Next Article in Journal
Optimizing Cassava Growth with Localized Struvite Application: Root Proliferation and Fertilization Efficiency
Previous Article in Journal
Impact of the Biostimulants Algevit and Razormin on the Salinity Tolerance of Two Tomato Cultivars
 
 
Font Type:
Arial Georgia Verdana
Font Size:
Aa Aa Aa
Line Spacing:
Column Width:
Background:
Article

Root Exudates from Areca catechu L. Intercropping System Promote Nutrient Uptake and Sustainable Production of Piper nigrum L.

by
Zhiyuan Li
1,2,†,
Yaqi Zhao
3,4,†,
Chao Zu
3,5,6,
Zhigang Li
3,5,6,
Weiquan Zheng
3,5,6,
Huan Yu
3,5,6,
Shengfeng Gao
3,5,6,
Shichao Liu
3,5,6,
Baogui Zhang
4,
Xinxin Wang
7,
Can Wang
3,5,6,* and
Jianfeng Yang
3,5,6,*
1
Sanya Institute of China Agricultural University, Sanya 572025, China
2
College of Horticulture, China Agricultural University, Beijing 100193, China
3
Spice and Beverage Research Institute, Chinese Academy of Tropical Agriculture Science, Wanning 571533, China
4
College of Land Science and Technology, China Agricultural University, Beijing 100193, China
5
Key Laboratory of Genetic Resources Utilization of Spice and Beverage Crops, Ministry of Agriculture and Rural Affairs of the People’s Republic of China, Wanning 571533, China
6
Hainan Provincial Key Laboratory of Genetic Improvement and Quality Regulation for Tropical Spice and Beverage Crops, Wanning 571533, China
7
College of Horticulture, Hebei Agricultural University, Baoding 071001, China
*
Authors to whom correspondence should be addressed.
These authors contributed equally to this work.
Agronomy 2025, 15(2), 355; https://doi.org/10.3390/agronomy15020355
Submission received: 2 January 2025 / Revised: 27 January 2025 / Accepted: 28 January 2025 / Published: 29 January 2025
(This article belongs to the Section Innovative Cropping Systems)

Abstract

Piper nigrumAreca catechu intercropping mitigates soil problems related to continuous P. nigrum cropping, but the exact reason for this is not clear. In this study, the intercropping system increased P. nigrum’s single plant weight by 27.0–55.5% and unit yield per hectare by 5.1–33.5% in 2019–2022. Intercropping altered the metabolic profiles of root exudates from both species, with increases in flavonoids (epicatechin and 4′,5,6,7-Tetramethoxyflavone), alkaloids (litebamine), and amino acids (proline betaine, L-homocysteic acid and L-homocysteic acid). Intercropping further increased the abundance of dominant soil bacteria, including GAL15 (354.9%) and Bacteroidota (70.4%) in the P. nigrum rhizosphere, and Firmicutes (141.8%) and WPS2 (75.3%) in the A. catechu rhizosphere. In the intercropping system, the abundance of soil flavonoids, including tangeritin, trifolirhizin, and hexamethylquercetagetin, which participated in improving nutrient absorption and plant growth, increased by 106.4~356.0%, 28.9~45.5%, and 45.2~127.1%, respectively, during the whole growing period. Overall, intercropping with A. catechu promoted carbon input to the P. nigrum soil via root exudates. This increased the diversity of P. nigrum rhizosphere beneficial bacterial communities, as well as the amounts of nutrients and plant growth-promoting secondary metabolites. Together, these effects improved nutrient uptake and utilization, thereby driving the sustainable production of P. nigrum, and ultimately achieving higher yields.

1. Introduction

The long-term cultivation of crops as monocultures often leads to a range of problems associated with continuous cropping, including increased incidence of soil-borne diseases [1], stunted plant growth [2], and reduced crop yield [3]. To address these issues, more sustainable planting strategies are needed to improve soil performance. Intercropping, as a promising global agricultural practice, can mitigate or eliminate the potential hazards of continuous planting, improve nutrient uptake and crop yields, and ultimately boost economic and agricultural benefits [4]. Despite these potential advantages, our understanding of how intercropping affects the microecological environment and influences microbial responses remains limited. Further research is needed to elucidate the mechanisms by which intercropping mitigates continuous cropping problems and enhances crop productivity.
The benefits of intercropping for crop growth are largely attributed to the spatial complementarity between crops in the soil, which is crucial in determining resource capture and, ultimately, the yields of intercropped plants [5]. One common strategy involves pairing deep-rooted crops with shallow-rooted ones, allowing the shallow-rooted crops to occupy a larger volume of soil [6]. This approach enables more comprehensive utilization of soil resources and improves the uptake efficiency of relatively immobile nutrients [7]. This finding highlights how the niche differentiation induced by intercropping enables improved acquisition of mineral nutrients by crop plants, resulting in sustainable crop production.
Root exudates play a crucial role in regulating the structure and function of rhizosphere microbial communities, thereby facilitating changes in plant niches and growth status [5]. The effects of plants on rhizosphere microbial communities are species-specific, and are primarily due to variations in the abundance and composition of root exudates [8]. In intercropping systems, the distinct composition of root exudates from different crops supports microbial communities that differ in composition and function from those in monocultures [9]. This phenomenon can be exploited as a biological control strategy, where chemicals released from the roots of one plant can inhibit the potential phytopathogens of its companion crop [10]. Moreover, root exudates contain important growth-promoting metabolites such as flavonoids, amino acids, and organic acids, which drive changes in microbial community structure, increase plant yields, and enhance stress resistance [11,12,13]. It is important to note that the number and types of these bioactive metabolites additionally obtained in the intercropping system, as well as their associated microbial communities and plant–soil feedback effects, vary substantially among different plant species and cultivation strategies. For example, cotton and peanut intercropping facilitated interactions between root exudates and soil microbial communities and increased yield and economic returns [14].
In intercropping systems, plants produce various soil metabolites through their interactions with the soil. These metabolites primarily originate from root exudates, rhizosphere microbial metabolism, and the decomposition of soil organic matter (SOM) [15]. Some of these metabolites regulate the microbial community structure by acting as carbon (C) sources or signaling molecules, influencing soil physicochemical properties and affecting crop growth and development [3,16]. Metabolomic analyses, such as liquid chromatography–tandem mass spectrometry (LC–MS/MS) analysis, can provide valuable insights into changes in soil metabolic pathways and root exudate composition. When combined with microbiome analyses, these analyses can identify potential biomarkers and determine the effects of exogenous factors on biological systems [8]. Soil metabolomic analyses can also reveal relationships between organic or inorganic compounds and the soil microbial community, facilitating a more comprehensive understanding of how soil microorganisms benefit crop growth [8]. Consequently, further investigation of soil metabolite components and related nutrient recycling pathways in intercropping systems can elucidate the complex processes of nutrient utilization in soil.
Piper nigrum L. (black pepper) is a spice plant with a long history of cultivation, and it is widely grown in tropical areas worldwide [8]. Long-term cultivation of P. nigrum leads to various problems, including soil nutrient imbalance and reduced microbial diversity [17]. In major producing countries such as Brazil and India, crop rotation has been employed to mitigate these continuous cropping issues [18]. In China, however, limited suitable land and high planting costs have made crop rotation challenging for P. nigrum production. As an alternative, intercropping Areca catechu L. (betel nut) with P. nigrum has emerged as an effective strategy for improving P. nigrum yield. The extensive root network of A. catechu alters the soil surrounding P. nigrum, affecting the microecological environment in the rhizosphere [19]. We speculated that the extensive root system of A. catechu would mitigate the soil deterioration typically observed in P. nigrum monocultures, and enhance soil microbial activity and function by releasing more C into the soil. These changes would promote nutrient cycling in the rhizosphere, increasing the availability of nutrients for uptake by P. nigrum, and ultimately boosting its sustainable production.
To date, few studies have employed combined metabolomic and microbiome analyses to explore the effects of intercropping on nutrient recycling and utilization and crop sustainable production. To systematically explore how intercropping with A. catechu improves nutrient recycling in soil and increases nutrient utilization by P. nigrum, we conducted a field study comparing the monocultures and intercropping of P. nigrum and A. catechu. Our hypotheses were as follows: (1) Intercropping with A. catechu alters the chemodiversity and chemical composition of P. nigrum rhizosphere metabolites, leading to the enrichment of specific metabolites. (2) Specific rhizosphere metabolites enriched by intercropping enhance nutrient uptake and plant growth by affecting the soil microbiome.

2. Materials and Methods

2.1. Experimental Field Description, Experimental Design, and Sampling

The field experiment was conducted at the Flavor Beverage Institute, Chinese Academy of Tropical Agriculture Science (19.38° N, 110.48° E) (Wanning, China). The P. nigrum cultivar was ‘P. nigrum Reyin–1’ and the A. catechu cultivar was ‘A. catechu Reyin–1’. The within-row and between-row spacing of P. nigrum was 2 m and 2.5 m, respectively, while that of A. catechu was 2.5 m and 2.5 m, respectively. The P. nigrum and A. catechu plants had been growing in the monoculture and intercropping patterns for more than 8 years (Figure 1A–C). Excessive growth of A. catechu roots in the rhizosphere soil may adversely affect the growth of P. nigrum. Therefore, we cut off a portion of the roots of A. catechu in July to maintain the stability of the intercropping system. Five P. nigrum or A. catechu plants from each plantation were randomly selected for sampling and analyses of rhizosphere soil samples and root exudates.
Wanning City in China has a tropical marine monsoon climate, with an annual average temperature of 25.0 °C, an annual precipitation of 2102.6 mm, an annual evaporation rate of 1862.1 mm, and an annual sunshine duration of 2036.8 h. The soil in all test sites was latosol. During the dry season (December to May of the following year), the drip irrigation system is used to efficiently replenish water to meet the plants’ water needs. In monoculture and intercropping systems, the water, temperature, and irrigation methods of plants are always consistent.
For soil sampling, rhizosphere and bulk soils were sampled from P. nigrum and A. catechu in monocultures and in the intercropping system in October 2021 (the full flowering stage) and January 2022 (the fruit expansion stage). The rhizosphere soil samples were named MP (monoculture P. nigrum), MA (monoculture A. catechu), IP (intercropping P. nigrum), and IA (intercropping A. catechu), while the non-rhizosphere soil samples were named MPN (monoculture P. nigrum non-rhizosphere soil), MAN (monoculture A. catechu non-rhizosphere soil), and IN (intercropped P. nigrum and A. catechu bulk soil). Soil was sampled from the 0–20 cm soil layer. A portion within 1 cm of the roots was collected as the rhizosphere soil, and a portion more than 1 cm away from the roots was collected as the bulk soil. For each treatment, a 100 g mixed soil sample was used for the determination of soil physiochemical properties, soil microorganisms, and soil metabolites. P. nigrum (and A. catechu) root exudates were extracted from plants growing in monoculture and intercropping plantations at the full flowering stage (October 2021), the fruit expansion stage (January 2022), the seed filling stage (April 2022), and the maturity stage (July 2022) for metabolomic analyses. After extraction, the root exudates were immediately frozen and stored at −80 °C until use. Subsequently, four specific components (organic acids, amino acids, saccharides, and flavonoids) of A. catechu roots were selected according to the metabolomics results of the root exudates (Table S1). These specific metabolites were added to the P. nigrum pot for two months, and the mineral nutrient content and growth parameters of P. nigrum seedlings were further determined. All parameters measured in field and pot experiments were set up with three biological replicates.

