Differential Sensitivity of Maize Hybrids to Nicosulfuron
Abstract
1. Introduction
2. Materials and Methods
2.1. Implementation of the Test and Nicosulfuron Application
2.2. Phytotoxicity and Growth Analysis
2.3. Determination of Compounds
2.4. Analysis of the Data
3. Results and Discussion
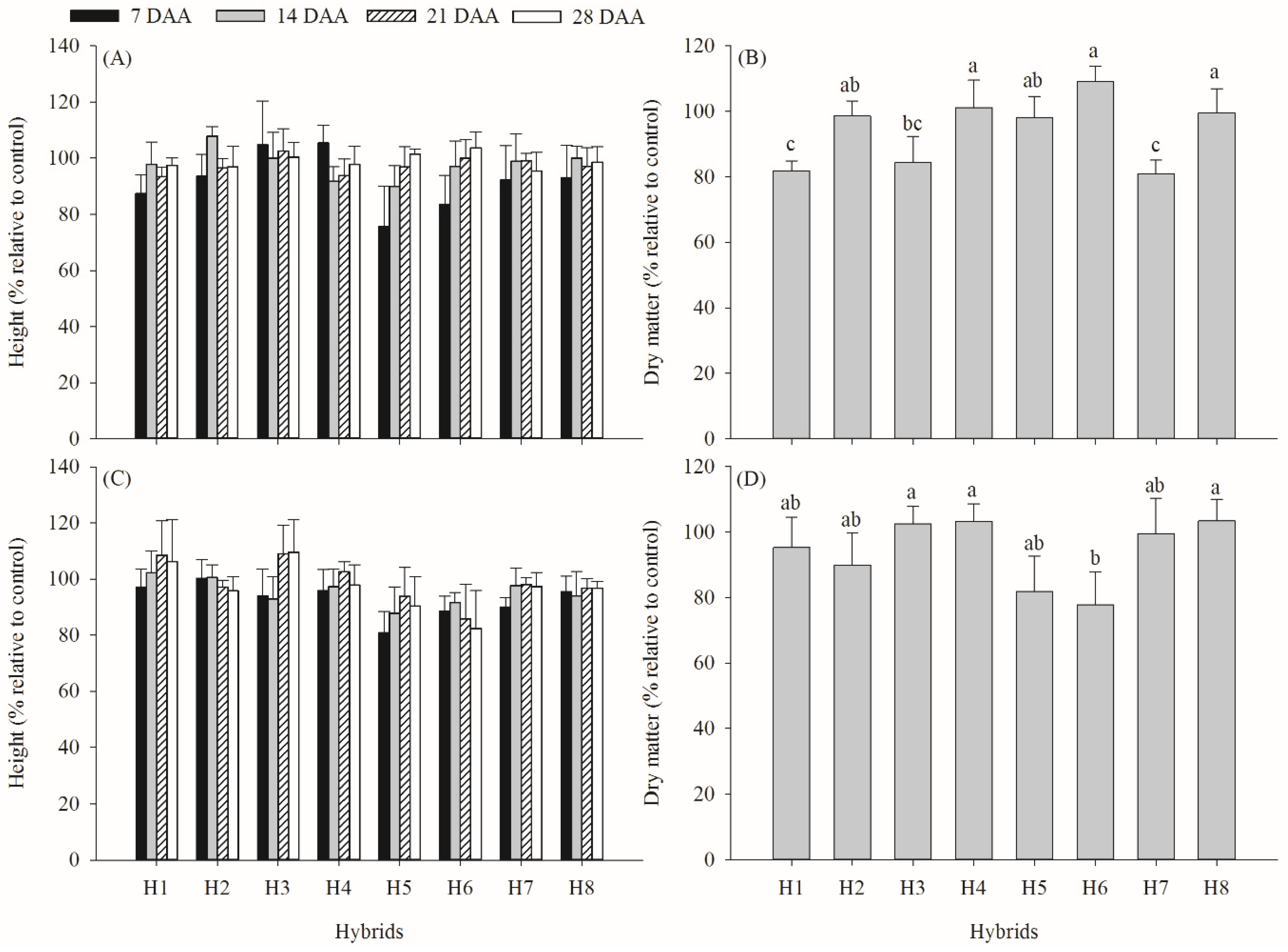
3.1. Phytotoxicity and Growth Analysis
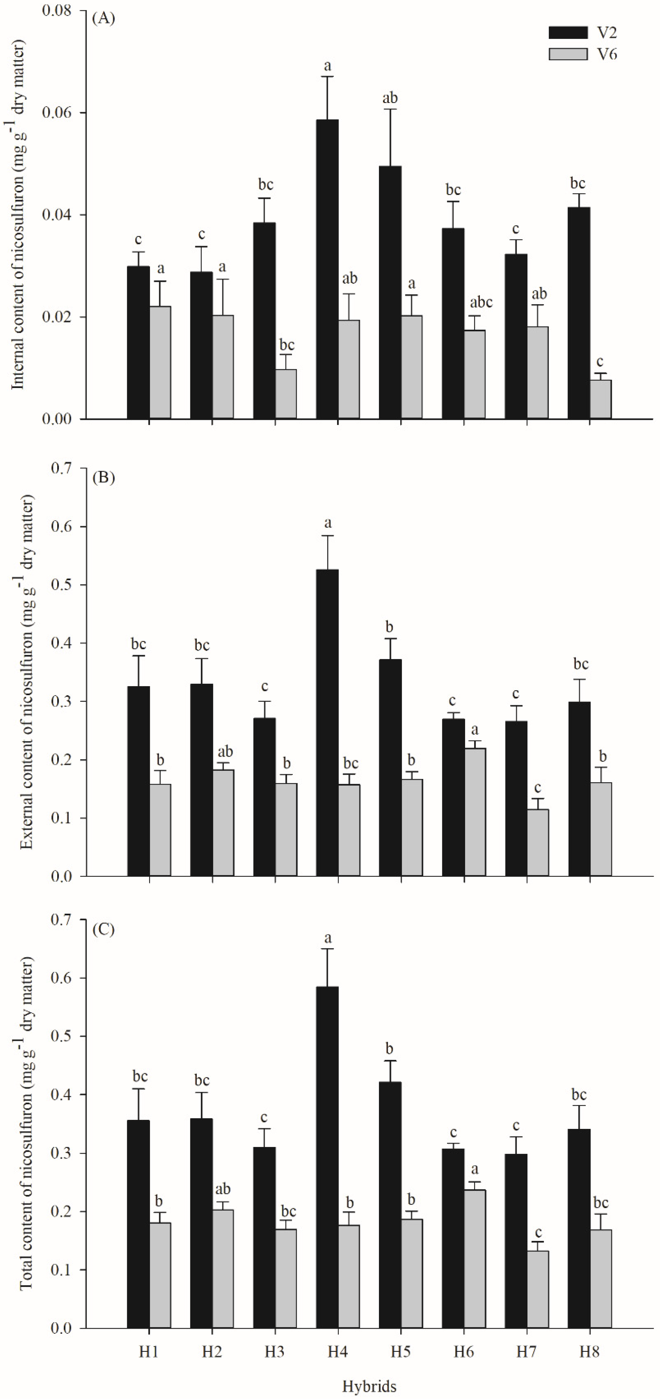
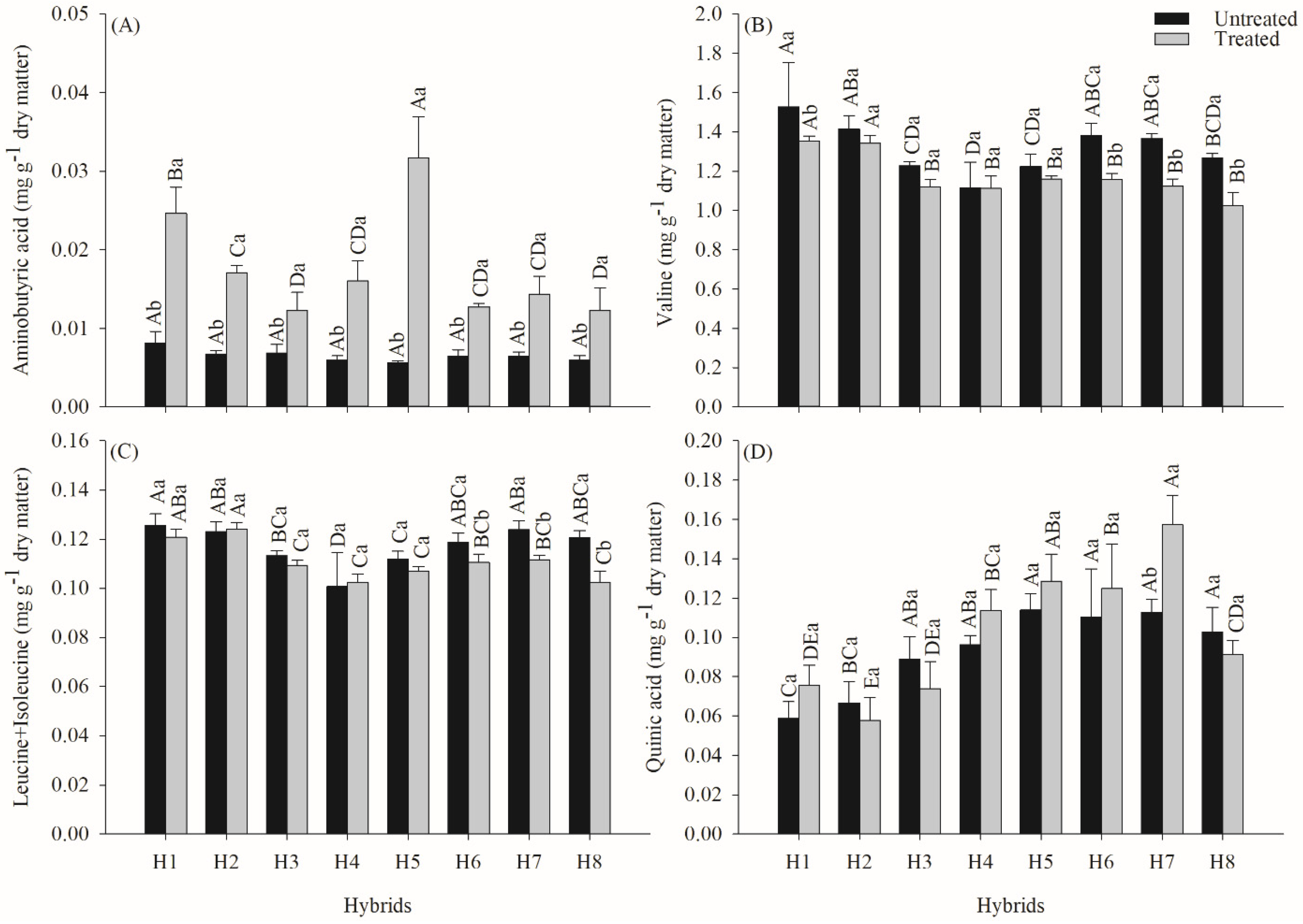
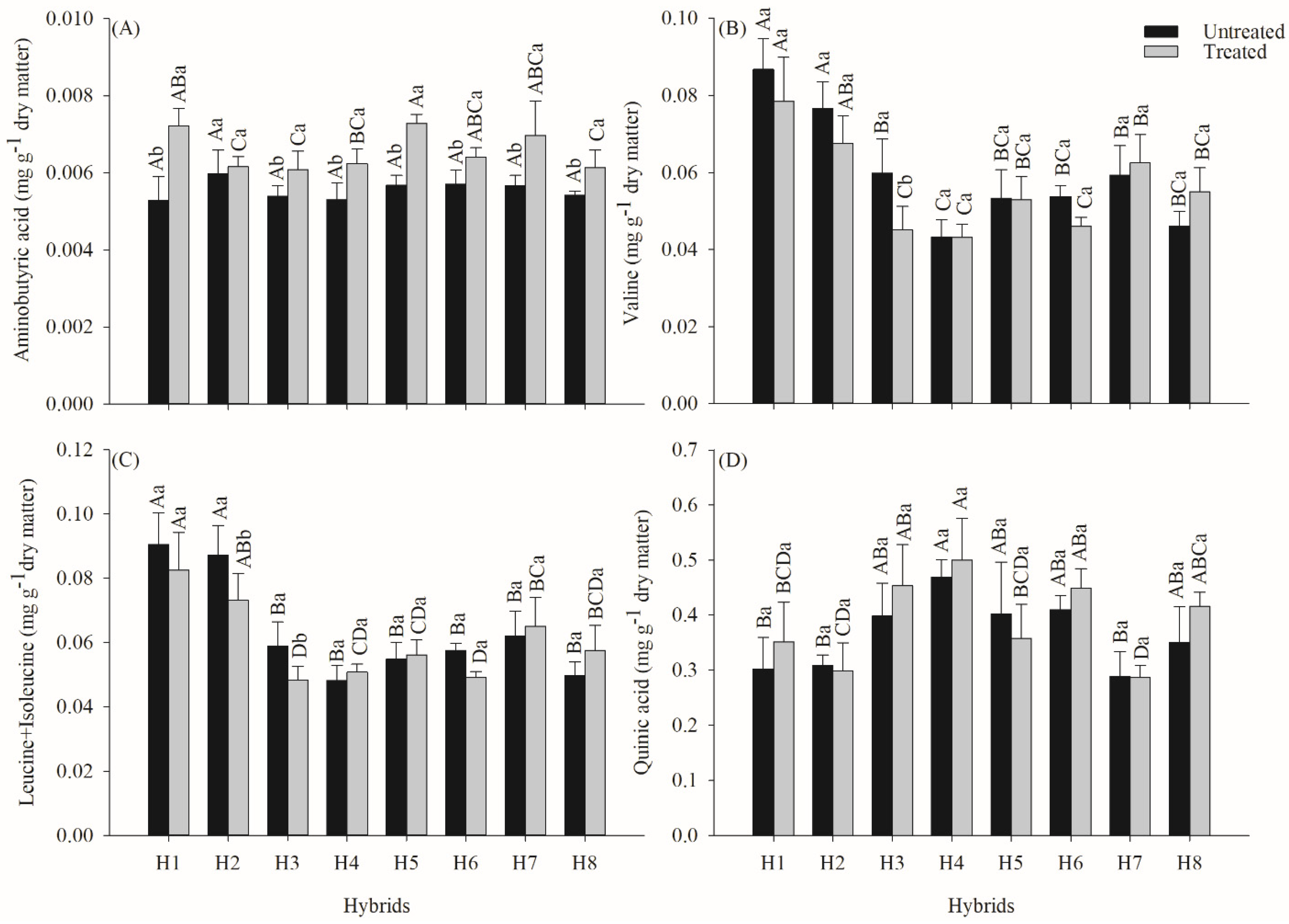
3.2. Determination of Compounds
4. Conclusions
Author Contributions
Funding
Data Availability Statement
Conflicts of Interest
References
- Rizzardi, M.A.; Balbinot Junior, A.A.; Bianchi, M.A.; Karam, D. Manejo de plantas daninhas na cultura do milho. In Manejo de Plantas Daninhas nas Culturas Agrícolas; Monquero, P.A., Ed.; RiMa Editora: São Carlos, Brazil, 2014; pp. 41–52. [Google Scholar]
- da Silva, A.A.; D’Antonino, L.; da Silva, A.F.; Vargas, L. Manejo de plantas daninhas. In Milho: Do Pantio a Colheita; Borém, A., Galvão, J.C.C., Pimentel, M.A., Eds.; UFV: Viçosa, MG, Brazil, 2015; pp. 242–272. [Google Scholar]
- Vargas, L.; Peixoto, C.M.; Roman, E.S. Manejo de Plantas Daninhas na Cultura do Milho; EMBRAPA: Passo Fundo, RS, Brazil, 2006. [Google Scholar]
- Rodrigues, B.N.; Almeida, F.S. de Guia de Herbicidas; Rodrigues, B.N., de Almeida, F.S., Eds.; GRAFMARKE: Londrina, Brazil, 2011. [Google Scholar]
- Durner, J.; Gailus, V.; Boger, P. New aspects on inhibition of plant acetolactate synthase by chlorsulfuron and imazaquin. Plant Physiol. 1991, 95, 1144–1149. [Google Scholar] [CrossRef][Green Version]
