Characteristics and Influencing Factors of Cropland Function Trade-Off in Highly Urbanized Areas: Insights from the Yangtze River Delta Region in China
Abstract
1. Introduction
2. Materials and Methods
2.1. Study Area
2.2. Data Sources and Preprocessing
2.3. Methodology
2.3.1. Construction of Cropland Function Evaluation System
2.3.2. Assessment of the Cropland Function Trade-Off Intensity
2.3.3. Determination of the Scale of Functional Characteristics of Cropland
2.3.4. Identification of Key Factors in the Functional Trade-Offs of Cropland
2.4. Theoretical Framework
3. Results
3.1. Spatiotemporal Characterization of Cropland Functions
3.1.1. Spatiotemporal Distribution Characteristics of Cropland Functions
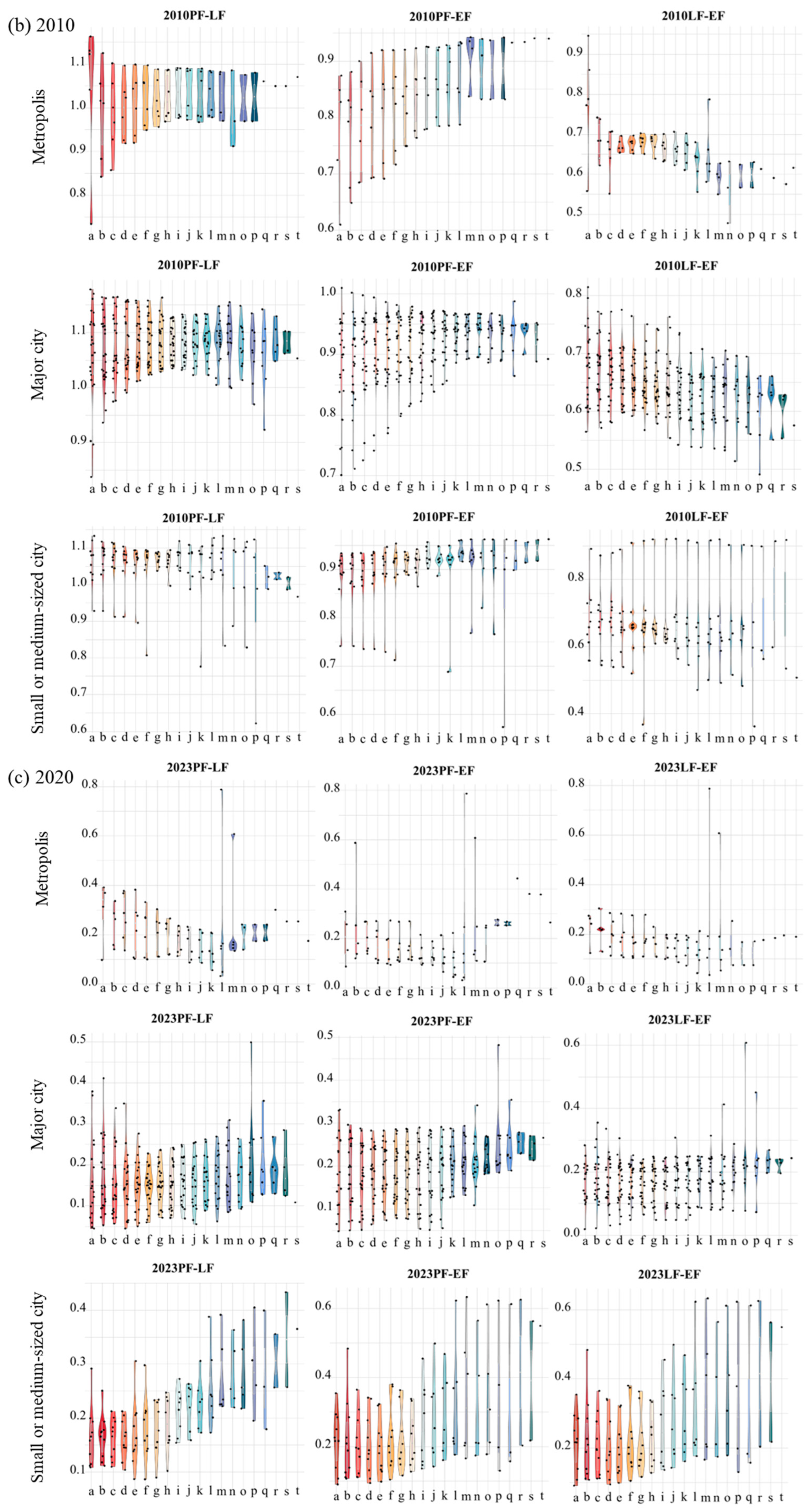
3.1.2. Characterization of the Cropland Function Trade-Offs
3.2. Scaling the Responses to Cropland Functions Trade-Offs
3.2.1. Optimal Scale Sequence Construction
3.2.2. Scaling the Responses to Cropland Function Trade-Off
3.3. Factors Influencing the Cropland Function Trade-Off
4. Discussion
4.1. Characterization of the Cropland Function Trade-Off
4.2. Mechanisms Affecting the Cropland Function Trade-Offs
4.3. Limitations and Future Directions
5. Conclusions
Author Contributions
Funding
Data Availability Statement
Conflicts of Interest
Appendix A
| District | Urbanization Rate in 2000 | Urbanization Rate in 2010 | Urbanization Rate in 2023 | Average Annual Growth Rate (2000–2010) | Average Annual Growth Rate (2010–2023) |
|---|---|---|---|---|---|
| YRD | / | 59.58% | 72.80% | / | 0.97% |
| Shanghai | 88.3% | 88.86% | 89.33% | 0.05% | 0.03% |
| Fuyang, Anhui | 20.70% | 31.90% | 45.16% | 1.01% | 0.95% |
| Northern Jiangsu | 31.79% | 51.50% | 66.34% | 1.79% | 1.06% |
| Southern Jiangsu | 59.62% | 70.30% | 83.11% | 0.97% | 0.92% |
| Lishui, Zhejiang | 33.10% | 48.40% | 64.60% | 1.39% | 1.16% |
Appendix B
| Variable | 6 km | 18 km | 30 km | |||||||
|---|---|---|---|---|---|---|---|---|---|---|
| PF-LF | PF-EF | LF-EF | PF-LF | PF-EF | LF-EF | PF-LF | PF-EF | LF-EF | ||
| 2000 | pop | 0.156 | 0.151 | 0.123 | 0.121 | 0.183 | 0.137 | 0.166 | 0.103 | 0.207 |
| gdp | 0.092 | 0.169 | 0.077 | 0.097 | 0.276 | 0.131 | 0.124 | 0.206 | 0.101 | |
| con | 0.034 | 0.043 | 0.009 | 0.061 | 0.024 | 0.025 | 0.057 | 0.05 | 0.045 | |
| tem | 0.051 | 0.215 | 0.071 | 0.069 | 0.362 | 0.142 | 0.06 | 0.255 | 0.069 | |
| pre | 0.123 | 0.159 | 0.156 | 0.095 | 0.309 | 0.277 | 0.077 | 0.261 | 0.286 | |
| dem | 0.192 | 0.043 | 0.098 | 0.132 | 0.009 | 0.108 | 0.135 | 0.053 | 0.171 | |
| 2010 | pop | 0.139 | 0.201 | 0.129 | 0.124 | 0.173 | 0.132 | 0.144 | 0.13 | 0.153 |
| gdp | 0.157 | 0.301 | 0.097 | 0.207 | 0.417 | 0.171 | 0.168 | 0.375 | 0.139 | |
| con | 0.064 | 0.069 | 0.023 | 0.116 | 0.068 | 0.048 | 0.095 | 0.133 | 0.058 | |
| tem | 0.038 | 0.233 | 0.064 | 0.056 | 0.352 | 0.157 | 0.051 | 0.271 | 0.084 | |
| pre | 0.091 | 0.227 | 0.119 | 0.061 | 0.352 | 0.207 | 0.025 | 0.295 | 0.183 | |
| dem | 0.151 | 0.068 | 0.078 | 0.089 | 0.03 | 0.039 | 0.064 | 0.018 | 0.061 | |
| 2023 | pop | 0.287 | 0.186 | 0.299 | 0.416 | 0.192 | 0.458 | 0.369 | 0.167 | 0.446 |
| gdp | 0.216 | 0.184 | 0.19 | 0.385 | 0.237 | 0.267 | 0.385 | 0.231 | 0.316 | |
