Enhancing Soil Physical Quality with Compost Amendments: Effects of Particle Size and Additives
Abstract
1. Introduction
2. Materials and Methods
2.1. Feedstock and Composting Process
2.2. Experimental Design
- CTR—control (soil without compost)
- C0—soil amended with compost (without any supplements)
- CB—soil amended with compost and biochar
- CZ—soil amended with compost and zeolite
- CD—soil amended with compost and diatomite
2.3. Measurements of Soil Physical Parameters
2.4. Statistics
3. Results
3.1. Effect of Compost Application on Soil Pore Characteristics
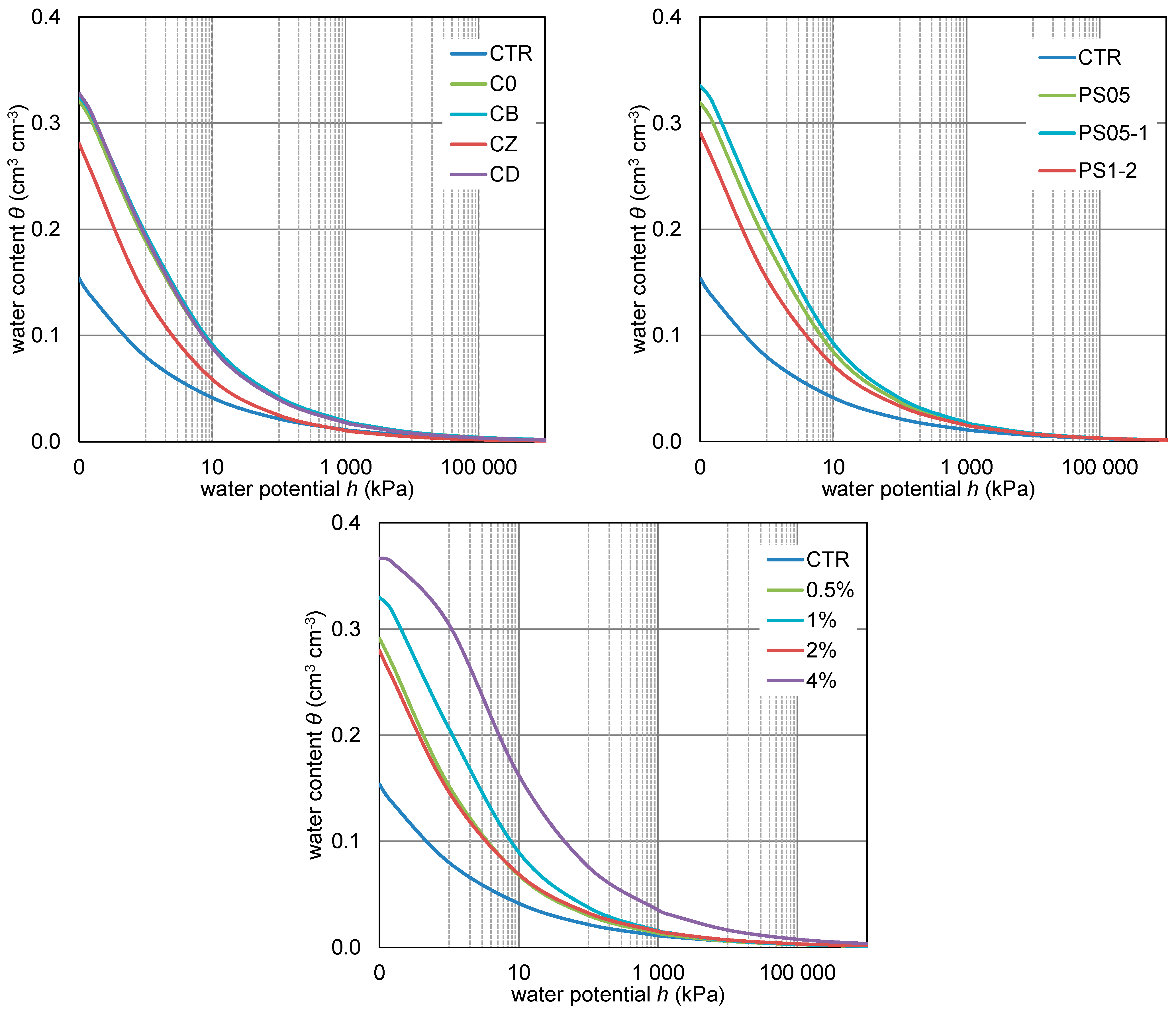
3.2. Effect of Compost Application on Soil Water Retention Characteristics
3.3. Water Repellency of Soil After Compost Amendment
4. Discussion
5. Conclusions
Supplementary Materials
Author Contributions
Funding
Data Availability Statement
Conflicts of Interest
References
- Goldan, E.; Nedeff, V.; Barsan, N.; Culea, M.; Panainte-Lehadus, M.; Mosnegutu, E.; Tomozei, C.; Chitimus, D.; Irimia, O. Assessment of Manure Compost Used as Soil Amendment—A Review. Processes 2023, 11, 1167. [Google Scholar] [CrossRef]
- Głąb, T.; Żabiński, A.; Sadowska, U.; Gondek, K.; Kopeć, M.; Mierzwa-Hersztek, M.; Tabor, S. Stanek Tarkowska, J. Fertilization effects of compost produced from maize, sewage sludge and biochar on soil water retention and chemical properties. Soil Tillage Res. 2020, 197, 104493. [Google Scholar] [CrossRef]
- Paradelo, R.; Eden, M.; Martínez, I.; Keller, T.; Houot, S. Soil physical properties of a Luvisol developed on loess after 15 years of amendment with compost. Soil Tillage Res. 2019, 191, 207–215. [Google Scholar] [CrossRef]
- Hargreaves, J.C.; Adl, M.S.; Warman, P.R. A review of the use of composted municipal solid waste in agriculture. Agr. Eco. Environ. 2008, 123, 1–14. [Google Scholar] [CrossRef]
- Ramos, M.C. Effects of compost amendment on the available soil water and grape yield in vineyards planted after land leveling. Agr. Water Manag. 2017, 191, 67–76. [Google Scholar] [CrossRef]
- Głąb, T. Water retention and repellency of a sandy soil amended with municipal compost. Compos. Sci. Util. 2014, 22, 47–56. [Google Scholar] [CrossRef]
- Aggelides, S.M.; Londra, P.A. Effects of compost produced from town wastes and sewage sludge on the physical properties of a loamy and a clay soil. Bioresour. Technol. 2000, 71, 253–259. [Google Scholar] [CrossRef]
- Leelamanie, D.; Manawardana, C. Soil hydrophysical properties as affected by solid waste compost amendments: Seasonal and short-term effects in an Ultisol. J. Hydrol. Hydromech. 2019, 67, 232–239. [Google Scholar] [CrossRef]
- Müller, K.; Deurer, M. Review of the remediation strategies for soil water repellency. Agr. Eco. Environ. 2011, 144, 208–221. [Google Scholar] [CrossRef]
- Hallett, P.D. A brief overview of the causes, impacts and amelioration of soil water repellency—A review. Soil Water Res. 2018, 3, 21–29. [Google Scholar] [CrossRef]
- McKissock, I.; Walker, E.L.; Gilkes, R.J.; Carter, D.J. The influence of clay type on reduction of water repellency by applied clays: A review of some West Australian work. J. Hydrol. 2000, 231–232, 323–332. [Google Scholar] [CrossRef]
