Assessing Agricultural Reuse Potential of Treated Wastewater: A Hybrid Machine Learning Approach
Abstract
1. Introduction
1.1. The Role of Wastewater Reuse in Sustainable Irrigation
1.2. Artificial Intelligence for Wastewater Quality Prediction and Reuse
2. Materials and Methods
2.1. Data Source: Biological Wastewater Treatment Plant
2.2. Scenarios Based on Wastewater Quality Parameters
2.3. Artificial Intelligence Algorithms
2.3.1. Artificial Neural Networks
2.3.2. Adaptive Neuro-Fuzzy Inference System (ANFIS)
2.4. Combined Artificial Intelligence Algorithms
2.5. The Reuse Potential of Treated Wastewater of K-WWTP in Agriculture
3. Results
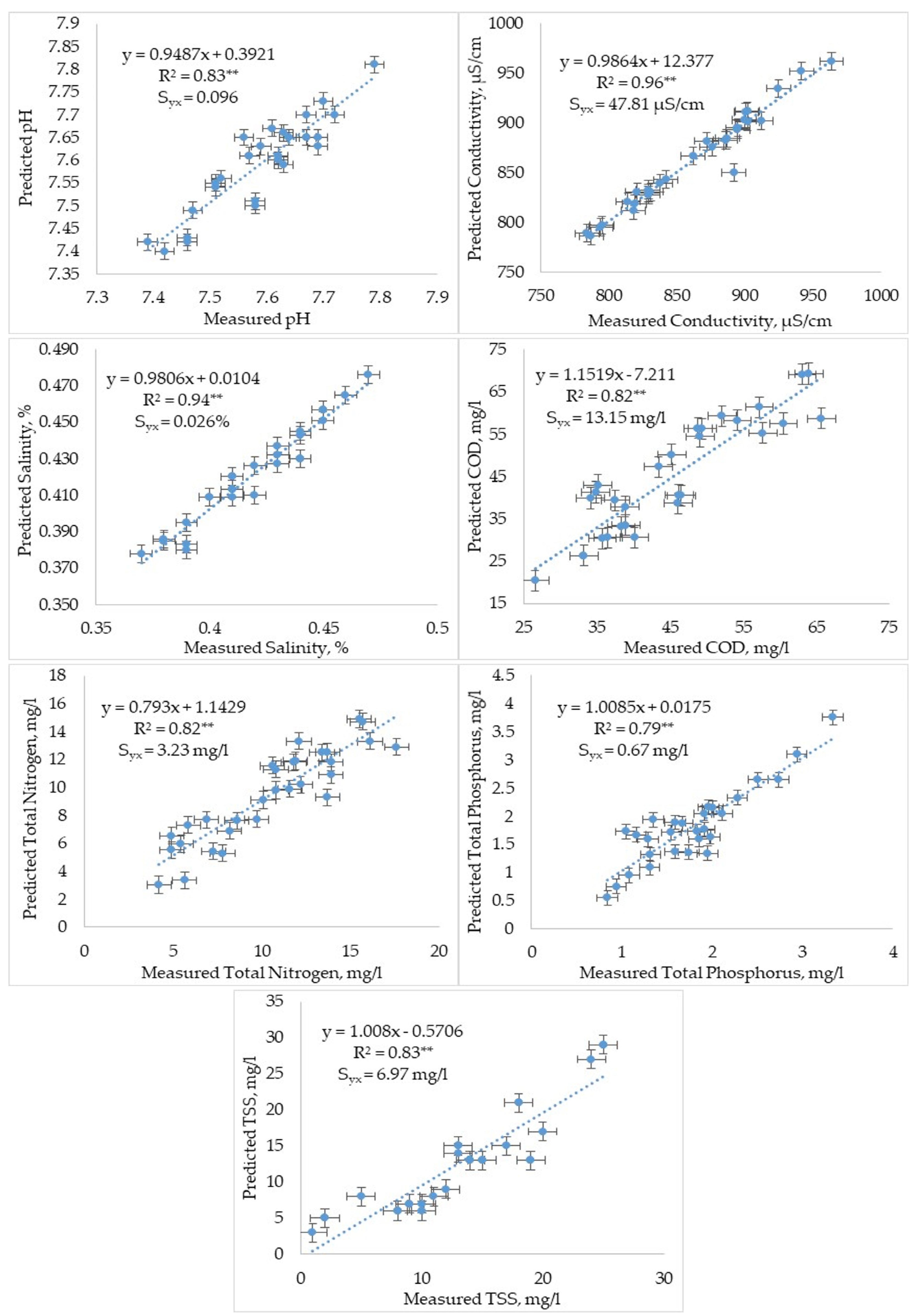
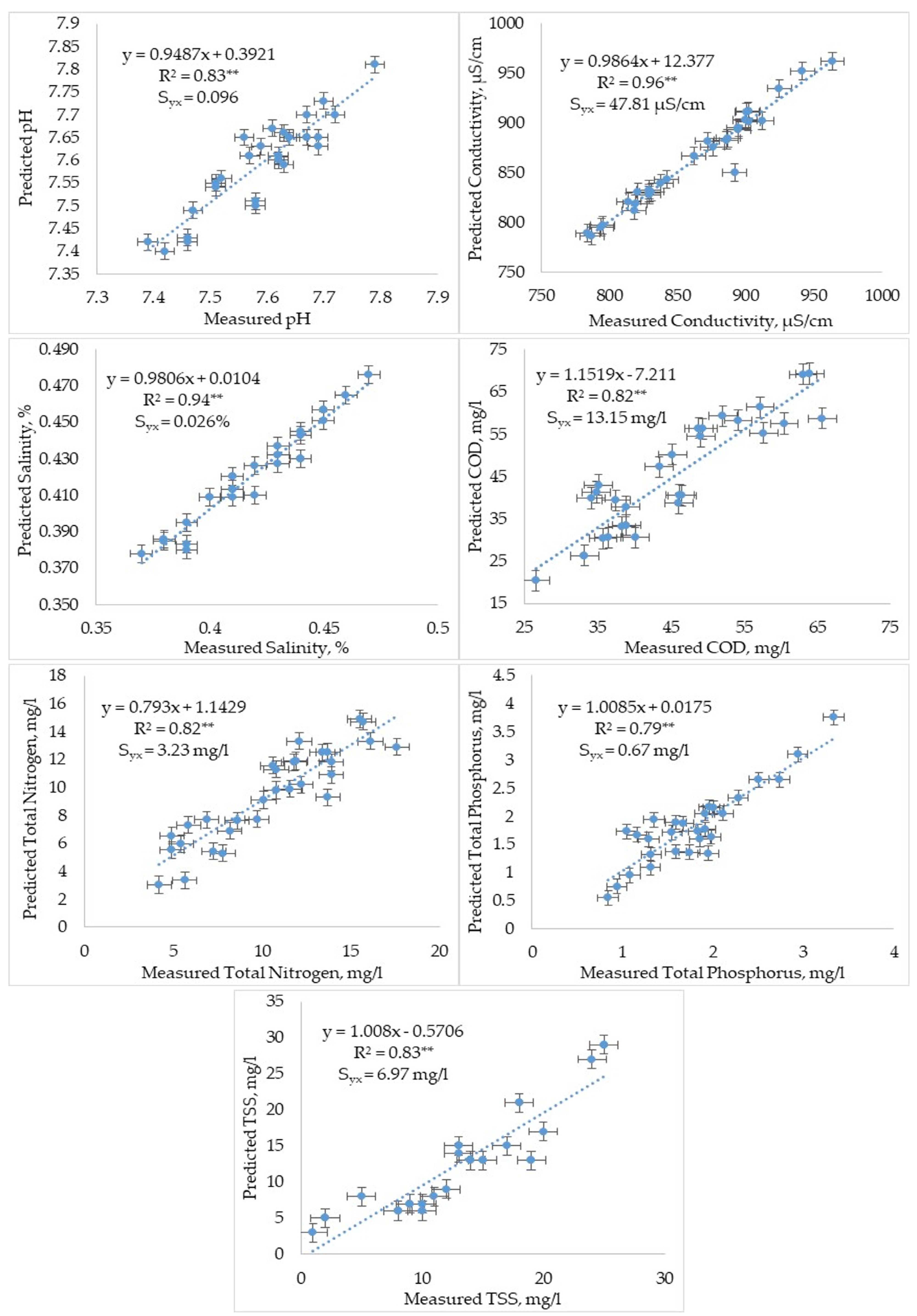
3.1. Performance of ANNs
3.2. Performance of ANFIS
3.3. Fuzzy-Based Assessment of Treated Wastewater Suitability for Irrigation
3.4. Quantitative Reuse Potential of K-WWTP Discharge in Agriculture
4. Discussion
5. Conclusions
Author Contributions
Funding
Data Availability Statement
Acknowledgments
Conflicts of Interest
References
- Gleick, H.P. Water and conflict: Fresh water resources and international security. Int. Secur. 1993, 18, 79–112. [Google Scholar] [CrossRef]
- Shiklomanov, I.A. World Water Resources: A New Appraisal and Assessment for the 21st Century; United Nations Educational, Scientific and Cultural Organization (UNESCO): Paris, France, 1998; pp. 4–27. [Google Scholar]
- Jaramillo, M.F.; Restrepo, I. Wastewater reuse in agriculture: A review about its limitations and benefits. Sustainability 2017, 9, 1734. [Google Scholar] [CrossRef]
- Reznik, A.; Dinar, A.; Hernández-Sancho, F. Treated wastewater reuse: An efficient and sustainable solution for water resource scarcity. Environ. Resour. Econ. 2019, 74, 1647–1685. [Google Scholar] [CrossRef]
- Salem, H.S. Socioeconomic, environmental, and health impacts of reusing treated wastewater in agriculture in some Arab countries, including occupied Palestine, in view of climate change. Nat. Resour. Conserv. Res. 2023, 6, 2229. [Google Scholar] [CrossRef]