| con | 0.147 | 0.081 | 0.181 | 0.282 | 0.071 | 0.324 | 0.234 | 0.115 | 0.369 | |
| tem | 0.027 | 0.209 | 0.051 | 0.053 | 0.296 | 0.06 | 0.002 | 0.023 | 0.007 | |
| pre | 0.184 | 0.217 | 0.249 | 0.252 | 0.255 | 0.339 | 0.041 | 0.046 | 0.018 | |
| dem | 0.297 | 0.065 | 0.183 | 0.304 | 0.034 | 0.261 | 0.273 | 0.131 | 0.255 | |
References
- Ouyang, X.; Xu, J.; Li, J.; Wei, X.; Li, Y. Land space optimization of urban-agriculture-ecological functions in the Changsha-Zhuzhou-Xiangtan urban agglomeration, China. Land Use Policy 2022, 117, 106112. [Google Scholar]
- Liu, Y.; Zhang, X.; Pan, X.; Ma, X.; Tang, M. The spatial integration and coordinated industrial development of urban agglomerations in the Yangtze River Economic Belt, China. Cities 2020, 104, 102801. [Google Scholar]
- Zhang, X.; Brandt, M.; Tong, X.; Ciais, P.; Yue, Y.; Xiao, X.; Zhang, W.; Wang, K.; Fensholt, R. A large but transient carbon sink from urbanization and rural depopulation in China. Nat. Sustain. 2022, 5, 321–328. [Google Scholar]
- Chabert, A.; Sarthou, J. Conservation agriculture as a promising trade-off between conventional and organic agriculture in bundling ecosystem services. Agric. Ecosyst. Environ. 2020, 292, 106815. [Google Scholar] [CrossRef]
- Yu, M.; Yang, Y.; Chen, F.; Zhu, F.; Qu, J.; Zhang, S. Response of agricultural multifunctionality to cropland loss under rapidly urbanizing processes in Yangtze River Delta, China. Sci. Total Environ. 2019, 666, 1–11. [Google Scholar]
- Linghu, L.; Sun, P.; Zhang, M.; Wu, Y. Data-driven projections demonstrate non-farming use of cropland in non-major grain-producing areas: A case study of Shaanxi Province, China. Agronomy 2023, 13, 2060. [Google Scholar] [CrossRef]
- Jiang, L.; Wang, Z.; Zuo, Q.; Du, H. Simulating the impact of land use change on ecosystem services in agricultural production areas with multiple scenarios considering ecosystem service richness. J. Clean. Prod. 2023, 397, 136485. [Google Scholar]
- Wu, J. Landscape sustainability science: Ecosystem services and human well-being in changing landscapes. Landsc. Ecol. 2013, 28, 999–1023. [Google Scholar] [CrossRef]
- Xu, Z.; Peng, J.; Dong, J.; Liu, Y.; Liu, Q.; Lyu, D.; Qiao, R.; Zhang, Z. Spatial correlation between the changes of ecosystem service supply and demand: An ecological zoning approach. Landsc. Urban Plan. 2022, 217, 104258. [Google Scholar] [CrossRef]
- Galic, N.; Salice, C.J.; Birnir, B.; Bruins, R.J.; Ducrot, V.; Jager, H.I.; Kanarek, A.; Pastorok, R.; Rebarber, R.; Thorbek, P.; et al. Predicting impacts of chemicals from organisms to ecosystem service delivery: A case study of insecticide impacts on a freshwater lake. Sci. Total Environ. 2019, 682, 426–436. [Google Scholar] [CrossRef]
- Pang, X.; Zhang, L.; Li, S.; Lu, R.; Liu, S. Spatial-temporal change and synergy/trade-off relationship of “production–living–ecological” space along the Sino-Vietnamese border. Agronomy 2022, 12, 2862. [Google Scholar] [CrossRef]
- Huang, Y.; Wu, J. Spatial and temporal driving mechanisms of ecosystem service trade-off/synergy in national key urban agglomerations: A case study of the Yangtze River Delta urban agglomeration in China. Ecol. Indic. 2023, 154, 110800. [Google Scholar] [CrossRef]
