Effects of Green-Synthesised Copper Oxide–Zinc Oxide Hybrid Nanoparticles on Antifungal Activity and Phytotoxicity of Aflatoxin B1 in Maize (Zea mays L.) Seed Germination
Abstract
1. Introduction
2. Methods and Materials
2.1. Fungus and Reagents
2.2. ZnO-CuO Hybrid Nanoparticle Synthesisation and Characterisation
2.3. Identification of A. flavus Fungus Spores Using Polymerase Chain Reaction (PCR)
2.4. Antifungal Activity of ZnO-CuO Hybrid NPs
2.5. Seed Germination Test
2.6. Aflatoxin B1 (AFB1) Concentration
2.7. Statistical Analysis
3. Results
3.1. ZnO-CuO NP Characterisation
3.2. Identification and Characterisation of A. flavus Spores Using PCR
3.3. Antifungal Activity of ZnO-CuO Hybrid Nanoparticles
3.4. Seed Germination Test
3.4.1. Effects of AFB 1 and A. flavus Spores on Seed Germination
3.4.2. Effect of ZnO-CuO Hybrid NPs on Seed Germination
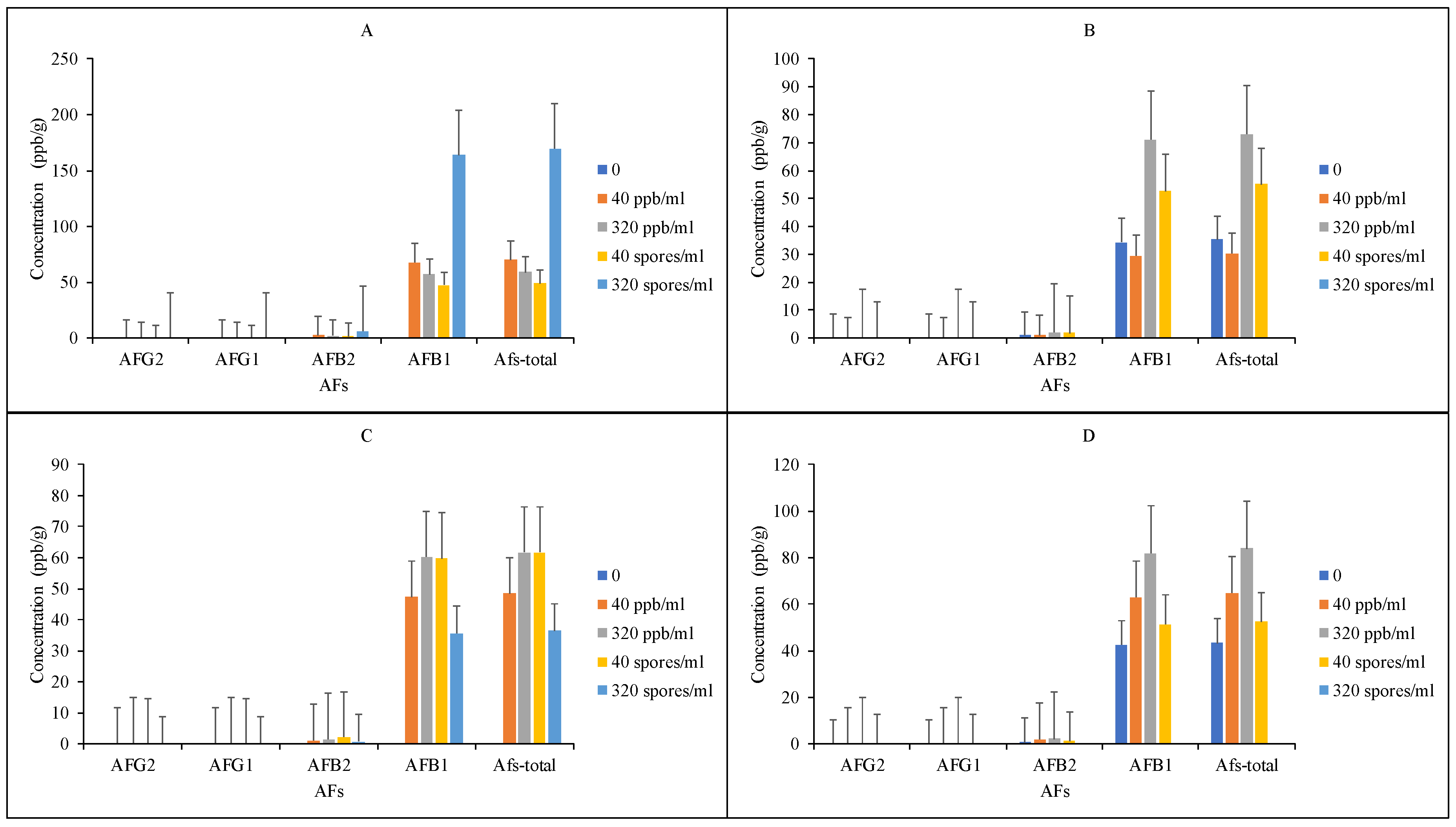
3.5. AFB1 Concentration in Plumule and Radicle
4. Discussion
4.1. ZnO-CuO NP Characterisation
4.2. Molecular Identification and Characterisation of A. flavus Spores Using PCR
4.3. Antifungal Activity
4.4. Effects of AFB 1 and A. flavus Spores on Seed Germination
4.5. Effect of ZnO-CuO Hybrid NPs on Seed Germination and Growth Indices
4.6. Effect of AFB1 and A. flavus Spores on AF Concentration in Plumule and Radicle
5. Conclusions
Supplementary Materials
Author Contributions
Funding
Data Availability Statement
Conflicts of Interest
References
- Jallow, A.; Xie, H.; Tang, X.; Qi, Z.; Li, P. Worldwide aflatoxin contamination of agricultural products and foods: From occurrence to control. Compr. Rev. Food Sci. Food Saf. 2021, 20, 2332–2381. [Google Scholar] [CrossRef]
- Abrar, M.; Anjum, F.M.; Butt, M.S.; Pasha, I.; Randhawa, M.A.; Saeed, F.; Waqas, K. Aflatoxins: Biosynthesis, occurrence, toxicity, and remedies. Crit. Rev. Food Sci. Nutr. 2013, 53, 862–874. [Google Scholar] [CrossRef] [PubMed]
- Tacconi, C.; Cucina, M.; Zadra, C.; Gigliotti, G.; Pezzolla, D. Plant nutrients recovery from aflatoxin B1 contaminated corn through co-composting. J. Environ. Chem. Eng. 2019, 7, 103046. [Google Scholar] [CrossRef]
- Jaćević, V.; Dumanović, J.; Alomar, S.Y.; Resanović, R.; Milovanović, Z.; Nepovimova, E.; Wu, Q.; Franca, T.C.C.; Wu, W.; Kuča, K. Research update on aflatoxins toxicity, metabolism, distribution, and detection: A concise overview. Toxicology 2023, 492, 153549. [Google Scholar] [CrossRef]
- Akinola, S.A.; Ateba, C.N.; Mwanza, M. Polyphasic assessment of aflatoxin production potential in selected Aspergilli. Toxins 2019, 11, 692. [Google Scholar] [CrossRef] [PubMed]
- Okechukwu, V.O.; Kappo, A.P.; Njobeh, P.B.; Mamo, M.A. Morphed aflaxotin concentration produced by Aspergillus flavus strain VKMN22 on maize grains inoculated on agar culture. Food Chem. Mol. Sci. 2024, 8, 100197. [Google Scholar] [CrossRef] [PubMed]
- Pfliegler, W.P.; Pocsi, I.; Gyori, Z.; Pusztahelyi, T. The Aspergilli and Their Mycotoxins: Metabolic Interactions With Plants and the Soil Biota. Front. Microbiol. 2019, 10, 2921. [Google Scholar] [CrossRef] [PubMed]
- Mwanza, M. A Comparative Study of Fungi and Mycotoxin Contamination in Animal Products from Selected Rural and Urban Areas of South Africa with Particular Reference to the Impact of This on the Health of Rural Black People. Ph.D. Thesis, University of Johannesburg, Johannesburg, South Africa, 2012. [Google Scholar]
- Akinola, S.A.; Ateba, C.N.; Mwanza, M. Behaviour of Aspergillus parasiticus in aflatoxin production as influenced by storage parameters using response surface methodology approach. Int. J. Food Microbiol. 2021, 357, 109369. [Google Scholar] [CrossRef]
- Xu, D.; Wei, M.; Peng, S.; Mo, H.; Huang, L.; Yao, L.; Hu, L. Cuminaldehyde in cumin essential oils prevents the growth and aflatoxin B1 biosynthesis of Aspergillus flavus in peanuts. Food Control 2021, 125, 107985. [Google Scholar] [CrossRef]