- Arena, C.; Genco, M.; Mazzola, M. Environmental benefits and economical sustainability of urban wastewater reuse for irrigation—A cost-benefit analysis of an existing reuse project in Puglia, Italy. Water 2020, 12, 2926. [Google Scholar] [CrossRef]
- Wan, J.; Huang, M.; Ma, Y.; Guo, W.; Wang, Y.; Zhan, H.; Sun, X. Prediction of effluent quality of a paper mill wastewater treatment using an adaptive network-based fuzzy inference system. Appl. Soft Comput. J. 2011, 11, 3238–3246. [Google Scholar] [CrossRef]
- Essahlaoui, F.; Elhajrat, N.; Halimi, M.; El Abbassi, A. New approach to monitoring a wastewater irrigation system controlled by the artificial neural network (ANN). Groundw. Sustain. Dev. 2023, 23, 100999. [Google Scholar] [CrossRef]
- Alprol, A.E.; Mansour, A.T.; Ibrahim, M.E.E.D.; Ashour, M. Artificial Intelligence Technologies Revolutionizing Wastewater Treatment: Current Trends and Future Prospective. Water 2024, 16, 314. [Google Scholar] [CrossRef]
- Shah, S.M.H.; Yassin, M.A.; Abba, S.I.; Lawal, D.U.; Aliyu, F.; Al-Qadami, E.H.H.; Mustaffa, Z.; Pande, C.B.; Sammen, S.S.; Aljundi, I.H. Treated Wastewater Assessment to Optimize Agricultural Water Reuse in Al-Qatif Region Saudi Arabia Using Hybrid Machine Learning Techniques. Preprints 2024. [Google Scholar] [CrossRef]
- Niel, O.; Bastard, P. Artificial intelligence in nephrology: Core concepts, clinical applications, and perspectives. Am. J. Kidney Dis. 2019, 74, 803–810. [Google Scholar] [CrossRef]
- Liakos, K.G.; Busato, P.; Moshou, D.; Pearson, S.; Bochtis, D. Machine learning in agriculture: A review. Sensors 2018, 18, 2674. [Google Scholar] [CrossRef]
- Ahmed, A.N.; Dawal, S.Z.; Hassan, M.R.; Muniandy, S. Machine learning methods for better water quality prediction. J. Hydrol. 2019, 578, 124084. [Google Scholar] [CrossRef]