- Mccourt, J.A.; Pang, S.S.; King-scott, J.; Guddat, L.W.; Duggleby, R.G. Herbicide-binding sites revealed in the structure of plant acetohydroxyacid synthase. Proc. Natl. Acad. Sci. USA 2006, 103, 569–573. [Google Scholar] [CrossRef] [PubMed]
- Vidal, R.A.; Merotto, A., Jr.; Schaedler, C.E.; Lamego, F.P.; Portugal, J.; Menendes, J.; Kolzlowski, L.A.; Trezzi, M.M.; de Prado, R. Mecanismo de ação dos herbicidas. In Aspectos da Biologia e Manejo das Plantas Daninhas; Monquero, P.A., Ed.; RiMa Editora: São Carlos, Brazil, 2014; pp. 235–256. [Google Scholar]
- Shaner, D.L.; Singh, B.K. How does inhibition of acid biosynthesis kill plants? In Biosynthesis and Molecular Regulation of Amino Acids in Plants; Flores, H.E., Shannon, J.C., Eds.; American Society of Plant Physiologists: Rockville, MD, USA, 1992. [Google Scholar]
- Shaner, D.L. Physiological effects of the imidazolinone herbicides. In The Imidazolinone Herbicides; Shaner, D.L., O’Connor, S.L., Eds.; Lewis: Ann Arbor, MI, USA, 1991; pp. 129–138. [Google Scholar]
- Zhou, Q.; Liu, W.; Zhang, Y.; Liu, K.K. Action mechanisms of acetolactate synthase-inhibiting herbicides. Pestic. Biochem. Physiol. 2007, 89, 89–96. [Google Scholar] [CrossRef]
- LaRossa, R.A.; Van DyK, T.K.; Smulski, D.R. Toxic accumulation of α-ketobutyrate caused by inhibition of the branched-chain amino acid biosynthetic enzyme acetolactate synthase in salmonella typhimurium. J. Bacteriol. 1987, 169, 1372–1378. [Google Scholar] [CrossRef]
- Rhodes, D.; Hogan, A.L.; Deal, L.; Jamieson, G.C.; Haworth, P. Amino Acid Metabolism of Lemna minor L.: II. Responses to Chlorsulfuron. Plant Physiol. 1987, 84, 775–780. [Google Scholar] [CrossRef] [PubMed]
- Shaner, D.L.; Singh, B.K. Phytotoxicity of acetohydroxyacid synthase inhibitors is not due to accumulation of 2-ketobutyrate and/or 2-aminobutyrate. Plant Physiol. 1993, 103, 1221–1226. [Google Scholar] [CrossRef] [PubMed]
