Abstract
Pyroligneous acid (PA) or wood vinegar, a co-product of biomass pyrolysis, is thought to be beneficial for plant productivity and soils, with the potential to reduce otherwise harmful agrochemicals. Here, we review the evidence for the use of PA on plant growth and soil health parameters. The analysis includes 65 peer-reviewed studies with 171 (yield) and 123 (plant biomass) data sets, covering 33 different crops belonging to 6 plant groups. Significant positive, non-linear relationships between PA concentration, yield, and plant biomass were found at concentrations as low as 0.1%, with the optimum at around 0.5–1% and overall positive effects up to 6–11% (depending on the application type), but yield declines above these concentrations, suggesting herbicidal effects. Across the whole data set, yield and biomass increase by an average of 21% and 25%, respectively, and by an average of 31% at the optimum rate. The positive effect of PA is most pronounced for plant growth under sub-optimal conditions (salt, drought, and pathogens), while responses did not differ between plant groups. Soil organic matter content shows a small but significant positive response to PA application, but the amount of data is very small compared to the plant parameters. The major shortcomings identified include inconsistent measures of applied PA (amount and composition) and the short duration of experiments of typically only 1–2 growing seasons, which prevents analysis of long-term PA effects. Overall, the results of this review encourage further research on PA for sustainable agriculture.
1. Introduction
Pyroligneous acid (PA), also called wood vinegar or wood distillate, is a by-product of biomass pyrolysis and biochar production that has gained attention in sustainable agriculture due to its multifaceted properties and potential environmental benefits [1,2]. Composed of a complex mixture of organic acids, phenols, and other compounds, PA has been studied for its ability to improve soil health [3], stimulate plant growth, and enhance crop yields [1,2]. Its use can promote eco-friendly agricultural practices and mitigate the negative impacts of chemical fertilizers [4,5], herbicides [6], and pesticides [7]. It also has the potential to make agricultural production more economically viable by replacing the use of agrochemicals. PA’s effects on plant growth and yield have been attributed to its capacity to influence nutrient availability [8,9,10], suppress pathogens [11,12,13], and stimulate root development [14]. Moreover, incorporating PA into agricultural systems has been hypothesized to impact soil carbon by means of different mechanisms, such as promoting microbial activity or introducing organic matter [3].
This review aims to synthesize peer-reviewed research investigating the impact of PA on soil carbon and plant productivity. By integrating data from various studies, a comprehensive evaluation of PA’s effectiveness is provided. The available literature was analyzed, focusing on key factors influencing PA’s performance across various agricultural contexts and the possibility of assessing optimal application conditions.
This review provides a summary of the current state of research concerning the effect of PA application on plant growth/productivity and soil organic carbon (SOC), offering insights that guide future research and the utilization of PA in agriculture.
2. Materials and Methods
Web of science and google scholar were used for the initial search in August and September 2024 for papers in the field of PA in agriculture using the three keywords “wood vinegar” OR “wood distillate” OR “pyroligneous acid” within the article titles, abstracts, and keywords. Only papers published in peer-reviewed journals and written in English were considered. The papers were selected if they contained, as a minimum, data related to at least one of these parameters: the final consumable yield of the plant, plant biomass, soil organic matter (SOM), or soil total organic carbon (TOC).
An additional important criterion was that the study included a control with the sole difference of not applying PA. In most studies, this control group was treated with an equivalent amount of water; however, studies were also selected if the control already included other substances (fertilizer, insecticide, seawater, etc.) as long as there were data with only PA added relative to the control. Substances related to pyroligneous acid, such as liquid smoke or Coriphol™, were not considered.
In the second step, all related papers and references cited in the previously found papers were searched and selected based on the same criteria as described above.
The following data were extracted from the selected studies if available:
- Plant species;
- Yield data or increase;
- Plant biomass data or increase;
- SOM data or increase;
- TOC data or increase;
- Soil microbial biomass data or increase;
- Duration of the experiment;
- PA characteristics, including feedstock material, pyrolytic conditions, pH, and chemical composition;
- Type of application (i.e., foliar application or soil irrigation);
- Amount of application in concentration or recalculated to the application rate in t/ha;
- Frequency of application;
- Soil information (pH and classification);
- Growth conditions;
- Additional information was collected if the studies applied PA in combination with biochar.
Data analysis was performed using R version 4.4.2. If the data were provided in figures or plots only, the R package ‘metaDigitaliser’ was used to digitalize and access the data numerically. The change in yield and plant biomass after PA application (further described as the percentage of increase) was analyzed in relation to the application conditions (application type, concentration, and frequency of application). We derived quantitative relationships for the dependence of biomass and yield change on PA concentration and the amount of PA applied. To make the latter comparable between studies with different durations and frequencies of PA application, we first calculated the ratio of the number of applications to the experimental duration in weeks, which we then multiplied by the concentration. This gives the total amount of PA applied in formal units [%/week]. This factor we refer to as the calculated amount.
SOM, TOC, dissolved organic carbon (DOC), and soil microbial biomass were analyzed as only dependent on the PA concentration and calculated amount and not on application conditions due to the small sample size. The change in plant yield was also analyzed in relation to responses to the stress factors (high salt concentrations in the growing medium, drought, or biotic stress, i.e., pathogens) deliberately applied in some studies.
Statistical relevance was investigated for all data in R. The Shapiro–Wilk normality test was applied to determine whether the data has a normal distribution (p > 0.05) or not (p < 0.05). For non-normal distributed data of the changes after PA application (increase in %), a Wilcoxon signed rank test with continuity correction was applied, with H0:PA does not induce any changes in yield, plant biomass, and soil parameters (p > 0.05). For normal distributed data of the change after PA application, a one-sample t-test was applied. The statistical relevance of comparisons between two subgroups, such as studies with and without stress, was determined by a Welch two-sample t-test. Differences in yield response to PA between plant groups were analyzed using ANCOVA, with PA application rate as a covariate.
