Droplet Deposition Behavior on the Surface of Flexible Pepper Leaves
Abstract
1. Introduction
2. Materials and Methods
2.1. Mathematical Model for Predicting the Maximum Spreading Diameter of Liquid Droplets
2.2. Mathematical Prediction Model for Droplet Bounce
2.3. Plant Culture
2.4. Leaf Impact Points
2.5. Measurement of Leaf Mass
2.6. Measurement of Leaf Bending and Torsion Coefficients
2.7. Behavior of Liquid Droplet Impact on Flexible Pepper Leaves and Rigid Substrate Test
3. Results and Discussion
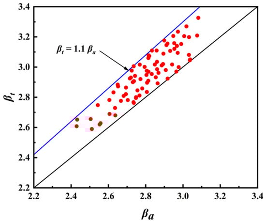
3.1. Effect of Leaf Bending and Twisting on Spreading
3.2. Effect of Droplet Size, Impact Velocity, and Leaf Bending and Twisting on Droplet Spreading Time on Flexible Pepper Leaves
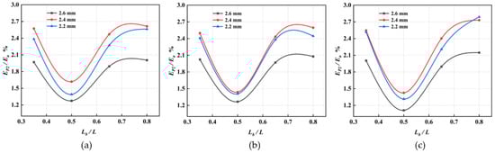
3.3. Influence of Droplet Particle Size, Impact Velocity, and Impact Point Location on the Maximum Diffusion Factor of Droplets Impinging on Flexible Pepper Leaves
4. Conclusions
Author Contributions
Funding
Data Availability Statement
Conflicts of Interest
References
- Xiao, L.; Liu, J.; Ge, J. Dynamic Game in Agriculture and Industry Cross-Sectoral Water Pollution Governance in Developing Countries. Agric. Water Manag. 2021, 243, 106417. [Google Scholar] [CrossRef]
- Liao, J.; Luo, X.; Wang, P.; Zhou, Z.; O’Donnell, C.C.; Zang, Y.; Hewitt, A.J. Analysis of the Influence of Different Parameters on Droplet Characteristics and Droplet Size Classification Categories for Air Induction Nozzle. Agronomy 2020, 10, 256. [Google Scholar] [CrossRef]
- Dorr, G.J.; Kempthorne, D.M.; Mayo, L.C.; Forster, W.A.; Zabkiewicz, J.A.; McCue, S.W.; Belward, J.A.; Turner, I.W.; Hanan, J. Towards a Model of Spray–Canopy Interactions: Interception, Shatter, Bounce and Retention of Droplets on Horizontal Leaves. Ecol. Model. 2014, 290, 94–101. [Google Scholar] [CrossRef]
- Wu, S.; Liu, J.; Wang, J.; Hao, D.; Wang, R. The Motion of Strawberry Leaves in an Air-Assisted Spray Field and Its Influence on Droplet Deposition. Trans. ASABE 2021, 64, 83–93. [Google Scholar] [CrossRef]
- He, Y.; Wu, J.; Xiao, S.; Fang, H.; Zheng, Q. Investigating the Wettability of Rapeseed Leaves. Appl. Eng. Agric. 2021, 37, 399–409. [Google Scholar] [CrossRef]
- Appah, S.; Wang, P.; Ou, M.; Gong, C.; Jia, W. Review of Electrostatic System Parameters, Charged Droplets Characteristics and Substrate Impact Behavior from Pesticides Spraying. Int. J. Agric. Biol. Eng. 2019, 12, 1–9. [Google Scholar] [CrossRef]
- Massinon, M.; De Cock, N.; Forster, W.A.; Nairn, J.J.; McCue, S.W.; Zabkiewicz, J.A.; Lebeau, F. Spray Droplet Impaction Outcomes for Different Plant Species and Spray Formulations. Crop Prot. 2017, 99, 65–75. [Google Scholar] [CrossRef]
- Boukhalfa, H.H.; Massinon, M.; Belhamra, M.; Lebeau, F. Contribution of Spray Droplet Pinning Fragmentation to Canopy Retention. Crop Prot. 2014, 56, 91–97. [Google Scholar] [CrossRef]
- Zwertvaegher, I.K.; Verhaeghe, M.; Brusselman, E.; Verboven, P.; Lebeau, F.; Massinon, M.; Nicolaï, B.M.; Nuyttens, D. The Impact and Retention of Spray Droplets on a Horizontal Hydrophobic Surface. Biosyst. Eng. 2014, 126, 82–91. [Google Scholar] [CrossRef]
- Mao, T.; Kuhn, D.C.S.; Tran, H. Spread and Rebound of Liquid Droplets upon Impact on Flat Surfaces. AIChE J. 1997, 43, 2169–2179. [Google Scholar] [CrossRef]
- Liu, D.; Zhou, H. Oblique Impact Behavior of Spray Droplets on Tea Tree Leaves Surface. Trans. Chin. Soc. Agric. Mach. 2019, 50, 96–103+195. [Google Scholar]