- Molnár, K.; Rácz, C.; Dövényi-Nagy, T.; Bakó, K.; Pusztahelyi, T.; Kovács, S.; Adácsi, C.; Pócsi, I.; Dobos, A. The Effect of Environmental Factors on Mould Counts and AFB1 Toxin Production by Aspergillus flavus in Maize. Toxins 2023, 15, 227. [Google Scholar] [CrossRef]
- Ma, X.; Jiang, Y.; Ma, L.; Luo, S.; Du, H.; Li, X.; Xing, F. Corepressors SsnF and RcoA Regulate Development and Aflatoxin B1 Biosynthesis in Aspergillus flavus NRRL 3357. Toxins 2022, 14, 174. [Google Scholar] [CrossRef]
- Battilani, P.; Leggieri, M.C.; Rossi, V.; Giorni, P. AFLA-maize, a mechanistic model for Aspergillus flavus infection and aflatoxin B1 contamination in maize. Comput. Electron. Agric. 2013, 94, 38–46. [Google Scholar] [CrossRef]
- Petrick, J.L.; McGlynn, K.A. The changing epidemiology of primary liver cancer. Curr. Epidemiol. Rep. 2019, 6, 104–111. [Google Scholar] [CrossRef]
- Rushing, B.R.; Selim, M.I. Aflatoxin B1: A review on metabolism, toxicity, occurrence in food, occupational exposure, and detoxification methods. Food Chem. Toxicol. 2019, 124, 81–100. [Google Scholar] [CrossRef]
- Pożarska, A.; Karpiesiuk, K.; Kozera, W.; Czarnik, U.; Dąbrowski, M.; Zielonka, Ł. AFB1 Toxicity in Human Food and Animal Feed Consumption: A Review of Experimental Treatments and Preventive Measures. Int. J. Mol. Sci. 2024, 25, 5305. [Google Scholar] [CrossRef]
- Alshannaq, A.; Yu, J.-H. Occurrence, toxicity, and analysis of major mycotoxins in food. Int. J. Environ. Res. Public Health 2017, 14, 632. [Google Scholar] [CrossRef]
- Bennett, J.W.; Klich, M. Mycotoxins. Clin. Microbiol. Rev. 2003, 16, 497–516. [Google Scholar] [CrossRef] [PubMed]
- Bedard, L.L.; Massey, T.E. Aflatoxin B1-induced DNA damage and its repair. Cancer Lett. 2006, 241, 174–183. [Google Scholar] [CrossRef]
- Kumar, P.; Gupta, A.; Mahato, D.K.; Pandhi, S.; Pandey, A.K.; Kargwal, R.; Mishra, S.; Suhag, R.; Sharma, N.; Saurabh, V. Aflatoxins in cereals and cereal-based products: Occurrence, toxicity, impact on human health, and their detoxification and management strategies. Toxins 2022, 14, 687. [Google Scholar] [CrossRef]
- Mahato, D.K.; Lee, K.E.; Kamle, M.; Devi, S.; Dewangan, K.N.; Kumar, P.; Kang, S.G. Aflatoxins in food and feed: An overview on prevalence, detection and control strategies. Front. Microbiol. 2019, 10, 2266. [Google Scholar] [CrossRef] [PubMed]
- Lidon, F.C.; Barreiro, M. An overview into aluminum toxicity in maize. Bulg. J. Plant Physiol 2002, 28, 96–112. [Google Scholar]
- Santpoort, R. The drivers of maize area expansion in Sub-Saharan Africa. How policies to boost maize production overlook the interests of smallholder farmers. Land 2020, 9, 68. [Google Scholar] [CrossRef]
- Khaeim, H.; Kende, Z.; Jolánkai, M.; Kovács, G.P.; Gyuricza, C.; Tarnawa, Á. Impact of temperature and water on seed germination and seedling growth of maize (Zea mays L.). Agronomy 2022, 12, 397. [Google Scholar] [CrossRef]
- Xu, F.; Baker, R.; Whitaker, T.; Luo, H.; Zhao, Y.; Stevenson, A.; Boesch, C.; Zhang, G. Review of good agricultural practices for smallholder maize farmers to minimise aflatoxin contamination. World Mycotoxin J. 2022, 15, 171–186. [Google Scholar] [CrossRef]
- Pingali, P.; Sunder, N. Transitioning toward nutrition-sensitive food systems in developing countries. Annu. Rev. Resour. Econ. 2017, 9, 439–459. [Google Scholar] [CrossRef]
- Grote, U.; Fasse, A.; Nguyen, T.T.; Erenstein, O. Food security and the dynamics of wheat and maize value chains in Africa and Asia. Front. Sustain. Food Syst. 2021, 4, 617009. [Google Scholar] [CrossRef]
- Xue, X.; Du, S.; Jiao, F.; Xi, M.; Wang, A.; Xu, H.; Jiao, Q.; Zhang, X.; Jiang, H.; Chen, J. The regulatory network behind maize seed germination: Effects of temperature, water, phytohormones, and nutrients. Crop J. 2021, 9, 718–724. [Google Scholar] [CrossRef]