3. Results
Overall, 65 studies [4,5,6,7,8,9,10,11,12,13,14,15,16,17,18,19,20,21,22,23,24,25,26,27,28,29,30,31,32,33,34,35,36,37,38,39,40,41,42,43,44,45,46,47,48,49,50,51,52,53,54,55,56,57,58,59,60,61,62,63,64,65,66,67,68] were selected and analyzed. Most of them (63 papers) included data on yield and/or plant biomass, while the data on the required soil parameters were very limited, with only 21 papers containing relevant data [6,8,14,17,20,22,25,32,33,53,55,58,59,60,61,62,63,64,65,67,68] (Table S1). The average experimental duration was 7 months. A total of 171 data sets reported effects on yield, the majority of which used PA as a foliar (88) or irrigation (75) application, with seed priming playing a minor role. A total of 123 datasets reported the effects of PA on plant biomass, the majority of which were applied as foliar (50) or irrigation (66). With regard to PA properties, chemical data were often not provided or not provided in a coherent manner, which excluded them from further interpretation. The pH of PA was reported in 26 cases, with a mean (one SD) of 3.5 (0.8).
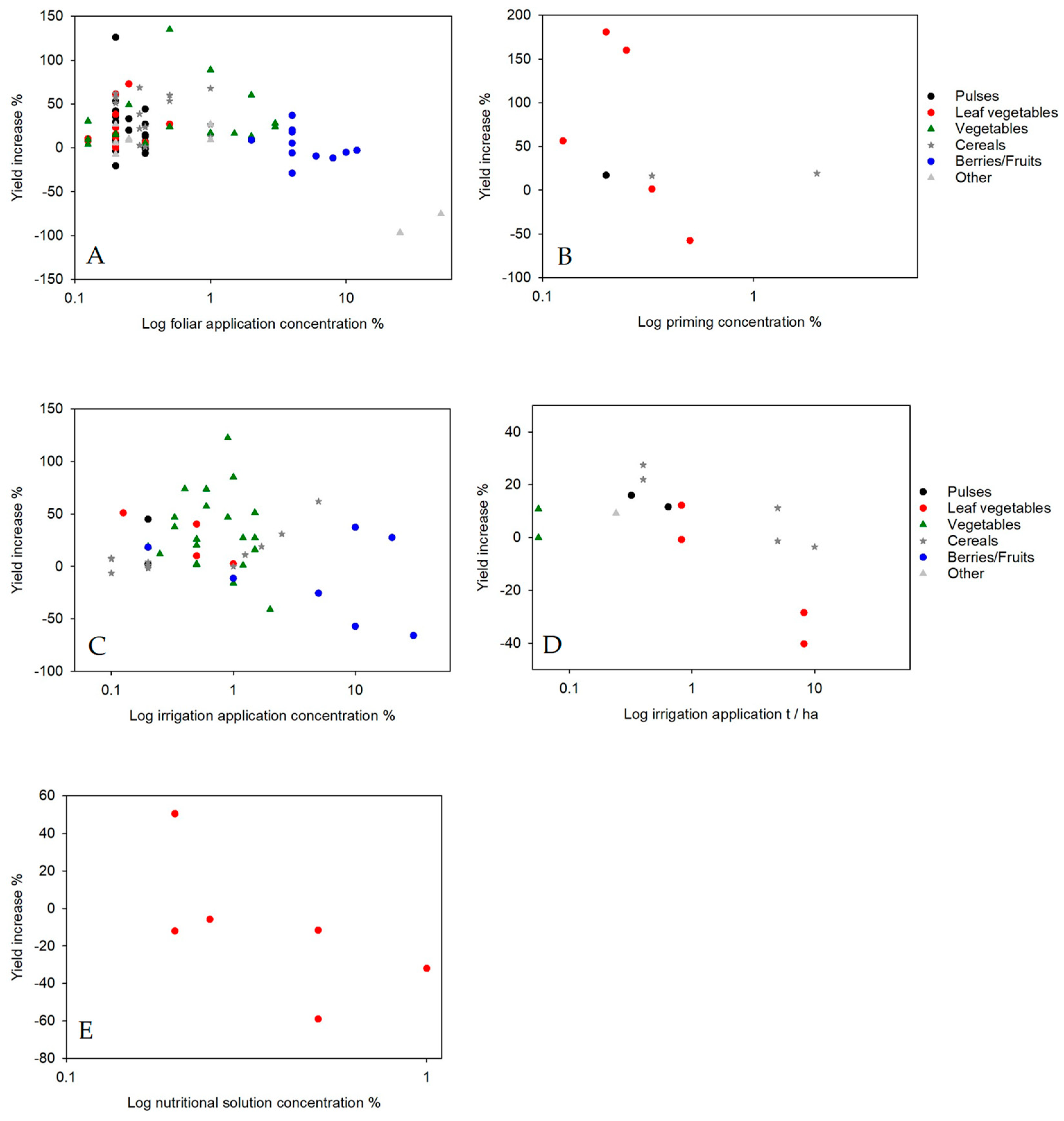
The studies were performed with 33 different plant species, here organized into five groups: vegetables, leaf vegetables, pulses, cereals, berries/fruits, and others (Figure 1). There is no significant different trend in the effect of PA application on different plant groups (Figure A1).
Figure 1.
Distribution of studies across plant group and species.
3.1. PA Effects on Yield and Biomass
In the short-term experiments, there was a clear and significant (p < 0.001) yield increase after PA application of, on average, 21%. The yield is the consumable part of the plant and is described in the studies as yield, grain/pod weight, or aboveground fresh weight for leaf vegetables. The plant biomass also increased significantly (p < 0.001) by, on average, 25% (Figure 2). One study that used PA application at high concentrations >25% exclusively for herbicidal purposes [43] was excluded from the average and the box plot of the plant biomass. However, their data is shown at the concentrations 25%, 50%, and 100%.
Figure 2.
Box plot of all yield (n = 168) and plant biomass (n = 120) data. Results from intentionally herbicidal application of pyroligneous acid were excluded.
There is a clear non-linear relationship between PA application concentration, rate, and frequency on the change in yield and biomass. This trend is most pronounced with foliar applications of different concentrations (Figure 3). As the amount of PA solution applied for foliar spraying in each study was chosen to cover all plant surfaces, the PA application concentration is a comparable factor across all studies. Therefore, the concentration of the PA solution is a good variable for comparison between the studies using foliar applications. The yield increase is high at low concentrations of PA, with the maximum at approximately 0.6% PA foliar application. Higher PA concentrations limit the positive effect, and concentrations above 6% can harm plants and substantially reduce the yield.
Figure 3.