- Yao, Y.; Liang, S.; Li, X.; Chen, J.; Liu, S.; Jia, K.; Roupsard, O. Improving global terrestrial evapotranspiration estimation using support vector machine by integrating three process-based algorithms. Agric. For. Meteorol. 2017, 242, 55–74. [Google Scholar] [CrossRef]
- Kannangara, M.; Dua, R.; Ahmadi, L.; Bensebaa, F. Modeling and prediction of regional municipal solid waste generation and diversion in Canada using machine learning approaches. Waste Manag. 2018, 74, 3–15. [Google Scholar] [CrossRef] [PubMed]
- Moral, H.; Aksoy, A.; Gokcay, C.F. Modeling of the activated sludge process by using artificial neural networks with automated architecture screening. Comput. Chem. Eng. 2008, 32, 2471–2478. [Google Scholar] [CrossRef]
- Abba, S.I.; Elkiran, G. Effluent prediction of chemical oxygen demand from the wastewater treatment plant using artificial neural network application. Procedia Comput. Sci. 2017, 120, 156–163. [Google Scholar] [CrossRef]
- Wang, D.; Thunéll, S.; Lindberg, U.; Yu, Z.; Chen, S. A machine learning framework to improve effluent quality control in wastewater treatment plants. Sci. Total Environ. 2021, 784, 147138. [Google Scholar] [CrossRef]
- Sheik, A.G.; Kumar, A.; Jain, A.; Bux, F.; Kumari, S. Prediction of wastewater quality parameters using adaptive and machine learning models: A South African case study. J. Water Process Eng. 2024, 67, 106185. [Google Scholar] [CrossRef]
- Lv, J.Q.; Yin, W.X.; Xu, J.M.; Cheng, H.Y.; Li, Z.L.; Yang, J.X.; Wang, A.J.; Wang, H.C. Augmented machine learning for sewage quality assessment with limited data. Environ. Sci. Ecotech. 2025, 23, 100512. [Google Scholar] [CrossRef]
- Yin, H.; Chen, Y.; Zhou, J.; Xie, Y.; Wei, Q.; Xu, Z. A probabilistic deep learning approach to enhance the prediction of wastewater treatment plant effluent quality under shocking load events. Water Res. X 2025, 26, 100291. [Google Scholar] [CrossRef]
- TSMS 2019. Turkish State Meteorological Service, Tekirdağ Provincial Meteorological Data Records. Available online: https://bulut.mgm.gov.tr/share/ (accessed on 5 March 2023).