- Dayan, F.E.; Owens, D.K.; Corniani, N.; Silva, M.F.L.; Watson, S.B.; Howell, J.; Shaner, D.L. Biochemical markers and enzyme assays for herbicide mode of action and resistance studies. Weed Sci. 2015, 63, 23–63. [Google Scholar] [CrossRef]
- Whitcomb, C.E. An introduction to ALS-inhibiting herbicides. Toxicol. Ind. Health 1999, 15, 232–240. [Google Scholar] [CrossRef]
- Fonne-Pfister, R.; Gaudin, J.; Kreuz, K.; Ramsteiner, K.; Ebert, E. Hydroxylation of primisulfuron by an inducible cytochrome P450-dependent monooxygenase system from maize. Pestic. Biochem. Physiol. 1990, 37, 165–173. [Google Scholar] [CrossRef]
- Pataky, J.K.; Williams, M.M.; Riechers, D.E.; Meyer, M.D. A common genetic basis for cross-sensitivity to mesotrione and nicosulfuron in sweet corn hybrid cultivars and inbreds grown throughout North America. J. Am. Soc. Hortic. Sci. 2009, 134, 252–260. [Google Scholar] [CrossRef]
- Liu, X.; Bi, B.; Xu, X.; Li, B.; Tian, S.; Wang, J.; McElroy, J.S. Rapid identification of a candidate nicosulfuron sensitivity gene (Nss) in maize (Zea mays L.) via combining bulked segregant analysis and RNA-seq. Theor. Appl. Genet. 2019, 132, 1351–1361. [Google Scholar] [CrossRef] [PubMed]
- Zhang, Y.; Zhang, Q.; Liu, Q.; Zhao, Y.; Xu, W.; Hong, C.; Liu, B. Fine mapping and functional validation of the maize nicosulfuron-resistance gene CYP81A9. Front. Plant Sci. 2024, 15, 1443413. [Google Scholar] [CrossRef]
- Carey, J.B.; Penner, D.; Kells, J.J. Physiological basis for nicosulfuron and primisulfuron selectivity in five plant species. Weed Sci. 1997, 45, 22–30. [Google Scholar] [CrossRef]