- Sokac, T.; Valinger, D.; Benkovic, M.; Jurina, T.; Gajdos Kljusuric, J.; Radojcic Redovnikovic, I.; Jurinjak Tusek, A. Application of optimization and modeling for the composting processes enhancement. Processes 2022, 10, 229. [Google Scholar] [CrossRef]
- Gondek, K.; Micek, P.; Mierzwa-Hersztek, M.; Kowal, J.; Andres, K.; Szczurowska, K.; Lis, M.; Smoroń, K. Effects of functionalized materials and bacterial metabolites on quality indicators in composts. Materials 2022, 15, 8564. [Google Scholar] [CrossRef]
- Barthod, J.; Rumpel, C.; Dignac, M.-F. Composting with additives to improve organic amendments. A review. Agron. Sustain. Dev. 2018, 38, 17. [Google Scholar] [CrossRef]
- Waqas, M.; Nizami, A.; Aburiazaiza, A.; Barakat, M.; Ismail, I.; Rashid, M. Optimization of food waste compost with the use of biochar. J. Environ. Manag. 2017, 216, 70–81. [Google Scholar] [CrossRef] [PubMed]
- Chatzistathis, T.; Papaioannou, E.; Giannakoula, A.; Papadakis, I.E. Zeolite and vermiculite as inorganic soil amendments modify shoot-root allocation, mineral nutrition, photosystem ii activity and gas exchange parameters of chestnut (Castanea sativa Mill) plants. Agronomy 2021, 11, 109. [Google Scholar] [CrossRef]
- Paramashivam, D.; Clough, T.J.; Carlton, A.; Gough, K.; Dickinson, N.; Horswell, J.; Sherlock, R.R.; Clucas, L.; Robinson, B.H. The effect of lignite on nitrogen mobility in a low-fertility soil amended with biosolids and urea. Sci. Total Environ. 2015, 543 Pt A, 601–608. [Google Scholar] [CrossRef]
- Rehman, M.Z.; Khalid, H.; Akmal, F.; Ali, S.; Rizwan, M.; Qayyum, M.F.; Iqbal, M.; Khalid, M.U.; Azhar, M. Effect of limestone, lignite and biochar applied alone and combined on cadmium uptake in wheat and rice under rotation in an effluent irrigated field. Environ. Pollut. 2017, 227, 560–568. [Google Scholar] [CrossRef]
- Ratanaprommanee, C.; Chinachanta, K.; Shutsrirung, A. Chemical characterization of leonardite and its potential use as soil conditioner and plant growth enhancement. Asia-Pac. J. Sci. Technol. 2016, 22, 4. [Google Scholar]
- Cao, X.; Reichel, R.; Wissel, H.; Kummer, S.; Bruggemann, N. High carbon amendments increase nitrogen retention in soil after slurry application—An incubation study with silty loam soil. J. Soil Sci. Plant Nutr. 2021, 22, 1277–1289. [Google Scholar] [CrossRef]
- Sariyildiz, T. Effects of leonardite and mineral fertilizer applications on plant growth and soil quality of garlic (Allium sativum L.). Turk. J. Agric. Food Sci. Technol. 2020, 8, 1763–1772. [Google Scholar] [CrossRef]
- Głąb, T.; Gondek, K.; Marcińska-Mazur, L.; Jarosz, R.; Mierzwa–Hersztek, M. Effect of organic/inorganic composites as soil amendments on the biomass productivity and root architecture of spring wheat and rapeseed. J. Environ. Manag. 2023, 344, 118628. [Google Scholar] [CrossRef]
- Herath, H.M.S.K.; Camps-Arbestain, M.; Hedley, M. Effect of biochar on soil physical properties in two contrasting soils: An Alfisol and an Andisol. Geoderma 2013, 209–210, 188–197. [Google Scholar] [CrossRef]