- Payne, G.A.; Widstrom, N.W. Aflatoxin in maize. Crit. Rev. Plant Sci. 1992, 10, 423–440. [Google Scholar] [CrossRef]
- Thompson, M.E.; Raizada, M.N. Fungal pathogens of maize gaining free passage along the silk road. Pathogens 2018, 7, 81. [Google Scholar] [CrossRef]
- Righetti, L.; Bhandari, D.R.; Rolli, E.; Tortorella, S.; Bruni, R.; Dall’Asta, C.; Spengler, B. Unveiling the spatial distribution of aflatoxin B1 and plant defense metabolites in maize using AP-SMALDI mass spectrometry imaging. Plant J. 2021, 106, 185–199. [Google Scholar] [CrossRef]
- Hariprasad, P.; Vipin, A.; Karuna, S.; Raksha, R.; Venkateswaran, G. Natural aflatoxin uptake by sugarcane (Saccharum officinaurum L.) and its persistence in jaggery. Environ. Sci. Pollut. Res. 2015, 22, 6246–6253. [Google Scholar] [CrossRef] [PubMed]
- Rolli, E.; Righetti, L.; Galaverna, G.; Suman, M.; Dall’Asta, C.; Bruni, R. Zearalenone uptake and biotransformation in micropropagated Triticum durum Desf. plants: A xenobolomic approach. J. Agric. Food Chem. 2018, 66, 1523–1532. [Google Scholar] [CrossRef]
- Snigdha, M.; Hariprasad, P.; Venkateswaran, G. Transport via xylem and accumulation of aflatoxin in seeds of groundnut plant. Chemosphere 2015, 119, 524–529. [Google Scholar] [CrossRef]
- Ismaiel, A.A.; Papenbrock, J. Mycotoxins: Producing fungi and mechanisms of phytotoxicity. Agriculture 2015, 5, 492–537. [Google Scholar] [CrossRef]
- Kolesnikov, M.; Gerasko, T.; Paschenko, Y.; Pokoptseva, L.; Onyschenko, O.; Kolesnikova, A. Effect of water deficit on maize seeds (Zea mays L.) during germination. Agron. Res. 2023, 21, 156–174. [Google Scholar]
- Lara-Viveros, F.M.; Landero-Valenzuela, N.; Aguado-Rodríguez, G.J.; Bautista-Rodríguez, E.I.; Martínez-Acosta, E.; Callejas-Hernandez, J. Effects of hydropriming on maize seeds (Zea mays L.) and the growth, development, and yield of crops. Rev. De La Fac. De Cienc. Agrar. UNCuyo 2020, 52, 72–86. [Google Scholar]
- Zhao, M.; Zhang, H.; Yan, H.; Qiu, L.; Baskin, C.C. Mobilization and role of starch, protein, and fat reserves during seed germination of six wild grassland species. Front. Plant Sci. 2018, 9, 234. [Google Scholar] [CrossRef] [PubMed]
- Seneviratne, M.; Rajakaruna, N.; Rizwan, M.; Madawala, H.; Ok, Y.S.; Vithanage, M. Heavy metal-induced oxidative stress on seed germination and seedling development: A critical review. Environ. Geochem. Health 2019, 41, 1813–1831. [Google Scholar] [CrossRef]
- Milošević, M.; Vujaković, M.; Karagić, Đ. Vigour tests as indicators of seed viability. Genetika 2010, 42, 103–118. [Google Scholar] [CrossRef]
- Song, C.; Qin, J. High-performance fabricated nano-adsorbents as emerging approach for removal of mycotoxins: A review. Int. J. Food Sci. Technol. 2022, 57, 5781–5789. [Google Scholar] [CrossRef]
- Jobe, M.C.; Mthiyane, D.M.; Mwanza, M.; Onwudiwe, D.C. Biosynthesis of zinc oxide and silver/zinc oxide nanoparticles from Urginea epigea for antibacterial and antioxidant applications. Heliyon 2022, 8, e12243. [Google Scholar] [CrossRef]
- Phan, C.-W.; Sabaratnam, V. Potential uses of spent mushroom substrate and its associated lignocellulosic enzymes. Appl. Microbiol. Biotechnol. 2012, 96, 863–873. [Google Scholar] [CrossRef]
- Wan, C.; Li, Y. Fungal pretreatment of lignocellulosic biomass. Biotechnol. Adv. 2012, 30, 1447–1457. [Google Scholar] [CrossRef]
- Soltys, L.; Olkhovyy, O.; Tatarchuk, T.; Naushad, M. Green synthesis of metal and metal oxide nanoparticles: Principles of green chemistry and raw materials. Magnetochemistry 2021, 7, 145. [Google Scholar] [CrossRef]
- Chauhan, A.; Anand, J.; Parkash, V.; Rai, N. Biogenic synthesis: A sustainable approach for nanoparticles synthesis mediated by fungi. Inorg. Nano-Met. Chem. 2022, 53, 460–473. [Google Scholar] [CrossRef]