- Wang, J.; Gao, H.; Guo, Z.; Meng, Y.; Yang, M.; Li, X.; Yang, Q. Adaptation responses in C4 photosynthesis of sweet maize (Zea mays L.) exposed to nicosulfuron. Ecotoxicol. Environ. Saf. 2021, 214, 112096. [Google Scholar] [CrossRef]
- Wu, Z.X.; Xu, N.W.; Yang, M.; Li, X.L.; Han, J.L.; Lin, X.H.; Wang, J. Responses of photosynthesis, antioxidant enzymes, and related gene expression to nicosulfuron stress in sweet maize (Zea mays L.). Environ. Sci. Pollut. Res. 2022, 29, 37248–37265. [Google Scholar] [CrossRef]
- Damião Filho, C.F.; Môro, F.V.; Taveira, L.R. Respostas de híbridos de milho ao nicosulfuron. I—Aspectos biológicos de da produção. Planta Daninha 1996, 14, 3–13. [Google Scholar] [CrossRef]
- Morton, C.A.; Harvey, R.G. Sweet corn (Zea mays) hybrid tolerance to nicosulfuron. Weed Technol. 1992, 6, 91–96. [Google Scholar] [CrossRef]
- Cavalieri, S.D.; Oliveira Junior, R.S.; Constantin, J.; Biffe, D.F.; Rios, F.A.; Franchini, L.H.M. Tolerância de híbridos de milho ao herbicida nicosulfuron. Planta Daninha 2008, 26, 203–214. [Google Scholar] [CrossRef]
- Gubbiga, N.G.; Worsham, A.D.; Coble, H.D.; Lemons, R.W. Effect of nicosulfuron on Johnsongrass (Sorghum halepense) control and corn (Zea mays) performance. Weed Technol. 1995, 9, 574–581. [Google Scholar] [CrossRef]
- Spader, V.; Vidal, R.A. Seletividade e dose de injúria econômica de nicosulfuron aplicado em diferentes estádios de desenvolvimento da cultura do milho. Ciência Rural. 2001, 31, 929–934. [Google Scholar] [CrossRef]
- Ferreira, D.F. Sisvar: A Guide for its Bootstrap procedures in multiple comparisons. Ciência E Agrotecnologia 2014, 38, 109–112. [Google Scholar] [CrossRef]