- Pescod, M.B. Wastewater Treatment and Use in Agriculture-FAO Irrigation and Drainage Paper 47; FAO: Rome, Italy, 1992; 128p. [Google Scholar]
- Sinsomboonthong, S. Performance Comparison of New Adjusted Min-Max with Decimal Scaling and Statistical Column Normalization Methods for Artificial Neural Network Classification. Int. J. Math. Math. Sci. 2022, 1, 3584406. [Google Scholar] [CrossRef]
- Kira, K.; Rendell, L.A. The feature selection problem: Traditional methods and a new algorithm. In Proceedings of the 10th National Conference on Artificial Intelligence, San Jose, CA, USA, 12–16 July 1992; AAAI Press: Atlanta, Georgia, 1992; pp. 129–134. [Google Scholar]
- Robnik-Šikonja, M.; Kononenko, I. Theoretical and empirical analysis of ReliefF and RReliefF. Mach. Learn. 2003, 53, 23–69. [Google Scholar] [CrossRef]
- Boger, Z.; Guterman, H. Knowledge extraction from artificial neural network models. In Proceedings of the 1997 IEEE International Conference on Systems, Man, and Cybernetics, Orlando, FL, USA, 12–15 October 1997; pp. 3030–3035. [Google Scholar]
- Yamaç, S.S.; Todorovic, M. Estimation of daily potato crop evapotranspiration using three different machine learning algorithms and four scenarios of available meteorological data. Agric. Water Manag. 2020, 228, 105875. [Google Scholar] [CrossRef]
- Zadeh, L.A. Fuzzy sets. Inf. Control 1965, 8, 338–353. [Google Scholar] [CrossRef]
- Allen, R.G.; Pereira, L.S.; Raes, D.; Smith, M. Crop Evapotranspiration-Guidelines for Computing Crop Water Requirements-FAO Irrigation and Drainage Paper 56; FAO: Rome, Italy, 1998; 156p. [Google Scholar]
- Annex 7. Atıksu Arıtma Tesisleri Teknik Usuller Tebliği. Available online: https://www.mevzuat.gov.tr/mevzuat?MevzuatNo=13873&MevzuatTur=9&MevzuatTertip=5 (accessed on 8 June 2023).
- Rajaee, T.; Khani, S.; Ravansalar, M. Artificial intelligence-based single and hybrid models for prediction of water quality in rivers: A review. Chemom. Intell. Lab. Syst. 2020, 200, 103978. [Google Scholar] [CrossRef]
- Wen, X.; Fang, J.; Diao, M. Artificial neural network modeling of dissolved oxygen in the Heihe River, Northwestern China. Environ. Monit. Assess. 2013, 185, 4361–4371. [Google Scholar] [CrossRef]
- Ravansalar, M.; Rajaee, T.; Ergil, M. Prediction of dissolved oxygen in River Calder by noise elimination time series using wavelet transform. J. Exp. Theor. Artif. Intell. 2015, 28, 689–706. [Google Scholar] [CrossRef]
- Zounemat-Kermani, M.; Scholz, M. Modeling of dissolved oxygen concentrations using an extreme learning machine. Environ. Sci. Pollut. Res. 2013, 20, 5078–5087. [Google Scholar]
- Singh, K.P.; Gupta, S.; Rai, P. Predicting dissolved oxygen concentration using kernel regression modeling approaches with nonlinear hydro-chemical data. Environ. Monit. Assess. 2014, 186, 2749–2765. [Google Scholar] [CrossRef]
- Jafar, R.; Awad, A.; Jafar, K.; Shahrour, I. Predicting effluent quality in full-scale wastewater treatment plants using shallow and deep artificial neural networks. Sustainability 2022, 14, 15598. [Google Scholar] [CrossRef]
- Sattari, M.T.; Joudi, A.R.; Kusiak, A. Estimation of water quality parameters with data-driven model. J. Am. Water Works Assoc. 2016, 108, E232–E239. [Google Scholar] [CrossRef]
- Najah, A.; El-Shafie, A.H.A.H.; Karim, O.A.; Jaafar, O.; El-Shafie, A.H. An application of different artificial intelligences techniques for water quality prediction. Int. J. Phys. Sci. 2011, 6, 5298–5308. [Google Scholar]
- Fu, Z.; Cheng, J.; Yang, M.; Batista, J. Prediction of industrial wastewater quality parameters based on wavelet de-noised ANFIS model. In Proceedings of the IEEE 8th Annual Computing and Communication Workshop and Conference (CCWC), Las Vegas, NV, USA, 8–10 January 2018; pp. 301–306. [Google Scholar]
- Hong, E.; Yeneneh, A.M.; Sen, T.K.; Ang, H.M.; Kayaalp, A. ANFIS based modelling of dewatering performance and polymer dose optimization in a wastewater treatment plant. J. Environ. Chem. Eng. 2018, 6, 1957–1968. [Google Scholar] [CrossRef]
- Farhi, N.; Kohen, E.; Mamane, H.; Shavitt, Y. Prediction of wastewater treatment quality using LSTM neural network. Environ. Technol. Innov. 2021, 23, 101632. [Google Scholar] [CrossRef]
- USSL. Diagnosis and improvement of saline and alkali soils. In U.S. Department of Agriculture Handbook No. 60; U.S. Department of Agriculture: Washington, DC, USA, 1954. [Google Scholar]
- Scofield, C.S. The Salinity of Irrigation Water; U.S. Government Printing Office: Washington, DC, USA, 1936.
