1.68 times compared with CK. This indicated that T3 optimized the physical properties of the growth medium and made its ventilation and water retention more harmonious; suitable pH activated the available nutrients of the growth medium, improved microbial activity, and caused the strawberry fruit to be fully developed and of a higher quality. This conclusion could also be verified by the redundancy analysis and PLS-PM.

4.5. Significance of This Study and Future Prospects

This study provides new insights and scientific evidence for the application of biogas residues in soilless cultivation. By optimizing biogas residue substrate formulations, we not only improved strawberry growth efficiency and fruit quality but also significantly reduced production costs. This method holds substantial value in resource utilization and environmentally friendly agricultural practices. In the future, researchers should continue to explore the optimization of different biogas residue mixtures and delve deeper into the specific mechanisms by which physicochemical properties influence plant growth to further enhance application effects and economic benefits.

5. Conclusions

In summary, the use of biogas residues as a growth substrate for strawberries is both feasible and effective. By combining biogas residues with peat, acetic acid residues, and perlite in a rational manner, the physical and chemical properties of the growth substrate were improved, leading to significant enhancements in strawberry growth performance, yield, and fruit quality. This study offers new perspectives for agricultural production, particularly in enhancing economic benefits and resource utilization efficiency. The T3 treatment (biogas residue/peat/perlite/vinegar residue = 2:3:1:4) demonstrated optimal cultivation results and superior performance in promoting strawberry growth and improving fruit quality. Economic benefit analysis revealed that compared to high-cost peat substrates, biogas residue-based substrates significantly reduced production costs while maintaining or even surpassing production efficiency. They can thus be utilized as optimal formulations for the next phase of testing.

Author Contributions

Conceptualization, J.Z. (Jing Zhou); methodology, J.Z. (Jing Zhou); software, J.Z. (Jing Zhou); validation, J.Z. (Jitao Zhang) and B.W.; formal analysis, X.Z.; investigation, J.Z. (Jing Zhou), X.Z., X.W., J.Z. (Jitao Zhang), and B.W.; resources, J.Z. (Jing Zhou), X.W., X.S., J.Z. (Jitao Zhang), and B.W.; data curation, J.Z. (Jing Zhou); writing—original draft preparation, J.Z. (Jing Zhou); writing—review and editing, J.Z. (Jing Zhou) and X.S.; visualization, J.Z. (Jing Zhou), X.Z., and X.W.; supervision, X.W. and X.S.; project administration, X.W.; funding acquisition, X.S. and X.W. All authors have read and agreed to the published version of the manuscript.

Funding

This research was funded by the Key R&D Program of Shanxi Province, China, grant number 202102140601012; the National Key R&D Program of China, grant number 2021YFD1901105; the Science and Technology Major Project of Shanxi Province, China, grant number 202101140601026-7; and the Key Laboratory Project of Shanxi Province, China, grant number 202001-2. All authors approved the version of the manuscript to be published.

Data Availability Statement

The original contributions presented in this study are included in the article; further inquiries can be directed to the corresponding author.

Conflicts of Interest

The authors declare no conflicts of interest.