- Naraian, R.; Abhishek, A.K.B. Green synthesis and characterization of silver NPs using oyster mushroom extract for antibacterial efficacy. J. Chem. Environ. Sci. Its Appl. 2020, 7, 13–18. [Google Scholar] [CrossRef]
- Abikoye, E.; Oloke, J.; Elemo, G.; Okorie, P.; Aier, S.; Oluwawole, O.; Barooah, M. Biosynthesis of silver nanoparticles in improved strain of Auricularia polytricha-an edible mushroom from Nigeria and its antimicrobial activities. Covenant J. Phys. Life Sci. (Spec. Ed.) 2019, 7, 47–55. [Google Scholar]
- Elsakhawy, T.; Omara, A.E.-D.; Abowaly, M.; El-Ramady, H.; Badgar, K.; Llanaj, X.; Törős, G.; Hajdú, P.; Prokisch, J. Green Synthesis of Nanoparticles by Mushrooms: A Crucial Dimension for Sustainable Soil Management. Sustainability 2022, 14, 4328. [Google Scholar] [CrossRef]
- Liu, C.; Li, F.; Luo, C.; Liu, X.; Wang, S.; Liu, T.; Li, X. Foliar application of two silica sols reduced cadmium accumulation in rice grains. J. Hazard. Mater. 2009, 161, 1466–1472. [Google Scholar] [CrossRef]
- Nair, R.; Varghese, S.H.; Nair, B.G.; Maekawa, T.; Yoshida, Y.; Kumar, D.S. Nanoparticulate material delivery to plants. Plant Sci. 2010, 179, 154–163. [Google Scholar] [CrossRef]
- Tripathi, D.K.; Singh, S.; Singh, V.P.; Prasad, S.M.; Chauhan, D.K.; Dubey, N.K. Silicon Nanoparticles More Efficiently Alleviate Arsenate Toxicity than Silicon in Maize Cultiver and Hybrid Differing in Arsenate Tolerance. Front. Environ. Sci. 2016, 4, 46. [Google Scholar] [CrossRef]
- Adeyemi, J.O.; Onwudiwe, D.C.; Oyedeji, A.O. Biogenic synthesis of CuO, ZnO, and CuO–ZnO nanoparticles using leaf extracts of Dovyalis caffra and their biological properties. Molecules 2022, 27, 3206. [Google Scholar] [CrossRef]
- Nleya, N.; Ngoma, L.; Adetunji, M.C.; Mwanza, M. Biodiversity of aflatoxigenic Aspergillus species in dairy feeds in Bulawayo, Zimbabwe. Front. Microbiol. 2021, 11, 599605. [Google Scholar] [CrossRef]
- Elemike, E.E.; Onwudiwe, D.C.; Ekennia, A.C.; Jordaan, A. Synthesis and characterisation of silver nanoparticles using leaf extract of Artemisia afra and their in vitro antimicrobial and antioxidant activities. IET Nanobiotechnol. 2018, 12, 722–726. [Google Scholar] [CrossRef] [PubMed]
- Oluseyi, O.J.; Adesola, A.S. Seed vigour of quality protein maize varieties belonging to different maturity groups. J. Agric. Ecol. Res. Int. 2020, 4, 78–84. [Google Scholar] [CrossRef]
- Abdi, H.; Williams, L.J. Tukey’s honestly significant difference (HSD) test. Encycl. Res. Des. 2010, 3, 1–5. [Google Scholar]
- Gamedze, N.P.; Mthiyane, D.M.N.; Babalola, O.O.; Singh, M.; Onwudiwe, D.C. Physico-chemical characteristics and cytotoxicity evaluation of CuO and TiO2 nanoparticles biosynthesized using extracts of Mucuna pruriens utilis seeds. Heliyon 2022, 8, e10187. [Google Scholar] [CrossRef]
- Singh, D.; Radhakrishnan, T.; Kumar, V.; Bagwan, N.; Basu, M.; Dobaria, J.; Mishra, G.P.; Chanda, S. Molecular characterisation of Aspergillus flavus isolates from peanut fields in India using AFLP. Braz. J. Microbiol. 2015, 46, 673–682. [Google Scholar] [CrossRef] [PubMed][Green Version]
- Nleya, N. Study of Toxigenic Aspergillus in Feed and Impact of Bovine Breed on Aflatoxins Carryover in Milk and Urine in Dairy Cows: A Case of Bulawayo, Zimbabwe. Ph.D. Thesis, North-West University, Potchefstroom, South Africa, 2019. [Google Scholar]
- Ogwuegbu, M.C.; Ayangbenro, A.S.; Mthiyane, D.M.; Babalola, O.O.; Onwudiwe, D. Green synthesis of CuO nanoparticles using Ligustrum lucidum extract, and the antioxidant and antifungal evaluation. Mater. Res. Express 2024, 11, 055010. [Google Scholar] [CrossRef]
- Ogwuegbu, M.C.; Olatunde, O.C.; Pfukwa, T.M.; Mthiyane, D.; Fawole, O.A.; Onwudiwe, D.C. Antibacterial and antifungal activities of Platycladus orientalis leaf extract-mediated Fe2O3 and Ce-doped Fe2O3 nanoparticles. Discov. Appl. Sci. 2024, 6, 546. [Google Scholar] [CrossRef]