- Głąb, T.; Palmowska, J.; Zaleski, T.; Gondek, K. Effect of biochar application on soil hydrological properties and physical quality of sandy soil. Geoderma 2016, 281, 11–20. [Google Scholar] [CrossRef]
- Atkinson, C.J.; Fitzgerald, J.D.; Hipps, N.A. Potential mechanisms for achieving agricultural benefits from biochar application to temperature soils: A review. Plant Soil 2010, 337, 1–18. [Google Scholar] [CrossRef]
- Jarosz, R.; Szerement, J.; Gondek, K.; Mierzwa-Hersztek, M. The use of zeolites as an addition to fertilizers—A review. Catena 2022, 213, 106125. [Google Scholar] [CrossRef]
- Szerement, J.; Szatanik-Kloc, A.; Jarosz, R.; Bajda, T.; Mierzwa-Hersztek, M. Contemporary applications of natural and synthetic zeolites from fly ash in agriculture and environmental protection. J. Clean. Prod. 2021, 311, 1274. [Google Scholar] [CrossRef]
- Tzanakakis, V.A.; Monokrousos, N.; Chatzistathis, T. Effects of clinoptilolite zeolite and vermiculite on nitrification and nitrogen and phosphorus acquiring enzymes in a nitrogen applied agricultural soil. J. Soil Sci. Plant Nutr. 2021, 21, 2791–2802. [Google Scholar] [CrossRef]
- Lahori, A.H.; Mierzwa-Hersztek, M.; Demiraj, E.; Sajjad, R.U.; Ali, I.; Shehnaz, I.; Aziz, A.; Zuberi, M.H.; Pirzada, A.M.; Hassan, K.; et al. Direct and residual impacts of zeolite on the remediation of harmful elements in multiple contaminated soils using cabbage in rotation with maize. Chemosphere 2020, 250, 126317. [Google Scholar] [CrossRef]
- Eprikashvili, L.; Zautashvili, M.; Kordzakhia, T.; Pirtskhalava, N.; Dzagania, M.; Rubashvili, I.; Tsitsishvili, V. Intensification of bioproductivity of agricultural cultures by adding natural zeolites and brown coals into soils. Ann. Agrar. Sci. 2019, 14, 67–71. [Google Scholar] [CrossRef]
- Liang, C.; Gasco, G.; Fu, S.; Mendez, A.; Paz-Ferreiro, J. Biochar from pruning residues as a soil amendment: Effects of pyrolysis temperature and particle size. Soil Tillage Res. 2016, 164, 3–10. [Google Scholar] [CrossRef]
- Trifunovic, B.; Gonzales, H.B.; Ravi, S.; Sharratt, B.S.; Mohanty, S.K. Dynamic effects of biochar concentration and particle size on hydraulic properties of sand. Land Degrad. Dev. 2018, 29, 884–893. [Google Scholar] [CrossRef]
- Lozano, J.; Blok, W.J.; Termorshuizen, A.J. Effect of compost particle size on suppression of plant diseases. Environ. Eng. Sci. 2009, 26, 601–607. [Google Scholar] [CrossRef]
- Lopez, R.; Hurtado, M.D.; Cabrera, F. Compost properties related to particle size. In Waste Management and the Environment; WIT Press: Southampton, UK, 2002; Volume 56, ISBN 1853129194. [Google Scholar]
- Zhao, S.; Liu, X.; Duo, L. Physical and chemical characterization of municipal solid waste compost in different particle size fractions. Pol. J. Environ. Stud. 2012, 21, 509–515. [Google Scholar]
- Verma, S.L.; Marschner, P. Compost effects on microbial biomass and soil P pools as affected by particle size and soil properties. J. Soil Sci. Plant Nutr. 2013, 13, 313–328. [Google Scholar] [CrossRef]