(A) Average yield increase from different concentrations of foliar pyroligneous acid application, (B) individual values of foliar pyroligneous acid application with fitted averages, including data from stress response studies (i.e., high salt concentrations, drought, or pathogens; red), (C) average yield increase from different concentrations of soil irrigation pyroligneous acid application if given in concentration, (D) individual values of soil irrigation pyroligneous acid application with fitted averages, including data from stress response studies (red). The maxima of the curve fits are 32.8% (top right) and 26.5% (bottom right); negative responses occur above 6 and 11%, respectively.
This trend is also visible when PA is applied with soil irrigation techniques (Figure 3 and Figure 4) and other applications, such as seed priming and in addition to nutritional solutions (Figure 4). With soil irrigation, the variability in the individual yield results, when plotted against irrigation concentrations, is high. The given irrigation concentration does not indicate the amount of PA that is applied to the soil, and in most studies, the provided information is not sufficient to certainly estimate the final PA amount. Moreover, studies giving the irrigation application in PA concentrations are not comparable to studies that give the application rate in t/ha (Figure 4A). Therefore, the concentration of the irrigation solution alone is not a good parameter for comparison between studies and evaluating effects. Two additional PA application methods were analyzed: seed priming (n = 8) and PA in the nutritional solution (n = 6) of hydroponic cultivation (Figure 4). Both show positive effects on plant yield at low concentrations (<0.3%). Both of these methods have shown a high sensitivity to different concentrations, with negative effects already starting from PA concentrations above 0.3%. However, the sample size for these application methods is very small (Figure A1), therefore not allowing a well-founded statement.
Figure 4.
(A) Average yield increase from different irrigation application rates in t/ha of pyroligneous acid, (B) average yield increase from different seed priming pyroligneous acid concentrations, (C) average yield increase from different pyroligneous acid concentrations in nutritional solutions.
The results shown in Figure 3 and Figure 4 demonstrate that different ways of PA application can have a positive effect on the final yield of different plants when applied at the right concentration or rate. The higher variability in the yield results from PA soil irrigation is caused by the difficulty in comparing the studies to one another and not necessarily due to higher variability induced by the irrigation method itself.
Figure 5 shows all yield results plotted against the application concentration of PA, demonstrating that PA has a positive effect on plant yield at low application concentrations up to approximately 5% and a yield reduction at higher concentrations. Optimal PA application concentrations are expected between 0.5% and 1% and potentially vary depending on the external conditions (soil, PA quality, etc.) and plant species. When plotted against the calculated PA amount, taking the application frequency into account, the same non-linear relationship was detected (Figure 5, right panel).
Figure 5.
(A) Yield results from foliar, soil irrigation, nutritional solution, and seed priming application combined (excluding soil irrigation with t/ha application due to incompatible application rates), with the studies analyzing stress (i.e., high salt concentrations, drought, or pathogens) in red, (B) yield results from foliar, soil irrigation, nutritional solution, and seed priming application combined, plotted against the calculated amount of pyroligneous acid. The maxima of the curve fits are 29.7% (left) and 25.4% (right); a negative response (left panel) occurs above 7%.
Seven studies analyzed whether PA application promotes stress tolerance in plants against high salt concentrations in the growing medium, drought, and biotic stresses by inoculation with pathogens [11,12,26,30,47,60,67], shown in red in Figure 3, Figure 5 and Figure 6. In all seven studies, there is a significantly increased positive effect of PA on yield and plant biomass when applied to plants under stress. Additionally, the yield and plant biomass increases in stressed plants are also significantly (p < 0.003) higher when compared to the results of all other studies applying comparable concentrations of PA (0.2–3%). Therefore, the application of PA is favorable in suboptimal initial conditions. It can, for example, reduce yield loss in saline soil, potentially through lowering soil pH and decreasing soil alkalinity by acid-base neutralization [26,30,41] and in disease-infected plants [11,12,13].
Figure 6.
(A) Plant biomass results from foliar, soil irrigation, nutritional solution, and seed priming application combined (excluding soil irrigation with t/ha application due to incompatible application rates), with the studies analyzing stress (i.e., high salt concentrations, drought, or pathogens;) in red, (B) plant biomass results from foliar, soil irrigation, nutritional solution, and seed priming application combined, plotted against the calculated amount of pyroligneous acid. Maxima of curve fits are 33.3% (left) and 30.6% (right) plant biomass increase; negative response (left panel) occurs above 7%.
Plant biomass data include plant parameters other than yield, such as aboveground fresh or dry weight, total fresh or dry weight, plant height, and leaf area. They are expected to be parameters for plant growth in general. The aboveground fresh/dry weight of leaf vegetables, like lettuce or basil, are counted in both categories: yield and plant biomass.
The results regarding plant biomass are very similar to the yield results and show the same non-linear relationship between plant biomass increase and concentration or calculated amount (Figure 6). This shows that PA application has a similarly positive effect on plant growth and final consumable yield at concentrations up to approximately 5% and a harmful effect at high concentrations.
3.2. PA Effects on Soil Organic Matter and Soil Carbon
The effect of PA application on soil parameters is only analyzed in a very limited way and mostly only as additionally measured parameters in the studies. Papers using foliar PA application with measured soil parameters were included in the review under the assumption that some of the PA applied to the plants reaches the soil as well.
Of the papers that contain soil data, SOM was most frequently studied. There was a significant increase (p < 0.005) of, on average, 9% in SOM content after PA application (Figure 7). There is a significant linear relationship (p = 0.018) between the SOC and the application concentration, as well as the calculated amount, with higher PA application leading to higher SOM values in the soil (Figure A2 and Figure A3).
Figure 7.
Box plot of the collected soil parameters of total organic carbon TOC (n = 14), soil organic matter SOM (n = 27), dissolved organic carbon DOC (n = 7), and soil microbial biomass (n = 9) after application of pyroligneous acid.
TOC shows no significant change (p = 0.22) after PA application. However, as this result is based on only 14 short-term studies, the real effect of continuous PA application on soil carbon could differ. There is a significant (p = 0.035; n = 7, with one outlier excluded) increase in DOC in soil, similar to SOM. Again, it is possible that this increase can be attributed to the organic matter introduced by the PA, and more data are necessary to identify the underlying factors and processes. The detected increase in soil microbial biomass is not statistically significant (p > 0.19). There are additional studies concerning the effect of PA on the microbiome that were not considered in this review.