- Xu, X.; Yang, G.; Tan, Y.; Liu, J.; Hu, H. Ecosystem services trade-offs and determinants in China’s Yangtze River Economic Belt from 2000 to 2015. Sci. Total Environ. 2018, 634, 1601–1614. [Google Scholar] [CrossRef] [PubMed]
- Accatino, F.; Tonda, A.; Dross, C.; Léger, F.; Tichit, M. Trade-offs and synergies between livestock production and other ecosystem services. Agric. Syst. 2019, 168, 58–72. [Google Scholar]
- Wardropper, C.B.; Mase, A.S.; Qiu, J.; Kohl, P.; Booth, E.G.; Rissman, A.R. Ecological worldview, agricultural or natural resource-based activities, and geography affect perceived importance of ecosystem services. Landsc. Urban Plan. 2020, 197, 103768. [Google Scholar]
- Bao, J.; Mao, L.; Liu, Y.; Fan, S. Investigation of spatiotemporal changes and impact factors of trade-off intensity in cultivated land multifunctionality in the Min River basin. Agriculture 2024, 14, 1666. [Google Scholar] [CrossRef]
- Liu, Y.; Wan, C.; Xu, G.; Chen, L.; Yang, C. Exploring the relationship and influencing factors of cultivated land multifunction in China from the perspective of trade-off/synergy. Ecol. Indic. 2023, 149, 110171. [Google Scholar] [CrossRef]
- Hou, D.; Meng, F.; Prishchepov, A.V. How is urbanization shaping agricultural land-use? Unraveling the nexus between cropland abandonment and urbanization in China. Landsc. Urban Plan. 2021, 214, 104170. [Google Scholar] [CrossRef]
- Huang, Z.; Du, X.; Castillo, C.S.Z. How does urbanization affect cropland protection? Evidence from China. Resour. Conserv. Recycl. 2019, 145, 139–147. [Google Scholar] [CrossRef]
- Liu, Y.; Zhang, C.; Zeng, H. Constraint effects among several key ecosystem service types and their influencing factors: A case study of the Pearl River Delta, China. Ecol. Indic. 2023, 146, 109883. [Google Scholar] [CrossRef]
- Xu, Z.; Hu, Y.; Zhen, L.; Zhuang, D. Wavelet-based multi-scale analysis of NDVI and background factors in Zhejiang Province. Geogr. Res. 2015, 34, 567–577. [Google Scholar]
- Shui, H.; Yu, J.; Zhao, C.; Fang, L.; Cao, Y.; Huang, Z. Evolution characteristics of urban hierarchical scale structure since the expansion of the Yantze River Delta urban agglomeration. J. Anhui Norm. Univ. (Nat. Sci.) 2023, 46, 366–374. [Google Scholar]
- Bartolini, F.; Vergamini, D. Trade-offs and synergies between ecosystem services provided by different rural landscape. Agronomy 2023, 13, 977. [Google Scholar] [CrossRef]
- La Notte, A.; D’amato, D.; Mäkinen, H.; Paracchini, M.L.; Liquete, C.; Egoh, B.; Geneletti, D.; Crossman, N.D. Ecosystem services classification: A systems ecology perspective of the cascade framework. Ecol. Indic. 2017, 74, 392–402. [Google Scholar] [CrossRef]
- Tamburini, G.; Bommarco, R.; Wanger, T.C.; Kremen, C.; van der Heijden, M.G.A.; Liebman, M.; Hallin, S. Agricultural diversification promotes multiple ecosystem services without compromising yield. Sci. Adv. 2020, 6, eaba1715. [Google Scholar] [CrossRef]