- Zhu, W.; Hu, C.; Ren, Y.; Lu, Y.; Song, Y.; Ji, Y.; Han, C.; He, J. Green synthesis of zinc oxide nanoparticles using Cinnamomum camphora (L.) Presl leaf extracts and its antifungal activity. J. Environ. Chem. Eng. 2021, 9, 106659. [Google Scholar] [CrossRef]
- Llewellyn, G.; O’Donnell, W.; Dashek, W. Aflatoxin influences on seed germination and root elongation by two cultivars of Glycine max and uptake of 65 Zn-ZnCl2 by the cultivars. Mycopathologia 1984, 86, 129–136. [Google Scholar] [CrossRef]
- Abdel-Kareem, M.; Ahmed Zohri, A.-N. Inhibition of three toxigenic fungal strains and their toxins production using selenium nanoparticles. Czech Mycol. 2017, 69, 193–204. [Google Scholar] [CrossRef]
- Jones, H.; Chancey, J.; Morton, W.; Dashek, W.; Llewellyn, G. Toxic responses of germinating pollen and soybeans to aflatoxins. Mycopathologia 1980, 72, 67–73. [Google Scholar] [CrossRef]
- Tripathi, R.; Misra, R. Effect of aflatoxin B1 on chromatin-bound ribonucleic acid polymerase and nucleic acid and protein synthesis in germinating maize seeds. Appl. Environ. Microbiol. 1981, 42, 389–393. [Google Scholar] [CrossRef] [PubMed]
- McLean, M.; Berjak, P.; Watt, M.; Dutton, M. The effects of aflatoxin B1 on immature germinating maize (Zea mays) embryos. Mycopathologia 1992, 119, 181–190. [Google Scholar] [CrossRef]
- Divakara, S.T.; Aiyaz, M.; Hariprasad, P.; Nayaka, S.C.; Niranjana, S.R. Aspergillus flavus infection and aflatoxin contamination in sorghum seeds and their biological management. Arch. Phytopathol. Plant Prot. 2014, 47, 2141–2156. [Google Scholar] [CrossRef]
- Bbosa, G.S.; Kitya, D.; Odda, J.; Ogwal-Okeng, J. Aflatoxins metabolism, effects on epigenetic mechanisms and their role in carcinogenesis. Health 2013, 5, 14–34. [Google Scholar] [CrossRef]
- Young, J.; Dashek, W.; Llewellyn, G. Aflatoxin B 1 influence on excised soya-bean root growth, 14 C-leucine uptake and incorporation. Mycopathologia 1978, 66, 91–97. [Google Scholar] [CrossRef]
- Siddiqui, S.A.; Blinov, A.V.; Serov, A.V.; Gvozdenko, A.A.; Kravtsov, A.A.; Nagdalian, A.A.; Raffa, V.V.; Maglakelidze, D.G.; Blinova, A.A.; Kobina, A.V. Effect of selenium nanoparticles on germination of Hordéum Vulgáre barley seeds. Coatings 2021, 11, 862. [Google Scholar] [CrossRef]
- Goswami, S.K.; Kashyap, P.; Awasthi, S. Deciphering rhizosphere microbiome for the development of novel bacterial consortium and its evaluation for salt stress management in solanaceous crops in India. Indian Phytopathol. 2019, 72, 479–488. [Google Scholar] [CrossRef]
- Asghar, M.A.; Zahir, E.; Asghar, M.A.; Iqbal, J.; Rehman, A.A. Facile, one-pot biosynthesis and characterization of iron, copper and silver nanoparticles using Syzygium cumini leaf extract: As an effective antimicrobial and aflatoxin B1 adsorption agents. PLoS ONE 2020, 15, e0234964. [Google Scholar] [CrossRef] [PubMed]
- Bhardwaj, K.; Sharma, A.; Tejwan, N.; Bhardwaj, S.; Bhardwaj, P.; Nepovimova, E.; Shami, A.; Kalia, A.; Kumar, A.; Abd-Elsalam, K.A.; et al. Pleurotus Macrofungi-Assisted Nanoparticle Synthesis and Its Potential Applications: A Review. J. Fungi 2020, 6, 351. [Google Scholar] [CrossRef] [PubMed]
- El-Ramady, H.; Abdalla, N.; Fawzy, Z.; Badgar, K.; Llanaj, X.; Törős, G.; Hajdú, P.; Eid, Y.; Prokisch, J. Green Biotechnology of Oyster Mushroom (Pleurotus ostreatus L.): A Sustainable Strategy for Myco-Remediation and Bio-Fermentation. Sustainability 2022, 14, 3667. [Google Scholar] [CrossRef]
- Mousavi, S.A.A.; Pourtalebi, S. Inhibitory effects of silver nanoparticles on growth and aflatoxin B1 production by Aspergillus Parasiticus. Iran. J. Med. Sci. 2015, 40, 501. [Google Scholar] [PubMed]
- Răcuciu, M.; Tecucianu, A.; Oancea, S. Impact of magnetite nanoparticles coated with aspartic acid on the growth, antioxidant enzymes activity and chlorophyll content of maize. Antioxidants 2022, 11, 1193. [Google Scholar] [CrossRef] [PubMed]