- Wilcox, L.V. The quality of water for irrigation use. In Technical Bulletin 962; U.S. Department of Agriculture: Washington, DC, USA, 1948. [Google Scholar]
- Ching, P.M.; So, R.H.; Morck, T. Advances in soft sensors for wastewater treatment plants: A systematic review. J. Water Proc. Eng. 2021, 44, 102367. [Google Scholar] [CrossRef]
- Shiek, A.G.; Machavolu, V.R.K.; Seepana, M.M.; Ambati, S.R. Design of control strategies for nutrient removal in a biological wastewater treatment process. Environ. Sci. Pollut. Res. 2021, 28, 12092–12106. [Google Scholar] [CrossRef]
- Antanasijević, D.; Pocajt, V.; Perić-Grujić, A.; Ristić, M. Modelling of dissolved oxygen in the Danube River using artificial neural networks and Monte Carlo simulation uncertainty analysis. J. Hydrol. 2014, 519, 1895–1907. [Google Scholar] [CrossRef]
- Wu, J.; Wang, Z. A hybrid model for water quality prediction based on an artificial neural network, wavelet transform, and long short-term memory. Water 2022, 14, 610. [Google Scholar] [CrossRef]
- Maier, H.R.; Jain, A.; Dandy, G.C.; Sudheer, K.P. Methods used for the development of neural networks for the prediction of water resource variables in river systems: Current status and future directions. Environ. Model. Softw. 2010, 25, 891–909. [Google Scholar] [CrossRef]
- Fang, F.; Ni, B.; Li, W.; Sheng, G.; Yu, H. A simulation-based integrated approach to optimize the biological nutrient removal process in a full-scale wastewater treatment plant. Chem. Eng. 2011, 174, 2–3, 635–643. [Google Scholar] [CrossRef]
- Cha, D.; Park, S.; Kim, M.S.; Kim, T.; Hong, S.W.; Cho, K.H.; Lee, C. Prediction of oxidant exposures and micropollutant abatement during ozonation using a machine learning method. Environ. Sci. Technol. 2021, 55, 709–718. [Google Scholar] [CrossRef] [PubMed]
- Zhu, M.; Wang, J.; Yang, X.; Zhang, Y.; Zhang, L.; Ren, H.; Wu, B.; Ye, L. A review of the application of machine learning in water quality evaluation. Eco-Environ. Health 2022, 1, 107–116. [Google Scholar] [CrossRef]
- Sharma, L.K.; Singh, R.; Umrao, R.K.; Sharma, K.M.; Singh, T.N. Evaluating the modulus of elasticity of soil using soft computing system. Eng. Comput. 2017, 33, 497–507. [Google Scholar] [CrossRef]
- Xu, W.L.; Wang, Y.J.; Wang, Y.T.; Li, J.G.; Zeng, Y.N.; Guo, H.W.; Liu, H.; Dong, K.L.; Zhang, L.Y. Application and innovation of artificial intelligence models in wastewater treatment. J. Contam. Hydrol. 2024, 267, 104426. [Google Scholar] [CrossRef] [PubMed]
- Chen, W.; Panahi, M.; Khosravi, K.; Pourghasemi, H.R.; Rezaie, F.; Parvinnezhad, D. Spatial prediction of groundwater potentiality using ANFIS ensembled with teaching-learning-based and biogeography-based optimization. J. Hydrol. 2019, 572, 435–448. [Google Scholar] [CrossRef]
- Okeke, O.P.; Aminu, I.; Rotimi, A.; Najashi, B.G.; Jibril, M.M.; Ibrahim, A.S.; Bashir, A.; Malami, S.I.; Habibu, M.A.; Magaji, M.M. Performance analysis and control of wastewater treatment plant using adaptive neuro-fuzzy inference system (ANFIS) and multi-linear regression (MLR) techniques. GSC Adv. Eng. Technol. 2022, 4, 1–16. [Google Scholar] [CrossRef]