- Stock, O.; Downes, N.K. Effects of additions of organic matter on the penetration resistance of glacial till for the entire water tension range. Soil Tillage Res. 2008, 99, 191–201. [Google Scholar] [CrossRef]
- Klute, A.; Dirksen, C. Water retention. Laboratory methods. In Methods of Soil Analysis. Part 1. Physical and Mineralogical Methods; SSA Book Series: 5; Klute, A., Ed.; American Society of Agronomy and Soil Science Society of America: Madison, WI, USA, 1986. [Google Scholar]
- Van Genuchten, M.T. A closed-form equation for predicting the hydraulic conductivity of unsaturated soils. Soil Sci. Soc. Am. J. 1980, 44, 892–898. [Google Scholar] [CrossRef]
- Mualem, Y. Hydraulic conductivity of unsaturated soils: Prediction and formulas. In Methods of Soil Analysis. Part 1. Physical and Mineralogical Methods; Klute, A., Ed.; ASA, SSSA: Madison, WI, USA, 1986; Volume 9, pp. 799–823. [Google Scholar] [CrossRef]
- Reynolds, W.D.; Drury, C.F.; Tan, C.S.; Fox, C.A.; Yang, X.M. Use of indicators and pore volume-function characteristics to quantify soil physical quality. Geoderma 2009, 152, 252–263. [Google Scholar] [CrossRef]
- Ahuja, L.R.; Fiedler, F.; Dunn, G.H.; Benjamin, J.G.; Garrison, A. Changes in soil water retention curves due to tillage and natural reconsolidation. Soil Sci. Soc. Am. J. 1998, 62, 1228–1233. [Google Scholar] [CrossRef]
- Greenland, D.J. Soil management and soil degradation. J. Soil Sci. 1981, 32, 301–322. [Google Scholar] [CrossRef]
- Van’t Woudt, B.D. Particle coatings affecting the wettability of soils. J. Geophys. Res. 1959, 64, 263–267. [Google Scholar] [CrossRef]
- Dekker, L.W.; Jungerius, P.D. Water repellency in the dunes with special reference to The Netherlands. Catena 1990, 18, 173–183. [Google Scholar]
- Rivier, P.; Jamniczky, D.; Nemes, A.; Mako, A.; Barna, G.; Uzinger, N.; Rekasi, M.; Farkas, C. Short-term effects of compost amendments to soil on soil structure, hydraulic properties, and water regime. J. Hydrol. Hydromech. 2022, 70, 74–88. [Google Scholar] [CrossRef]
- Günal, E.; Erdem, H.; Çelik, I. Effects of three different biochars amendment on water retention of silty loam and loamy soils. Agr. Water Manag. 2018, 208, 232–244. [Google Scholar] [CrossRef]
- Głąb, T.; Zaleski, T.; Erhart, E.; Hartl, W. Effect of biowaste compost and nitrogen fertilization on macroporosity and biopores of Molli-gleyic Fluvisol soil. Int. Agrophys. 2008, 22, 303–311. [Google Scholar]
- Głąb, T.; Zaleski, T.; Erhart, E.; Hartl, W. Effect of biowaste compost and nitrogen fertilization on hydraulic properties of Molli-gleyic Fluvisol soil. Int. Agrophys. 2009, 23, 123–128. [Google Scholar]
- Belviso, C.; Satriani, A.; Lovelli, S.; Comegna, A.; Coppola, A.; Dragonetti, G.; Cavalcante, F.; Rivelli, A.R. Impact of Zeolite from Coal Fly Ash on Soil Hydrophysical Properties and Plant Growth. Agriculture 2022, 12, 356. [Google Scholar] [CrossRef]
- Abdel-Hassan, S.N.; Radi, A.M.A. Effect of zeolite on some physical properties of wheat plant growth (Triticum aestivum L.). Plant Arch. 2018, 18, 2641–2648. [Google Scholar]