- Delele, M.A.; Nuyttens, D.; Duga, A.T.; Ambaw, A.; Lebeau, F.; Nicolai, B.M.; Verboven, P. Predicting the Dynamic Impact Behavior of Spray Droplets on Flat Plant Surfaces. Soft Matter 2016, 12, 7195–7211. [Google Scholar] [CrossRef]
- Yongqi, X.; Zerui, P.; Xinping, Z. Research progress on drop impact on flexible substrates. Chine. J. Theor. Appl. Mech. 2024, 56, 1529–1539. [Google Scholar]
- Massinon, M.; Lebeau, F. Experimental Method for the Assessment of Agricultural Spray Retention Based on High-Speed Imaging of Drop Impact on a Synthetic Superhydrophobic Surface. Biosyst. Eng. 2012, 112, 56–64. [Google Scholar] [CrossRef]
- Nairn, J.J.; Forster, W.A.; Van Leeuwen, R.M. ‘Universal’ Spray Droplet Adhesion Model—Accounting for Hairy Leaves. Weed Res. 2013, 53, 407–417. [Google Scholar] [CrossRef]
- Gart, S.; Mates, J.E.; Megaridis, C.M.; Jung, S. Droplet Impacting a Cantilever: A Leaf-Raindrop System. Phys. Rev. Appl. 2015, 3, 044019. [Google Scholar] [CrossRef]
- Bhosale, Y.; Esmaili, E.; Bhar, K.; Jung, S. Bending, twisting and flapping leaf upon raindrop impact. Bioinspiration Biomim. 2020, 15, 036007. [Google Scholar] [CrossRef]
- Wang, S.; Zhao, X.; Gao, Z.; Zhu, C.; Dong, L.; Qiu, B. Impact Behavior of Droplets on Surface of Flexible Pepper leaves. Trans. Chin. Soc. Agric. Mach. 2024, 55, 188–201. [Google Scholar]
- Jiang, Y.; Li, H.; Hua, L.; Zhang, D. Three-Dimensional Flow Breakup Characteristics of a Circular Jet with Different Nozzle Geometries. Biosyst. Eng. 2020, 193, 216–231. [Google Scholar] [CrossRef]
- Moulia, B.; Fournier, M.; Guitard, D. Mechanics and Form of the Maize Leaf: In Vivo Qualification of Flexural Behavior. J. Mater. Sci. 1994, 29, 2359–2366. [Google Scholar] [CrossRef]
- Stuerz, S.; Asch, F. Responses of Rice Growth to Day and Night Temperature and Relative Air Humidity—Dry Matter, Leaf Area, and Partitioning. Plants 2019, 8, 521. [Google Scholar] [CrossRef]
- Xing, D.; Chen, L.; Wu, Y.; Zwiazek, J.J. Leaf Physiological Impedance and Elasticity Modulus in Orychophragmus Violaceus Seedlings Subjected to Repeated Osmotic Stress. Sci. Hortic. 2021, 276, 109763. [Google Scholar] [CrossRef]
- Kaiser, E.; Morales, A.; Harbinson, J.; Kromdijk, J.; Heuvelink, E.; Marcelis, L.F.M. Dynamic Photosynthesis in Different Environmental Conditions. J. Exp. Bot. 2015, 66, 2415–2426. [Google Scholar] [CrossRef]
- White, F.M. Fluid Mechanics; University of Rhode Island Press: Kingston, RI, USA, 2009; pp. 293–346. [Google Scholar]
- Pang, H.-Y.; Zhang, X.-F.; Zhang, H.-Y.; Du, F.-P. Dynamic wettability of pesticide additive solution on target. Chinese Journal of Pesticide Science 2006, 8, 157–161. (In Chinese) [Google Scholar]
- Vasileiou, T.; Gerber, J.; Prautzsch, J.; Schutzius, T.M.; Poulikakos, D. Superhydrophobicity Enhancement through Substrate Flexibility. Proc. Natl. Acad. Sci. USA 2016, 113, 13307–13312. [Google Scholar] [CrossRef]
- Li, H.; Niu, X.; Ding, L.; Tahir, A.S.; Guo, C.; Chai, J.; Zhang, K.; Cheng, S.; Zhao, Y.; Zhang, Y.; et al. Dynamic spreading characteristics of droplet impinging soybean leaves. Int. J. Agric. Biol. Eng. 2021, 14, 32–45. [Google Scholar] [CrossRef]
- Sack, L.; Scoffoni, C. Leaf Venation: Structure, Function, Development, Evolution, Ecology and Applications in the Past, Present and Future. New Phytol. 2013, 198, 983–1000. [Google Scholar] [CrossRef]