2.2. Characteristics of Root Spatial Distribution

The analyses of root spatial distribution were performed according to the method of Homulle et al. [5]. Multiple adjacent sampling areas, 30 cm long and 20 cm deep, were identified near the plant roots. The collected root samples were placed in a sieve and rinsed with running water, then sorted from the crop root system and put in the refrigerator for preservation. An Epson root scanner 2.5.1 (Perfection V19II, Japan) and Winrhizo root analysis system (Regent, Canada) were used for root imaging and data analysis, respectively, allowing us to finally obtain the average root diameter (cm), the root surface area (cm2/dm3), and the total root volume (cm3/dm3) of the crop.
Based on these changes in root data, a three-dimensional spatial information database was established, using Gs 7.0 drawing software and Krigg interpolation. The spatial distribution of roots was plotted by combining both horizontal and vertical viewing angles.

2.3. Root Exudate Collection and Measurement

Root exudates were collected and quantified using the in situ extraction method [20]. First, we carefully selected 5 to 8 live roots from the growing P. nigrum and A. catechu and washed them with deionized water. Then, the samples were immediately placed in self-contained bags and placed in the dark for 24 h. The deionized water was used to shake the sample and extract for 30 min, which was then placed at −80 °C to freeze into ice, and we finally obtained powder in a lyophilizer, namely root exudate powder. Root exudates were determined using UHPLC–QE–MS non-target metabolomics. Root exudates (20 mg) were mixed with 1000 μL of extract (methanol–water = 3:1 (v/v)), ground at 35 Hz for 4 min, and settled at 40 °C for 1 h after 5 min of sonication. The samples were then centrifuged for 15 min at 4 °C, 12,000 rpm, and the supernatant was collected in an injected vial for machine detection.
LC–MS/MS analyses were performed using an UHPLC system (Vanquish, Thermo Fisher Scientific, USA) with a UPLC BEH Amide column (2.1 mm × 100 mm, 1.7 μm) coupled with an Q Exactive HFX mass spectrometer (Orbitrap MS, Thermo) [21]. The mobile phase consisted of 5 mmol/L ammonium acetate and 5 acetic acid in water (pH = 9.75) (A) and acetonitrile (B). The auto-sampler temperature was 4 °C, and the injection volume was 2 μL. The samples were sequenced by Shanghai Baiqu Biotechnology Co., China.
The raw data obtained from sequencing was processed using R package (XCMS for peak identification and integration). A total of 16841 peaks were extracted from the root exudates of P. nigrum and A. natechu (24 samples and 6 QC samples), followed by secondary mass spectrum qualitative matching annotation, and the names and relative contents of metabolites were finally obtained. The data were subjected orthogonal partial least squares–discriminant analysis (OPLS–DA) by using SIMCA 14.1 data analysis software (MKS Umetrics, Sweden). A principal component analysis (PCA) was used to interpret the internal structure of the data. The DMs were screened as significantly different by VIP > 1.0 and p-value < 0.05. The DMs were used for metabolic pathway analysis through the network tool Metaboanalyst 6.0 (https://www.metaboanalyst.ca) (accessed on 16 December 2023), with functional annotation and metabolic pathway analysis performed with reference to the information in the KEGG database.

2.4. Soil Microbiome Detection and Data Analysis

The DNA was extracted and purified from soil samples using the EZNA® soil DNA extraction kit (Omega Bio-tek, Norcross, GA, USA). The 16S rRNA gene was amplified by PCR using the upstream primer 338F (5′-ACTCCTACGGGAGGCAGCAG-3′) and the downstream primer 806R (5′-GGACTACHVGGGTWTCTAAT-3′) carrying the barcode sequence, and the amplification products were quantified by 2% agarose gel electrophoresis [22]. Libraries were built using the NEXTFLEX Rapid DNA-Seq Kit, and then sequenced on the Illumina Miseq PE300 high-throughput platform by Shanghai Meiji Biomedical Technology Co., Ltd. (Shanghai, China). Then, fastp software 0.23.2 (Haplox, China)was used to perform sequence quality control (QC), and FLASH (version 1.2.7) was used to merge the sequence data. Clustering of operational taxonomic units (OTUs) was performed using Uparse software 7.0.1001 (Microsoft, USA) (97% similarity) [23]. We performed the species taxonomic annotation of OTU using the SILVA database and determined community composition at different taxonomic levels [24]. The number of OTUs and alpha diversity index (Shannon’s index) were calculated to evaluate the diversity and richness of the microbial community using Mothur software (version 1.40.45). One-way analysis of variance (ANOVA) was used to detect differences in microbial abundance among treatments, and was conducted using SPSS 20.0 (IBM, Armonk, NY, USA). The similarity of microbial community structure among samples was tested by a principal coordinates analysis (PCoA) based on the Bray–Curtis distance algorithm. One-way ANOVA was used to compare the differences in dominant bacterial phyla or genera among treatments. Distance-based redundancy analysis was conducted to assess the effect of soil physicochemical indices on soil bacterial community structure.

2.5. Soil Metabolite Extraction and Detection

Soil metabolites were extracted and detected using the method of Hu et al. [8], with slight modifications. The soil sample (100 mg) was ground and homogenized with liquid N, and then added to pre-cooled 80% methanol and 0.1% formic acid, and vortexed and suspended. The soil samples were placed on ice followed by centrifugation at for 12,000 rpm for 5 min at 4 °C. The final supernatant was used for metabolomic analysis, and an equal volume was taken as a QC sample.
The LC-MS/MS analysis was performed according to the UHPLC system. The peaks of the raw data generated by UHPLC–MS/MS were checked, picked, and metabolite-quantified by using Compound Discoverer 3.1 (CD 3.1, Thermo Fisher). The mzCloud, mzVault, and mass were then used to match the peaks to obtain accurate qualitative and relative quantitative results. The soil metabolite results were annotated using the KEGG database. The principal component analysis of the data and partial least squares discriminant analysis (PLS–DA) was annotated by using metaX (www.metaxsoft.com/) (accessed on 18 October 2023). The differential metabolites (DMs) were screened as significantly different by Variable Importance in the Projection (VIP) > 1.0, a p-value < 0.05, and fold-change (FC) ≥ 1.2 or ≤0.833. Correlation analysis was performed using SPSS 20.0 software (IBM, Armonk, NY, USA). The drawing of the correlation map was generated by using the R software package, version 3.4.1.

2.6. Determination of Soil Physical and Chemical Properties, and Leaf Mineral Nutrient Contents

The soil pH was determined using a pH meter. The soil organic matter (SOM) content was determined using the potassium (K) dichchromate oxidation–external heating method (volumetric method). The total nitrogen (TN) content in soil was measured using the Kjeldahl method. The total phosphorus (TP) content in soil was measured using the molybdenum-antimony colorimetric method. The total potassium (TK) content was measured by flame photometry. The alkaline diffusion method was used to determine the alkaline nitrogen (AN) content in soil. The available phosphorus (AP) was extracted from the soil with sodium bicarbonate and then quantified using the molybdenum antimony resistance method. The available potassium (AK) was extracted from the soil in ammonium acetate and quantified by flame photometry [25].
For analyses of mineral elements in the leaf of P. nigrum, the contents of N, P, and K were determined using the same methods as those described for analyses of TN, TP, and TK in the soil analyses above, and the contents of calcium and magnesium were determined by flame atomic absorption spectrometry [25].

2.7. Statistical Analysis

SPSS 19.0 software (IBM, Armonk, NY, USA) was used for statistical analyses by one-way analysis of variance (ANOVA). All statistical analyses of data related to P. nigrum (and A. catechu) in monocultures and intercropping systems were performed using ANOVA followed by Tukey’s multiple comparisons test. The least significant difference (LSD) multiple range test was used for the separation of the means. To determine which root exudates influence bacterial communities, we assessed the correlations between the top 10 bacterial phyla and the top 20 bacterial genera, and the root exudates. Spearman’s correlation analyses were conducted using the Hmisc package in R software (version 4.3.1). The correlation heatmap was drawn using the Biotech Cloud platform (https://www.bioincloud.tech) (accessed on 17 July 2023).

3. Results

3.1. Effects of A. catechu Intercropping on P. nigrum Yield and Root Growth

The intercropping system is an important cultivation strategy used to improve crop productivity. Compared with monoculture, the intercropping system increased P. nigrum’s single plant weight by 27.0–55.5% and unit yield per hectare by 5.1–33.5% from 2019 to 2022 (p < 0.05) (Table 1).
The intercropping system influenced P. nigrum root development distinctively across different soil depths. While it hindered root development in the topsoil (0–30 cm from the plant), it increased the root surface area and volume 30–90 cm away from the plant by 10.1% and 15.2%, respectively (Table 2 and Table 3). Furthermore, intercropping increased the proportion of P. nigrum in the rhizosphere root surface area and volume by 3.5–12.7% and 5.4–9.2% by 30–120 cm away from the plant (Table 2 and Table 3, p < 0.05). Intercropping led to an increase in P. nigrum root diameter by 0.3–1.3% within 0–120 cm of the plant (Table 4, p < 0.05). The horizontal spatial distribution of root volume and surface area, illustrated based on root length information (Figure 2), revealed that in the intercropping system, P. nigrum roots expanded horizontally, while A. catechu roots exhibited a more scattered growth pattern. These findings demonstrate that the intercropping system effectively facilitated P. nigrum growth.

3.2. Effects of Intercropping on the Quantity and Composition of P. nigrum and A. catechu Root Exudates

To further explore the impact of intercropping on root exudates, 48 samples of P. nigrum and A. catechu root exudates at four major developmental stages were analyzed using UHPLC–QE–MS. The PCA revealed a clear separation of samples at each stage (Figure S4A), validating the data for further analysis. A total of 978 metabolites were detected in the root exudate metabolomes, primarily comprising lipid and lipid-like molecules (29.4%), organic heterocyclic compounds (15.7%), and aromatic compounds (13.9%) (Figure S4B). Differential metabolites (DMs) between treatment groups were identified using PLS–DA models (Figures S4C and S5A) and visualized with volcano plots (Figures S4D and S5B). The KEGG analysis revealed that DMs in root exudates were mainly enriched in metabolic pathways of ABC transporters, the biosynthesis of various plant secondary metabolites, and the biosynthesis of amino acids (Figures S6 and S7).
Intercropping affected the composition and quantities of root exudates produced from both species across all four growth stages (Tables S2 and S3). In P. nigrum, intercropping increased several components, including piperine, scopoletin, and isopimpinellin, with variations across growth stages (Figure S8A). For A. catechu, KEGG analyses indicated that the DMs in root exudates were mainly amino acids (proline betaine, L-homocysteic acid, and L-homocysteic acid), alkaloids (litebamine), and flavonoids (epicatechin, and 4′,5,6,7-Tetramethoxyflavone), and with intercropping they increased compounds such as 8–methyldihydrochelerythrine and scopoletin at various stages (Figure S8B). Metabolic pathways for both species were mapped based on the KEGG pathway database (Figure S9). These results show that intercropping affected the composition and abundance of root exudates in both P. nigrum and A. catechu.