- Raskar, S.; Laware, S. Effect of zinc oxide nanoparticles on cytology and seed germination in onion. Int. J. Curr. Microbiol. App. Sci. 2014, 3, 467–473. [Google Scholar]
- Sáenz Rodríguez, M.N.; Cassab, G.I. Primary root and mesocotyl elongation in maize seedlings: Two organs with antagonistic growth below the soil surface. Plants 2021, 10, 1274. [Google Scholar] [CrossRef] [PubMed]
- Feldman, L. The maize root. In The Maize Handbook; Springer: Berlin/Heidelberg, Germany, 1994; pp. 29–37. [Google Scholar]
- Kumari, A.; Sharma, B.; Singh, B.N.; Hidangmayum, A.; Jatav, H.S.; Chandra, K.; Singhal, R.K.; Sathyanarayana, E.; Patra, A.; Mohapatra, K.K. Physiological mechanisms and adaptation strategies of plants under nutrient deficiency and toxicity conditions. In Plant Perspectives to Global Climate Changes; Elsevier: Amsterdam, The Netherlands, 2022; pp. 173–194. [Google Scholar]
- Asghar, M.A.; Zahir, E.; Shahid, S.M.; Khan, M.N.; Asghar, M.A.; Iqbal, J.; Walker, G. Iron, copper and silver nanoparticles: Green synthesis using green and black tea leaves extracts and evaluation of antibacterial, antifungal and aflatoxin B1 adsorption activity. Lwt 2018, 90, 98–107. [Google Scholar] [CrossRef]
- Gedikli, H.; Akdogan, A.; Karpuz, O.; Akmese, O.; Kobya, H.N.; Baltaci, C. Aflatoxin Detoxification by Biosynthesized Iron Oxide Nanoparticles Using Green and Black Tea Extracts. BioResources 2024, 19, 380. [Google Scholar] [CrossRef]
- Khorasgani, Z.N.; Nakisa, A.; Farshpira, N.R. The occurrence of aflatoxins in peanuts in supermarkets in Ahvaz, Iran. J. Food Res. 2013, 2, 94. [Google Scholar] [CrossRef][Green Version]
- Daliri, A.; Shams-Ghahfarokhi, M.; Razzaghi-Abyaneh, M. Detection of Aflatoxin B1-producing Aspergillus flavus strains from pistachio orchards soil in Iran by multiplex polymerase chain reaction method. Curr. Med. Mycol. 2023, 9, 1. [Google Scholar] [PubMed]
- Hassan, K. Molecular techniques for detection of aflatoxigenic Aspergillus flavus and determine their aflatoxin in pistachios. Iraqi J. Agric. Sci. 2023, 54, 1773–1783. [Google Scholar] [CrossRef]






| Fungus | Day 3 | Day 5 | Day 7 | ||||||
|---|---|---|---|---|---|---|---|---|---|
| 0.5 ppm | 1 ppm | LSD | 0.5 ppm | 1 ppm | LSD | 0.5 ppm | 1 ppm | LSD | |
| A. niger | 12.1 b ± 3.34 | 43.8 a ± 4.52 | 8 | 15.8 b ± 2.62 | 43.0 a ± 2.43 | 8.28 | 16.5 b ± 1.86 | 43.2 a ± 1.0 | 8.28 |
| A. parasiticus | 9.35 a ± 6.49 | 24.2 a ± 10.1 | 28.6 | 3.16 b ± 1.16 | 22.8 a ± 4.42 | 11.8 | 5.65 a ± 3.99 | 13.7 a ± 4.24 | 23.4 |
| A. flavus | 13.1 b ±3.07 | 58.4 a ± 9.17 | 24 | 0.0 b ± 0 | 58.5 a ± 14.1 | 11.8 | 0.0 a ± 0 | 48.8 a ± 19.9 | 63.3 |
| F. graminearum | 11.3 b ± 2.85 | 55.8 a ± 4.56 | 15.6 | 13.5 a ± 1.33 | 57.5 a ± 14.89 | 44.3 | 11.2 a ± 7.07 | 50.3 a ± 21.6 | 77.5 |
| NPs (mg/mL) | Final Germination Percentage (%) | Root Length (mm) | Shoot Length (mm) | Seedling Length (mm) | Seedling Vigour Index | Root–Shoot Ratio | Chlorophyll Content Index |
|---|---|---|---|---|---|---|---|
| 0 | 74.1 b | 128.5 c | 98.8 a | 227.2 b | 17,353.3 b | 1.3 b | 1.15 a |
| 5 | 71.7 b | 136.4 a | 97.2 a | 233.5 a | 17,052.8 b | 1.41 a | 0.8 b |
| 25 | 75.2 b | 128.5 c | 97.2 a | 225.7 b | 16,800.1 b | 1.34 ab | 0.7 c |
| 125 | 84.0 a | 131.0 b | 94.8 a | 225.8 b | 19,083.8 a | 1.4 a | 0.6 d |
| Significance | ** | ** | NS | ** | ** | ** | ** |
| HSD | 5.15 | 2.11 | 4.14 | 4.98 | 1316.7 | 0.07 | 0.05 |
| CV% | 9.08 | 2.17 | 5.74 | 2.94 | 10.1 | 7.04 | 8.63 |
| NPS (mg/mL) | AFB1/Spores | Day | |||||
|---|---|---|---|---|---|---|---|
| 2 | 3 | 4 | 5 | 6 | 7 | ||
| 0 | 0 | 8 abc | 53.3 a | 73.3 a | 86.7 a | 97.3 a | 100 a |
| 40 ppb | 8 abc | 37.3 bc | 53.3 bcd | 68 abcde | 89.3 abc | 89.3 ab | |
| 320 ppb | 0 d | 42.7 ab | 28 fgh | 44 f | 48 i | 48 h | |