- Ramos, F.T.; Weber, O.L.S.; Morais, E.B.; Dores, E.F.G.C.; Lima, Z.M.; Novais, J.M.P. Physical, chemical, and microbiological evaluation of a compost conditioned with zeolites. Afr. J. Agric. Res. 2018, 13, 664–672. [Google Scholar]
- Al-Omran, A.; Ibrahim, A.; Alharbi, A. Effects of biochar and compost on soil physical quality indices. Commun. Soil Sci. Plant Anal. 2021, 52, 2482–2499. [Google Scholar] [CrossRef]
- Aksakal, E.L.; Angin, I.; Oztas, T. Effects of diatomite on soil physical properties. Catena 2012, 88, 1–5. [Google Scholar] [CrossRef]
- Hardie, M.; Clothier, B.; Bound, S.; Oliver, G.; Close, D. Does biochar influence soil physical properties and soil water availability? Plant Soil 2014, 376, 347–361. [Google Scholar] [CrossRef]
- Wallace, D.; Almond, P.; Carrick, S.; Thomas, S. Targeting changes in soil porosity through modification of compost size and application rate. Soil Res. 2019, 58, 268–276. [Google Scholar] [CrossRef]
- Scott, D.F. Soil wettability in forested catchments in South Africa; as measured by different methods and as affected by vegetation cover and soil characteristics. J. Hydrol. 2000, 231–232, 87–104. [Google Scholar] [CrossRef]
- Gao, Y.; Yang, P. Temporal and spatial distribution of soil water repellency in grassland soils and its relation to soil moisture, hydrophobic matter, and particle size. Sci. Total Environ. 2003, 904, 166700. [Google Scholar] [CrossRef]
- de Jonge, L.W.; Jacobsen, O.H.; Moldrup, P. Soil Water Repellency: Effects of Water Content, Temperature, and Particle Size. Soil Sci. Soc. Am. J. 1999, 63, 437–442. [Google Scholar] [CrossRef]
- Rodríguez-Alleres, M.; de Blas, E.; Benito, E. Estimation of soil water repellency of different particle size fractions in relation with carbon content by different methods. Sci. Total Environ. 2007, 378, 147–150. [Google Scholar] [CrossRef] [PubMed]
- Saulick, Y.; Lourenço, S.D.N.; Baudet, B.A.; Woche, S.K.; Bachmann, J. Physical properties controlling water repellency in synthesized granular solids. Eur. J. Soil Sci. 2018, 69, 698–709. [Google Scholar] [CrossRef]
- Lourenço, S.D.N.; Woche, S.K.; Bachmann, J.; Saulick, Y. Wettability of crushed air-dried minerals. Géotechnique Lett. 2015, 5, 173–177. [Google Scholar] [CrossRef]








| Component | BET Surface Area (m2 g−1) | Total Pore Volume (cm3 g−1) |
|---|---|---|
| Diatomite | 25.9 ± 0.9 | 0.064 ± 0.002 |
| Biochar | 185.6 ± 6.6 | 0.088 ± 0.003 |
| Zeolite | 74.9 ± 1.0 | 0.225 ± 0.001 |
| Component | Ash (g kg−1) | Corg. (g kg−1) | Ntotal (g kg−1) | C:N | pH | EC (mS cm−1) |
|---|---|---|---|---|---|---|
| Poultry manure | 345 ± 30 | 307 ± 7 | 34.66 ± 1.77 | 8.9 | 6.93 ± 0.01 | 3.99 ± 0.19 |
| Corn straw | 85 ± 1 | 438 ± 22 | 13.62 ± 0.11 | 32.2 | 6.13 ± 0.02 | 3.02 ± 0.08 |
| Grass biomass | 94 ± 2 | 442 ± 4 | 14.75 ± 0.46 | 30.0 | 5.83 ± 0.05 | 3.98 ± 0.16 |
| Lignite | 82 ± 2 | 647 ± 1 | 8.53 ± 0.02 | 75.8 | 4.58 ± 0.28 | 0.58 ± 0.04 |
| Leonardite | 421 ± 14 | 426 ± 9 | 4.77 ± 0.08 | 89.3 | 5.77 ± 0.25 | 0.32 ± 0.02 |
| Biochar | 94 ± 6 | 420 ± 3 | 6.48 ± 0.36 | 64.8 | 7.47 ± 0.16 | 0.44 ± 0.09 |
| Zeolite | 943 ± 1 | 32 ± 1 | 0.81 ± 0.09 | 39.5 | 11.80 ± 0.07 | 1.86 ± 0.05 |