Eleven of the analyzed studies contained data on the effect of PA with biochar and biochar alone on yield and soil carbon [8,29,31,34,44,55,56,60,63,64,69]. There are a larger number of studies concerning biochar and PA combined that were not reviewed because of a lack of data on individual PA applications. The results of this small sample size (Table A1) show that the yield increase from PA and biochar combined (an average of plus 43.2%) is higher than with the application of only PA (24.3%) or only biochar (28.4%). However, this difference is not statistically significant (p-values > 0.39). As expected, the increase in TOC and SOM is remarkably and significantly (p-value = 0.03) higher in the combination (139.8%) than with only PA application (15.3%).
4. Discussion and Conclusions
In total, 65 peer-reviewed papers were analyzed for the effect of PA on soil carbon, plant growth, and the final consumable yield of 33 different crops. The increase or decrease in the percent of plant biomass, yield, and soil parameters after PA application was calculated compared to the control of each experiment and then set into a comparison between studies. The results of individual studies depend on many different factors, such as the plant species, the quality and amount of applied PA, the soil, and the growing conditions. The range of PA characteristics is an important factor in the variability in plant responses to applications. PA is a co-product of biomass pyrolysis, and its properties, such as its chemical composition or pH, vary depending on the feedstock and pyrolysis conditions. Only in the case of pH were sufficient data available to provide, at least, an average. In addition, most studies did not provide sufficient information on the exact amount of PA applied but rather on the application rate or PA solution concentration, which introduces an additional source of variability in the comparison between studies. For specific recommendations and a better understanding of the effect of important factors that determine PA performance in different agricultural contexts, future studies should include consistent measures of the amount and composition of PA applied.
Nevertheless, in all the analyzed studies, PA shows a clear and significant positive effect on plant growth, with a 25% increase in plant biomass and a 21% increase in the yield of the studied crops. This positive effect is seen with different ways of PA application (i.e., foliar or soil irrigation) but is highly dependent on the concentration and amount of applied PA. Aggregating all data, this review found an average optimal application concentration range of 0.5–1% and an optimal rate of <0.1 t/ha. The positive effect of PA application is most pronounced for plant growth in suboptimal initial conditions with stress factors (salt, drought, or pathogens), where it can reduce yield loss. Above a 6% PA concentration, it can limit plant growth, and above 10% PA can be used for herbicidal purposes due to its harmful effect. The robustness of these results is supported by the fact that the magnitude of the observed effects is similar to the analysis of the effect of PA concentration and the effect of the calculated amount, which also takes into account the frequency of application. However, we emphasize that these generic significant effects are associated with large variability and that documenting relationships does not replace the need to test the effects of PA for individual combinations of crops and environmental conditions. Many of the analyzed studies provide insights into possible mechanisms for increasing plant productivity, such as increased nutrient content, photosynthetic activity, stress tolerance, seedling and root development, and growth-promoting bacteria, but not to a sufficient extent that allows for systematically evaluating the modes of action.
The effect of PA on the soil was analyzed in very few studies. Of the included soil parameters (TOC, SOM, DOC, and soil microbial biomass), SOM and DOC show a statistically relevant increase of 9% each. This increase may be derived from the organic matter in PA only or be related to the observed stimulated plant productivity. However, the studies that measured SOM did not provide sufficient information to calculate the exact amount of PA applied to a given mass of soil. Therefore, it was not detectable whether this increase in SOM is different from the organic matter introduced to the soil from the PA itself. Other factors, such as additional microbial biomass due to increased root growth or plant biomass and altered microbial activity, could have an important impact, too. Together, more research is needed to make well-founded statements about the effects and mechanisms of PA application on SOM.
Lastly, it is important to note that these results are based on short-term experiments of one to two growing cycles only. There is no research at all on the longer-term effect of PA application in agriculture exceeding two years. Therefore, this review reveals a strong research gap. Especially for the soil parameters, the long-term effect would be very interesting to study, as PA’s detected effect on biomass and the microbiome could have a profound and, to date, unknown influence on soil carbon in longer timescales.
In conclusion, the benefits of PA as a cost-effective means of improving agricultural sustainability have been previously highlighted and have already led to legislation for its use in various countries [70]. Our review supports this claim with comprehensive and quantitative evidence and suggests further structured research, particularly on the underlying mechanisms.
Supplementary Materials
The following supporting information can be downloaded at: https://www.mdpi.com/article/10.3390/agronomy15040927/s1, Table S1: original data used for the figures and their references.
Author Contributions
Conceptualization, J.L. and I.W.; methodology, J.L. and I.W.; literature research, data compilation, formal and statistical analysis, I.W.; writing—original draft preparation, I.W.; review and editing, J.L.; project administration and funding acquisition, J.L. All authors have read and agreed to the published version of the manuscript.
Funding
This research was partially funded by Innosuisse funding application No. 70300.1 INNO-LS.
Data Availability Statement
The original data presented in the study are included in the Supplementary Materials.
Acknowledgments
The authors gratefully acknowledge the fruitful exchange with Nando Breiter and Samuel Unterhofer, CarbonZero Sagl.
Conflicts of Interest
The authors declare no conflicts of interest. The funders had no role in the design of the study; in the collection, analyses, or interpretation of data; in the writing of the manuscript; or in the decision to publish the results.
Abbreviations
The following abbreviations are used in this manuscript:
| PA | Pyroligneous acid |
| SOM | Soil organic matter |
| DOC | Dissolved organic carbon |
| TOC | Total organic carbon |
Appendix A
Figure A1.
(A) Yield results according to their plant groups of upper left foliar pyroligneous acid application concentration on a logarithmic scale, (B) seed priming pyroligneous acid concentration on a logarithmic scale, (C) soil irrigation/fertigation pyroligneous acid application concentration on a logarithmic scale, (D) soil irrigation pyroligneous acid application rate in t/ha on a logarithmic scale, and (E) pyroligneous acid concentration in nutritional solutions on a logarithmic scale for leaf vegetables.
Figure A1.
(A) Yield results according to their plant groups of upper left foliar pyroligneous acid application concentration on a logarithmic scale, (B) seed priming pyroligneous acid concentration on a logarithmic scale, (C) soil irrigation/fertigation pyroligneous acid application concentration on a logarithmic scale, (D) soil irrigation pyroligneous acid application rate in t/ha on a logarithmic scale, and (E) pyroligneous acid concentration in nutritional solutions on a logarithmic scale for leaf vegetables.

Figure A2.
