An Efficient Method for Detoxification of Organophosphorous Pesticide-Contaminated Soil with Ozonation in Fluidized Bed Reactor
Abstract
1. Introduction
2. Materials and Methods
2.1. Reagents
2.2. Analytical Devices
2.3. Soil Matrix Preparation
2.4. Quarter-Technical-Scale Fluidized Bed Reactor
2.5. Extraction, Calibration, and Degradation Procedures
2.5.1. Extraction of Pesticides and GC-MS Analysis
2.5.2. Detector Calibration
2.5.3. Investigation of Possibility of Pesticide Desorption
2.5.4. Degradation Procedures in Laboratory-Scale Fluidized Bed Reactor
2.6. Scaling up of the Soil Detoxication Technology from Laboratory to Quarter-Technical Scale
2.7. Toxicity Tests
3. Results
3.1. Pesticide Desorption Investigation
3.2. Kinetics of Pesticide Degradation
3.3. Results of Toxicity Tests
4. Discussion
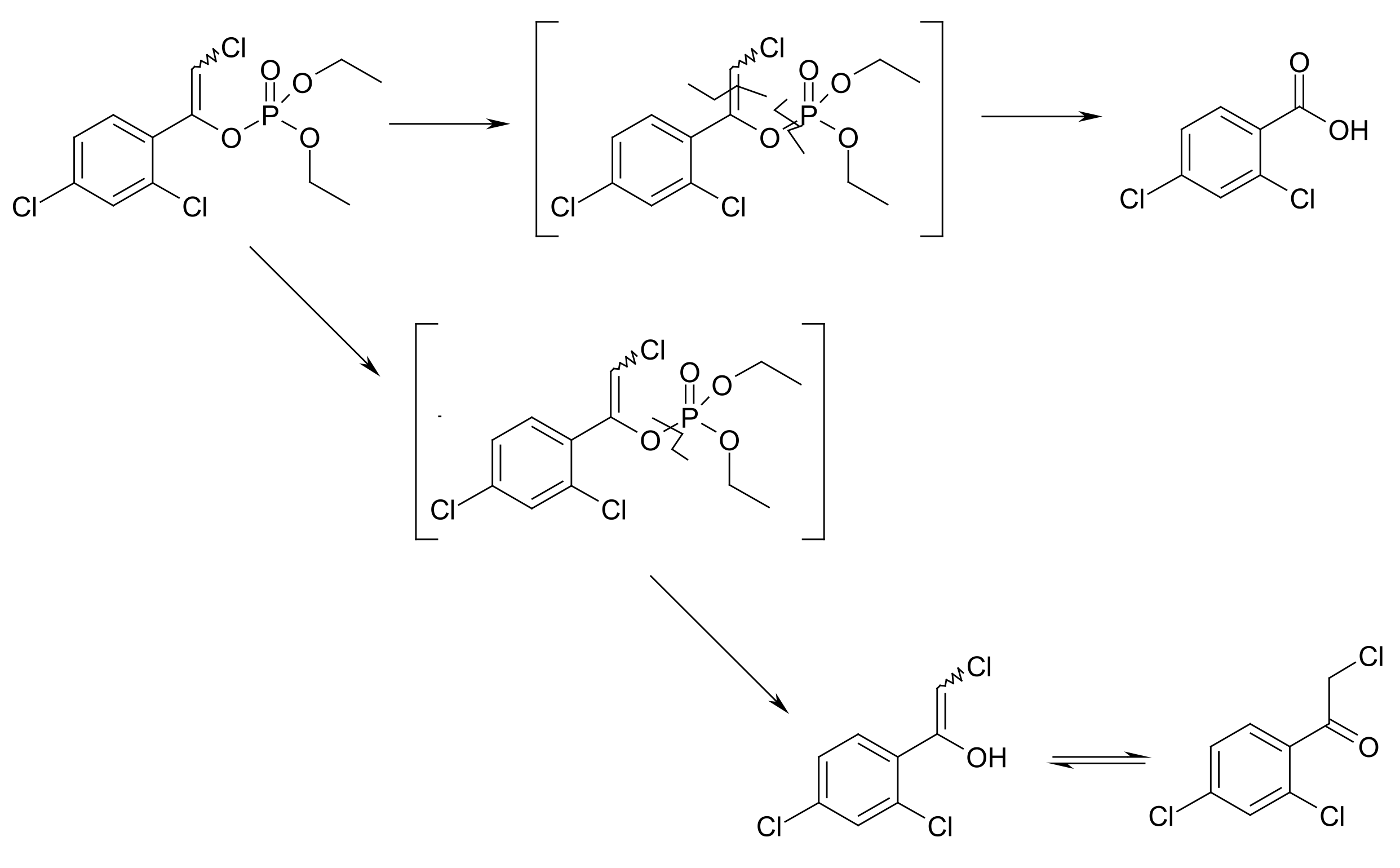
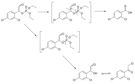
4.1. Discussion of the Results of Chlorfenvinphos Degradation in the Soil Matrix
4.2. Discussion of the Toxicity Tests
5. Conclusions
Author Contributions
Funding
Data Availability Statement
Conflicts of Interest
References
- Fu, H.; Tan, P.; Wang, R.; Li, S.; Liu, H.; Yang, Y.; Wu, Z. Advances in organophosphorus pesticides pollution: Current status and challenges in ecotoxicological, sustainable agriculture, and degradation strategies. J. Hazard. Mater. 2022, 424 Pt B, 127494. [Google Scholar] [CrossRef]
- Mora-Gómez, J.; Escribá-Jiménez, S.; Carrillo-Abad, J.; García-Gabaldón, M.; Montañés, M.T.; Mestre, S.; Pérez-Herranz, V. Study of the chlorfenvinphos pesticide removal under different anodic materials and different reactor configuration. Chemosphere 2022, 290, 133294. [Google Scholar] [CrossRef]
- Oladiran, A.T.; Olusakin, O.P.; Ajibade, O.C.; Akinsola, G.O. Organophosphorus pesticides: Impacts, detection and removal strategies. Environ. Nanotechnol. Monit. Manag. 2022, 17, 100655. [Google Scholar] [CrossRef]
- Roselló-Márquez, G.; Fernández-Domene, R.M.; García-Antón, J. Organophosphorus pesticides (chlorfenvinphos, phosmet and fenamiphos) photoelectrodegradation by using WO3 nanostructures as photoanode. J. Electroanal. Chem. 2021, 894, 115366. [Google Scholar] [CrossRef]
- Sun, H.; Sun, M.L.; Barr, D.B. Exposure to organophosphorus insecticides and increased risks of health and cancer in US women. Environ. Toxicol. Pharmacol. 2020, 80, 103474. [Google Scholar] [CrossRef] [PubMed]
- Zou, M.; Huang, M.; Zhang, J.; Chen, R. Exploring the effects and mechanisms of organophosphorus pesticide exposure and hearing loss. Front. Public Health 2022, 11, 1001760. [Google Scholar] [CrossRef] [PubMed]
- Perugini, M.; Serena, M.R.; Zezza, T.D.; Fenucci, S.; Conte, A.; Amorena, M. Occurrence of agrochemical residues in beeswax samples collected in Italy during 2013–2015. Sci. Total Environ. 2018, 625, 470–476. [Google Scholar] [CrossRef] [PubMed]