References

  1. Meng, X.; Yan, J.; Zuo, B.; Wang, Y.; Yuan, X.; Cui, Z. Full-scale of composting process of biogas residues from corn stover anaerobic digestion: Physical-chemical, biology parameters and maturity indexes during whole process. Bioresour. Technol. 2020, 302, 122742. [Google Scholar] [CrossRef] [PubMed]
  2. Tambone, F.; Scaglia, B.; D’Imporzano, G.; Schievano, A.; Orzi, V.; Salati, S.; Adani, F. Assessing amendment and fertilizing properties of digestates from anaerobic digestion through a comparative study with digested sludge and compost. Chemosphere 2010, 81, 577–583. [Google Scholar] [CrossRef] [PubMed]
  3. Zhang, L.; Sun, X.; Tian, Y.; Gong, X. Effects of brown sugar and calcium superphosphate on the secondary fermentation of green waste. Bioresour. Technol. 2013, 131, 68–75. [Google Scholar] [CrossRef]
  4. Lee, M.E.; Steiman, M.W.; Angelo, S.K. Biogas digestate as a renewable fertilizer: Effects of digestate application on crop growth and nutrient composition. Renew. Agric. Food Syst. 2021, 36, 73–81. [Google Scholar] [CrossRef]
  5. Giampieri, F.; Forbes-Hernandez, T.Y.; Gasparrini, M.; Alvarez-Suarez, J.M.; Afrin, S.; Bompadre, S.; Quiles, J.L.; Mezzetti, B.; Battino, M. Strawberry as a health promoter: An evidence based review. Food Funct. 2015, 10466, 1386–1398. [Google Scholar] [CrossRef]
  6. Jiang, W.; Zhang, J.; Jia, Z.-H.; Zhang, T.; Wen, Z.-J.; Meng, W. Physiological and Nutrient Responsesto Nitrogen, Phosphorus, or Potassium Deficiency of Hydroponically Grown Strawberry. Hortscience 2023, 58, 628–634. [Google Scholar] [CrossRef]
  7. Hernández-Martínez, N.R.; Blanchard, C.; Wells, D.; Salazar-Gutiérrez, M.R. Current State and Future Perspectives of Commercial Strawberry Production: A review. Sci. Hortic. 2023, 312, 111893. [Google Scholar] [CrossRef]
  8. Tang, X.; Li, Y.; Fang, M.; Li, W.; Hong, Y.; Li, Y. Effects of Different Water Storage and Fertilizer RetentionSubstrates on Growth, Yield and Quality of Strawberry. Agronomy 2024, 14, 205. [Google Scholar] [CrossRef]
  9. Rathod, K.D.; Patel, A.J.; Chakraborty, B. Strawberry cultivation practices in soilless growing substrates: A review article. Int. J. Chem. Stud. 2021, 9, 1253–1256. [Google Scholar] [CrossRef]
  10. Palencia, P.; Bordonaba, J.G.; Martínez, F.; Terry, L.A. Investigating the effect of different soilless substrates on strawberry productivity and fruit composition. Sci. Hortic. 2016, 203, 12–19. [Google Scholar] [CrossRef]
  11. Woznicki, T.; Jackson, B.E.; Sønsteby, A.; Kusnierek, K. Wood Fiber from Norway Spruce—A Stand-Alone Growing Medium for Hydroponic Strawberry Production. Horticulturae 2023, 9, 815. [Google Scholar] [CrossRef]
  12. Carlile, B.; Coules, A. Towards sustainability in growing media. Acta Hortic. 2013, 1013, 341–349. [Google Scholar] [CrossRef]
  13. García-López, D.A.; Cruz-Ortega, R. Evaluation effects of alternative substrates for soilless cultivation of strawberry (Fragaria x ananassa). Nexo Rev. Científica 2023, 36, 831–838. [Google Scholar] [CrossRef]
  14. Claire, D.; Watters, N.; Gendron, L.; Boily, C.; Pépin, S.; Caron, J. High productivity of soilless strawberry cultivation under rain shelters. Sci. Hortic. 2018, 232, 127–138. [Google Scholar] [CrossRef]
  15. Gruda, N.S.; Machado, R.M.A.; van Os, E.A. Is Soilless Culture a Sustainable Form of Agriculture? Horticulturae 2023, 9, 1190. [Google Scholar] [CrossRef]
  16. Azizi Yeganeh, M.; Shahabi, A.A.; Ebadi, A.; Abdossi, V. Vermicompost as an alternative substrate to peat moss for strawberry (Fragaria ananassa) in soilless culture. BMC Plant Biol. 2024, 24, 149. [Google Scholar]
  17. Guerrero-Guerrero, E.M.; Criollo-Escobar, H.; Cháves, G.; Vélez, J.A. Evaluation of physical and chemical variables of organic substrates in a hydroponic system for strawberry (Fragaria ananassa Duch). Rev. De. Cinch. Agrícolas 2021, 38, 50–62. [Google Scholar] [CrossRef]