Soil data for all four parameters of dissolved organic carbon (DOC), (soil) organic matter (OM), soil microbial biomass (Soil.biomass), and total (organic) carbon in the soil (TOC/TC) plotted against the calculated amount of applied pyroligneous (PA) acid on a logarithmic scale.
Figure A2.
Soil data for all four parameters of dissolved organic carbon (DOC), (soil) organic matter (OM), soil microbial biomass (Soil.biomass), and total (organic) carbon in the soil (TOC/TC) plotted against the calculated amount of applied pyroligneous (PA) acid on a logarithmic scale.

Figure A3.
Soil data for all four parameters dissolved organic carbon (DOC), (soil) organic matter (OM), soil microbial biomass (Soil.Biomass), and total (organic) carbon in the soil (TOC/TC) plotted against the concentration of applied pyroligneous (PA) acid on a logarithmic scale.
Figure A3.
Soil data for all four parameters dissolved organic carbon (DOC), (soil) organic matter (OM), soil microbial biomass (Soil.Biomass), and total (organic) carbon in the soil (TOC/TC) plotted against the concentration of applied pyroligneous (PA) acid on a logarithmic scale.

Table A1.
Results for yield and soil parameters from studies, including the combined application of pyroligneous acid and biochar.
Table A1.
Results for yield and soil parameters from studies, including the combined application of pyroligneous acid and biochar.
| Added Biochar | Yield Increase % Combination | Yield Increase % PA Application | Soil Parameter Increase % Combination | Soil Parameter Increase % PA application | Parameter |
|---|---|---|---|---|---|
| 2% | 36 | 2.4 | 20 | −1 | TOC |
| 1% | 15.3 | 2.3 | 14.6 | 0.8 | TOC |
| 1.50% | 4.75 | 18 | 90 | 50 | SOM |
| 0.50% | 0 | 11.2 | |||
| 0.50% | −8.7 | −3.5 | |||
| 7.5 t/ha | 15.9 | 11.2 | |||
| 7.5 t/ha | 5.2 | −1.3 | |||
| 0.04% | 62 | 2 | |||
| 5% | −14.9 | 46 | |||
| Seed coating | 20 | 19 | |||
| 1.50% | 166 | 56 | 160 | 4 | SOM |
| 3% | 220 | 113 | 351 | 12.3 | SOM |
| 1.50% | 35 | 28.5 | SOM | ||
| 1.50% | 133 | 16.7 | TOC | ||
| 15% | 40 | 40 | 315 | 11 | TOC |
| Average | 43.2 | 24.3 | 139.8 | 15.3 |
References
- Grewal, A.; Abbey, L.; Gunupuru, L.R. Production, prospects and potential application of pyroligneous acid in agriculture. J. Anal. Appl. Pyrolysis 2018, 135, 152–159. [Google Scholar] [CrossRef]
- Ferrarin, M.; Becagli, M.; Guglielminetti, L.; Cardelli, R. Wood distillate, a review over past application and future perspective on soil and plant research. Agrochimica 2022, 65, 17–24. [Google Scholar] [CrossRef]
- Sivaram, A.K.; Panneerselvan, L.; Mukunthan, K.; Megharaj, M. Effect of pyroligneous acid on the microbial community composition and plant growth-promoting bacteria (PGPB) in soils. Soil Syst. 2022, 6, 10. [Google Scholar] [CrossRef]
- Masum, S.M.; Malek, M.; Mandal, M.S.H.; Haque, M.N.; Akther, Z. Influence of plant extracted pyroligneous acid on transplanted aman rice. J. Expt. Biosci. 2013, 4, 31–34. [Google Scholar]
- Lee, J.K.; Park, H.J.; Cha, S.J.; Kwon, S.J.; Park, J.H. Effect of pyroligneous acid on soil urease, amidase, and nitrogen use efficiency by Chinese cabbage (Brassica campestris var. Pekinensis). Environ. Pollut. 2021, 291, 118132. [Google Scholar] [CrossRef]
- Seo, P.D.; Ultra, V.U., Jr.; Rubenecia, M.R.U.; Lee, S.C. Influence of herbicides-pyroligneous acids mixtures on some soil properties, growth and grain quality of paddy rice. Int. J. Agric. Biol. 2015, 17, 499–506. [Google Scholar] [CrossRef]
- Iacomino, G.; Idbella, M.; Staropoli, A.; Nanni, B.; Bertoli, T.; Vinale, F.; Bonanomi, G. Exploring the potential of wood vinegar: Chemical composition and biological effects on crops and pests. Agronomy 2024, 14, 114. [Google Scholar] [CrossRef]
- Zhang, Y.; Wang, X.; Liu, B.; Liu, Q.; Zheng, H.; You, X.; Sun, K.; Luo, X.; Li, F. Comparative study of individual and co-application of biochar and wood vinegar on blueberry fruit yield and nutritional quality. Chemosphere 2020, 246, 125699. [Google Scholar] [CrossRef]
- Fedeli, R.; Vannini, A.; Celletti, S.; Maresca, V.; Munzi, S.; Cruz, C.; Alexandrov, D.; Guarnieri, M.; Loppi, S. Foliar application of wood distillate boosts plant yield and nutritional parameters of chickpea. Ann. Appl. Biol. 2022, 182, 57–64. [Google Scholar] [CrossRef]
- Fedeli, R.; Vannini, A.; Guarnieri, M.; Monaci, F.; Loppi, S. Bio-based solutions for agriculture: Foliar application of wood distillate alone and in combination with other plant-derived corroborants results in different effects on lettuce (Lactuca sativa L.). Biology 2022, 11, 404. [Google Scholar] [CrossRef]
- El-Fawy, M.M.; Saeed, A.S.; Abou-Shlell, M.K.; Soliman, M.A.; Ali, E.F.; Issa, A.A.; Abo-Elyousr, K.A.M.; Imran, M.; El-Nagar, A.S. Effectiveness of biochar and wood vinegar from guava trees in controlling Fusarium verticillioides and enhancing growth and anatomical traits of maize (Zea mays L.). J. Plant Dis. Prot. 2024, 131, 2029–2043. [Google Scholar] [CrossRef]