| Diatomite | 999 ± 0 | 0.001 ± 0 | 0.39 ± 0.06 | 0.0 | 10.02 ± 0.68 | 0.61 ± 0.03 |
| Parameter | Unit | Value |
|---|---|---|
| pH (H2O) | 6.41 ± 0.02 | |
| Corg. | g kg−1 | 11.03 ± 0.09 |
| Ntotal | g kg−1 | 1.15 ± 0.03 |
| C:N | 9.597 | |
| P | g kg−1 | 0.32 ± 0.06 |
| K | g kg−1 | 0.26 ± 0.04 |
| Solid particle density | g cm−3 | 2.65 ± 0.06 |
| Sand | g kg−1 | 820 |
| Silt | g kg−1 | 170 |
| Clay | g kg−1 | 10 |
| Compost Type | Particle Size | Compost Rate (%) | BD (g cm−3) | FC (cm3 cm−3) | PWP (cm3 cm−3) | AWC (cm3 cm−3) | PWC (cm3 cm−3) | S | RFC | WDPT (s) |
|---|---|---|---|---|---|---|---|---|---|---|
| CTR | 1.667 | 0.042 | 0.008 | 0.033 | 0.036 | 0.0594 | 0.113 | 1.0 | ||
| C0 | PS05 | 0.5 | 1.710 | 0.077 | 0.005 | 0.068 | 0.066 | 0.0596 | 0.218 | 1.6 |
| 1 | 1.724 | 0.072 | 0.015 | 0.046 | 0.052 | 0.0626 | 0.205 | 2.2 | ||
| 2 | 1.714 | 0.102 | 0.017 | 0.069 | 0.069 | 0.0628 | 0.289 | 6.6 | ||
| 4 | 1.708 | 0.174 | 0.009 | 0.124 | 0.096 | 0.0688 | 0.490 | 11.7 | ||
| PS05-1 | 0.5 | 1.707 | 0.074 | 0.004 | 0.064 | 0.057 | 0.0583 | 0.207 | 2.1 | |
| 1 | 1.702 | 0.076 | 0.012 | 0.053 | 0.054 | 0.0657 | 0.211 | 2.7 | ||
| 2 | 1.698 | 0.189 | 0.031 | 0.104 | 0.111 | 0.0714 | 0.526 | 1.6 | ||
| 4 | 1.648 | 0.164 | 0.061 | 0.081 | 0.108 | 0.0679 | 0.434 | 25.1 | ||
| PS1-2 | 0.5 | 1.748 | 0.072 | 0.005 | 0.058 | 0.051 | 0.0589 | 0.210 | 1.6 | |
| 1 | 1.726 | 0.081 | 0.013 | 0.053 | 0.055 | 0.0631 | 0.233 | 2.8 | ||
| 2 | 1.692 | 0.184 | 0.040 | 0.112 | 0.135 | 0.0670 | 0.509 | 2.0 | ||
| 4 | 1.644 | 0.260 | 0.063 | 0.152 | 0.158 | 0.0614 | 0.684 | 2.0 | ||
| CB | PS05 | 0.5 | 1.691 | 0.083 | 0.004 | 0.070 | 0.066 | 0.0703 | 0.230 | 1.6 |
| 1 | 1.747 | 0.072 | 0.006 | 0.057 | 0.049 | 0.0676 | 0.211 | 3.9 | ||
| 2 | 1.758 | 0.086 | 0.010 | 0.069 | 0.055 | 0.0559 | 0.255 | 7.5 | ||
| 4 | 1.696 | 0.209 | 0.040 | 0.113 | 0.119 | 0.0693 | 0.581 | 3.1 | ||
| PS05-1 | 0.5 | 1.702 | 0.084 | 0.005 | 0.071 | 0.067 | 0.0648 | 0.234 | 1.5 | |
| 1 | 1.723 | 0.109 | 0.006 | 0.081 | 0.074 | 0.0672 | 0.311 | 1.6 | ||
| 2 | 1.712 | 0.090 | 0.011 | 0.072 | 0.060 | 0.0627 | 0.255 | 2.0 | ||
| 4 | 1.615 | 0.176 | 0.010 | 0.135 | 0.097 | 0.0738 | 0.450 | 12.9 | ||
| PS1-2 | 0.5 | 1.719 | 0.063 | 0.004 | 0.047 | 0.043 | 0.0621 | 0.178 | 1.0 | |
| 1 | 1.755 | 0.073 | 0.007 | 0.060 | 0.047 | 0.0607 | 0.217 | 4.3 | ||
| 2 | 1.724 | 0.088 | 0.006 | 0.073 | 0.055 | 0.0549 | 0.251 | 2.6 | ||
| 4 | 1.621 | 0.246 | 0.062 | 0.150 | 0.155 | 0.0632 | 0.634 | 1.9 | ||
| CZ | PS05 | 0.5 | 1.705 | 0.073 | 0.004 | 0.063 | 0.060 | 0.0624 | 0.204 | 1.7 |
| 1 | 1.733 | 0.122 | 0.006 | 0.101 | 0.096 | 0.0679 | 0.354 | 2.7 | ||
| 2 | 1.743 | 0.187 | 0.008 | 0.141 | 0.131 | 0.0746 | 0.546 | 1.0 | ||
| 4 | 1.740 | 0.224 | 0.009 | 0.187 | 0.161 | 0.0640 | 0.652 | 1.8 | ||
| PS05-1 | 0.5 | 1.731 | 0.052 | 0.005 | 0.042 | 0.035 | 0.0705 | 0.150 | 1.5 | |
| 1 | 1.723 | 0.124 | 0.007 | 0.085 | 0.077 | 0.0784 | 0.354 | 1.0 | ||
| 2 | 1.720 | 0.172 | 0.010 | 0.119 | 0.105 | 0.0737 | 0.491 | 1.6 | ||
| 4 | 1.689 | 0.218 | 0.041 | 0.169 | 0.155 | 0.0617 | 0.601 | 115.3 | ||
| PS1-2 | 0.5 | 1.720 | 0.134 | 0.005 | 0.083 | 0.079 | 0.0707 | 0.383 | 1.0 | |