- Maes, J.; Barbosa, A.; Baranzelli, C.; Zulian, G.; e Silva, F.B.; Vandecasteele, I.; Hiederer, R.; Liquete, C.; Paracchini, M.L.; Mubareka, S.; et al. More green infrastructure is required to maintain ecosystem services under current trends in land-use change in Europe. Landsc. Ecol. 2015, 30, 517–534. [Google Scholar] [CrossRef]
- Sharp, R.; Tallis, H.T.; Ricketts, T.; Guerry, A.D.; Wood, S.A.; Chaplin-Kramer, R.; Nelson, E.; Ennaanay, D.; Wolny, S.; Olwero, N. InVEST User’s Guide; The Natural Capital Project: Stanford, CA, USA, 2014. [Google Scholar]
- Zhang, J.; Lyu, Y.; Li, Y.; Geng, Y. Digital economy: An innovation driving factor for low-carbon development. Environ. Impact Assess. Rev. 2022, 96, 106821. [Google Scholar] [CrossRef]
- Lyu, Y.; Wang, W.; Wu, Y.; Zhang, J. How does digital economy affect green total factor productivity? Evidence from China. Sci. Total Environ. 2023, 857, 159428. [Google Scholar] [CrossRef]
- Wischmeier, W.H.; Smith, D.D. Predicting Rainfall Erosion Losses: A Guide to Conservation Planning; Department of Agriculture, Science and Education Administration: Beltsville, MD, USA, 1978. [Google Scholar]
- Ren, Z.; Zhang, Y.; Li, J. The value of vegetation ecosystem services: A case of Qinling-Daba mountains. J. Geogr. Sci. 2003, 13, 195–200. [Google Scholar]
- Forouzangohar, M.; Crossman, N.D.; Macewan, R.J.; Wallace, D.D.; Bennett, L.T. Ecosystem services in agricultural landscapes: A spatially explicit approach to support sustainable soil management. Sci. World J. 2014, 2014, 483298. [Google Scholar]
- Qiao, J.; Deng, L.; Liu, H.; Wang, Z. Spatiotemporal heterogeneity in ecosystem service trade-offs and their drivers in The Huang-Huai-Hai plain, China. Landsc. Ecol. 2024, 39, 42. [Google Scholar] [CrossRef]
- Zhong, L.; Wang, J.; Zhang, X.; Ying, L. Effects of agricultural land consolidation on ecosystem services: Trade-offs synergies. J. Clean. Prod. 2020, 264, 121412. [Google Scholar] [CrossRef]
- Popiński, W.; Kosek, W. Wavelet transform and its application for short period earth rotation analysis. Artif. Satell. 1994, 29, 75–86. [Google Scholar]
- Dong, J.; Peng, J.; Liu, Y.; Qiu, S.; Han, Y. Integrating spatial continuous wavelet transform and kernel density estimation to identify ecological corridors in megacities. Landsc. Urban Plan. 2020, 199, 103815. [Google Scholar] [CrossRef]
- Qiu, J.; Turner, M.G. Spatial interactions among ecosystem services in an urbanizing agricultural watershed. Proc. Natl. Acad. Sci. USA 2013, 110, 12149–12154. [Google Scholar] [CrossRef] [PubMed]
- Zou, R.; Peng, Y.; Yang, H.; Hu, Y.; Liu, L.; Mao, X. Multifunctional Evaluation and Analysis of Synergistic Relationships: A Cognitive Framework for the Sustainable Use of Cropland in China. Agronomy 2024, 14, 284. [Google Scholar] [CrossRef]
- Liu, Q.; Qiao, J.; Li, M.; Huang, M. Spatiotemporal heterogeneity of ecosystem service interactions and their drivers at different spatial scales in the Yellow River basin. Sci. Total Environ. 2024, 908, 168486. [Google Scholar] [CrossRef]
- Cumming, G.S.; Buerkert, A.; Hoffmann, E.M.; Schlecht, E.; von Cramon-Taubadel, S.; Tscharntke, T. Implications of agricultural transitions and urbanization for ecosystem services. Nature 2014, 515, 50–57. [Google Scholar] [CrossRef]