- Biziuk, M. Pestycydy: Występowanie, Oznaczanie i Unieszkodliwianie; Wydawnictwo Naukowo-Techniczne: Warszawa, Poland, 2001; pp. 229–240. [Google Scholar]
- Čadež, T.; Kolić, D.; Šinko, G. Assessment of four organophosphorus pesticides as inhibitors of human acetylcholinesterase and butyrylcholinesterase. Sci. Rep. 2021, 11, 21486. [Google Scholar] [CrossRef] [PubMed]
- National Registration Authority for Agricultural and Veterinary Chemicals. Chlorfenvinphos Interim Report, Environmental Assessment; National Registration Authority for Agricultural and Veterinary Chemicals: Canberra, Australia, 2000. Available online: http://apvma.gov.au/sites/default/files/chlorfenvinphos-phase-6-interim-review-report-vol1.pdf (accessed on 1 January 2015).
- Dorsey, A.S.; Kueberuwa, S.S. Toxicological Profile for Chlorfenvinphos; U.S. Department of Health and Human Services-Public Health Service-Agency for Toxic Substances and Disease Registry: Atlanta, GA, USA, 1997. [Google Scholar]
- Beynon, K.I.; Hutson, D.H.; Wright, A.N. The metabolism and degradation of vinyl phosphate insecticides. Residue Rev. 1973, 47, 55–142. [Google Scholar] [PubMed]
- Acero, J.L.; Real, F.J.; Benitez, F.J.; González, A. Oxidation of chlorfenvinphos in ultrapure and natural waters by ozonation and photochemical processes. Water Res. 2008, 42, 3198–3206. [Google Scholar] [CrossRef] [PubMed]
- Klamerth, N.; Gernjak, W.; Malato, S.; Agüera, A.; Lendl, B. Photo-Fenton decomposition of chlorfenvinphos: Determination of reaction pathway. Water Res. 2009, 43, 441–449. [Google Scholar] [CrossRef] [PubMed]
- Oliveira, C.; Alves, A.; Madeira, L.M. Treatment of water networks (waters and deposits) contaminated with chlorfenvinphos by oxidation with Fenton’s reagent. Chem. Eng. J. 2014, 241, 190–199. [Google Scholar] [CrossRef]
- Fernández-Domene, R.M.; Roselló-Márquez, G.; Sánchez-Tovar, R.; Lucas-Granados, B.; García-Antón, J. Photoelectrochemical removal of chlorfenvinphos by using WO3 nanorods: Influence of annealing temperature and operation pH. Sep. Purif. Technol. 2019, 212, 458–464. [Google Scholar] [CrossRef]
- Józefczyk, R.; Antos, P.; Pieniążek, M.; Balawejder, M. Procedure for detoxication of linuron contaminated soil based on ozonation and fluidization process. Arch. Environ. Prot. 2022, 48, 48–56. [Google Scholar] [CrossRef]
- OECD. Test No. 207: Earthworm, Acute Toxicity Tests (Eisenia fetida/Eisenia Andrei). In OECD Guidelines for the Testing of Chemicals; OECD Publishing: Paris, Frence, 1984. [Google Scholar] [CrossRef]
- OECD. Test No. 222: Earthworm Reproduction Test (Eisenia fetida/Eisenia Andrei). In Guideline for Testing of Chemicals; OECD Publishing: Paris, France, 2004; Available online: https://www.oecd.org/env/ehs/testing/Draft-Updated-TestGuildeline-222-Earthworm-reproduction-Test.pdf (accessed on 1 January 2016).