3.3. Correlation Analysis Between Soil Bacterial Community and Root Exudates

The type and concentration of root exudate have a significant effect on the structure of soil bacterial community, which further promotes nutrient absorption and plant growth. In this study, 16S rRNA gene sequencing yielded 5,725,070 optimized sequences, resulting in 9813 effective OTUs for soil bacteria at the full flowering and fruit expansion stages (Figure S1). At the fruit expansion stage, Shannon’s diversity index and the relative abundance of key taxa in the rhizosphere microbial community of A. catechu were higher in the intercropping system than in the monoculture. In contrast, these indexes remained unchanged in the P. nigrum rhizosphere between monoculture and intercropping systems (Figure 1E and Figure 3B,D). Notably, we observed a high abundance of bacteria in the bulk soil of the intercropping system, suggesting that the effects of intercropping extend beyond the immediate rhizosphere. The microbial communities across the seven treatments were compared at both the full flowering and the fruit expansion stages using PCoA (Figure 1F,G). The first two principal components explained 58.98% of the total variability at the OTU level. The PCoA plots revealed marked distinctions in bacterial communities between P. nigrum and A. catechu intercropping and their respective monocultures.
All soil samples examined contained 2260 bacterial species in 41 phyla, 139 classes, 339 orders, 550 families, and 1069 genera (Figure 3). At the full flowering stage, compared with monocropping, intercropping significantly increased the relative abundance of GAL15 (354.9%) and Bacteroidota (70.4%) in P. nigrum rhizosphere soil and the relative abundance of WPS2 (75.3%) and Bacteroidota (46.9%) in A. catechu rhizosphere soil (p < 0.05). In the intercropping system, Chloroflexi, GAL15, and WPS2 were significantly more abundant in the A. catechu rhizosphere soil than in the P. nigrum rhizosphere soil (p < 0.05, Figure S2, Table S4). At the fruit expansion stage, intercropping also significantly increased the relative abundance of Proteobacteria (45.5%) and Firmicutes (34.3%) in P. nigrum rhizosphere soil and Firmicutes (141.8%) and Gemmatimonadota (74.9%) in A. catechu rhizosphere soil (p < 0.05, Table S5). In the rhizosphere soil of P. nigrum, there was an increase in the relative abundance of the dominant bacterial genera at the full flowering and fruit expansion stage, including Pseudomonas, Bacillus, and MND1 in the intercropping system (Table S6). Compared with non-rhizosphere soils in the intercropping system, in rhizosphere soils, the total relative abundance of soil microbes was lower in A. catechu and higher in P. nigrum (Table S7).
The correlation analysis showed that flavonoids, alkaloids, and amino acids in the root exudates of P. nigrum and A. catechu were significantly positively correlated with the dominant phyla (and genera) (p < 0.05, Figure 4), indicating that these compounds promoted the optimization of soil bacterial community structure and abundance.

3.4. Effects of Intercropping on the Soil Metabolites of P. nigrum and A. catechu

The composition and abundance of soil metabolites can reveal direct or past responses of the bacterial community to soil productivity [8]. To elucidate the response of soil metabolic activity to intercropping, 42 soil samples were subjected to metabolomic analysis using the UPLC–MS/MS platform. A PCoA was performed on 14 processed samples after QC of the sequencing data. Different samples were clearly separated on the PCA, and the interpretation rate of P1, P2, and P3 dimensions was 46.6%, indicating notable differences between treatments (Figure S3A). A total of 285 metabolites were identified in the 42 soil samples, including lipids and lipid-like molecules (30.5%), organoheterocyclic compounds (15.9%), organic oxygen compounds (15.5%), phenylpropanoids and polyketides (7.08%), benzenoids (5.75%), organic N compounds (4.87%), and alkaloids and derivatives (1.77%) (Figure S3B). In KEGG analyses, these metabolites were mainly enriched in metabolic pathways such as plant hormone biosynthesis, amino acids, and plant secondary metabolites. Soil DMs between monoculture and intercropping systems were screened using the partial least squares–discriminant analysis (PLS–DA) model (R2Y = 0.999, Q2Y = 0.638) (Figure S3C,D), and depicted in a volcano plot (Figure S3E). We focused on comparing the key DMs of P. nigrum and A. catechu between monoculture and intercropping.
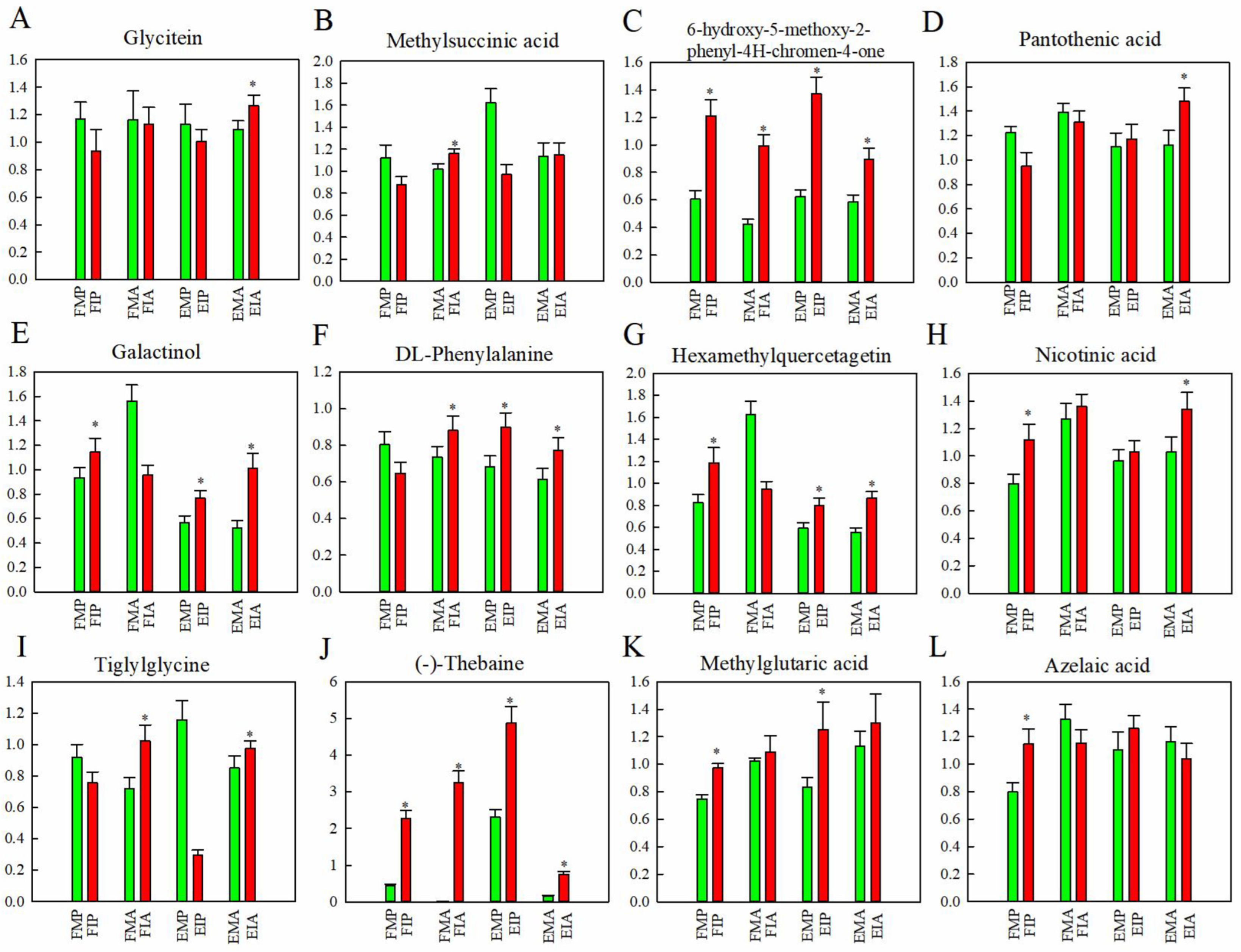
Compared with the monocultures, intercropping resulted in differences in soil metabolites for both P. nigrum and A. catechu (Table S8). In the intercropping system, there were increased amounts of four flavonoids (glycitein, 6-hydroxy-5–methoxy-2-phenyl-4H-chromen-4-one, hexamethylquercetagetin, and tiglyglycine), one alkaloid ((-)-thebaine), one amino acid (DL–phenylalanine), one sugar (galactinol), and five organic acids (methylsuccinic acid, pantothenic acid, nicotinic acid, methylglutaric acid, and azelaic acid) in P. nigrum and A. catechu soil (p < 0.05, Figure 5). Among them, intercropping increased the 6-hydroxy-5--methoxy-2-phenyl-4H-chromen-4-one and (-)-thebaine levels in P. nigrum and A. catechu soil by 0.4~1.2 times and 5.3~216.4 times during the full flowering and fruit expansion periods, respectively.
In the monocultures, the abundance of three flavonoids (tangeritin, trifolirhizin, and hexamethylquercetagetin) was higher in A. catechu rhizosphere soil than in P. nigrum rhizosphere soil, but the abundance of these flavonoids increased in P. nigrum rhizosphere soil 106.4~356.0%, 28.9~45.5, and 45.2~127.1%, respectively, in the intercropping system (p < 0.05, Figure 6 and Table S9). These results show that intercropping may enable the gradual transfer of these three flavonoids from the rhizosphere soil of A. catechu to the rhizosphere soil of P. nigrum. Moreover, the concentrations of these three flavonoids were lower in bulk soil than in rhizosphere soil in the intercropping system (Figure 7), indicating that flavonoid metabolism was more active in the rhizosphere soil range.

3.5. Effects of Intercropping on the Soil Physicochemical Properties and Mineral Nutrient Content of Leaves in P. nigrum and A. catechu

In soil, SOM and nutrient cycling are closely related to changes in the soil microbial community, and are important parameters for evaluating farmland soil productivity. The response of soil physicochemical properties to intercropping was examined. The soil pH, TN, TP, TK, AN, AP, and AK varied significantly among different planting patterns and between P. nigrum and A. catechu (Table S10). At the full flowering stage, compared with monocropping, intercropping resulted in increased AK (33.22%) in P. nigrum soil and increased TP (11.11%), TK (10.15%), AN (7.20%), and AP (37.33%) in A. catechu soil. At the fruit expansion stage, the soil physicochemical indices differed significantly between the two planting patterns (p < 0.05, Table S10). Intercropping increased the levels of TN (29.81%), TP (106.01%), TK (19.26%), AN (43.70%), AP (129.03%), AK (71.11%), SOM (46.02%), pH (6.58%) of P. nigrum and TP (151.22%), AN (13.70%), AP (426.09%), AK (64.43%), SOM (27.68%), and pH (3.21%) of A. catechu soil. Overall, intercropping resulted in higher concentrations of mineral nutrients in P. nigrum and A. catechu soils. The redundancy analysis at the OTU level showed that environmental factors explained 73.66% and 40.58% of the variation in soil microbial communities during the full flowering and fruit expansion stages, respectively. Especially during the fruit expansion stage, soil N, P, K, SOM, and pH were key parameters affecting the soil microbial community (Figure S10). These results show that the increase in SOM content decomposes more comprehensive mineral nutrients for plant growth, while the soil acidity decreases to neutrality, and the soil chemical properties on which plants depend for growth are improved.
To verify that the increased contents of mineral nutrients in the soil helped to improve the nutrient supply to aboveground plant parts, we evaluated the leaf nutrient contents in P. nigrum at the four major growth stages. The contents of macroelements (N, P and K) and microelements (Ca and Mg) in leaves of P. nigrum at the four growth stages during 2021–2022 were significantly higher in the intercropping system than in the monoculture (p < 0.05, Table S11). The increase in nutrient content of these leaves was consistent with the trend in P. nigrum yield change (Table 1), among which the single-plant P. nigrum yield and acreage yield increased by 33.3% and 33.5%, respectively, in intercropping.