  18. Altieri, R.; Esposito, A.; Baruzzi, G.; Nair, T. Corroboration for the successful application of humified olive millwaste compost in soilless cultivation of strawberry. Int. BiKD Biodeterior. Biodegrad. 2014, 88, 118–124. [Google Scholar] [CrossRef]
  19. Möller, K.; Müller, T. Effects of anaerobic digestion on digestate nutrient availability and crop growth: A review. Eng. Life. Sci. 2012, 12, 242–257. [Google Scholar] [CrossRef]
  20. Shen, J.; Mao, D. Research Methods of Plant Nutrition; Agricultural University Yuxue Publishing House: Beijing, China, 2011. [Google Scholar]
  21. Chen, X.; Chen, W.; Mi, L.; Gao, Z.; Li, J.; Zhang, Z.; Qu, S. On regressive estimation for leaf area of strawberry. Chin. Agric. Sci. Bull. 2009, 25, 190–193. [Google Scholar]
  22. Gui, Y.; Suo, M.; Qiu, Z.; Wu, H.; Cui, Z.; Yang, H. Effects of biogas residue addition, as cultivation substrate on ginseng growth. Plant Soil Environ. 2024, 70, 101–110. [Google Scholar] [CrossRef]
  23. Wang, K.; Yu, Y.; Liu, S.; Zhu, Y.; Liu, P.; Yu, Z.; Wang, Y. A Review of the Current State and Future Prospects in Resource Recovery of Chinese Cereal Vinegar Residue. Foods 2022, 11, 3256. [Google Scholar] [CrossRef] [PubMed]
  24. Mirfattahi, Z.; Eshghi, S. Inducing salt tolerance in strawberry (Fragaria ananassa Duch) plants by acetate application. J. Plant Nutr. 2020, 43, 1780–1793. [Google Scholar] [CrossRef]
  25. Sahoo, S.; Sahoo, D.; Sahoo, K.K. Optimization of an efficient hydroponic cultivation method for high yield of strawberry plants. S. Afr. J. Bot. 2024, 167, 429–440. [Google Scholar] [CrossRef]
  26. Giménez, G.; Andriolo, J.; Godoi, R. Closed soilless growing system for producing strawberry bare root transplants and runner tips. Pesqui. Agropecuária Bras. 2008, 43, 1757–1761. [Google Scholar] [CrossRef]
  27. Preciado-Rangel, P.; Troyo-Diéguez, E.; Valdez-Aguilar, L.A.; García-Hernández, J.L.; Luna-Ortega, J.G. Influence of electrical conductivity management on strawberry yield and fruit quality grown in soilless culture under greenhouse conditions. Can. J. Plant Sci. 2001, 81, 441. [Google Scholar] [CrossRef]
  28. Prasad, R.; Lisiecka, J.; Antala, M.; Rastogi, A. Influence of Different Spent Mushroom Substrates on Yield, Morphological and Photosynthetic Parameters of Strawberry (Fragaria × ananassa Duch.). Agronomy 2021, 11, 2086. [Google Scholar] [CrossRef]
  29. Eyheraguibel, B.; Silvestre, J.; Morard, P. Effects of humic substances derived from organic waste enhancement on the growth and mineral nutrition of maize. Bioresour. Technol. 2008, 99, 4206–4212. [Google Scholar] [CrossRef]
  30. Noguera, P.; Abad, M.; Puchades, R.; Maquieira, A.; Noguera, V. Influence of particle size on physical and chemical properties of coconut coir dust as container medium. Commun. Soil Sci. Plant Anal. 2003, 34, 593–605. [Google Scholar] [CrossRef]
  31. Abad, M.; Noguera, P.; Burés, S. National inventory of organic wastes for use as growing media for ornamental pot-ted plant production: Case study in Spain. Bioresour. Technol. 2001, 77, 197–200. [Google Scholar] [CrossRef]
  32. Ameri, A.; Tehranifar, A.; Davarynejad, G.; Shoor, M. Flowering times and so-me growth indicators of strawberry were affected by physical properties of the growing media. Sci. Hortic. 2020, 272, 109601. [Google Scholar] [CrossRef]
  33. Nguyen, V.T.; Wang, C.H. Use of organic materials as growing media for honeydew melon seedlings in organic agriculture. Commun. Soil. Sci. Plant Anal. 2017, 48, 2137–2147. [Google Scholar] [CrossRef]
  34. Moloșag, A.; Pârvulescu, O.C.; Ion, V.A.; Asănică, A.C.; Soane, R.; Moț, A.; Dobrin, A.; Frîncu, M.; Løes, A.K.; Cabell, J.; et al. Effects of Marine Residue-Derived Fertilizers on Strawberry Growth, Nutrient Content, Fruit Yield and Quality. Agronomy 2023, 13, 1221. [Google Scholar] [CrossRef]
Figure 1. Overview of research.
Figure 1. Overview of research.