| 1 | 1.725 | 0.198 | 0.007 | 0.141 | 0.136 | 0.0751 | 0.567 | 2.5 | ||
| 2 | 1.646 | 0.083 | 0.033 | 0.046 | 0.045 | 0.0471 | 0.220 | 1.1 | ||
| 4 | 1.661 | 0.288 | 0.077 | 0.179 | 0.188 | 0.0649 | 0.770 | 2.3 | ||
| CD | PS05 | 0.5 | 1.730 | 0.067 | 0.004 | 0.051 | 0.046 | 0.0602 | 0.193 | 1.0 |
| 1 | 1.695 | 0.097 | 0.006 | 0.080 | 0.075 | 0.0667 | 0.269 | 1.0 | ||
| 2 | 1.691 | 0.084 | 0.016 | 0.058 | 0.055 | 0.0616 | 0.231 | 4.5 | ||
| 4 | 1.724 | 0.132 | 0.016 | 0.091 | 0.076 | 0.0714 | 0.378 | 59.3 | ||
| PS05-1 | 0.5 | 1.716 | 0.076 | 0.005 | 0.050 | 0.044 | 0.0711 | 0.217 | 1.0 | |
| 1 | 1.730 | 0.130 | 0.007 | 0.086 | 0.078 | 0.0725 | 0.372 | 1.7 | ||
| 2 | 1.639 | 0.089 | 0.020 | 0.061 | 0.059 | 0.0640 | 0.234 | 1.4 | ||
| 4 | 1.605 | 0.125 | 0.048 | 0.064 | 0.062 | 0.0545 | 0.317 | 241.9 | ||
| PS1-2 | 0.5 | 1.748 | 0.085 | 0.004 | 0.061 | 0.055 | 0.0722 | 0.249 | 1.0 | |
| 1 | 1.667 | 0.098 | 0.013 | 0.073 | 0.069 | 0.0718 | 0.263 | 1.6 | ||
| 2 | 1.708 | 0.107 | 0.009 | 0.084 | 0.073 | 0.0559 | 0.300 | 1.8 | ||
| 4 | 1.630 | 0.255 | 0.032 | 0.191 | 0.183 | 0.0714 | 0.662 | 1.6 | ||
| LSD (0.05) | 0.0146 | 0.0246 | 0.0052 | 0.0261 | 0.0267 | ns * | 0.0687 | 41.3 | ||
| Compost Type | Particle Size | Compost Rate (%) | Volume of Pores (cm3 cm−3) for Diameter Classes (μm) | TP (cm3cm−3) | ||||
|---|---|---|---|---|---|---|---|---|
| <0.005 | 0.005–0.5 | 0.5–50 | 50–500 | >500 | ||||
| CTR | 0.0035 | 0.0094 | 0.0354 | 0.0449 | 0.2777 | 0.3710 | ||
| C0 | PS05 | 0.5 | 0.0056 | 0.0169 | 0.0698 | 0.0916 | 0.1708 | 0.3547 |
| 1 | 0.0043 | 0.0153 | 0.0720 | 0.1016 | 0.1564 | 0.3495 | ||
| 2 | 0.0062 | 0.0218 | 0.1004 | 0.1270 | 0.0980 | 0.3533 | ||
| 4 | 0.0078 | 0.0349 | 0.1835 | 0.1136 | 0.0158 | 0.3556 | ||
| PS05-1 | 0.5 | 0.0058 | 0.0165 | 0.0648 | 0.0833 | 0.1853 | 0.3558 | |
| 1 | 0.0042 | 0.0159 | 0.0792 | 0.1136 | 0.1450 | 0.3578 | ||
| 2 | 0.0069 | 0.0334 | 0.1874 | 0.1163 | 0.0153 | 0.3593 | ||
| 4 | 0.0109 | 0.0394 | 0.1781 | 0.1258 | 0.0240 | 0.3782 | ||
| PS1-2 | 0.5 | 0.0046 | 0.0151 | 0.0663 | 0.0904 | 0.1638 | 0.3402 | |
| 1 | 0.0045 | 0.0166 | 0.0798 | 0.1115 | 0.1362 | 0.3487 | ||
| 2 | 0.0096 | 0.0378 | 0.1809 | 0.1153 | 0.0181 | 0.3617 | ||
| 4 | 0.0223 | 0.0607 | 0.2077 | 0.0796 | 0.0094 | 0.3797 | ||
| CB | PS05 | 0.5 | 0.0037 | 0.0168 | 0.0956 | 0.1380 | 0.1076 | 0.3618 |
| 1 | 0.0031 | 0.0149 | 0.0890 | 0.1322 | 0.1017 | 0.3409 | ||
| 2 | 0.0072 | 0.0211 | 0.0848 | 0.1048 | 0.1186 | 0.3365 | ||
| 4 | 0.0090 | 0.0394 | 0.1996 | 0.1006 | 0.0114 | 0.3600 | ||
| PS05-1 | 0.5 | 0.0047 | 0.0175 | 0.0845 | 0.1173 | 0.1337 | 0.3577 | |
| 1 | 0.0046 | 0.0201 | 0.1104 | 0.1409 | 0.0737 | 0.3496 | ||
| 2 | 0.0063 | 0.0219 | 0.1006 | 0.1268 | 0.0982 | 0.3539 | ||
| 4 | 0.0091 | 0.0378 | 0.1907 | 0.1313 | 0.0217 | 0.3905 | ||
| PS1-2 | 0.5 | 0.0036 | 0.0125 | 0.0572 | 0.0814 | 0.1966 | 0.3513 | |
| 1 | 0.0047 | 0.0170 | 0.0808 | 0.1109 | 0.1243 | 0.3377 | ||
| 2 | 0.0084 | 0.0214 | 0.0773 | 0.0925 | 0.1499 | 0.3496 | ||
| 4 | 0.0205 | 0.0567 | 0.2021 | 0.0955 | 0.0135 | 0.3883 | ||
| CZ | PS05 | 0.5 | 0.0047 | 0.0157 | 0.0705 | 0.0973 | 0.1683 | 0.3565 |