- Streibig, J.C. Herbicide bioassay. Weed Res. 1988, 28, 479–484. [Google Scholar] [CrossRef]
- Môro, F.V.; Damião Filho, C.F. Alterações morfo-anatômicas das folhas de milho submetidas à aplicação de nicosulfuron. Planta Daninha 1999, 17, 331–337. [Google Scholar] [CrossRef]
- Cavalieri, S.D.; Silva, F.M.L.; Velini, E.D.; São José, A.R.; Ulloa, S.M.; Datta, A.; Cavalieri, J.D.; Knezevic, S.Z. Seletividade do nicosulfuron em três estádios fenológicos de milho-pipoca. Planta Daninha 2012, 30, 377–386. [Google Scholar] [CrossRef]
- Contiero, R.L. Seletividade dos herbicidas nicosulfuron e foramsulfuron + iodosulfuron methyl sodium a diferentes cultivares de milho. Semin. Ciencias Agrar. 2009, 30, 1123–1134. [Google Scholar] [CrossRef]
- Merotto, A., Jr.; Fischer, A.J. Absorção e translocação de herbicidas nas plantas. In Manual de Manejo e Controle de Plantas Daninhas2; Vargas, L., Roman, E.S., Eds.; Embrapa Trigo: Passo Fundo, Brazil, 2008; pp. 89–106. [Google Scholar]
- Monquero, P.A.; Hirata, A.C.S. Comportamento de herbicidas nas plantas. In Aspectos da Biologia e Manejo das Plantas Daninhas; Monquero, P.A., Ed.; RiMa Editora: São Carlos, Brazil, 2014; pp. 145–166. [Google Scholar]
- da Silva, J.F.; da Silva, J.F.; Ferreira, L.R.; Ferreira, F.A. Herbicidas: Absorção, translocação, metabolismo, formulação e misturas. In Tópicos em Manejo de Plantas Daninhas2; da Silva, A.A., da Silva, J.F., Eds.; UFV: Viçosa, MG, Brazil, 2007; pp. 149–188. [Google Scholar]
- Chachalis, D.; Reddy, K.N.; Elmore, C.D. Characterization of leaf surface, wax composition, and control of redvine and trumpetcreeper with glyphosate. Weed Sci. 2001, 49, 156–163. [Google Scholar] [CrossRef]