- Kisi, O.; Ay, M. Comparison of Mann–Kendall and innovative trend method for water quality parameters of the Kizilirmak River, Turkey. J. Hydrol. 2014, 513, 362–375. [Google Scholar] [CrossRef]
- Kingston, G.B.; Maier, H.R.; Lambert, M.F. Bayesian model selection applied to artificial neural networks used for water resources modelling. Water Resour. Res. 2008, 44, W04419. [Google Scholar] [CrossRef]
- Anmala, J.; Meier, O.W.; Meier, A.J.; Grubbs, S. GIS and Artificial Neural Network–Based Water Quality Model for a Stream Network in the Upper Green River Basin, Kentucky, USA. J. Environ. Eng. 2014, 141, 04014082. [Google Scholar] [CrossRef]
- Burchard-Levine, A.; Liu, S.; Vince, F.; Li, M.; Ostfeld, A. A hybrid evolutionary data-driven model for river water quality early warning. J. Environ. Manag. 2014, 143, 8–16. [Google Scholar] [CrossRef]
- Tümer, A.E.; Edebali, S. An artificial neural network model for wastewater treatment plant of Konya. Int. J. Intell. Syst. Appl. Eng. 2015, 3, 131. [Google Scholar] [CrossRef]
- Pedrero, F.; Kalavrouziotis, I.; Alarcón, J.J.; Koukoulakis, P.; Asano, T. Use of treated municipal wastewater in irrigated agriculture—Review of some practices in Spain and Greece. Agric. Water Manag. 2010, 97, 1233–1241. [Google Scholar] [CrossRef]
- Cirelli, G.L.; Consoli, S.; Licciardello, F.; Aiello, R.; Giuffrida, F.; Leonardi, C. Treated municipal wastewater reuse in vegetable production. Agric. Water Manag. 2012, 104, 163–170. [Google Scholar] [CrossRef]
- Urbano, V.R.; Mendonça, T.G.; Bastos, R.G.; Souza, C.F. Effects of treated wastewater irrigation on soil properties and lettuce yield. Agric. Water Manag. 2017, 181, 108–115. [Google Scholar] [CrossRef]
- Bouwer, H. Integrated water management: Emerging issues and challenges. Agric. Water Manag. 2000, 45, 217–228. [Google Scholar] [CrossRef]
- IPCC. Climate change 2014: Mitigation of climate change. In Contribution of Working Group III to the Fifth Assessment Report of the Intergovernmental Panel on Climate Change; Cambridge University Press: Cambridge, UK, 2014. [Google Scholar]







| Parameters | Statistical Data | ||||||||
|---|---|---|---|---|---|---|---|---|---|
| Ranges | Mean | SD | Skewness | Kurtosis | 95.0 % CI | Units | |||
| Inlet | pH | 6.19 | 8.74 | 7.42 | 0.35 | −0.36 | 2.71 | (7.37, 7.47) | - |
| EC | 998.00 | 1615.00 | 1107.90 | 95.22 | 2.22 | 7.02 | (1094.3, 1121.5) | μS/cm | |
| Salinity | 0.32 | 0.81 | 0.52 | 0.07 | 1.11 | 3.92 | (0.51, 0.53) | % | |
| DO | 0.01 | 5.87 | 1.47 | 1.22 | 1.34 | 1.67 | (1.30, 1.64) | mg/L | |
| COD | 114.00 | 368.00 | 227.50 | 57.22 | 0.59 | −0.20 | (219.3, 235.7) | mg/L | |
| Total N | 21.40 | 169.00 | 52.57 | 25.37 | 1.33 | 2.18 | (48.94, 56.20) | mg/L | |
| NH4 | 12.60 | 73.10 | 37.42 | 11.13 | 0.52 | 0.69 | (35.83, 39.01) | mg/L | |
| NO3 | 0.30 | 3.39 | 0.97 | 0.66 | 1.44 | 1.32 | (0.88, 1.06) | mg/L | |
| Total P | 1.77 | 14.40 | 5.99 | 2.32 | 1.08 | 1.42 | (5.66, 6.32) | mg/L | |
| TSS | 10.00 | 232.00 | 82.77 | 46.98 | 1.04 | 0.56 | (76.05, 89.49) | mg/L | |
| Outlet | pH | 6.17 | 9.52 | 7.38 | 0.36 | 1.11 | 9.39 | (7.33, 7.43) | - |