3.6. Effects of Exogenous Addition of Root Exudates on the Growth of P. nigrum Seeding

To further illustrate the involvement of intercropping A. catechu root exudates in improving P. nigrum growth, we evaluated the effects of the exogenous addition of flavonoids, amino acids, organic acids, and saccharides on mineral nutrient uptake as well as the growth of P. nigrum seedlings. The results showed that four exogenous additions significantly increased the content of N, P, K, Ca, and Mg in the overground part and roots of P. nigrum seedlings (Table 5, p < 0.05). At the same time, the four additives further increased growth parameters such as P. nigrum plant height and plant weight (Figure 7). This result indicates that the A. catechu intercropping system enables P. nigrum to absorb more nutrients from the rhizosphere soil, and that the enhanced nutrient uptake and utilization ultimately improve the P. nigrum growth and yield (Figure 8).

4. Discussion

4.1. Roots of A. catechu Release More Root Exudates into the Rhizosphere in Intercropping than in Monocropping

Changes in root morphology have profound effects on the soil microecological environment, thereby affecting SOM content and nutrient turnover [26]. In the field test, intercropping with A. catechu resulted in a wider distribution of P. nigrum roots, and also increased the root surface area, root volume, and root diameter. These increases in root parameters allowed P. nigrum to absorb more mineral nutrients from the soil. However, the growth of A. catechu roots was reduced in the intercropping system compared with its monoculture. This is related to the field management measures in the intercropping system. Specifically, in the intercropping system, the lateral roots of A. catechu are cut off as P. nigrum grows to reduce competition for space and nutrients in the soil. This procedure helps to maintain the balanced distribution of P. nigrum and A. catechu roots in the underground space, and ensures that P. nigrum is dominant in this niche [27]. This management measure also promotes the downward growth of A. catechu roots so that the roots of the two plants occupy different niches at different soil depths [18]. Notably, we detected high-level accumulation of some mineral elements (including N, P, K, Ca, and Mg) in P. nigrum leaves in the intercropping system. Thus, the nutrient uptake of P. nigrum was closely related to the improvement of the root system in the soil. This rational pattern of competition between the rhizospheres of P. nigrum and A. catechu provides more possibilities for nutrient acquisition and increasing yield.
The roots of A. catechu released more root exudates into the soil in the intercropping system than in its monoculture. Some compounds in root exudates may enhance disease resistance in plants and increase nutrient availability [28]. In this study, the unique components of root exudates of individual crops (P. nigrum or A. catechu) entering the rhizosphere soil in the intercropping system potentially improved the quality of rhizosphere soil and enhanced the growth of P. nigrum. For example, two flavonoids (4′,5,6,7-tetramethoxyflavone, epicatechin), three phenolic compounds (sinapyl alcohol, N-trans-feruloyl-4-O-methyldopamine, and moracin I), and one sugar (taraxacoside) were detected in the root exudates of A. catechu. Flavonoids are active molecules that mediate the communication between beneficial rhizosphere bacteria and plants, enhancing nutrient uptake by recruiting rhizosphere bacteria that promote plant growth. The release of these compounds into the soil environment would provide the multiple C sources required for microbial interactions and plant growth [29]. Styrene, which was detected in the P. nigrum rhizosphere soil, is an aromatic compound that can serve as an energy source for soil microorganisms and reduce the abundance of phytopathogens [30]. Three amino acids (proline betaine, L-homocysteic acid, and aspartyl-glutamine) were detected in the root exudates of A. catechu. These amino acids are produced by sugar metabolism and amino acid metabolism, and are beneficial for accelerating the mineralization of SOM and nutrient release [31].

4.2. Root Exudates in the Intercropping System Enriched the Diversity of Bacterial Communities in the P. nigrum Rhizosphere

Intercropping with A. catechu altered the composition and abundance of root exudates of both P. nigrum and A. catechu, thus having direct positive benefits on the rhizosphere microenvironment and crop yield. Intercropping significantly increased the contents of harderoporphyrin and piperine in the root exudates of P. nigrum and the contents of piperine, litebamine, 8-methyldihydrochelerythrine, valyl-hydroxyproline, and L-alpha-aspartyl-L-hydroxyproline in the root exudates of A. catechu. This may have enhanced plant resistance to harmful insects, because these metabolites are important components of plant insecticides [32]. The root exudates of A. catechu in the intercropping system showed a significantly increased abundance of deoxyguanosine, which is a natural plant hormone that regulates plant cell division and elongation and organ development [33]. The significant increase in scopoletin and isopimpinellin in the root exudates of A. catechu and P. nigrum in the intercropping system promote iron uptake [34]. Overall, more types of root exudates entered the soil in the intercropping system than in the monocultures. In addition, the exogenous addition of specific components (including organic acids, amino acids, sugars, and flavonoids) significantly increased the contents of mineral elements in the aboveground parts and roots of P. nigrum, and greatly improved the growth of P. nigrum. These data further confirmed that the root exudates of A. catechu effectively promoted the growth of P. nigrum, because it created favorable conditions for high yields.
Root exudates fuel the substrate-driven assembly process of the rhizosphere microbiome from the surrounding soil biomes, as demonstrated by the direct relationship between root exudates and altered bacterial community structure and increased abundance of specific bacteria [8,35,36]. In this study, the results of the correlation analyses confirmed a significant positive correlation between multiple amino acids, alkaloids, and flavonoids in the root exudates and dominant phyla (or dominant genera) in the microbial communities in the rhizosphere of P. nigrum and A. catechu. The 16sRNA data further indicate that the increase in root exudates from the two crops altered the bacterial community structure and enriched bacterial diversity and abundance. For example, Chloroflexi, a bacterial phylum that helps to improve plant photosynthesis [37], showed increased abundance in the rhizosphere soil of A. catechu during the full flowering and fruit expansion stages in the intercropping system, which is an important foundation for promoting high P. nigrum productivity. The intercropping system promoted the relative abundance of Bradyrhizobium in the A. catechu rhizosphere soil during the fruit expansion stage. Bradyrhizobium species not only play an important role in biological N fixation, but also help to improve soil productivity and fertility [38]. For example, maize and canola intercropping lead to symbiotic Bradyrhizobium rhizoization, in which the interaction of root metabolites with Bradyrhizobium promotes the initiation of nodulation and improves N availability in soil [39]. In addition, we detected an increased abundance of Pseudomonas and Gaiella in the P. nigrum rhizosphere soil in the intercropping system. Both of these genera can release multiple antibacterial compounds into the soil (such as styrene) and inhibit the reproduction of plant pathogens living in the soil, creating favorable conditions for crop nutrient absorption and utilization [40,41]. A typical study of maize suggests that Bacteroidota are involved in promoting straw decomposition efficiency and crop yield [42]. In the rhizosphere soils of both P. nigrum and A. catechu, intercropping led to significant increases in the abundance of Bacteroidota, which drive the circulation and decomposition efficiency of SOM and improve the availability of mineral elements [43,44]. Overall, compared with the monoculture system, intercropping brings richer root exudates to the soil, providing raw materials for optimizing the structure and abundance of soil bacterial communities, thereby assisting P. nigrum’s nutrient absorption. It is worth mentioning that intercropping also caused significant changes in bacterial community structure and root exudates in non-rhizosphere soils. The possible benefits of non-rhizosphere soil on sustainable crop production have been previously overlooked by us, and therefore this part of the work should be strengthened in future studies.

4.3. The Intercropping System Provides More C Sources for P. nigrum Roots and Promotes Nutrient Uptake and Sustainable Production

After root exudates are released into soil to provide sufficient C for microbial activity, soil secondary metabolites are gradually formed. These metabolites can interact with microorganisms until they form different types of C sources [45]. Changes in the types and abundance of metabolites in soil can predict the activity of metabolic pathways related to soil function, such as nutrient cycling and C cycling [16]. In this study, intercropping with A. catechu affected the soil metabolic profiles at four stages of growth of P. nigrum and A. catechu. In another study, flavonoids in the soil were identified as key DMs regulating root interactions and nutrient uptake and transport processes [40]. We observed that four key flavonoids in the rhizosphere soil of P. nigrum (or A. catechu) soil were significantly increased in the intercropping system. These flavonoids provided a sufficient C source for soil metabolism, as indicated by accelerated metabolic activity in the soil. We detected an increase in the (-)-thebaine (an alkaloid) content in rhizosphere soil in the intercropping system. Alkaloids in the soil are synthesized by glycolysis, which enhances plant productivity and is also the basis for the synthesis of phenylalanine [46]. DL-phenylalanine is an amino acid that serves as an important precursor for the synthesis of plant flavonoids, and is involved in microbial fermentation through sugar metabolism and amino acid metabolism [47]. Compared with monocropping, in the intercropping system, galactinol (a carbohydrate) accumulated at higher levels in the rhizosphere of P. nigrum and A. catechu. This carbohydrate is a source of both N and C for microbes in the rhizosphere [47]. In addition, some organic acids, such as methylssuccinic acid, accumulated in the A. catechu rhizosphere. This metabolite is derived from the biological fermentation of sugar compounds, and it enhances soil fertility and promotes microbial growth and reproduction [48]. Three unique flavonoid metabolites (tangeritin, trifolirhizin, and hexamethylquercetagetin) were detected at higher levels in the rhizosphere soil of A. catechu than in the rhizosphere soil of P. nigrum in the monocultures, whereas these flavonoids were transferred to the rhizosphere soil of P. nigrum in the intercropping system. These results further confirm that intercropping with A. catechu provided more C sources for the rhizosphere bacterial community and enhanced the activities of several nutrient recycling pathways, thereby promoting the uptake of mineral nutrients by P. nigrum.
Increased microbial activity in soil helps to improve soil physicochemical properties. This promotes the release of soil nutrients and enhances the ability of plants to absorb and utilize mineral nutrients [11]. The enhancement of microbial activity has been shown to accelerate the decomposition of SOM while improving N availability in the rhizosphere [29]. The intercropping system significantly increased the abundance of a variety of beneficial bacterial communities. The levels of AN showed similar trends in the rhizosphere soils of P. nigrum and A. catechu, providing further evidence that the intercropping pattern favored the conditions for N acquisition in the rhizosphere soil of P. nigrum. The higher the SOM content in the soil, the stronger the K-absorption ability of plants [49]. Intercropping resulted in a large increase in SOM content during the fruit expansion stage, implying that there was a greater supply of K for plant development. The metabolic activities of microorganisms in the rhizosphere contribute to the accumulation of organic acids, which in turn contribute to the dissolution and utilization of inorganic P compounds in soil [50]. We detected significant accumulation of some organic acids in the P. nigrum and A. catechu rhizosphere soils during the four growth stages, which may have increased the availability of P in the P. nigrum rhizosphere. The results of the RDA analysis revealed that the soil bacterial community structure was closely related to AP and TP absorption, similar to the results of Wang et al. [42]. The pH of the soil solution increased the solubility of minerals, thus promoting their uptake by plants [51]. The soil pH of P. nigrum and A. catechu increased significantly during the fruit expansion stage in the intercropping system, and this trend was almost consistent with the changes in mineral nutrient contents in soil. These findings indicate that the soil microenvironment was improved in the intercropping system, and this increased the nutrient utilization efficiency and the sustainable production of P. nigrum. Overall, our results show that intercropping with A. catechu stimulated the growth and distribution of the roots of the native plant P. nigrum, provided more accessible C sources for microbial activity in the soil, improved the microenvironment of the P. nigrum rhizosphere, and enhanced mineral nutrient uptake by P. nigrum, thus increasing its yield. We detected close connections among plant root exudates, soil metabolites, and microbial communities. These findings highlight that rational intercropping can create suitable habitat conditions, enrich the biodiversity of the ecosystem, and promote the development of the agricultural ecosystem, thereby supporting sustainable crop production [7]. In this study, we predicted the direct effect of intercropping with A. catechu on P. nigrum growth, namely that the root exudates of A. catechu would promote the growth of P. nigrum. However, further research is required to determine how the root exudates of A. catechu specifically affect P. nigrum root exudates and root growth. Although the introduction of strong crops into an intercropping system can effectively improve the soil microenvironment, appropriate measures must be taken to maintain the balance of competition between crops for space, water, and nutrients. Without such measures, an imbalance and potential collapse of the intercropping system may occur [26].