- Obrigawitch, T.T.; Kenyon, W.H.; Kuratle, H. Effect of application timing on rhizome johnsongrass (Sorghum halepense) control with DPX-V9360. Weed Sci. 1990, 38, 45–49. [Google Scholar] [CrossRef]
- Petersen, I.L. Biomarkers in Herbicide Exposed Plants; Department of Basic Sciences and Environment, University of Copenhagen: København, Denmark, 2009. [Google Scholar]
- Li, Y.-Z.; Wang, C.-Y. 2-Aminobutyric Acid as a Chemical Marker for the Detection of Sulfonylurea Herbicides1. Weed Technol. 2005, 19, 176–182. [Google Scholar] [CrossRef]
- Wołejko, E.; Wydro, U.; Odziejewicz, J.I.; Koronkiewicz, A.; Jabłońska-Trypuć, A. Biomonitoring of Soil Contaminated with Herbicides. Water 2022, 14, 1534. [Google Scholar] [CrossRef]
- Loper, B.R.; Cobb, W.T.; Anderson, K.A. Chemical marker for ALS-inhibitor herbicides: 2-aminobutyric acid proportional in sub-lethal applications. J. Agric. Food Chem. 2002, 50, 2601–2606. [Google Scholar] [CrossRef] [PubMed]
- Orcaray, L.; Igal, M.; Marino, D.; Zabalza, A.; Royuela, M. The possible role of quinate in the mode of action of glyphosate and acetolactate synthase inhibitors. Pest Manag. Sci. 2010, 66, 262–269. [Google Scholar] [CrossRef] [PubMed]
- Anderson, P.C.; Hibberd, K.A. Evidence for the interaction of an imidazolinone herbicide with leucine, valine, and isoleucine metabolism. Weed Sci. 1985, 33, 479–483. [Google Scholar] [CrossRef]
- Shaner, D.L.; Reider, M.L. Physiological responses of corn (Zea mays) to AC 243,997 in combination with valine, leucine, and isoleucine. Pestic. Biochem. Physiol. 1986, 25, 248–257. [Google Scholar] [CrossRef]
- Zhao, L.J.; Xie, J.F.; Zhang, H.; Wang, Z.T.; Fan, R.J.; Lv, J.L.; Zhang, M. Changes in metabolites in maize seedlings under chlorsulfuron and cadmium stress. J. Agric. Sci. 2016, 154, 890–913. [Google Scholar] [CrossRef]