| 40 spores | 9.3 ab | 36 bcd | 48 bcde | 70.7 abcd | 77.3 bcdef | 80 bcde | |
| 320 spores | 0 d | 10.7 ij | 26.7 gh | 44 f | 49.3 hi | 53.3 gh | |
| 5 | 0 | 10.7 a | 37.3 bc | 53.3 bcd | 72 abcd | 88 abc | 88 abc |
| 40 ppb | 6.67 abcd | 33.3 bcde | 46.7 bcde | 61.3 cdef | 76 bcef | 77.3 bcde | |
| 320 ppb | 0 d | 12 hij | 26.7 gh | 50.7 def | 56 ghi | 57.3 fgh | |
| 40 spores | 8 abc | 30.7 bcdef | 44 cdef | 65.3 bcde | 80 bcde | 82.7 bcd | |
| 320 spores | 0 d | 9.33 j | 25.3 h | 44 f | 50.7 hi | 57.3 fgh | |
| 25 | 0 | 0 d | 42.7 ab | 62.7 ab | 82.7 ab | 89.3 abc | 90.7 ab |
| 40 ppb | 8 abc | 29.3 cdefg | 48 bcde | 61.3 cdef | 74.7 bcdef | 76 bcde | |
| 320 ppb | 0 d | 22.7 efghi | 45.3 cde | 62.7 cdef | 73.3 cdef | 76 bcde | |
| 40 spores | 8 abc | 17.3 ghij | 34.7 efgh | 54.7 def | 65.3 efgh | 69.3 defg | |
| 320 spores | 2.67 bcd | 20 fghij | 41.3 cdefgh | 58.7 cdef | 61.3 fghi | 80 bcde | |
| 125 | 0 | 10.7 a | 32 bcdef | 57.3 bcd | 77.3 abc | 86.7 abc | 86.7 abc |
| 40 ppb | 9.33 ab | 24 defgh | 44 cdef | 61.3 cdef | 88 abc | 88 abc | |
| 320 ppb | 8 abc | 26.7 cdefg | 44 cdef | 64 bcde | 90.7 ab | 90.7 ab | |
| 40 spores | 8 abc | 24 defgh | 42.7 cdefg | 62.7 cdef | 82.7 abcd | 82.7 bcd | |
| 320 spores | 1.33 cd | 24 defgh | 40 defgh | 58.7 cdef | 69.3 defg | 72 cdef | |
| Significance | * | ** | ** | ** | ** | ** | |
| HSD | 2.18 | 13 | 6 | 4.01 | 10.7 | 11.1 | |
| CV% | 50.9 | 19.6 | 15.7 | 13.4 | 9.29 | 9.08 | |
| NPS (mg/mL) | AFB1/Spores | Final Germination Percentage (%) | Root Length (mm) | Shoot Length (mm) | Seedling Length (mm) | Seedling Vigour Index | Root–Shoot Ratio | Chlorophyll Content Index |
|---|---|---|---|---|---|---|---|---|
| 0 | 0 | 100 a | 147.3 ab | 114.1 a | 261.4 a | 26,138 a | 1.29 bcde | 1.57 a |
| 40 ppb | 89.3 ab | 142.2 bc | 101.4 abcde | 243.5 bc | 23,195 ab | 1.4 abcd | 1.18 b | |
| 320 ppb | 48 h | 109 gh | 90.7 def | 199.7 def | 23,277 ab | 1.21 de | 0.67 def | |
| 40 spores | 80 bcde | 135.7 cd | 101.3 abcde | 236.9 c | 22,313 ab | 1.34 bcde | 1.19 b | |
| 320 spores | 53.3 gh | 108.2 gh | 86.4 f | 194.6 ef | 21,766 bc | 1.27 cde | 1.15 b | |
| 5 | 0 | 88 abc | 153.4 a | 110.8 ab | 263.9 a | 18,720 cd | 1.39 abcd | 0.79 cd |
| 40 ppb | 77.3 bcde | 144.6 b | 97.6 bcd | 242.2 bc | 18,616 cd | 1.48 abc | 0.78 cd | |
| 320 ppb | 57.3 fgh | 128.1 e | 86.5 f | 214.6 d | 21,447 bc | 1.49 abc | 0.77 cd | |
| 40 spores | 82.7 bcd | 143 b | 102.1 abcd | 245.4 bc | 9552 f | 1.4 abcd | 0.88 c | |
| 320 spores | 57.3 fgh | 112.8 g | 88.8 ef | 201.6 de | 12,314 f | 1.39 abcd | 0.72 cde | |
| 25 | 0 | 90.7 ab | 145.9 b | 110.8 ab | 256.7 ab | 13,659 ef | 1.32 bcde | 0.55 fg |
| 40 ppb | 76 bcde | 140.9 bc | 104.1 abc | 245 bc | 18,738 cd | 1.35 bcde | 0.8 cd | |
| 320 ppb | 76 bcde | 108.4 gh | 94.1 cdef | 202.5 de | 18,929 cd | 1.15 e | 0.83 cd | |
| 40 spores | 69.3 defg | 133.8 de | 105.1 abc | 238.9 c | 20,289 bcd | 1.27 bcde | 0.61e fg | |
| 320 spores | 80 bcde | 113.5 g | 72 g | 185.5 fg | 16,558 de | 1.58 a | 0.85 c | |
| 125 | 0 | 86.7 abc | 144.2 b | 113 a | 257.2 ab | 20,234 f | 1.28 bcde | 0.49 g |
| 40 ppb | 88 abc | 143 b | 101.4 abcde | 243.8 bc | 10,381 f | 1.41 abcd | 0.61 efg | |
| 320 ppb | 90.7 ab | 120.7 f | 86 f | 206.7 de | 10,746 f | 1.41 abcd | 0.68 def | |
| 40 spores | 82.7 bcd | 142.9 b | 102.1 abcd | 244.9 bc | 11,891 f | 1.4 abcd | 0.68 def | |
| 320 spores | 72 cdef | 104.9 h | 71.5 g | 176.4 g | 12,314 f | 1.5 ab | 0.54 fg | |
| Significance | ** | ** | ** | ** | ** | ** | ** | |
| HSD | 11.1 | 12.3 | 3.97 | 3.46 | 1316.7 | 6.31 | 41.6 | |
| CV% | 9.08 | 2.17 | 5.74 | 2.94 | 10.1 | 7.04 | 8.63 | |
| AFB1/Spores | Radicle | AFB1/Spores | Plumule | |||||||
|---|---|---|---|---|---|---|---|---|---|---|
| AFG1 (ppb) | AFB2 (ppb) | AFB1 (ppb) | AF Total (ppb) | AFG2 (ppb) | AFG1 (ppb) | AFB2 (ppb) | AFB1 (ppb) | AF Total (ppb) | ||