5. Conclusions

We explored the potential mechanism by which intercropping with A. catechu improves the growth of P. nigrum. Intercropping with A. catechu enriched the chemical diversity and composition of rhizosphere root exudates of P. nigrum, especially the abundance of flavonoids (epicatechin and 4′,5,6,7-Tetramethoxyflavone), alkaloids (litebamine), and amino acids (proline betaine, L-homocysteic acid, and L-homocysteic acid) in the rhizosphere of A. catechu, which significantly increased. The intercropping system also resulted in a significant increase in GAL15 (354.9%) and Bacteroidota (70.4%) in P. nigrum and Firmicutes (141.8%) and WPS2 (75.3%) in A. catechu. In the intercropping system, the abundance of soil flavonoids, including tangeritin, trifolirhizin, and hexamethylquercetagetin, which participated in improving nutrient cycling and plant growth, increased by 106.4~356.0%, 28.9~45.5%, and 45.2~127.1%, respectively. At the same time, the increase in beneficial bacterial community abundance resulted in more accumulation of soil mineral nutrients and SOM, and increased P. nigrum’s single plant weight by 27.0–55.5% and unit yield per hectare by 5.1–33.5%. Field experiments with the A. catechu intercropping system and pot experiments involving the addition of four specific components (organic acids, amino acids, sugars, and flavonoids) confirmed the role of A. catechu root exudates in enhancing mineral nutrient uptake by P. nigrum and improving plant growth. In brief, root exudates from intercropped A. catechu improve the soil microenvironment, thereby enhancing the nutrient uptake and sustainable production of P. nigrum.

Supplementary Materials

The following supporting information can be downloaded at: https://www.mdpi.com/article/10.3390/agronomy15020355/s1, Figure S1: Rarefaction curves of 16S rRNA genes; Figure S2: Composition barplot analysis of soil bacterial phylum level communities; Figure S3: Soil metabolomic analysis of P. nigrum and A. catechu under the intercropping pattern; Figure S4: Metabolomics analysis of root exudates under the different cultivation patterns; Figure S5: The analysis of metabolite partial least squares discriminant analysis (PLS–DA) and volcano plot of A. catechu between monoculture and intercropping patterns in the four growth stages; Figure S6: Analysis of metabolic pathways of P. nigrum root exudates under the intercropping pattern; Figure S7: Analysis of metabolic pathways of A. catechu root exudates under the intercropping pattern; Figure S8: Effect of intercropping patterns on key root exudates of P. nigrum and A. catechu; Figure S9: Analysis of metabolic pathway in root exudates of P. nigrum and A. catechu under intercropping pattern; Figure S10: The redundancy analysis (RDA) of soil microbial community structure and soil physicochemical indices; Table S1: Classification and concentration of the four additives; Table S2: Analysis of P. nigrum differential root exudates between monoculture and intercropping patterns; Table S3: Analysis of A. catechu differential root exudates between monoculture and intercropping patterns; Table S4: Abundance of bacterial dominant community in soil of P. nigrum and A. catechu under the different planting patterns (full flowering stage); Table S5: Abundance of bacterial dominant community in soil of P. nigrum and A. catechu under the different planting patterns (fruit expansion stage); Table S6: Abundance of dominant bacterial communities in soil of P. nigrum and A. catechu under the different planting patterns (full flowering stage); Table S7: Abundance of dominant bacterial communities in soil of P. nigrum and A. catechu under the different planting patterns (fruit expansion stage); Table S8: Analysis of differential metabolites in P. nigrum and A. catechu soil between monoculture and intercropping patterns; Table S9: Analysis of soil differential metabolites in the rhizosphere and non-rhizosphere under the different planting patterns; Table S10: Soil physical and chemical properties of P. nigrum and A. catechu under different planting patterns; Table S11: Leaf mineral nutrient content of P. nigrum at four growth stages under monoculture and intercropping during the 2021–2022.

Author Contributions

Z.L. (Zhiyuan Li): Writing—Review and Editing; Y.Z.: Field management, Soil sample collection and Writing—Review and Editing; C.Z.: Formal analysis, Writing—Review and Editing; Z.L. (Zhigang Li): Formal analysis, Writing—Review and Editing; W.Z.: Field management, Soil sample collection; H.Y.: Project administration, Supervision; S.G.: Writing—Review and Editing; S.L.: Writing—Review and Editing; B.Z.: Conceptualization, supervision, Writing—Review and Editing and Funding acquisition; X.W., C.W. and J.Y.: Writing—Review and Editing and Funding acquisition. All authors have read and agreed to the published version of the manuscript.

Funding

This research was supported by the National Key R&D Program of China (2023YFD1901403), the National Natural Science Foundation of China (31601837), the National Natural Science Foundation of China (32072671), the Chinese Agriculture Research system (CARS-11), the Hainan Black Pepper Agriculture Research system (HNARS-09-Z07), and the Chinese Academy of Tropical Agricultural Sciences for Science and Technology Innovation Team of National Tropical Agricultural Science Center (CATASCXTD202303).

Data Availability Statement

The original contributions presented in this study are included in the article/Supplementary Materials. Further inquiries can be directed to the corresponding author.

Acknowledgments

We thank Changqing Zhang, from College of Horticulture, China Agricultural University for editing the English of a draft of this manuscript.

Conflicts of Interest

The authors declare that they have no known competing financial interests or personal relationships that could have appeared to influence the work reported in this paper.