- Nemat Alla, M.M.; Badawi, A.M.; Hassan, N.M.; El-Bastawisy, Z.M.; Badran, E.G. Effect of metribuzin, butachlor and chlorimuron-ethyl on amino acid and protein formation in wheat and maize seedlings. Pestic. Biochem. Physiol. 2008, 90, 8–18. [Google Scholar] [CrossRef]
- Zabalza, A.; Gaston, S.; Ribas-Carbó, M.; Orcaray, L.; Igal, M.; Royuela, M. Nitrogen assimilation studies using 15N in soybean plants treated with imazethapyr, an inhibitor of branched-chain amino acid biosynthesis. J. Agric. Food Chem. 2006, 54, 8818–8823. [Google Scholar] [CrossRef]
- Zabalza, A.; Zulet, A.; Gil-Monreal, M.; Igal, M.; Royuela, M. Branched-chain amino acid biosynthesis inhibitors: Herbicide efficacy is associated with an induced carbon-nitrogen imbalance. J. Plant Physiol. 2013, 170, 814–821. [Google Scholar] [CrossRef] [PubMed]





| Maize Hybrids | ||||||||
|---|---|---|---|---|---|---|---|---|
| H1 | H2 | H3 | H4 | H5 | H6 | H7 | H8 | |
| Parameters | V2 Phenological stage | |||||||
| a | 172.9428 | 53.2378 | 180.1467 | 215.8887 | 431.7127 | 193.0041 | 149.9634 | 149.9634 |
| b | −1.9731 | −1.8417 | −2.0267 | −2.0994 | −2.0512 | −2.3147 | −1.9727 | −1.9727 |
| x0 | 13.2095 | 9.1386 | 12.2147 | 16.8956 | 15.6730 | 18.4899 | 19.3244 | 19.3244 |
| R2 | 0.9993 | 0.9780 | 0.9993 | 1.0000 | 1.0000 | 0.9999 | 0.9999 | 0.9998 |
| V6 Phenological stage | ||||||||
| a | - | 134.4048 | - | 93.6250 | 436.9673 | 308.2764 | 75.9062 | 77.2042 |
| b | - | −2.2213 | - | −2.7294 | −1.8937 | −2.2476 | −4.8487 | −4.8479 |
| x0 | - | 21.1624 | - | 15.6099 | 25.1637 | 23.2919 | 18.3868 | 18.2652 |
| R2 | - | 1.0000 | - | 0.9985 | 1.0000 | 1.0000 | 0.9999 | 0.9999 |