- Deng, X.; Huang, J.; Rozelle, S.; Zhang, J.; Li, Z. Impact of urbanization on cultivated land changes in China. Land Use Policy 2015, 45, 1–7. [Google Scholar] [CrossRef]
- Pérez-Soba, M.; Petit, S.; Jones, L.; Bertrand, N.; Briquel, V.; Omodei-Zorini, L.; Contini, C.; Helming, K.; Farrington, J.H.; Mossello, M.T.; et al. Land use functions—A multifunctionality approach to assess the impact of land use changes on land use sustainability. In Sustainability Impact Assessment of Land Use Changes; Springer: Berlin/Heidelberg, Germany, 2008; pp. 375–404. [Google Scholar]
- Jiang, G.; Wang, M.; Qu, Y.; Zhou, D.; Ma, W. Towards cultivated land multifunction assessment in China: Applying the “influencing factors-functions-products-demands” integrated framework. Land Use Policy 2020, 99, 104982. [Google Scholar] [CrossRef]
- Barthel, S.; Isendahl, C.; Vis, B.N.; Drescher, A.; Evans, D.L.; van Timmeren, A. Global urbanization and food production in direct competition for land: Leverage places to mitigate impacts on SDG2 and on the earth system. Anthr. Rev. 2019, 6, 71–97. [Google Scholar] [CrossRef]
- Wang, S.; Hu, M.; Wang, Y.; Xia, B. Dynamics of ecosystem services in response to urbanization across temporal and spatial scales in a mega metropolitan area. Sustain. Cities Soc. 2022, 77, 103561. [Google Scholar] [CrossRef]
- Wang, M.; Yuan, M.; Han, P.; Wang, D. Assessing sustainable urban development based on functional spatial differentiation of urban agriculture in Wuhan, China. Land Use Policy 2022, 115, 105999. [Google Scholar]
- Zhu, C.; Zhang, X.; Wang, K.; Yuan, S.; Yang, L.; Skitmore, M. Urban–rural construction land transition and its coupling relationship with population flow in China’s urban agglomeration region. Cities 2020, 101, 102701. [Google Scholar] [CrossRef]
- Wang, J.; Zhou, W.; Pickett, S.T.A.; Yu, W.; Li, W. A multiscale analysis of urbanization effects on ecosystem services supply in an urban megaregion. Sci. Total Environ. 2019, 662, 824–833. [Google Scholar] [CrossRef]
- Shen, W.; Hu, Q.; Zhang, Z. Impacts of in situ urbanisation on grain production: Evidence from the Yangtze River Delta, China. Habitat Int. 2024, 143, 102989. [Google Scholar] [CrossRef]
- Liu, C.; Cheng, L.; Li, J.; Lu, X.; Xu, Y.; Yang, Q. Trade-offs analysis of land use functions in a hilly-mountainous city of northwest Hubei Province: The interactive effects of urbanization and ecological construction. Habitat Int. 2023, 131, 102705. [Google Scholar] [CrossRef]
- Wu, Y.; Tao, Y.; Yang, G.; Ou, W.; Pueppke, S.; Sun, X.; Chen, G.; Tao, Q. Impact of land use change on multiple ecosystem services in the rapidly urbanizing Kunshan city of China: Past trajectories and future projections. Land Use Policy 2019, 85, 419–427. [Google Scholar] [CrossRef]
- Li, H.; Hu, Y.; Li, H.; Ren, J.; Shao, R.; Liu, Z. Assessing the impact of spatiotemporal evolution of urbanization on carbon storage in the mega-urban agglomeration area: Case study of Yangtze River Delta urban agglomeration, China. Sustainability 2023, 15, 14548. [Google Scholar] [CrossRef]
- Halperin, S.; Castro, A.J.; Quintas-Soriano, C.; Brandt, J.S. Assessing high quality agricultural lands through the ecosystem services lens: Insights from a rapidly urbanizing agricultural region in the western united states. Agric. Ecosyst. Environ. 2023, 349, 108435. [Google Scholar] [CrossRef]