Agronomy 15 01133 g001
Figure 2. Growth parameters of strawberries in different strawberry growth media. (A) plant height of treatments. (B) stem diameter of treatments. (C) leaf lenth of treatments. (D) leaf width of treatments. (E) leaf area of treatments. Values are means ± SE. Means with the same letters are not significantly different at p ≤ 0.05 according to Duncan’s test.
Figure 2. Growth parameters of strawberries in different strawberry growth media. (A) plant height of treatments. (B) stem diameter of treatments. (C) leaf lenth of treatments. (D) leaf width of treatments. (E) leaf area of treatments. Values are means ± SE. Means with the same letters are not significantly different at p ≤ 0.05 according to Duncan’s test.
Agronomy 15 01133 g002
Figure 3. Strawberry root system analysis in different strawberry growth media. (A) root longth of treatments. (B) root mean diameter of treatments. (C) root area of treatments. (D) root volume of treatments. Values are means ± SE. Means with the same letters are not significantly different at p ≤ 0.05 according to Duncan’s test.
Figure 3. Strawberry root system analysis in different strawberry growth media. (A) root longth of treatments. (B) root mean diameter of treatments. (C) root area of treatments. (D) root volume of treatments. Values are means ± SE. Means with the same letters are not significantly different at p ≤ 0.05 according to Duncan’s test.
Agronomy 15 01133 g003
Figure 4. Strawberry biomass in different strawberry growth media. (A) fresh weight of treatments. (B) dry weight of treatments. Values are means ± SE. Means with the same letters are not significantly different at p ≤ 0.05 according to Duncan’s test.
Figure 4. Strawberry biomass in different strawberry growth media. (A) fresh weight of treatments. (B) dry weight of treatments. Values are means ± SE. Means with the same letters are not significantly different at p ≤ 0.05 according to Duncan’s test.
Agronomy 15 01133 g004
Figure 5. Statistical analysis of average single berry weight and yield from January to April in different strawberry growth media. (A) single berry weight of treatments. (B) yield of treatments. Values are means ± SE. Means with the same letters are not significantly different at p ≤ 0.05 according to Duncan’s test.
Figure 5. Statistical analysis of average single berry weight and yield from January to April in different strawberry growth media. (A) single berry weight of treatments. (B) yield of treatments. Values are means ± SE. Means with the same letters are not significantly different at p ≤ 0.05 according to Duncan’s test.
Agronomy 15 01133 g005
Figure 6. Correlation analysis of strawberry growth media and growth indicators.
Figure 6. Correlation analysis of strawberry growth media and growth indicators.
Agronomy 15 01133 g006
Figure 7. Bi−dimensional ordering chart of RDA of relationships between strawberry quality and physical and chemical characteristics of growth media.
Figure 7. Bi−dimensional ordering chart of RDA of relationships between strawberry quality and physical and chemical characteristics of growth media.
Agronomy 15 01133 g007
Figure 8. Hierarchical clustering analysis of different strawberry growth media.
Figure 8. Hierarchical clustering analysis of different strawberry growth media.
Agronomy 15 01133 g008
Table 1. Physical and chemical traits of biogas residue.
Table 1. Physical and chemical traits of biogas residue.
Property/Nutrient/MetalValue
Bulk density (BD) (g·cm−3)0.75
Total porosity (TPS) (%)78.51
Aeration porosity (APS) (%)30.78
Water-holding porosity (WHS) (%)47.73
Air-to-water ratio (AWR)1:1.54
Total nitrogen (TN) (%)1.04
Available phosphorus (AP) (%)0.99
Available potassium (AK) (%)0.38
Organic matter (OM) (%)87.7
Electrical conductivity (EC) (ms·cm−1)3.84
pH value8.01
Arsenic (As) (mg·kg−1)1.5
Cadmium (Cd) (mg·kg−1)0.1
Chromium (Cr) (mg·kg−1)7
Mercury (Hg) (mg·kg−1)0.1