Disclaimer/Publisher’s Note: The statements, opinions and data contained in all publications are solely those of the individual author(s) and contributor(s) and not of MDPI and/or the editor(s). MDPI and/or the editor(s) disclaim responsibility for any injury to people or property resulting from any ideas, methods, instructions or products referred to in the content. |
© 2025 by the authors. Licensee MDPI, Basel, Switzerland. This article is an open access article distributed under the terms and conditions of the Creative Commons Attribution (CC BY) license (https://creativecommons.org/licenses/by/4.0/).
Share and Cite
Bevilaqua, N.d.C.; Costa, R.N.; Giovanelli, B.F.; Pereira, V.G.C.; Krenchinski, F.H.; Carbonari, C.A.; Velini, E.D. Differential Sensitivity of Maize Hybrids to Nicosulfuron. Agronomy 2025, 15, 557. https://doi.org/10.3390/agronomy15030557
Bevilaqua NdC, Costa RN, Giovanelli BF, Pereira VGC, Krenchinski FH, Carbonari CA, Velini ED. Differential Sensitivity of Maize Hybrids to Nicosulfuron. Agronomy. 2025; 15(3):557. https://doi.org/10.3390/agronomy15030557
Chicago/Turabian StyleBevilaqua, Natalia da Cunha, Renato Nunes Costa, Bruno Flaibam Giovanelli, Vinicius Gabriel Caneppele Pereira, Fábio Henrique Krenchinski, Caio Antonio Carbonari, and Edivaldo Domingues Velini. 2025. "Differential Sensitivity of Maize Hybrids to Nicosulfuron" Agronomy 15, no. 3: 557. https://doi.org/10.3390/agronomy15030557
APA StyleBevilaqua, N. d. C., Costa, R. N., Giovanelli, B. F., Pereira, V. G. C., Krenchinski, F. H., Carbonari, C. A., & Velini, E. D. (2025). Differential Sensitivity of Maize Hybrids to Nicosulfuron. Agronomy, 15(3), 557. https://doi.org/10.3390/agronomy15030557