- Zhou, H.; Fu, K.; Shen, Y.; Li, R.; Su, Y.; Deng, Y.; Xia, Y.; Zhang, N. Physiological and biochemical mechanisms of wood vinegar-induced stress response against tomato fusarium wilt disease. Plants 2024, 13, 157. [Google Scholar] [CrossRef]
- El-Fawy, M.M.; Abo-Elyousr, K.A.M.; Sallam, N.M.A.; El-Sharkawy, R.M.I.; Ibrahim, Y.E. Fungicidal effect of guava wood vinegar against colletotrichum coccodes causing black dot disease of potatoes. Horticulturae 2023, 9, 710. [Google Scholar] [CrossRef]
- Zhou, X.; Shi, A.; Rensing, C.; Yang, J.; Ni, W.; Xing, S.; Yang, W. Wood vinegar facilitated growth and Cd/Zn phytoextraction of sedum alfredii hance by improving rhizosphere chemical properties and regulating bacterial community. Environ. Pollut. 2022, 305, 119266. [Google Scholar] [CrossRef] [PubMed]
- Rogelio, R.M. Alternative growth ehancers for rice production: Usefulness of wood ainegar (PA) in irrigated rice (PSB Rc18). J. Biol. Agric. Healthc. 2018, 8, 82–98. [Google Scholar]
- Lee Sang-Chul, C.M.R.; Souvandouane, S.; Mintah, L.O.; Chung, I.; Son, T.K. Effects of mixed application of wood vinegar and herbicides on weed control, yield and quality of rice (Oryza sativa L.). Korean J. Crop Sci. 2007, 52, 387–392. [Google Scholar]
- Pangnakorn, U.; Watanasorn, S.; Kuntha, C.; Chuenchooklin, S. Application of wood vinegar to fermented liquid bio-fertilizer for organic agriculture on soybean. Asian J. Food Agro-Ind. 2009, 2, 189–196. [Google Scholar]
- Zulkarami, B.; Ashrafuzzaman, M.; Husni, M.O.; Ismail, M.R. Effect of pyroligneous acid on growth, yield and quality improvement of rockmelon in soilless culture. Aust. J. Crop Sci. 2011, 5, 1508–1514. [Google Scholar]
- Larbi, V.A. Haskap (Lonicera caerulea L.) Plant Reponse to Varying Frequency and rate of Pyroligneous Acid with Added Liquid Seqweed Extract. Master’s Thesis, Dalhousie University, Halifax, NS, Canada, 2020. [Google Scholar]
- Travero, J.T.; Mihara, M. Impacts of Pyroligneous Acid to Biological and Chemical Properties of Depleted Soil in Bohol, Philippines. Int. J. Environ. Rural Dev. 2015, 6, 132–137. [Google Scholar]
- Praveena, R.; Thilagavathi, T.; Janaki, D.; Eevera, T.; Anitha, K. Influence of pyroligneous acid (PA) as a foliar nutrition on growth and yield parameters of green gram under sodic soil. Pharma Innov. J. 2021, 10, 1196–1200. [Google Scholar]
- Togoro, A.H.; dos Santos da Silva, A.H.; Cazetta, J.O. Chemical changes in an oxisol treated with pyroligneous acid. Ciênc. Agrotec. 2014, 38, 113–121. [Google Scholar] [CrossRef]
- Abdolahipour, B.; Haghighi, M. The effects of pine wood vinegar on the germination, growth and photosynthetic characteristics of cucumber. Iran Agric. Res. 2019, 38, 83–90. [Google Scholar] [CrossRef]
- Simma, B.; Polthanee, A.; Goggi, A.S.; Siri, B.; Promkhambut, A.; Caragea, P.C. Wood vinegar seed priming improves yield and suppresses weeds in dryland direct-seeding rice under rainfed production. Agron. Sustain. Dev. 2017, 37, 56. [Google Scholar] [CrossRef]
- Akley, E.K.; Ampim, P.A.Y.; Obeng, E.; Sanyare, S.; Yevu, M.; Owusu Danquah, E.; Asirifi Amoako, O.; Tengey, T.K.; Avedzi, J.K.; Avornyo, V.K.; et al. Wood vinegar promotes soil health and the productivity of cowpea. Agronomy 2023, 13, 2497. [Google Scholar] [CrossRef]
- Ma, J.; Islam, F.; Ayyaz, A.; Fang, R.; Hannan, F.; Farooq, M.A.; Ali, B.; Huang, Q.; Sun, R.; Zhou, W. Wood vinegar induces salinity tolerance by alleviating oxidative damages and protecting photosystem II in rapeseed cultivars. Ind. Crops Prod. 2022, 189, 115763. [Google Scholar] [CrossRef]
- Zhu, K.; Gu, S.; Liu, J.; Luo, T.; Khan, Z.; Zhang, K.; Hu, L. Wood vinegar as a complex growth regulator promotes the growth, yield, and quality of rapeseed. Agronomy 2021, 11, 510. [Google Scholar] [CrossRef]
- Mungkunkamchao, T.; Kesmala, T.; Pimratch, S.; Toomsan, B.; Jothityangkoon, D. Wood vinegar and fermented bioextracts: Natural products to enhance growth and yield of tomato (Solanum lycopersicum L.). Sci. Hortic. 2013, 154, 66–72. [Google Scholar] [CrossRef]
- Feng, Y.; Li, D.; Sun, H.; Xue, L.; Zhou, B.; Yang, L.; Liu, J.; Xing, B. Wood vinegar and biochar co-application mitigates nitrous oxide and methane emissions from rice paddy soil: A two-year experiment. Environ. Pollut. 2020, 267, 115403. [Google Scholar] [CrossRef]
- Fedeli, R.; Celletti, S.; Loppi, S. Wood distillate promotes the tolerance of lettuce in extreme salt stress conditions. Plants 2024, 13, 1335. [Google Scholar] [CrossRef]
- Jindo, K.; Goron, T.L.; Kurebito, S.; Matsumoto, K.; Masunaga, T.; Mori, K.; Miyakawa, K.; Nagao, S.; Tokunari, T. Sustainable plant growth promotion and chemical composition of pyroligneous acid when applied with biochar as a soil amendment. Molecules 2022, 27, 3397. [Google Scholar] [CrossRef]
- Cardelli, R.; Becagli, M.; Marchini, F.; Saviozzi, A. Soil biochemical activities after the application of pyroligneous acid to soil. Soil Res. 2020, 58, 461–467. [Google Scholar] [CrossRef]
- Becagli, M.; Arduini, I.; Cantini, V.; Cardelli, R. Soil and foliar applications of wood distillate differently affect soil properties and field bean traits in preliminary field tests. Plants 2022, 12, 121. [Google Scholar] [CrossRef] [PubMed]