Lead (Pb) (mg·kg−1)2.6
Table 2. Experimental design of substrate for the strawberry experiment (v/v).
Table 2. Experimental design of substrate for the strawberry experiment (v/v).
TreatmentBiogas ResiduePeatPerliteVinegar Residue
T11514
T22315
T32314
T42413
T53315
CK-41-
Table 3. Yamazaki strawberry nutrient solution formula.
Table 3. Yamazaki strawberry nutrient solution formula.
CategoryComponentChemical FormulaContent (Per Ton of Water)
A ClassCalcium nitrate tetrahydrateCa(NO3)2·4H₂O236 g
A ClassPotassium nitrateKNO3303 g
B ClassMonoammonium phosphateNH4H2PO457 g
B ClassMagnesium sulfate heptahydrateMgSO4·7H2O123 g
C ClassEDTA ironEDTA Fe20–40 g
C ClassBoron (as boric acid)H3BO32.86 g
C ClassManganese sulfate tetrahydrateMnSO4·4H2O2.13 g
C ClassZinc sulfate heptahydrateZnSO4·7H2O0.22 g
C ClassCopper sulfate (as pentahydrate)CuSO4·5H2O0.08 g
C ClassAmmonium molybdate(NH4)2 MoO40.02 g
Table 4. Physical characteristics of growth media.
Table 4. Physical characteristics of growth media.
TreatmentBD (g·cm−3)TPS (%)APS (%)WHP (%)AWR
T10.22 ± 0.012 ab98.39 ± 0.707 a25.91 ± 2.581 a72.47 ± 2.292 a0.36 ± 0.045 b
T20.23 ± 0.013 ab94.52 ± 0.773 ab30.89 ± 1.488 a63.63 ± 0.731 b0.49 ±0.029 ab
T30.25 ± 0.002 a95.07 ± 1.762 ab31.39 ± 3.451 a63.69 ± 1.770 b0.50 ± 0.066 ab
T40.21 ± 0.004 b85.25 ± 2.043 c29.96 ± 0.390 a55.29 ± 2.472 c0.54 ± 0.032 a
T50.23 ± 0.004 ab85.61 ± 1.936 c23.16 ± 1.342 a62.45 ± 2.074 b0.37 ± 0.028 b
CK0.22 ± 0.010 ab89.15 ± 4.134 bc22.59 ± 4.268 a66.56 ± 0.994 b0.34 ± 0.065 b
Values are means (SD), n = 3. Means in a column followed by the same letter are not significantly different at p ≤ 0.05 according to Duncan’s test. All percentages are based on air-dry weight. BD = bulk density; TPS = total porosity; APS = aeration porosity; WHP = water-holding porosity; AWR = air–water ratio.
Table 5. Chemical characteristics of growth media.
Table 5. Chemical characteristics of growth media.
TreatmentTN (%)AP (mg·kg−1)AK (mg·kg−1)OM (%)pHEC (ms·cm−1)
T12.61 ± 0.08 b112.78 ± 13.48 d231.00 ± 5.51 b45.79 ± 0.77 c5.61 ± 0.09 cd0.91 ± 34.61 b
T22.81 ± 0.12 b118.22 ± 8.39 d238.67 ± 3.38 ab53.22 ± 0.15 a5.45 ± 0.08 d1.05 ± 10.60 ab
T32.90 ± 0.17 ab219.11 ± 15.39 a243.00 ± 3.06 ab48.35 ± 1.60 bc5.71 ± 0.02 c1.13 ± 38.81 a
T42.67 ± 0.01 b163.44 ± 4.59 bc250.67 ± 7.33 a47.32 ± 1.92 bc5.97 ± 0.04 b1.00 ± 17.94 ab
T53.16 ± 0.08 a181.22 ± 4.32 b242.67 ± 4.49 ab50.43 ± 0.76 ab5.92 ± 0.05 b1.10 ± 102.94 a
CK0.80 ± 0.05 c134.78 ± 4.56 cd206.67 ± 6.96 c40.12 ± 1.15 d6.93 ± 0.03 a0.61 ± 14.52 c
Values are means (SD), n = 3. Means in a column followed by the same letter are not significantly different at p ≤ 0.05 according to Duncan’s test. All percentages are based on air-dried weight. TN = total nitrogen; AP = available phosphorus; AK = available potassium; OM = organic matter; pH = pH level; EC = electrical conductivity.
Table 6. Model summary.
Table 6. Model summary.
ModelRR SquaredAdjusted R SquaredStandard Error of EstimateDurbin–Watson
10.7050.4960.34115.48857462.003
20.7520.5650.32815.64538891.77
Table 7. Synthetic evaluation on the growth index of strawberries in different growth media.
Table 7. Synthetic evaluation on the growth index of strawberries in different growth media.
TreatmentPHTSTMLLLWLARL
T10.8874 1.0558 0.9474 0.5357 2.8362 0.0000
T20.9283 0.7488 1.1579 0.8929 1.5256 3.2348
T31.0614 1.8047 1.2105 1.1786 1.2747 1.3123
T40.0000 0.0000 2.7368 1.7143 2.5307 0.0350
T50.0000 0.0000 0.0000 0.0000 0.0000 0.0000
CK0.0000 0.0000 0.0000 0.0000 0.0000 0.0000
TreatmentRMDRARVAFWUFWADW
T12.3904 1.4468 2.0923 0.0000 0.0000 0.0000
T20.1164 0.3086 0.3345 0.1090 0.9401 0.4266
T31.1438 1.0075 0.7272 1.0000 0.4239 1.0000
T41.8904 1.4160 1.4975 0.4731 0.3069 0.1375
T50.0000 0.0000 0.0000 0.4440 1.0000 0.5152
CK0.0000 0.0000 0.0000 0.3520 0.7895 0.5618
TreatmentUDWSBWYieldComprehensive indexOrder
T10.0000 3.0015 2.6995 0.1159 6