| 1 | 0.0050 | 0.0233 | 0.1334 | 0.1416 | 0.0426 | 0.3459 | ||
| 2 | 0.0044 | 0.0285 | 0.1980 | 0.1022 | 0.0093 | 0.3424 | ||
| 4 | 0.0118 | 0.0475 | 0.2088 | 0.0692 | 0.0060 | 0.3433 | ||
| PS05-1 | 0.5 | 0.0021 | 0.0109 | 0.0693 | 0.1163 | 0.1484 | 0.3470 | |
| 1 | 0.0026 | 0.0184 | 0.1502 | 0.1511 | 0.0276 | 0.3498 | ||
| 2 | 0.0049 | 0.0285 | 0.1846 | 0.1186 | 0.0144 | 0.3511 | ||
| 4 | 0.0180 | 0.0558 | 0.2068 | 0.0743 | 0.0078 | 0.3628 | ||
| PS1-2 | 0.5 | 0.0038 | 0.0192 | 0.1186 | 0.1490 | 0.0603 | 0.3509 | |
| 1 | 0.0048 | 0.0300 | 0.2010 | 0.1035 | 0.0097 | 0.3490 | ||
| 2 | 0.0161 | 0.0239 | 0.0608 | 0.0590 | 0.2193 | 0.3790 | ||
| 4 | 0.0227 | 0.0749 | 0.2374 | 0.0360 | 0.0024 | 0.3733 | ||
| CD | PS05 | 0.5 | 0.0040 | 0.0130 | 0.0572 | 0.0794 | 0.1936 | 0.3472 |
| 1 | 0.0051 | 0.0199 | 0.1005 | 0.1338 | 0.1011 | 0.3605 | ||
| 2 | 0.0064 | 0.0200 | 0.0844 | 0.1094 | 0.1417 | 0.3619 | ||
| 4 | 0.0052 | 0.0275 | 0.1691 | 0.1277 | 0.0199 | 0.3494 | ||
| PS05-1 | 0.5 | 0.0025 | 0.0126 | 0.0791 | 0.1273 | 0.1309 | 0.3524 | |
| 1 | 0.0036 | 0.0202 | 0.1358 | 0.1486 | 0.0391 | 0.3473 | ||
| 2 | 0.0074 | 0.0222 | 0.0908 | 0.1151 | 0.1461 | 0.3817 | ||
| 4 | 0.0186 | 0.0347 | 0.1019 | 0.1041 | 0.1352 | 0.3945 | ||
| PS1-2 | 0.5 | 0.0023 | 0.0137 | 0.0978 | 0.1475 | 0.0792 | 0.3405 | |
| 1 | 0.0046 | 0.0204 | 0.1144 | 0.1496 | 0.0819 | 0.3709 | ||
| 2 | 0.0096 | 0.0244 | 0.0884 | 0.1035 | 0.1297 | 0.3556 | ||
| 4 | 0.0138 | 0.0546 | 0.2354 | 0.0748 | 0.0064 | 0.3849 | ||
| LSD (0.05) | 0.00224 | 0.00524 | 0.02464 | 0.01264 | 0.01351 | 0.00551 | ||
Disclaimer/Publisher’s Note: The statements, opinions and data contained in all publications are solely those of the individual author(s) and contributor(s) and not of MDPI and/or the editor(s). MDPI and/or the editor(s) disclaim responsibility for any injury to people or property resulting from any ideas, methods, instructions or products referred to in the content. |
© 2025 by the authors. Licensee MDPI, Basel, Switzerland. This article is an open access article distributed under the terms and conditions of the Creative Commons Attribution (CC BY) license (https://creativecommons.org/licenses/by/4.0/).
Share and Cite
Głąb, T.; Gondek, K.; Mierzwa-Hersztek, M. Enhancing Soil Physical Quality with Compost Amendments: Effects of Particle Size and Additives. Agronomy 2025, 15, 458. https://doi.org/10.3390/agronomy15020458
Głąb T, Gondek K, Mierzwa-Hersztek M. Enhancing Soil Physical Quality with Compost Amendments: Effects of Particle Size and Additives. Agronomy. 2025; 15(2):458. https://doi.org/10.3390/agronomy15020458
Chicago/Turabian StyleGłąb, Tomasz, Krzysztof Gondek, and Monika Mierzwa-Hersztek. 2025. "Enhancing Soil Physical Quality with Compost Amendments: Effects of Particle Size and Additives" Agronomy 15, no. 2: 458. https://doi.org/10.3390/agronomy15020458
APA StyleGłąb, T., Gondek, K., & Mierzwa-Hersztek, M. (2025). Enhancing Soil Physical Quality with Compost Amendments: Effects of Particle Size and Additives. Agronomy, 15(2), 458. https://doi.org/10.3390/agronomy15020458