| 0 | 0.0 b | 0.37 c | 17.9 c | 18.3 c | 0 | 0.01 ab | 0.32 a | 0.0 a | 0.39c | 0.72c |
| 40 ppb | 0.0 b | 1.51 b | 50.1 b | 51.6 b | 40 ppb | 0.07 a | 0.66 a | 0.17 a | 1.99 a | 2.88 a |
| 320 ppb | 0.0 b | 1.96 a | 67.5 a | 69.5 a | 320 ppb | 0.03 ab | 0.30 a | 0.16 a | 1.28 b | 1.77 b |
| 40 spores | 0.13 a | 1.61 b | 52.8 b | 54.6 b | 40 spores | 0.0 b | 0.67 a | 0.27 a | 1.91 a | 2.84 a |
| 320 spores | 0.0 b | 1.64 b | 49.9 b | 51.5 b | 320 spores | 0.0 b | 0.50 a | 0.23 a | 0.94 a | 1.66 b |
| Significance | ** | ** | ** | ** | Significance | ** | NS | NS | ** | ** |
| f-value | 440.0 | 156.7 | 99.0 | 154.5 | f-value | 2.83 | 8.69 | 1.78 | 13.1 | 18.4 |
| HSD | 0.01 | 0.21 | 6.42 | 6.55 | HSD | 0.06 | 0.41 | 0.31 | 0.56 | 0.61 |
| NPs (mg/mL) | Radicle | NPs (mg/mL) | Plumule | |||||||
|---|---|---|---|---|---|---|---|---|---|---|
| AFG1 (ppb) | AFB2 (ppb) | AFB1 (ppb) | AF Total (ppb) | AFG2 (ppb) | AFG1 (ppb) | AFB2 (ppb) | AFB1 (ppb) | AF Total (ppb) | ||
| 0 | 0.0 b | 2.33 a | 67.2 a | 69.5 a | 0 | 0.02 b | 0.17 c | 0.66 a | 1.83 a | 2.68 a |
| 5 | 0.10 a | 1.20 b | 37.2 c | 38.4 c | 5 | 0.07 a | 0.43 bc | 0.0 b | 1.41 ab | 1.91 b |
| 25 | 0.0 b | 1.07 b | 40.6 c | 41.7 c | 25 | 0.0 b | 0.84 a | 0.0 b | 1.11 b | 1.96 b |
| 125 | 0.0 b | 1.20 b | 47.8 b | 49.1 b | 125 | 0.01 b | 0.54 ab | 0.0 b | 0.95 b | 1.5 b |
| Significance | ** | ** | ** | ** | Significance | ** | ** | ** | ** | ** |
| f-value | 444.8 | 169.0 | 150.8 | 102.6 | f-value | 6.06 | 9.65 | 24.1 | 9.40 | 14.2 |
| HSD | 0.01 | 0.18 | 5.38 | 5.50 | HSD | 0.05 | 0.34 | 0.26 | 0.47 | 0.51 |
Disclaimer/Publisher’s Note: The statements, opinions and data contained in all publications are solely those of the individual author(s) and contributor(s) and not of MDPI and/or the editor(s). MDPI and/or the editor(s) disclaim responsibility for any injury to people or property resulting from any ideas, methods, instructions or products referred to in the content. |
© 2025 by the authors. Licensee MDPI, Basel, Switzerland. This article is an open access article distributed under the terms and conditions of the Creative Commons Attribution (CC BY) license (https://creativecommons.org/licenses/by/4.0/).
Share and Cite
Ngwenya, S.C.; Sithole, N.J.; Mthiyane, D.M.N.; Jobe, M.C.; Babalola, O.O.; Ayangbenro, A.S.; Mwanza, M.; Onwudiwe, D.C.; Ramachela, K. Effects of Green-Synthesised Copper Oxide–Zinc Oxide Hybrid Nanoparticles on Antifungal Activity and Phytotoxicity of Aflatoxin B1 in Maize (Zea mays L.) Seed Germination. Agronomy 2025, 15, 313. https://doi.org/10.3390/agronomy15020313
Ngwenya SC, Sithole NJ, Mthiyane DMN, Jobe MC, Babalola OO, Ayangbenro AS, Mwanza M, Onwudiwe DC, Ramachela K. Effects of Green-Synthesised Copper Oxide–Zinc Oxide Hybrid Nanoparticles on Antifungal Activity and Phytotoxicity of Aflatoxin B1 in Maize (Zea mays L.) Seed Germination. Agronomy. 2025; 15(2):313. https://doi.org/10.3390/agronomy15020313
Chicago/Turabian StyleNgwenya, Simangele C., Nkanyiso J. Sithole, Doctor M. N. Mthiyane, Martha C. Jobe, Olubukola O. Babalola, Ayansina S. Ayangbenro, Mulunda Mwanza, Damian C. Onwudiwe, and Khosi Ramachela. 2025. "Effects of Green-Synthesised Copper Oxide–Zinc Oxide Hybrid Nanoparticles on Antifungal Activity and Phytotoxicity of Aflatoxin B1 in Maize (Zea mays L.) Seed Germination" Agronomy 15, no. 2: 313. https://doi.org/10.3390/agronomy15020313
APA StyleNgwenya, S. C., Sithole, N. J., Mthiyane, D. M. N., Jobe, M. C., Babalola, O. O., Ayangbenro, A. S., Mwanza, M., Onwudiwe, D. C., & Ramachela, K. (2025). Effects of Green-Synthesised Copper Oxide–Zinc Oxide Hybrid Nanoparticles on Antifungal Activity and Phytotoxicity of Aflatoxin B1 in Maize (Zea mays L.) Seed Germination. Agronomy, 15(2), 313. https://doi.org/10.3390/agronomy15020313