References

  1. Collange, B.; Navarrete, M.; Montfort, F.; Mateille, T.; Tavoillot, J.; Martiny, B.; Tchamitchian, M. Alternative cropping systems can have contrasting effects on various soil-borne diseases: Relevance of a systemic analysis in vegetable cropping systems. Crop Prot. 2014, 55, 7–15. [Google Scholar] [CrossRef]
  2. Wang, Y.; Zhang, Y.; Li, Z.; Zhao, Q.; Huang, X.; Huang, K. Effect of continuous cropping on the rhizosphere soil and growth of common buckwheat. Plant Prod. Sci. 2020, 23, 81–90. [Google Scholar] [CrossRef]
  3. Zhang, H.L.; Huang, M.; Zhang, W.H.; Gardea-Torresdey, J.L.; White, J.C.; Ji, R.; Zhao, L.J. Silver nanoparticles alter soil microbial community compositions and metabolite profiles in unplanted and cucumber-planted soils. Environ. Sci. Technol. 2020, 54, 3334–3342. [Google Scholar] [CrossRef] [PubMed]
  4. Tang, X.; Zhang, Y.; Jiang, J.; Meng, X.; Huang, Z.; Wu, H.; He, L.; Xiong, F.; Liu, J.; Zhong, R. Sugarcane/peanut intercropping system improves physicochemical properties by changing N and P cycling and organic matter turnover in root zone soil. PeerJ 2021, 9, e10880. [Google Scholar] [CrossRef] [PubMed]
  5. Homulle, Z.; George, T.S.; Karley, A.J. Root traits with team benefits: Understanding belowground interactions in intercropping systems. Plant Soil 2021, 471, 1–26. [Google Scholar] [CrossRef]
  6. Hassan, A.; Dresbøll, D.B.; Rasmussen, C.R.; Kjaerbye, A.L.; Nicolaisen, M.H.; Stokholm, M.S. Root distribution in intercropping systems-a comparison of DNA based methods and visual distinction of roots. Arch. Agron. Soil Sci. 2021, 67, 15–28. [Google Scholar] [CrossRef]
  7. Gebru, H. A review on the comparative advantages of intercropping to mono-cropping system. J. Biol. Agric. Healthc. 2015, 5, 1–13. [Google Scholar]
  8. Hu, L.; Robert, C.A.M.; Cadot, S.; Zhang, X.I.; Ye, M.; Li, B.; Manzo, D.; Chervet, N.; Steinger, T.; Van Der Heijden, M.G.A. Root exudate metabolites drive plant-soil feedbacks on growth and defense by shaping the rhizosphere microbiota. Nat. Commun. 2018, 9, 2738. [Google Scholar] [CrossRef] [PubMed]
  9. Bais, H.P.; Weir, T.L.; Perry, L.G.; Gilroy, S.; Vivanco, J.M. The role of root exudates in rhizosphere interactions with plants and other organisms. Annu. Rev. Plant Biol. 2006, 57, 233–266. [Google Scholar] [CrossRef] [PubMed]
  10. Li, X.; De Boer, W.; Ding, C.; Zhang, T.; Wang, X. Suppression of soil-borne Fusarium pathogens of peanut by intercropping with the medicinal herb Atractylodes lancea. Soil Biol. Biochem. 2018, 116, 120–130. [Google Scholar] [CrossRef]
  11. Cordente, A.G.; Schmidt, S.; Beltran, G.; Torija, M.J.; Curtin, C.D. Harnessing yeast metabolism of aromatic amino acids for fermented beverage bioflavouring and bioproduction. Appl. Microbiol. Biot. 2019, 103, 4325–4336. [Google Scholar] [CrossRef]
  12. Liu, Y.C.; Yin, X.H.; Zheng, Y. Influences of intercropping and nitrogen supply on flavonoid exudation in wheat roots. J. Plant Nutr. 2020, 43, 2757–2772. [Google Scholar] [CrossRef]
  13. Ma, Q.; Pan, W.; Tang, S.; Sun, X.; Xie, Y.; Chadwick, D.R.; Hill, P.W.; Si, L.; Wu, L.; Jones, D.L. Maize and soybean experience fierce competition from soil microorganisms for the uptake of organic and inorganic nitrogen and sulphur: A pot test using 13C, 15N, 14C, and 35S labelling. Soil Biol. Biochem. 2021, 157, 108260. [Google Scholar] [CrossRef]
  14. Lu, J.; Liu, Y.; Zou, X.; Zhang, X.; Yu, X.; Wang, Y.; Si, T. Rotational strip peanut/cotton intercropping improves agricultural production through modulating plant growth, root exudates, and soil microbial communities. Agric. Ecosyst. Environ. 2024, 359, 108767. [Google Scholar] [CrossRef]
  15. Song, Y.; Li, X.; Yao, S.; Yang, X.L.; Jiang, X. Correlations between soil metabolomics and bacterial community structures in the pepper rhizosphere under plastic greenhouse cultivation. Sci. Total Environ. 2020, 728, 138439. [Google Scholar] [CrossRef]
  16. Massalha, H.; Korenblum, E.; Tholl, D.; Aharoni, A. Small molecules below-ground: The role of specialized metabolites in the rhizosphere. Plant J. 2017, 90, 788–807. [Google Scholar] [CrossRef]
  17. Li, Z.G.; Zu, C.; Wang, C.; Yang, J.F.; Yu, H.; Wu, H.S. Different responses of rhizosphere and non-rhizosphere soil microbial communities to consecutive Piper nigrum L. monoculture. Sci. Rep. 2016, 6, 35825. [Google Scholar] [CrossRef]
  18. Neha, P.; Joshi, M.D. Piper nigrum: An overview of effects on human health. Res. J. Sci. Technol. 2020, 12, 331–337. [Google Scholar] [CrossRef]
  19. Zu, C.; Li, Z.; Wang, C.; Wang, X.X.; Ji, H.; Shen, J.B.; Rengel, Z.; Li, H.B.; Yang, J.F. Dissimilarity in root traits and spatial distribution promotes the productivity of Piper nigrum L. and tree species in mixture systems. Eur. J. Agron. 2024, 154, 127094. [Google Scholar] [CrossRef]
  20. Gong, X.; Feng, Y.; Dang, K.; Jiang, Y.; Qi, H.; Feng, B. Linkages of microbial community structure and root exudates: Evidence from microbial nitrogen limitation in soils of crop families. Sci. Total Environ. 2023, 881, 163536. [Google Scholar] [CrossRef]
  21. Glauser, G.; Veyrat, N.; Rochat, B.; Wolfender, J.L.; Turlings, T.C.J. Ultra-high pressure liquid chromatography–mass spectrometry for plant metabolomics: A systematic comparison of high-resolution quadrupole-time-of-flight and single stage Orbitrap mass spectrometers. J. Chromatogr. A 2013, 1292, 151–159. [Google Scholar] [CrossRef] [PubMed]
  22. Imparato, V.; Hansen, V.; Santos, S.S.; Nielsen, T.K.; Giagnoni, L.; Hauggaard-Nielsen, H.; Johansen, A.; Renella, G.; Winding, A. Gasification biochar has limited effects on functional and structural diversity of soil microbial communities in a temperate agroecosystem. Soil Biol. Biochem. 2016, 99, 128–136. [Google Scholar] [CrossRef]
  23. Edgar, R.C. UPARSE: Highly accurate OTU sequences from microbial amplicon reads. Nat. Methods 2013, 10, 996–998. [Google Scholar] [CrossRef] [PubMed]
  24. Quast, C.; Pruesse, E.; Yilmaz, P.; Gerken, J.; Schweer, T.; Yarza, P.; Peplies, J.; Glöckner, F.O. The SILVA ribosomal RNA gene database project: Improved data processing and web-based tools. Nucleic Acids Res. 2012, 41, D590–D596. [Google Scholar] [CrossRef]
  25. Bao, S.D. Soil and Agricultural Chemistry Analysis; China Agriculture Press: Beijing, China, 2000. [Google Scholar]
  26. Hartmann, M.; Johan, S. Soil structure and microbiome functions in agroecosystems. Nat. Rev. Earth Environ. 2023, 4, 4–18. [Google Scholar] [CrossRef]
  27. Ravindran, P.N. 1. Agronomy and Nutrition of Black Pepper; Black Pepper; CRS Press: Boca Raton, FL, USA, 2000; pp. 185–248. [Google Scholar]
  28. Tang, X.; He, Y.; Zhang, Z.; Wu, H.N.; He, L.Q.; Jiang, J.; Meng, W.W.; Huang, Z.P.; Xiong, F.Q.; Liu, J.; et al. Beneficial shift of rhizosphere soil nutrients and metabolites under a sugarcane/peanut intercropping system. Front. Plant Sci. 2022, 13, 1018727. [Google Scholar] [CrossRef] [PubMed]
  29. Wang, D.; Zhang, L.; Huang, J.; Himabindu, K.; Tewari, D.; Horbańczuk, J.O.; Xu, S.; Chen, Z.; Atanasov, A.G. Cardiovascular protective effect of black pepper (Piper nigrum L.) and its major bioactive constituent piperine. Trends Food Sci. Technol. 2021, 117, 34–45. [Google Scholar] [CrossRef]
  30. Luo, T.; Hou, S.; Yang, L.; Qi, G.; Zhao, X. Nematodes avoid and are killed by Bacillus mycoides-produced styrene. J. Invertebr. Pathol. 2018, 159, 129–136. [Google Scholar] [CrossRef]
  31. Amer, A. Role of soil amendments, plant growth regulators and amino acids in improvement salt affected soils properties and wheat productivity. J. Soil Sci. Agric. Eng. 2017, 8, 123–131. [Google Scholar] [CrossRef]
  32. Chen, S.; Wei, B.; Fu, Y. A study of the chemical composition and biological activity of michelia macclurei dandy heartwood: New sources of natural antioxidants, enzyme inhibitors and bacterial inhibitors. Int. J. Mol. Sci. 2023, 24, 7972. [Google Scholar] [CrossRef]
  33. Lasselain, M.J.; Pareyre, C.; Deysson, G. Contribution to the understanding of the mechanism of cytokinesis in plant cells: The action of deoxyguanosine on the kinetics of a root meristem cell population. Cell Prolif. 1978, 11, 519–527. [Google Scholar] [CrossRef] [PubMed]
  34. Harbort, C.J.; Hashimoto, M.; Inoue, H.; Niu, Y.; Guan, R.; Rombolà, A.D.; Kopriva, S.; Voges, M.J.; Sattely, E.S.; Garrido-Oter, R. Root-secreted coumarins and the microbiota interact to improve iron nutrition in Arabidopsis. Cell Host Microbe 2020, 28, 825–837. [Google Scholar] [CrossRef] [PubMed]
  35. Sasse, J.; Martinoia, E.; Northen, T. Feed your friends: Do plant exudates shape the root microbiome? Trends Plant Sci. 2017, 23, 25–41. [Google Scholar] [CrossRef]
  36. Koprivova, A.; Kopriva, S. Plant secondary metabolites altering root microbiome composition and function. Curr. Opin. Plant Biol. 2022, 67, 102227. [Google Scholar] [CrossRef]
  37. Yamada, T.; Sekiguchi, Y. Cultivation of uncultured Chloroflexi subphyla: Significance and ecophysiology of formerly uncultured chloroflexi’subphylum i’with natural and biotechnological relevance. Microbes Environ. 2009, 24, 205–216. [Google Scholar] [CrossRef] [PubMed]
  38. Ma, J.; Zhou, Y.; Li, J.; Song, Z.; Han, H. Novel approach to enhance Bradyrhizobium diazoefficiens nodulation through continuous induction of ROS by manganese ferrite nanomaterials in soybean. J. Nanobiotechnol. 2022, 20, 168. [Google Scholar] [CrossRef]
  39. Qiao, M.; Sun, R.; Wang, Z.; Dumack, K.; Xie, X.; Dai, C.; Wang, E.; Zhou, J.; Sun, B.; Peng, X.; et al. Legume rhizodeposition promotes nitrogen fixation by soil microbiota under crop diversification. Nat. Commun. 2024, 15, 2924. [Google Scholar] [CrossRef] [PubMed]
  40. Dong, L.; Xu, J.; Li, Y.; Fang, H.; Niu, W.; Li, X.; Zhang, Y.; Ding, W.; Chen, S. Manipulation of microbial community in the rhizosphere alleviates the replanting issues in Panax ginseng. Soil Biol. Biochem. 2018, 125, 64–74. [Google Scholar] [CrossRef]
  41. Gravel, V.; Antoun, H.; Tweddell, R.J. Growth stimulation and fruit yield improvement of greenhouse tomato plants by inoculation with Pseudomonas putida or Trichoderma atroviride: Possible role of indole acetic acid (IAA). Soil Biol. Biochem. 2007, 39, 1968–1977. [Google Scholar] [CrossRef]
  42. Wang, Y.; Li, X.; Quan, X.; Liang, H.; Wang, L.; Yan, X. Effects of nitrogen stress and nitrogen form ratios on the bacterial community and diversity in the root surface and rhizosphere of Cunninghamia lanceolata and Schima superba. Fron. Plant Sci. 2023, 14, 1240675. [Google Scholar] [CrossRef] [PubMed]
  43. Beauregard, M.S.; Hamel, C.; St-Arnaud, M. Long-term phosphorus fertilization impacts soil fungal and bacterial diversity but not AM fungal community in alfalfa. Microb. Ecol. 2010, 59, 379–389. [Google Scholar] [CrossRef] [PubMed]
  44. Cheng, H.; Yuan, M.; Tang, L.; Shen, Y.; Yu, Q.; Li, S. Integrated microbiology and metabolomics analysis reveal responses of soil microorganisms and metabolic functions to phosphorus fertilizer on semiarid farm. Sci. Total Environ. 2022, 817, 152878. [Google Scholar] [CrossRef] [PubMed]
  45. Brown, R.W.; Chadwick, D.R.; Bending, G.D.; Chris, D.C.; Whelton, H.L.; Daulton, E.; Covington, J.A.; Bull, I.D.; Jones, D.L. Nutrient (C, N and P) enrichment induces significant changes in the soil metabolite profile and microbial carbon partitioning. Soil Biol. Biochem. 2022, 172, 108779. [Google Scholar] [CrossRef]
  46. Malalgoda, M.; Ohm, J.B.; Howatt, K.A.; Green, A.; Simsek, S. Effects of pre-harvest glyphosate use on protein composition and shikimic acid accumulation in spring wheat. Food Chem. 2020, 332, 127422. [Google Scholar] [CrossRef]
  47. Tan, J.P.; Jahim, J.M.; Wu, T.Y.; Harun, S.; Kim, B.H.; Mohammad, A.W. Insight into biomass as a renewable carbon source for the production of succinic acid and the factors affecting the metabolic flux toward higher succinate yield. Ind. Eng. Chem. Res. 2014, 53, 16123–16134. [Google Scholar] [CrossRef]
  48. Shahbaz, M.; Kuzyakov, Y.; Sanaullah, M.; Heitkamp, F.; Zelenev, V.; Kumar, A.; Blagodatskaya, E. Microbial decomposition of soil organic matter is mediated by quality and quantity of crop residues: Mechanisms and thresholds. Biol. Fert. Soils 2017, 53, 287–301. [Google Scholar] [CrossRef]
  49. Gurmu, G. Soil organic matter and its role in soil health and crop productivity improvement. For. Ecol. Manag. 2019, 7, 475–483. [Google Scholar]
  50. Kaur, C.; Selvakumar, G.; Ganeshamurthy, A.N. Organic acids in the rhizosphere: Their role in phosphate dissolution. In Microbial Inoculants in Sustainable Agricultural Productivity; Springer: New Delhi, India, 2016; pp. 165–177. [Google Scholar]
  51. Ablimit, R.; Li, W.; Zhang, J.D.; Gao, H.N.; Zhao, Y.M.; Cheng, M.M.; Meng, X.Q.; An, L.Z.; Chen, Y. Altering microbial community for improving soil properties and agricultural sustainability during a 10-year maize-green manure intercropping in Northwest China. J. Environ. Manag. 2022, 321, 115859. [Google Scholar] [CrossRef]
Figure 1. Bacterial diversity and PCoA analysis of P. nigrum and A. catechu in monoculture and intercropping patterns. (A) P. nigrum monoculture plantation. (B) A. catechu monoculture plantation. (C) P. nigrum and A. catechu intercropping plantation. (D) Analysis of bacterial diversity during the full flowering stage. (E) Analysis of bacterial diversity during the fruit expansion stage. (F) PCoA analysis of different planting patterns during the full flowering stage. (G) PCoA analysis of different planting patterns during the fruit expansion stage. The data are means ± SDs (n = 4). “*” represents significant differences based on one-way ANOVA followed by Tukey’s multiple comparison (p < 0.05). MP: monoculture P. nigrum soil; IP: intercropping P. nigrum soil; MA: monoculture A. catechu soil; IA: intercropping A. catechu soil; MPN: non-rhizosphere monoculture P. nigrum soil; MAN: non-rhizosphere monoculture P. nigrum soil; IN: non-rhizosphere intercropping soil.
Figure 1. Bacterial diversity and PCoA analysis of P. nigrum and A. catechu in monoculture and intercropping patterns. (A) P. nigrum monoculture plantation. (B) A. catechu monoculture plantation. (C) P. nigrum and A. catechu intercropping plantation. (D) Analysis of bacterial diversity during the full flowering stage. (E) Analysis of bacterial diversity during the fruit expansion stage. (F) PCoA analysis of different planting patterns during the full flowering stage. (G) PCoA analysis of different planting patterns during the fruit expansion stage. The data are means ± SDs (n = 4). “*” represents significant differences based on one-way ANOVA followed by Tukey’s multiple comparison (p < 0.05). MP: monoculture P. nigrum soil; IP: intercropping P. nigrum soil; MA: monoculture A. catechu soil; IA: intercropping A. catechu soil; MPN: non-rhizosphere monoculture P. nigrum soil; MAN: non-rhizosphere monoculture P. nigrum soil; IN: non-rhizosphere intercropping soil.
Agronomy 15 00355 g001
Figure 2. The horizontal distribution map of P. nigrum and A. catechu under different planting patterns. (A) The horizontal distribution map of P. nigrum under monoculture. (B) The horizontal distribution map of P. nigrum under intercropping. (C) The horizontal distribution map of A. catechu under monoculture. (D) The horizontal distribution map of A. catechu under intercropping. The boxes in the legend represent the distribution of roots based on root volume and surface area data.
Figure 2. The horizontal distribution map of P. nigrum and A. catechu under different planting patterns. (A) The horizontal distribution map of P. nigrum under monoculture. (B) The horizontal distribution map of P. nigrum under intercropping. (C) The horizontal distribution map of A. catechu under monoculture. (D) The horizontal distribution map of A. catechu under intercropping. The boxes in the legend represent the distribution of roots based on root volume and surface area data.