T20.4300 0.0000 0.3167 0.4855 4
T31.0000 2.3015 2.0769 0.7669 1
T40.4900 1.1293 1.5015 0.3768 5
T50.8500 0.0000 0.0000 0.6551 2
CK0.1400 0.0000 0.0000 0.5442 3
The comprehensive index was calculated according to Meng [1] as follows: CI = (X − X min)/(X max − X min). X was the observed value, X min was the minimum value, and X max was the maximum value of the measured parameter. PHT = plant height; STM = stem thickness; LL = leaf length; LW = leaf width; LA = leaf area; RL = root length; RMD = root mean diameter; RA = root area; RV = root volume; AFW = aboveground fresh weight; UFW = underground fresh weight; ADW = aboveground dry weight; UDW = underground dry weight; SBW = single berry weight; Yield = per plant yield.
Table 8. Traditional analysis of taste components in strawberries.
Table 8. Traditional analysis of taste components in strawberries.
TreatmentSSC (%)VC (mg·100 g−1)TA (%)SSC/TA RatioBF (g·cm−2)
T18.77 ± 0.17 ab77.66 ± 4.64 a0.58 ± 0.02 a15.16 ± 0.56 b2.42 ± 0.06 ab
T210.05 ± 0.69 a80.24 ± 1.11 a0.49 ± 0.02 abc20.43 ± 0.63 ab2.43 ± 0.05 ab
T310.00 ± 0.23 a77.79 ± 1.71 a0.42 ± 0.03 bc23.79 ± 1.40 a2.76 ± 0.09 a
T49.68 ± 0.48 a77.79 ± 1.71 a0.38 ± 0.03 c25.56 ± 1.89 a2.26 ± 0.01 b
T59.58 ± 0.44 a72.51 ± 1.28 a0.42 ± 0.08 bc24.35 ± 4.54 a2.64 ± 0.28 ab
CK7.77 ± 0.35 b79.98 ± 2.78 a0.55 ± 0.03 ab14.20 ± 0.88 b2.63 ± 0.01 ab
Values are means (SD), n = 3. Means in a column followed by the same letter are not significantly different at p ≤ 0.05 according to Duncan’s test. SSC = soluble solid content; VC = vitamin C; TA = titratable acidity; SSC/TA Ratio = soluble solid content/titratable acidity; BF = berry firmness.
Table 9. Synthetic evaluation on the quality of strawberries.
Table 9. Synthetic evaluation on the quality of strawberries.
TreatmentVCSSCTASSC/TAFMComprehensive IndexOrder
T10.66650.43801.17650.08450.32000.53714
T21.00001.00000.64710.54840.34000.70712
T30.68290.97810.23530.84421.00000.74811
T40.68290.83800.00001.00000.00000.50426
T50.00000.79560.23530.89350.76000.53695
CK0.96640.00001.00000.00000.74000.54133
Table 10. Comparison of costs among different strawberry growth media.
Table 10. Comparison of costs among different strawberry growth media.
TreatmentInput Structure (10,000 CNY·hm−2)Total Investment
(10,000 CNY·hm−2)
Revenue (10,000 CNY·hm−2)Net Revenue (10,000 CNY·hm−2)Order
Greenhouse Leasing Production MaterialsOthers
T112.6046.8813.5072.98121.1548.186
T212.6040.8913.5066.99139.1372.153
T312.6039.9813.5066.08169.69103.611
T412.6045.0613.5071.16126.8555.695
T512.6040.8913.5066.99158.5091.512
CK12.6078.2713.50104.37148.1543.794
The costs of production materials mainly include expenses for growth media, seedlings, bees, pesticides, and fertilizers. Other costs mainly include labor fees and utility expenses, such as water and electricity. The costs of production media include the purchase expenses for peat, vinegar, and perlite. Peat cost 488 CNY·m−3, vinegar cost 80 CNY·m−3, and perlite cost 122 CNY·m−3. No costs were calculated for biogas residues. The cost of seedlings was 1.2 CNY per plant. Labor costs mainly include the expenses for managing a full-time worker’s daily operations, as well as some temporary worker costs. These expenses cover activities such as planting strawberry seedlings, leaf trimming, mixing growth media, and filling growth media into the strawberry cultivation racks. The strawberry harvesting period is from January to April of the second year, and the prices fluctuate significantly. The estimated average selling price is 40 CNY kg−1.
Disclaimer/Publisher’s Note: The statements, opinions and data contained in all publications are solely those of the individual author(s) and contributor(s) and not of MDPI and/or the editor(s). MDPI and/or the editor(s) disclaim responsibility for any injury to people or property resulting from any ideas, methods, instructions or products referred to in the content.