| EC | 717.00 | 1143.00 | 887.97 | 81.18 | 0.68 | 0.40 | (876.37, 899.57) | μS/cm | |
| Salinity | 0.35 | 0.71 | 0.46 | 0.06 | 1.16 | 2.63 | (0.45, 0.47) | % | |
| COD | 14.20 | 125.00 | 57.09 | 20.47 | 0.56 | 0.54 | (54.16, 60.02) | mg/L | |
| Total N | 4.22 | 89.90 | 24.45 | 19.20 | 1.65 | 1.90 | (21.71, 27.19) | mg/L | |
| Total P | 0.28 | 8.95 | 2.24 | 2.11 | 1.35 | 1.03 | (1.94, 2.54) | mg/L | |
| TSS | 1 | 72.00 | 19.06 | 14.91 | 1.41 | 1.66 | (16.93, 21.19) | mg/L | |
| Output Parameters | Input Parameters | |||||||||
|---|---|---|---|---|---|---|---|---|---|---|
| pH | EC | Salinity | DO | COD | Total N | Total P | TSS | NH4 | NO3 | |
| pH | 0.03815 | 0.00505 | 0.00447 | 0.01142 | 0.00812 | 0.01041 | 0.00172 | 0.01176 | 0.00368 | 0.00170 |
| EC | 0.00355 | 0.00321 | 0.07357 | 0.00875 | 0.01042 | 0.01476 | 0.00077 | 0.00526 | 0.00772 | 0.01075 |
| Salinity | 0.00290 | 0.05163 | 0.01089 | 0.00320 | 0.00914 | 0.01936 | 0.00083 | 0.00751 | 0.00517 | 0.00054 |
| COD | 0.00916 | 0.02405 | 0.01131 | 0.00916 | 0.02725 | 0.01138 | 0.00079 | 0.01020 | 0.00132 | 0.00649 |
| Total N | 0.02291 | 0.02600 | 0.02118 | 0.00824 | 0.00681 | 0.05131 | 0.01928 | 0.00810 | 0.00245 | 0.00012 |
| Total P | 0.00810 | 0.02290 | 0.02601 | 0.00245 | 0.02118 | 0.05131 | 0.00681 | 0.01928 | 0.00824 | 0.00012 |
| TSS | 0.01079 | 0.01240 | 0.00916 | 0.00202 | 0.02716 | 0.00931 | 0.00368 | 0.01573 | 0.00125 | 0.00073 |
| Output | Scenarios | Input Parameters | Train (%) | Validation (%) | Test (%) | MSE | R2 |
|---|---|---|---|---|---|---|---|
| pH | 1 | pH, TSS, DO, Total N, COD, EC, Salinity, NH4, Total P, NO3 | 80 | 5 | 15 | 0.01279 | 0.89 |
| 9 | pH, TSS | 75 | 10 | 15 | 0.01145 | 0.83 | |
| EC | 1 | Salinity, Total N, NO3, COD, DO, NH4, TSS, pH, EC, Total P | 80 | - | 20 | 31.28646 | 0.97 |
| 9 | Salinity, Total N | 80 | - | 20 | 107.30676 | 0.96 | |
| Salinity | 1 | EC, Total N, Salinity, COD, TSS, NH4, DO, pH, Total P, NO3 | 80 | 5 | 15 | 0.00006 | 0.96 |
| 6 | Conductivity, Total N, Salinity, COD, TSS | 85 | - | 15 | 0.00007 | 0.94 | |
| COD | 1 | COD, EC, Total N, Salinity, TSS, pH, DO, NO3, NH4, Total P | 80 | 5 | 15 | 40.14093 | 0.86 |
| 5 | COD, Conductivity, Total N, Salinity, TSS, pH | 80 | 5 | 15 | 56.55725 | 0.80 | |
| Total N | 1 | Total N, EC, pH, Salinity, Total P, DO, TSS, COD, NH4, NO3 | 85 | - | 15 | 1.82925 | 0.96 |
| 3 | Total N, EC, pH, Salinity, Total P, DO, TSS, COD | 85 | - | 15 | 9.83923 | 0.91 | |
| Total P | 1 | Total N, Salinity, EC, COD, TSS, NH4, pH, Total P, DO, NO3 | 80 | 5 | 15 | 0.32555 | 0.90 |
| 6 | Total N, Salinity, Conductivity, COD, TSS | 80 | 5 | 15 | 0.67912 | 0.74 | |
| TSS | 1 | COD, TSS, EC, pH, Total N, Salinity, Total P, DO, NH4, NO3 | 75 | 10 | 15 | 5.25323 | 0.92 |
| 5 | COD, TSS, Conductivity, pH, Total N, Salinity | 75 | 10 | 15 | 33.69808 | 0.85 |
| Input Parameter | Rank of Categorized Parameters | Training (%) | Testing (%) | MF Type | Number of MFs | Training RMSE | Testing RMSE | R2 | ||
|---|---|---|---|---|---|---|---|---|---|---|
| pH | 6< | ≤6–8≥ | >8 | 80 | 20 | Trapmf | 3 | 0 | 0.0003 | 0.99 |
| 0 | 1 | 0 | ||||||||
| EC | <700 | ≤700–900≥ | 900> | 80 | 20 | Trapmf | 3 | 0.0005 | 0.0007 | 0.97 |