| Data Name | Source | Description |
|---|---|---|
| Land use/cover data | Resources and Environment Science Data Center http://www.resdc.cn (accessed on 1 June 2024) | Grid, 30 m × 30 m |
| DEM data | Resources and Environment Science Data Center http://www.resdc.cn (accessed on 1 June 2024) | Grid, 30 m × 30 m |
| Soil data | Chinese Soil Database http://vdb3.soil.csdb.cn/ (accessed on 1 June 2024) | Raster, 1 m × 1 km |
| Net primary productivity (NPP) of vegetation | National Aeronautics and Space Administration (NASA) http://lpdaac.usgs.gov/ (accessed on 1 June 2024) | Grid, 500 m × 500 m |
| Normalized vegetation index (NDVI) | United States Geological Survey https://earthexplorer.usgs.gov/ (accessed on 1 June 2024) | Raster, 1 m × 1 km |
| Precipitation data | China Meteorological Data Service Centre http://data.cma.cn/ (accessed on 1 June 2024) | Raster, 1 m × 1 km |
| Evapotranspiration data | National Tibetan Plateau Data Center https://data.tpdc.ac.cn/ (accessed on 1 June 2024) | Raster, 1 m × 1 km |
| Food production data | Statistical Yearbook of Jiangsu, Zhejiang, Anhui and Shanghai | forms |
| Population urbanization rate data | Statistical Yearbook of Jiangsu, Zhejiang, Anhui and Shanghai | forms |
| Historical road traffic data | OpenStreetMap | vector |
| Data on the spatial distribution of the population | LandScan high-resolution global population data set https://landscan.ornl.gov/ (accessed on 1 June 2024) | Raster, 1 km × 1 km |
| Agriculture-related points of interest (POIs) | Amap API https://lbs.amap.com/ (accessed on 1 June 2024) | vector |
| Function | Sub-Function | Explanation | Description | Calculation Method |
|---|---|---|---|---|
| PF | Grain production (GP) | Ability to provide food | Based on the significant linear relationship that exists between crops and the NDVI, grain production in this study was allocated according to the ratio of raster NDVI values to total NDVI values of cropland. | where refers to the NDVI of the i th grid, refers to the NDVI of the i th grid, and embodies the total grain production and NDVI, respectively. |
| LF | Culture and recreation (CR) | Ability to provide leisure and recreation | Referring to Maes et al. [26], the recreation score method was used to calculate the cultural and recreational service indicators from the three dimensions of recreational opportunities, population agglomeration, and road density. | where is the total score of the cultural and recreational services of grid i; is the area of grid i; and , , and refer to the recreational opportunity score, population agglomeration score, and the road density score, respectively. |
| EF | Water yield (WY) | Ability to maintain ecosystem stability | The InVEST water yield model [27] was used to calculate water conservation. | According to reference [28], the fully arranged polygon graphical index method is adopted for weight assignment. This method not only realizes system integration, but also avoids the intersection problem among multiple variables [29]. The calculation formula is as follows:
where , , and denote the maximum, minimum, and critical values of the ith indicator, respectively, and the critical value takes the mean value; is the actual value of the ith indicator; and are the standardized values of the ith and jth indicators, respectively; embodies the ecological function index; and n is the number of indicators, which takes the value of 3. |
| Soil retention (SR) | Capacity for ecosystem conservation | The InVEST revised universal soil loss equation model [30] was used to calculate soil retention. | ||
| Carbon sequestration and oxygen release (CO) | Ability to regulate ecosystem | CO is represented by the combined value of carbon sequestration and oxygen release, which is based on an alternative market price approach [31]. |
| Type | Influencing Factor | Represented Meaning | Coding | Unit (of Measure) |
|---|---|---|---|---|
| Socioeconomic factors | Population density | Population urbanization | pop | person/km2 |
| Per capita GDP | Economic urbanization | gdp | 104 • RMB/km2 | |
| Percentage of built-up land | Spatial urbanization | con | % | |
| Natural resource conditions | Average annual temperature | Thermal condition | tem | °C |
| Annual precipitation | Moisture acquisition | pre | mm | |
| Elevation | Topography | dem | m |
Disclaimer/Publisher’s Note: The statements, opinions and data contained in all publications are solely those of the individual author(s) and contributor(s) and not of MDPI and/or the editor(s). MDPI and/or the editor(s) disclaim responsibility for any injury to people or property resulting from any ideas, methods, instructions or products referred to in the content. |
© 2025 by the authors. Licensee MDPI, Basel, Switzerland. This article is an open access article distributed under the terms and conditions of the Creative Commons Attribution (CC BY) license (https://creativecommons.org/licenses/by/4.0/).
Share and Cite
Tao, J.; Zhang, J.; Dong, P.; Lu, Y.; Ma, X.; Zhang, Z.; Dong, Y.; Wang, P. Characteristics and Influencing Factors of Cropland Function Trade-Off in Highly Urbanized Areas: Insights from the Yangtze River Delta Region in China. Agronomy 2025, 15, 894. https://doi.org/10.3390/agronomy15040894
Tao J, Zhang J, Dong P, Lu Y, Ma X, Zhang Z, Dong Y, Wang P. Characteristics and Influencing Factors of Cropland Function Trade-Off in Highly Urbanized Areas: Insights from the Yangtze River Delta Region in China. Agronomy. 2025; 15(4):894. https://doi.org/10.3390/agronomy15040894
Chicago/Turabian StyleTao, Jieyi, Jinhe Zhang, Ping Dong, Yuqi Lu, Xiaobin Ma, Zipeng Zhang, Yingjia Dong, and Peijia Wang. 2025. "Characteristics and Influencing Factors of Cropland Function Trade-Off in Highly Urbanized Areas: Insights from the Yangtze River Delta Region in China" Agronomy 15, no. 4: 894. https://doi.org/10.3390/agronomy15040894
APA StyleTao, J., Zhang, J., Dong, P., Lu, Y., Ma, X., Zhang, Z., Dong, Y., & Wang, P. (2025). Characteristics and Influencing Factors of Cropland Function Trade-Off in Highly Urbanized Areas: Insights from the Yangtze River Delta Region in China. Agronomy, 15(4), 894. https://doi.org/10.3390/agronomy15040894