- Sun, H.; Feng, Y.; Xue, L.; Mandal, S.; Wang, H.; Shi, W.; Yang, L. Responses of ammonia volatilization from rice paddy soil to application of wood vinegar alone or combined with biochar. Chemosphere 2020, 242, 125247. [Google Scholar] [CrossRef] [PubMed]
- Mirsoleimani, A.; Najafi-Ghiri, M.; Boostani, H.R.; Farrokhzadeh, S. Relationships between soil and plant nutrients of citrus rootstocks as influenced by potassium and wood vinegar application. J. Soils Sediments 2022, 23, 1439–1450. [Google Scholar] [CrossRef]
- Nutsukpo, E.B.; Ofoe, R.; Jiang, Q.; Ofori, P.A.; Asiedu, S.K.; Emenike, C.; Lord, A. Pyroligneous acid affects grapevine growth, yield, and chemical composition of leaf, pomace, and juice. ACS Agric. Sci. Technol. 2024, 4, 1014–1026. [Google Scholar] [CrossRef]
- Mu, J.; Yu, Z.-m.; Wu, W.-q.; Wu, Q.-l. Preliminary study of application effect of bamboo vinegar on vegetable growth. For. Stud. China 2006, 8, 43–47. [Google Scholar] [CrossRef]
- Benzon, H.R.L.; Lee, S.C. Potential of wood vinegar in enhancing fruit yield and antioxidant capacity in tomato. Korean J. Plant Resour. 2016, 29, 704–711. [Google Scholar] [CrossRef]
- Fedeli, R.; Marotta, L.; Frattaruolo, L.; Panti, A.; Carullo, G.; Fusi, F.; Saponara, S.; Gemma, S.; Butini, S.; Cappello, A.R.; et al. Nutritionally enriched tomatoes (Solanum lycopersicum L.) grown with wood distillate: Chemical and biological characterization for quality assessment. J. Food Sci. 2023, 88, 5324–5338. [Google Scholar] [CrossRef]
- Rondón-Estrada, L.; Gómez-Padilla, E.; Guevara-Hernández, F.; La O-Arias, M.; Reyes-Sosa, M.; Viltres-Rodríguez, R. Influence of pyroligneous acid on cucumber cultivation under organoponic conditions. Rev. Fac. Agron. Univ. Zulia 2024, 41, e244126. [Google Scholar] [CrossRef]
- Wang, Z.; Pan, X.; Kuang, S.; Chen, C.; Wang, X.; Xu, J.; Li, X.; Li, H.; Zhuang, Q.; Zhang, F.; et al. Amelioration of coastal salt-affected soils with biochar, acid modified biochar and wood vinegar: Enhanced nutrient availability and bacterial community modulation. Int. J. Environ. Res. Public Health 2022, 19, 7282. [Google Scholar] [CrossRef]
- Fedeli, R.; Cruz, C.; Loppi, S.; Munzi, S. Hormetic Effect of wood distillate on hydroponically grown lettuce. Plants 2024, 13, 447. [Google Scholar] [CrossRef] [PubMed]
- Aguirre, J.L.; Baena, J.; Martin, M.T.; Gonzalez, S.; Manjon, J.L.; Peinado, M. Herbicidal effects of wood vinegar on nitrophilous plant communities. Food Energy Secur. 2020, 9, e253. [Google Scholar] [CrossRef]
- Zhang, K.; Khan, Z.; Liu, J.; Luo, T.; Zhu, K.; Hu, L.; Bi, J.; Luo, L. Germination and growth performance of water-saving and droughtrResistant rice enhanced by seed treatment with wood vinegar and biochar under dry direct-seeded system. Agronomy 2022, 12, 1223. [Google Scholar] [CrossRef]
- Ofoe, R.; Mousavi, S.M.N.; Thomas, R.H.; Abbey, L. Foliar application of pyroligneous acid acts synergistically with fertilizer to improve the productivity and phytochemical properties of greenhouse-grown tomato. Sci. Rep. 2024, 14, 1934. [Google Scholar] [CrossRef]
- Celletti, S.; Fedeli, R.; Ghorbani, M.; Aseka, J.M.; Loppi, S. Exploring sustainable alternatives: Wood distillate alleviates the impact of bioplastic in basil plants. Sci. Total Environ. 2023, 900, 166484. [Google Scholar] [CrossRef]
- Theerakulpisut, P.; Madee, P.; Pamuta, D.; Nounjan, N. Exogenous application of spermidine (SPD) and wood vinegar improves salt tolerance in salt-sensitive rice (Oryza sativa L.). Pak. J. Bot. 2021, 53, 1–9. [Google Scholar] [CrossRef] [PubMed]
- Fedeli, R.; Loppi, S.; Cruz, C.; Munzi, S. Evaluating seawater and wood distillate for sustainable hydroponic cultivation: Implications for crop growth and nutritional quality. Sustainability 2024, 16, 7186. [Google Scholar] [CrossRef]
- Abdel-Sattar, M.; Mostafa, L.Y.; Rihan, H.Z. Enhancing mango productivity with wood vinegar, humic acid, and seaweed extract applications as an environmentally friendly strategy. Sustainability 2024, 16, 8986. [Google Scholar] [CrossRef]
- Vannini, A.; Moratelli, F.; Monaci, F.; Loppi, S. Effects of wood distillate and soy lecithin on the photosynthetic performance and growth of lettuce (Lactuca sativa L.). SN Appl. Sci. 2021, 3, 113. [Google Scholar] [CrossRef]
- Carril, P.; Bianchi, E.; Cicchi, C.; Coppi, A.; Dainelli, M.; Gonnelli, C.; Loppi, S.; Pazzagli, L.; Colzi, I. Effects of wood distillate (pyroligneous acid) on the yield parameters and mineral composition of three leguminous crops. Environments 2023, 10, 126. [Google Scholar] [CrossRef]
- Yarsi, G. Effects of seaweed fertilizerr and wood vinegar application on nutrient uptake, plant growth and yield of cucumber (Cucumis sativus L.) grown in a greenhouse. J. Elem. 2023, 4, 937–948. [Google Scholar] [CrossRef]
- Jeong, K.W.; Kim, B.S.; Ultra, V.U.; Lee, S.C. Effects of rhizosphere microorganisms and wood vinegar mixtures on rice growth and soil properties. Korean J. Crop Sci. 2015, 60, 355–365. [Google Scholar] [CrossRef]