| 1 | 0.5 | 0 | ||||||||
| Salinity | <0.7 | ≤0.7–1.5≥ | 1.5> | 80 | 20 | Trapmf | 3 | 0 | 0 | 1 |
| 1 | 0.5 | 0 | ||||||||
| COD | <50 | ≤50–100≥ | 100> | 80 | 20 | Trapmf | 3 | 0 | 0 | 1 |
| 1 | 0.5 | 0 | ||||||||
| Total N | <7.5 | ≤7.5–15≥ | 15> | 80 | 20 | Trapmf | 3 | 0.090 | 0.091 | 0.92 |
| 1 | 0.5 | 0 | ||||||||
| Total P | <1 | ≤1–2≥ | 2> | 80 | 20 | Trapmf | 3 | 0.036 | 0.036 | 0.96 |
| 1 | 0.5 | 0 | ||||||||
| TSS | <15 | ≤15–30≥ | 30> | 80 | 20 | Trapmf | 3 | 0.045 | 0.045 | 0.90 |
| 1 | 0.5 | 1 | ||||||||
| Crops | Area | Area of Centre | Production | Yield | Total ETc | Total Reff | Cropping Pattern | Growing Days | q | Irrigable Area |
|---|---|---|---|---|---|---|---|---|---|---|
| (ha) | (ha) | (t) | (t/ha) | (mm) | (mm) | (%) | (day) | (L/s/ha) | (ha) | |
| Sunflower | 74,051 | 17,661.1 | 210,930 | 2.85 | 558 | 188.8 | 33.6 | 150 | 1.3784 | 145 |
| Maize | 10,765 | 2431.5 | 503,525 | 46.77 | 717 | 231.8 | 4.9 | 160 | 1.8115 | 110 |
| Canola | 3700 | 46.2 | 13,875 | 3.75 | 407 | 391.2 | 1.7 | 250 | 0.0589 | 3394 |
| Rice | 2109 | 4.4 | 17,745 | 8.41 | 689 | 231.8 | 1.0 | 170 | 1.7069 | 117 |
| Clover | 1725 | 500.0 | 33,182 | 19.24 | 777 | 277.4 | 0.8 | 210 | 1.8652 | 107 |
| Sugar Beat | 1412 | 52.0 | 67,334 | 47.68 | 736 | 296.6 | 0.6 | 190 | 1.6405 | 122 |
| Oat | 787 | 34.4 | 2754 | 3.50 | 524 | 189 | 0.4 | 260 | 1.2507 | 160 |
| Triticale | 982 | 180.0 | 4041 | 4.12 | 513 | 493 | 0.4 | 270 | 0.0746 | 2681 |
| Chickpea | 88 | 8.4 | 119 | 1.35 | 357 | 189 | 0.1 | 120 | 0.6272 | 319 |
| Potato | 75 | 7.7 | 1532 | 20.32 | 555 | 188.8 | 0.1 | 150 | 1.3672 | 146 |
| Total | 95,694 | 20,925.7 | 11.7811 | 7301 |
Disclaimer/Publisher’s Note: The statements, opinions and data contained in all publications are solely those of the individual author(s) and contributor(s) and not of MDPI and/or the editor(s). MDPI and/or the editor(s) disclaim responsibility for any injury to people or property resulting from any ideas, methods, instructions or products referred to in the content. |
© 2025 by the authors. Licensee MDPI, Basel, Switzerland. This article is an open access article distributed under the terms and conditions of the Creative Commons Attribution (CC BY) license (https://creativecommons.org/licenses/by/4.0/).
Share and Cite
Köksal, D.D.; Ahi, Y.; Todorovic, M. Assessing Agricultural Reuse Potential of Treated Wastewater: A Hybrid Machine Learning Approach. Agronomy 2025, 15, 703. https://doi.org/10.3390/agronomy15030703
Köksal DD, Ahi Y, Todorovic M. Assessing Agricultural Reuse Potential of Treated Wastewater: A Hybrid Machine Learning Approach. Agronomy. 2025; 15(3):703. https://doi.org/10.3390/agronomy15030703
Chicago/Turabian StyleKöksal, Daniyal Durmuş, Yeşim Ahi, and Mladen Todorovic. 2025. "Assessing Agricultural Reuse Potential of Treated Wastewater: A Hybrid Machine Learning Approach" Agronomy 15, no. 3: 703. https://doi.org/10.3390/agronomy15030703
APA StyleKöksal, D. D., Ahi, Y., & Todorovic, M. (2025). Assessing Agricultural Reuse Potential of Treated Wastewater: A Hybrid Machine Learning Approach. Agronomy, 15(3), 703. https://doi.org/10.3390/agronomy15030703