Agronomy 15 00355 g002
Figure 3. Relative abundance analysis of dominant phyla and dominant genera in the soil. (A) Relative abundance analysis of dominant phyla of the full flowering stage under the different pattern. (B) Relative abundance analysis of dominant genera of the fruit expansion stage under the different pattern. (C) Relative abundance analysis of dominant phyla of the full flowering stage under the intercropping pattern. (D) Relative abundance analysis of dominant genera of the fruit expansion stage under the different pattern. MP: monoculture P. nigrum soil; IP: intercropping P. nigrum soil; MA: monoculture A. catechu soil; IA: intercropping A. catechu soil; MPN: non-rhizosphere monoculture P. nigrum soil; MAN: non-rhizosphere monoculture P. nigrum soil; IN: non-rhizosphere intercropping soil.
Figure 3. Relative abundance analysis of dominant phyla and dominant genera in the soil. (A) Relative abundance analysis of dominant phyla of the full flowering stage under the different pattern. (B) Relative abundance analysis of dominant genera of the fruit expansion stage under the different pattern. (C) Relative abundance analysis of dominant phyla of the full flowering stage under the intercropping pattern. (D) Relative abundance analysis of dominant genera of the fruit expansion stage under the different pattern. MP: monoculture P. nigrum soil; IP: intercropping P. nigrum soil; MA: monoculture A. catechu soil; IA: intercropping A. catechu soil; MPN: non-rhizosphere monoculture P. nigrum soil; MAN: non-rhizosphere monoculture P. nigrum soil; IN: non-rhizosphere intercropping soil.
Agronomy 15 00355 g003
Figure 4. Correlation analysis between root exudates and dominant bacteria phyla (and genera). (A) The correlation analysis between dominant bacteria genera and root exudates of P. nigrum. (B) The correlation analysis between dominant bacteria phyla and root exudates of P. nigrum. (C) The correlation analysis between dominant bacteria genera and root exudates of A. catechu. (D) The correlation analysis between dominant bacteria phyla and root exudates of A. catechu. “***” represented extremely significant levels (p < 0.01).
Figure 4. Correlation analysis between root exudates and dominant bacteria phyla (and genera). (A) The correlation analysis between dominant bacteria genera and root exudates of P. nigrum. (B) The correlation analysis between dominant bacteria phyla and root exudates of P. nigrum. (C) The correlation analysis between dominant bacteria genera and root exudates of A. catechu. (D) The correlation analysis between dominant bacteria phyla and root exudates of A. catechu. “***” represented extremely significant levels (p < 0.01).
Agronomy 15 00355 g004
Figure 5. Analysis of soil metabolites under the monoculture and intercropping pattern. (AL) In total, 12 soil metabolites significantly increased in the rhizosphere of P. nigrum and A. catechu under the intercropping pattern. The 12 soil metabolites include glycitein (A), methylsuccinic acid (B), 6-hydroxy-5-methoxy-2-phenyl-4H-chromen-4-one (C), pantothenic acid (D), galactinol (E), DL-Phenylalanine (F), hexamethylquercetagetin (G), nicotinic acid (H), tiglylglycine (I), (-)-thebaine (J), methylglutaric acid (K), and azelaic acid (L). The data are means ± SDs (n = 4). “*” represents significant differences based on one-way ANOVA followed by Tukey’s multiple comparison (p < 0.05). FMP: monoculture P. nigrum in the full flowering stage; FIP: intercropping P. nigrum in the full flowering stage; FMA: monoculture A. catechu in the full flowering stage; FIA: intercropping A. catechu in the full flowering stage; EMP: monoculture P. nigrum in the fruit expansion stage; EIP: intercropping P. nigrum in the fruit expansion stage; EMA: monoculture A. catechu in the fruit expansion stage; EIA: intercropping A. catechu in the fruit expansion stage.
Figure 5. Analysis of soil metabolites under the monoculture and intercropping pattern. (AL) In total, 12 soil metabolites significantly increased in the rhizosphere of P. nigrum and A. catechu under the intercropping pattern. The 12 soil metabolites include glycitein (A), methylsuccinic acid (B), 6-hydroxy-5-methoxy-2-phenyl-4H-chromen-4-one (C), pantothenic acid (D), galactinol (E), DL-Phenylalanine (F), hexamethylquercetagetin (G), nicotinic acid (H), tiglylglycine (I), (-)-thebaine (J), methylglutaric acid (K), and azelaic acid (L). The data are means ± SDs (n = 4). “*” represents significant differences based on one-way ANOVA followed by Tukey’s multiple comparison (p < 0.05). FMP: monoculture P. nigrum in the full flowering stage; FIP: intercropping P. nigrum in the full flowering stage; FMA: monoculture A. catechu in the full flowering stage; FIA: intercropping A. catechu in the full flowering stage; EMP: monoculture P. nigrum in the fruit expansion stage; EIP: intercropping P. nigrum in the fruit expansion stage; EMA: monoculture A. catechu in the fruit expansion stage; EIA: intercropping A. catechu in the fruit expansion stage.
Agronomy 15 00355 g005
Figure 6. Analysis of three key flavonoids of P. nigrum and A. catechu in rhizosphere and non-rhizosphere soils under intercropping. (A) Effect of different planting patterns on tangeritin abundance of P. nigrum and A. catechu at full flowering stage. (B) Effect of different planting patterns on tangeritin abundance of P. nigrum and A. catechu at fruit expansion stage. (C) Effect of different planting patterns on trifolirhizin abundance of P. nigrum and A. catechu at full flowering stage. (D) Effect of different planting patterns on trifolirhizin abundance of P. nigrum and A. catechu at fruit expansion stage. (E) Effect of different planting patterns on hexamethylquercetagetin abundance of P. nigrum and A. catechu at full flowering stage. (F) Effect of different planting patterns on hexamethylquercetagetin abundance of P. nigrum and A. catechu at fruit expansion stage. Data are means ± SDs (n = 4). “*” represents significant differences based on one-way ANOVA followed by Tukey’s multiple comparison (p < 0.05). FMP: monoculture P. nigrum in the full flowering stage; FIP: intercropping P. nigrum in the full flowering stage; FMA: monoculture A. catechu in the full flowering stage; FIA: intercropping A. catechu in the full flowering stage; EMP: monoculture P. nigrum in the fruit expansion stage; EIP: intercropping P. nigrum in the fruit expansion stage; EMA: monoculture A. catechu in the fruit expansion stage; EIA: intercropping A. catechu in the fruit expansion stage; FMAN: non-rhizosphere monoculture A. catechu in the full flowering stage; FMPN: non-rhizosphere monoculture P. nigrum in the full flowering stage; FIN: non-rhizosphere intercropping in the full flowering stage; EMAN: non-rhizosphere monoculture A. catechu in the fruit expansion stage; EMPN: non-rhizosphere monoculture P. nigrum in the fruit expansion stage; EIN: non-rhizosphere intercropping in the fruit expansion stage.
Figure 6. Analysis of three key flavonoids of P. nigrum and A. catechu in rhizosphere and non-rhizosphere soils under intercropping. (A) Effect of different planting patterns on tangeritin abundance of P. nigrum and A. catechu at full flowering stage. (B) Effect of different planting patterns on tangeritin abundance of P. nigrum and A. catechu at fruit expansion stage. (C) Effect of different planting patterns on trifolirhizin abundance of P. nigrum and A. catechu at full flowering stage. (D) Effect of different planting patterns on trifolirhizin abundance of P. nigrum and A. catechu at fruit expansion stage. (E) Effect of different planting patterns on hexamethylquercetagetin abundance of P. nigrum and A. catechu at full flowering stage. (F) Effect of different planting patterns on hexamethylquercetagetin abundance of P. nigrum and A. catechu at fruit expansion stage. Data are means ± SDs (n = 4). “*” represents significant differences based on one-way ANOVA followed by Tukey’s multiple comparison (p < 0.05). FMP: monoculture P. nigrum in the full flowering stage; FIP: intercropping P. nigrum in the full flowering stage; FMA: monoculture A. catechu in the full flowering stage; FIA: intercropping A. catechu in the full flowering stage; EMP: monoculture P. nigrum in the fruit expansion stage; EIP: intercropping P. nigrum in the fruit expansion stage; EMA: monoculture A. catechu in the fruit expansion stage; EIA: intercropping A. catechu in the fruit expansion stage; FMAN: non-rhizosphere monoculture A. catechu in the full flowering stage; FMPN: non-rhizosphere monoculture P. nigrum in the full flowering stage; FIN: non-rhizosphere intercropping in the full flowering stage; EMAN: non-rhizosphere monoculture A. catechu in the fruit expansion stage; EMPN: non-rhizosphere monoculture P. nigrum in the fruit expansion stage; EIN: non-rhizosphere intercropping in the fruit expansion stage.
Agronomy 15 00355 g006
Figure 7. Effect of addition of different components on phenotype (A), root system (B), and growth parameters (C) of P. nigrum seedlings. The 6 growth parameters include root length, total surface area, average diameter, number of root tips, plant height, and plant weight. The data are means ± SDs (n = 3). “*” represents a significant difference between the treatment and the CK based on one-way ANOVA followed by Tukey’s multiple comparison (p < 0.05).
Figure 7. Effect of addition of different components on phenotype (A), root system (B), and growth parameters (C) of P. nigrum seedlings. The 6 growth parameters include root length, total surface area, average diameter, number of root tips, plant height, and plant weight. The data are means ± SDs (n = 3). “*” represents a significant difference between the treatment and the CK based on one-way ANOVA followed by Tukey’s multiple comparison (p < 0.05).
Agronomy 15 00355 g007
Figure 8. A diagram summarizing the potential ways in which key soil metabolites and root exudates in A. catechu promote rhizosphere bacterial community diversity and ultimately improve nutrient uptake and enhance P. nigrum sustainable production.
Figure 8. A diagram summarizing the potential ways in which key soil metabolites and root exudates in A. catechu promote rhizosphere bacterial community diversity and ultimately improve nutrient uptake and enhance P. nigrum sustainable production.
Agronomy 15 00355 g008
Table 1. Effect of intercropping patterns on Piper nigrum and Areca catechu yield.
Table 1. Effect of intercropping patterns on Piper nigrum and Areca catechu yield.
Treatments2019202020212022
Pnmonoculture/plant (kg/plant)3.33 ± 0.13 b2.4 ± 0.08 b4.72 ± 0.05 b1.82 ± 0.38 b
Pnintercropping/plant (kg/plant)4.23 ± 0.11 a3.14 ± 0.14 a7.34 ± 0.06 a2.43 ± 0.21 a
Pnmonoculture/ha (t/ha)6.64 ± 0.21 b4.79 ± 0.02 b9.42 ± 0.14 b3.55 ± 0.07 b
Pnintercropping/ha (t/ha)6.98 ± 0.19 a5.18 ± 0.22 a12.11 ± 0.13 a4.74 ± 0.15 a
Acmonoculture/plant (kg/plant)2.21 ± 0.07 a2.47 ± 0.09 a2.42 ± 0.09 a3.99 ± 0.32 a
Acintercropping/plant (kg/plant)2.13 ± 0.12 a2.53 ± 0.11 a2.5 ± 0.13 a4.41 ± 0.46 a
Acmonoculture/ha (t/ha)3.64 ± 0.25 a4.07 ± 0.08 a4.0 ± 0.11 a7.63 ± 0.12 a
Acintercropping/ha (t/ha)3.51 ± 0.18 a4.17 ± 0.05 a4.12 ± 0.11 a3.71 ± 0.15 b
Note: Different letters represent significant differences based on one-way ANOVA followed by Tukey’s multiple comparison (p < 0.05). The data are means ± SDs (n = 3). Pn: Piper nigrum; Ac: Areca catechu.
Table 2. Horizontal distribution of root surface area density of Piper nigrum and Areca catechu in monoculture and intercropping.
Table 2. Horizontal distribution of root surface area density of Piper nigrum and Areca catechu in monoculture and intercropping.
Root to Plant Distance (cm)PnmonoculturePnintercroppingAcmonocultureAcintercropping
Root Surface Area (cm2/dm3)ProportionRoot Surface Area
(cm2/dm3)
ProportionRoot Surface Area
(cm2/dm3)
ProportionRoot Surface Area
(cm2/dm3)
Proportion
(%)(%)(%)(%)
0~3038.82 ± 7.77 a38.9110.63 ± 1.20 b10.22249.85 ± 32.91 a49.05141.47 ± 57.19 b61.67
30~6040.93 ± 12.49 a41.0241.71 ± 13.01 a44.53125.12 ± 24.4 a22.8141.18 ± 10.38 b15.96
60~9024.02 ± 6.09 b20.0646.64 ± 10.18 a32.7796.91 ± 13.56 a16.3132.63 ± 5.22 b14.22
90~120————32.47 ± 7.88 a12.4893.71 ± 11.15 a11.8333.63 ± 10.02 b8.15
Note: Different letters represent significant differences based on one-way ANOVA followed by Tukey’s multiple comparison (p < 0.05). The data are means ± SDs (n = 3). Pn: Piper nigrum; Ac: Areca catechu.“——”indicates that no root surface area information was detected, the same below.
Table 3. Horizontal distribution of root volume density of Piper nigrum and Areca catechu in monoculture and intercropping.
Table 3. Horizontal distribution of root volume density of Piper nigrum and Areca catechu in monoculture and intercropping.
Root to Plant Distance (cm)PnmonoculturePnintercroppingAcmonocultureAcintercropping
Root Volume
(cm3/dm3)
ProportionRoot Volume
(cm3/dm3)
ProportionRoot Volume
(cm3/dm3)
ProportionRoot Volume
(cm3/dm3)
Proportion
(%)(%)(%)(%)
0~300.99 ± 0.24 a43.60.54 ± 0.30 b17.6512.58 ± 2.08 b57.226.90 ± 3.25 a69.39
30~600.89 ± 0.31 b39.391.34 ± 0.41 a48.614.81 ± 1.10 a20.311.34 ± 0.32 b11.96
60~900.46 ± 0.12 b17.020.93 ± 0.16 a22.463.25 ± 0.53 a12.661.13 ± 0.18 b11.3
90~120————0.93 ± 0.21 a11.273.36 ± 0.46 a9.811.30 ± 0.62 b7.29
Note: Different letters represent significant differences based on one-way ANOVA followed by Tukey’s multiple comparison (p < 0.05). The data are means ± SDs (n = 3). Pn: Piper nigrum; Ac: Areca catechu.
Table 4. Horizontal distribution of average root diameter of Piper nigrum and Areca catechu in monoculture and intercropping.
Table 4. Horizontal distribution of average root diameter of Piper nigrum and Areca catechu in monoculture and intercropping.
Root to Plant Distance (cm)PnmonoculturePnintercroppingAcmonocultureAcintercropping
0~300.96 ± 0.11 b1.23 ± 0.29 a1.77 ± 0.08 a1.55 ± 0.14 b
30~600.78 ± 0.10 b1.21 ± 0.15 a1.38 ± 0.10 a1.28 ± 0.12 b
60~900.81 ± 0.08 b0.83 ± 0.06 a1.29 ± 0.06 a1.38 ± 0.11 a
90~120——1.25 ± 0.28 a1.53 ± 0.12 a1.36 ± 0.22 b
Note: Different letters represent significant differences based on one-way ANOVA followed by Tukey’s multiple comparison (p < 0.05). The data are means ± SDs (n = 3). Pn: Piper nigrum; Ac: Areca catechu.
Table 5. Effect of adding specific components to mineral elements in Piper nigrum overground and roots.
Table 5. Effect of adding specific components to mineral elements in Piper nigrum overground and roots.
Different
Organizations
Different CategoriesN Content
(mg/kg)
P Content
(mg/kg)
K Content
(mg/kg)
Ca Content
(mg/kg)
Mg Content
(mg/kg)
Overground partOrganic acids17.57 ± 0.49 a3.88 ± 0.16 a36.63 ± 0.92 a17.51 ± 0.19 a3.62 ± 0.04 c
Amino acids15.25 ± 0.49 bc3.15 ± 0.07 bc34.07 ± 0.87 b16.27 ± 0.23 b3.75 ± 0.02 ab
Saccharides15.46 ± 0.5 bc3.07 ± 0.03 cd31.2 ± 0.69 c16.21 ± 0.21 b3.78 ± 0.02 ab
Flavonoids15.67 ± 0.74 bc3.89 ± 0.06 a36.89 ± 0.67 a16.32 ± 0.18 b3.85 ± 0.02 a
CK12.97 ± 0.27 d2.83 ± 0.04 d20.53 ± 0.7 e14.07 ± 0.34 c3.54 ± 0.05 c
RootsOrganic acids31.99 ± 0.87 a3.69 ± 0.23 a30.37 ± 0.61 a11.94 ± 0.23 bc6.36 ± 0.05 a
Amino acids27.32 ± 0.75 b3.22 ± 0.05 bc29.82 ± 0.64 a11.14 ± 0.23 d4.63 ± 0.05 c
Saccharides29.61 ± 0.48 a3.12 ± 0.06 c29.84 ± 0.65 a10.09 ± 0.15 e4.61 ± 0.06 c
Flavonoids30.3 ± 0.96 a3.5 ± 0.11 ab31.4 ± 0.51 a12.62 ± 0.16 a4.82 ± 0.04 b
CK23.88 ± 0.47 c2.12 ± 0.07 d25.54 ± 0.59 b9.73 ± 0.25 e4.06 ± 0.06 e
Note: Different letters represent significant differences based on one-way ANOVA followed by Tukey’s multiple comparison (p < 0.05). Data are means ± SDs (n = 3).
Disclaimer/Publisher’s Note: The statements, opinions and data contained in all publications are solely those of the individual author(s) and contributor(s) and not of MDPI and/or the editor(s). MDPI and/or the editor(s) disclaim responsibility for any injury to people or property resulting from any ideas, methods, instructions or products referred to in the content.