- Chen, J.; Wu, J.H.; Si, H.P.; Lin, K.Y. Effects of adding wood vinegar to nutrient solution on the growth, photosynthesis, and absorption of mineral elements of hydroponic lettuce. J. Plant Nutr. 2015, 39, 456–462. [Google Scholar] [CrossRef]
- Jusoh, M.F.J.; Xin, L.J.; Ywih, C.N.H.; Abdullah, P.S.; Radzi, N.M.; Zainol Abidin, M.A.; Abdul Muttalib, M.F. Effect of wood vinegar and rice husk biochar on soil properties and growth performances of immature kenaf (Hibiscus cannabinus) planted on BRIS soil. J. Trop. Resour. Sustain. Sci. 2021, 9, 48–57. [Google Scholar] [CrossRef]
- Idowu, O.; Ndede, E.O.; Kurebito, S.; Tokunari, T.; Jindo, K. Effect of the Interaction between wood vinegar and biochar feedstock on tomato plants. J. Soil Sci. Plant Nutr. 2023, 23, 1599–1610. [Google Scholar] [CrossRef]
- Ofoe, R.; Qin, D.; Gunupuru, L.R.; Thomas, R.H.; Abbey, L. Effect of pyroligneous acid on the productivity and nutritional quality of greenhouse tomato. Plants 2022, 11, 1650. [Google Scholar] [CrossRef] [PubMed]
- Polthanee, A.; Kumla, N.; Simma, B. Effect of pistia stratiotes, cattle manure and wood vinegar (pyroligneous acid) application on growth and yield of organic rainfed rice. Paddy Water Environ. 2014, 13, 337–342. [Google Scholar] [CrossRef]
- Lee, J.J.; Shon, T.K.; Furuya, T.; Jin, I.-D.; Chung, I.K.; Lee, S.C. Effect of different kinds of environmental friendly materials on the growth of rice. J. Fac. Agric. Kyushu Univ. 2007, 52, 39–42. [Google Scholar] [CrossRef]
- Yang, L.; Tang, G.; Xu, W.; Zhang, Y.; Ning, S.; Yu, P.; Zhu, J.; Wu, Q.; Yu, P. Effect of combined application of wood vinegar solution and biochar on saline soil properties and cotton stress tolerance. Plants 2024, 13, 2427. [Google Scholar] [CrossRef]
- Saberi, M.; Ghomi, H.; Andreasen, C. Eco-friendly approach to improve traits of winter wheat by combining cold plasma treatments and carbonization of subtropical biomass waste. Sci. Rep. 2022, 12, 11218. [Google Scholar] [CrossRef]
- Zeng, L.; Sun, X.; Zhou, W.; Li, J.; Guo, Y.; Liu, X.; Cui, D. Combined treatment of a pyroligneous solution and soluble calcium enhances cotton growth through improving soil quality in saline-alkali soils. J. Soil Sci. Plant Nutr. 2021, 22, 25–35. [Google Scholar] [CrossRef]
- Becagli, M.; Santin, M.; Cardelli, R. Co-application of wood distillate and biochar improves soil quality and plant growth in basil (Ocimum basilicum). J. Plant Nutr. Soil Sci. 2021, 185, 120–131. [Google Scholar] [CrossRef]
- Yuan, Y.; Kong, X.; Zheng, Y.; Zheng, H.; Liu, Y.; Cheng, Y.; Zhang, X.; Li, Z.; You, X.; Li, Y. Co-application of biochar and pyroligneous acid improved peanut production and nutritional quality in a coastal soil. Environ. Technol. Innov. 2022, 28, 102886. [Google Scholar] [CrossRef]
- Benzon, H.R.L.; Rubenecia, M.R.U.; Ultra, V.U., Jr.; Lee, S.C. Chemical and biological properties of paddy soil treated with herbicides and pyroligneous acid. J. Agric. Sci. 2015, 7, 20–29. [Google Scholar] [CrossRef]
- Ahadiyat, Y.R.; Hadi, S.N.; Herliana, O. Application of wood vinegar coconut shell and NPK fertilizer to maintain sustainable agriculture of upland rice production. J. Degrad. Min. Lands Manag. 2018, 5, 1245–1250. [Google Scholar] [CrossRef]
- Hafez, E.M.; Gao, Y.; Alharbi, K.; Chen, W.; Elhawat, N.; Alshaal, T.; Osman, H.S. Antioxidative and metabolic responses in canola: Strategies with wood distillate and sugarcane bagasse ash for improved growth under abiotic stress. Plants 2024, 13, 2152. [Google Scholar] [CrossRef]
- Pan, X.; Shi, M.; Chen, X.; Kuang, S.; Ullah, H.; Lu, H.; Riaz, L. An investigation into biochar, acid-modified biochar, and wood vinegar on the remediation of saline−alkali soil and the growth of strawberries. Front. Environ. Sci. 2022, 10, 1057384. [Google Scholar] [CrossRef]
- Joseph, S.D.; Camp-Arbestain, M.; Lin, Y.; Munroe, P.; Chia, C.H.; Hook, J.; van Zwieten, L.; Kimber, S.; Cowie, A.; Singh, B.P.; et al. An investigation into the reactions of biochar in soil. Soil Res. 2010, 48, 501–515. [Google Scholar] [CrossRef]
- Cândido, N.R.; Duarte Pasa, V.M.; de Oliveira Vilela, A.; Campos, Â.D.; de Fátima, Â.; Modolo, L.V. Understanding the multifunctionality of pyroligneous acid from waste biomass and the potential applications in agriculture. Sci. Total Environ. 2023, 881, 163519. [Google Scholar] [CrossRef]
Disclaimer/Publisher’s Note: The statements, opinions and data contained in all publications are solely those of the individual author(s) and contributor(s) and not of MDPI and/or the editor(s). MDPI and/or the editor(s) disclaim responsibility for any injury to people or property resulting from any ideas, methods, instructions or products referred to in the content. |
© 2025 by the authors. Licensee MDPI, Basel, Switzerland. This article is an open access article distributed under the terms and conditions of the Creative Commons Attribution (CC BY) license (https://creativecommons.org/licenses/by/4.0/).