Share and Cite

MDPI and ACS Style

Zhou, J.; Zhang, X.; Wang, B.; Zhang, J.; Wang, X.; Shi, X. Strawberry Growth Medium Made with Biogas Residues: Feasibility and Economic Benefit Potential. Agronomy 2025, 15, 1133. https://doi.org/10.3390/agronomy15051133

AMA Style

Zhou J, Zhang X, Wang B, Zhang J, Wang X, Shi X. Strawberry Growth Medium Made with Biogas Residues: Feasibility and Economic Benefit Potential. Agronomy. 2025; 15(5):1133. https://doi.org/10.3390/agronomy15051133

Chicago/Turabian Style

Zhou, Jing, Xiaochen Zhang, Baoping Wang, Jitao Zhang, Xiuhong Wang, and Xiangyuan Shi. 2025. "Strawberry Growth Medium Made with Biogas Residues: Feasibility and Economic Benefit Potential" Agronomy 15, no. 5: 1133. https://doi.org/10.3390/agronomy15051133

APA Style

Zhou, J., Zhang, X., Wang, B., Zhang, J., Wang, X., & Shi, X. (2025). Strawberry Growth Medium Made with Biogas Residues: Feasibility and Economic Benefit Potential. Agronomy, 15(5), 1133. https://doi.org/10.3390/agronomy15051133

Note that from the first issue of 2016, this journal uses article numbers instead of page numbers. See further details here.

Article Metrics

Back to TopTop