Share and Cite

MDPI and ACS Style

Li, Z.; Zhao, Y.; Zu, C.; Li, Z.; Zheng, W.; Yu, H.; Gao, S.; Liu, S.; Zhang, B.; Wang, X.; et al. Root Exudates from Areca catechu L. Intercropping System Promote Nutrient Uptake and Sustainable Production of Piper nigrum L. Agronomy 2025, 15, 355. https://doi.org/10.3390/agronomy15020355

AMA Style

Li Z, Zhao Y, Zu C, Li Z, Zheng W, Yu H, Gao S, Liu S, Zhang B, Wang X, et al. Root Exudates from Areca catechu L. Intercropping System Promote Nutrient Uptake and Sustainable Production of Piper nigrum L. Agronomy. 2025; 15(2):355. https://doi.org/10.3390/agronomy15020355

Chicago/Turabian Style

Li, Zhiyuan, Yaqi Zhao, Chao Zu, Zhigang Li, Weiquan Zheng, Huan Yu, Shengfeng Gao, Shichao Liu, Baogui Zhang, Xinxin Wang, and et al. 2025. "Root Exudates from Areca catechu L. Intercropping System Promote Nutrient Uptake and Sustainable Production of Piper nigrum L." Agronomy 15, no. 2: 355. https://doi.org/10.3390/agronomy15020355

APA Style

Li, Z., Zhao, Y., Zu, C., Li, Z., Zheng, W., Yu, H., Gao, S., Liu, S., Zhang, B., Wang, X., Wang, C., & Yang, J. (2025). Root Exudates from Areca catechu L. Intercropping System Promote Nutrient Uptake and Sustainable Production of Piper nigrum L. Agronomy, 15(2), 355. https://doi.org/10.3390/agronomy15020355

Note that from the first issue of 2016, this journal uses article numbers instead of page numbers. See further details here.

Article Metrics

Back to TopTop