- Ma, Y.; Huang, H. Scaling Maximum Spreading of Droplet Impacting on Flexible Substrates. J. Fluid Mech. 2023, 958, A35. [Google Scholar] [CrossRef]
- Li, Z.; Zhao, K.; Wang, Y.; Zheng, Z.; Zhang, C.; Gao, Y.; Du, F. Droplet Splash and Spread on Superhydrophobic Lotus Leaves: Direct Regulation by Tuning the Chain Length of Surfactant. Colloids Surf. A Physicochem. Eng. Asp. 2022, 648, 129178. [Google Scholar] [CrossRef]
- Weisensee, P.B.; Tian, J.; Miljkovic, N.; King, W.P. Water Droplet Impact on Elastic Superhydrophobic Surfaces. Sci. Rep. 2016, 6, 30328. [Google Scholar] [CrossRef]
- Vasileiou, T.; Schutzius, T.M.; Poulikakos, D. Imparting Icephobicity with Substrate Flexibility. Langmuir 2017, 33, 6708–6718. [Google Scholar] [CrossRef] [PubMed]
- Mangili, S.; Antonini, C.; Marengo, M.; Amirfazli, A. Understanding the Drop Impact Phenomenon on Soft PDMS Substrates. Soft Matter 2012, 8, 10045. [Google Scholar] [CrossRef]
- Kim, C.; Yoon, I.; Choi, G.; Shin, S. Deflection Analysis of Flexible Cantilever Beam with a Drop Impact. Int. J. Aeronaut. Space Sci. 2023, 24, 1054–1062. [Google Scholar] [CrossRef]
- Yarin, A.L. Drop impact dynamics: Splashing, Spreading, Receding, Bouncing…. Annu. Rev. Fluid Mech. 2006, 38, 159–192. [Google Scholar] [CrossRef]










| Source | Sum of Squares | Degrees of Freedom (df) | Mean Square (MS) | F-Value | Significance (p-Value) | Partial Eta Squared |
|---|---|---|---|---|---|---|
| Corrected Model | 5.216 | 80 | 0.065 | 220.537 | <0.0001 | 0.991 |
| Intercept | 1907.872 | 1 | 1907.872 | 6,453,836.036 | <0.0001 | 1.000 |
| Particle Size | 0.210 | 2 | 0.105 | 354.494 | <0.0001 | 0.814 |
| Impact Velocity | 2.462 | 2 | 1.231 | 4164.218 | <0.0001 | 0.981 |
| Leaf Bending | 0.562 | 2 | 0.281 | 949.890 | <0.0001 | 0.921 |
| Leaf Torsion | 1.520 | 2 | 0.760 | 2571.366 | <0.0001 | 0.969 |
| Error (Residual) | 0.048 | 162 | <0.0001 | |||
| Total | 1913.135 | 243 | ||||
| Corrected Total | 5.263 | 242 |
Disclaimer/Publisher’s Note: The statements, opinions and data contained in all publications are solely those of the individual author(s) and contributor(s) and not of MDPI and/or the editor(s). MDPI and/or the editor(s) disclaim responsibility for any injury to people or property resulting from any ideas, methods, instructions or products referred to in the content. |
© 2025 by the authors. Licensee MDPI, Basel, Switzerland. This article is an open access article distributed under the terms and conditions of the Creative Commons Attribution (CC BY) license (https://creativecommons.org/licenses/by/4.0/).
Share and Cite
Dong, X.; Dong, L.; Gao, Z.; Wang, K.; Wang, X.; Wang, S.; Qiu, B.; Wang, X. Droplet Deposition Behavior on the Surface of Flexible Pepper Leaves. Agronomy 2025, 15, 708. https://doi.org/10.3390/agronomy15030708
Dong X, Dong L, Gao Z, Wang K, Wang X, Wang S, Qiu B, Wang X. Droplet Deposition Behavior on the Surface of Flexible Pepper Leaves. Agronomy. 2025; 15(3):708. https://doi.org/10.3390/agronomy15030708
Chicago/Turabian StyleDong, Xiaoya, Liang Dong, Zhouming Gao, Kaiyuan Wang, Xiaolong Wang, Song Wang, Baijing Qiu, and Xin Wang. 2025. "Droplet Deposition Behavior on the Surface of Flexible Pepper Leaves" Agronomy 15, no. 3: 708. https://doi.org/10.3390/agronomy15030708
APA StyleDong, X., Dong, L., Gao, Z., Wang, K., Wang, X., Wang, S., Qiu, B., & Wang, X. (2025). Droplet Deposition Behavior on the Surface of Flexible Pepper Leaves. Agronomy, 15(3), 708. https://doi.org/10.3390/agronomy15030708