- Balawejder, M.; Antos, P.; Pieniążek, M.; Józefczyk, R.; Piątkowski, W. Metoda remediacji gleby skażonej DDT i ocena skuteczności procesu z wykorzystaniem organizmów testowych. Inżynieria I Apar. Chem. 2014, 53, 219–220. [Google Scholar]
- Balawejder, M.; Józefczyk, R.; Antos, P.; Pieniążek, M. A method for remediation of soil contaminated with simazine. Arch. Environ. Prot. 2016, 42, 41–46. [Google Scholar] [CrossRef][Green Version]
- Uygun, U. Degradation of chlorfenvinphos in carrots during storage. Food Chem. 1997, 60, 459–702. [Google Scholar] [CrossRef]
- Wu, D.; Ren, H.; Xie, L.; Zhang, G.; Zhao, Y.; Wei, Z. Strengthening Fenton-like reactions to improve lignocellulosic degradation performance by increasing lignocellulolytic enzyme core microbes during rice straw composting. Waste Manag. 2023, 161, 72–83. [Google Scholar] [CrossRef] [PubMed]




| Reactor Type | Reaction Rate Constant (k) | R2 (ln C/C0) | t ½ (h) | |||
|---|---|---|---|---|---|---|
| Z | E | Z | E | Z | E | |
| Laboratory | 0.060 | 0.109 | 0.988 | 0.984 | 11.55 | 6.35 |
| ¼ technical | 0.14667 | 0.2796 | 0.959 | 0.968 | 4.72 | 2.47 |
| Natural degradation t ½ in soil (weeks) | 2–33 weeks | |||||
Disclaimer/Publisher’s Note: The statements, opinions and data contained in all publications are solely those of the individual author(s) and contributor(s) and not of MDPI and/or the editor(s). MDPI and/or the editor(s) disclaim responsibility for any injury to people or property resulting from any ideas, methods, instructions or products referred to in the content. |
© 2025 by the authors. Licensee MDPI, Basel, Switzerland. This article is an open access article distributed under the terms and conditions of the Creative Commons Attribution (CC BY) license (https://creativecommons.org/licenses/by/4.0/).
Share and Cite
Antos, P.; Szyller, B.; Balawejder, M.; Józefczyk, R.; Kowalczyk, K. An Efficient Method for Detoxification of Organophosphorous Pesticide-Contaminated Soil with Ozonation in Fluidized Bed Reactor. Agronomy 2025, 15, 304. https://doi.org/10.3390/agronomy15020304
Antos P, Szyller B, Balawejder M, Józefczyk R, Kowalczyk K. An Efficient Method for Detoxification of Organophosphorous Pesticide-Contaminated Soil with Ozonation in Fluidized Bed Reactor. Agronomy. 2025; 15(2):304. https://doi.org/10.3390/agronomy15020304
Chicago/Turabian StyleAntos, Piotr, Barbara Szyller, Maciej Balawejder, Radosław Józefczyk, and Karolina Kowalczyk. 2025. "An Efficient Method for Detoxification of Organophosphorous Pesticide-Contaminated Soil with Ozonation in Fluidized Bed Reactor" Agronomy 15, no. 2: 304. https://doi.org/10.3390/agronomy15020304
APA StyleAntos, P., Szyller, B., Balawejder, M., Józefczyk, R., & Kowalczyk, K. (2025). An Efficient Method for Detoxification of Organophosphorous Pesticide-Contaminated Soil with Ozonation in Fluidized Bed Reactor. Agronomy, 15(2), 304. https://doi.org/10.3390/agronomy15020304

