One-Time Application of Polymer-Coated Urea Increased Rice Yield and Plant Nitrogen Uptake by Optimizing Root Morphological and Physiological Traits
Abstract
1. Introduction
2. Materials and Methods
2.1. Plant Materials and Growth Conditions
2.2. Treatments
2.3. Sampling and Measurements
2.3.1. Sampling Time
2.3.2. Rice Root Morphological Traits
2.3.3. Rice Root Physiological Traits
2.3.4. Physiological Activity of Rice Shoot
2.3.5. Rice Grain Yield and Its Components
2.4. Statistical Analysis
3. Results
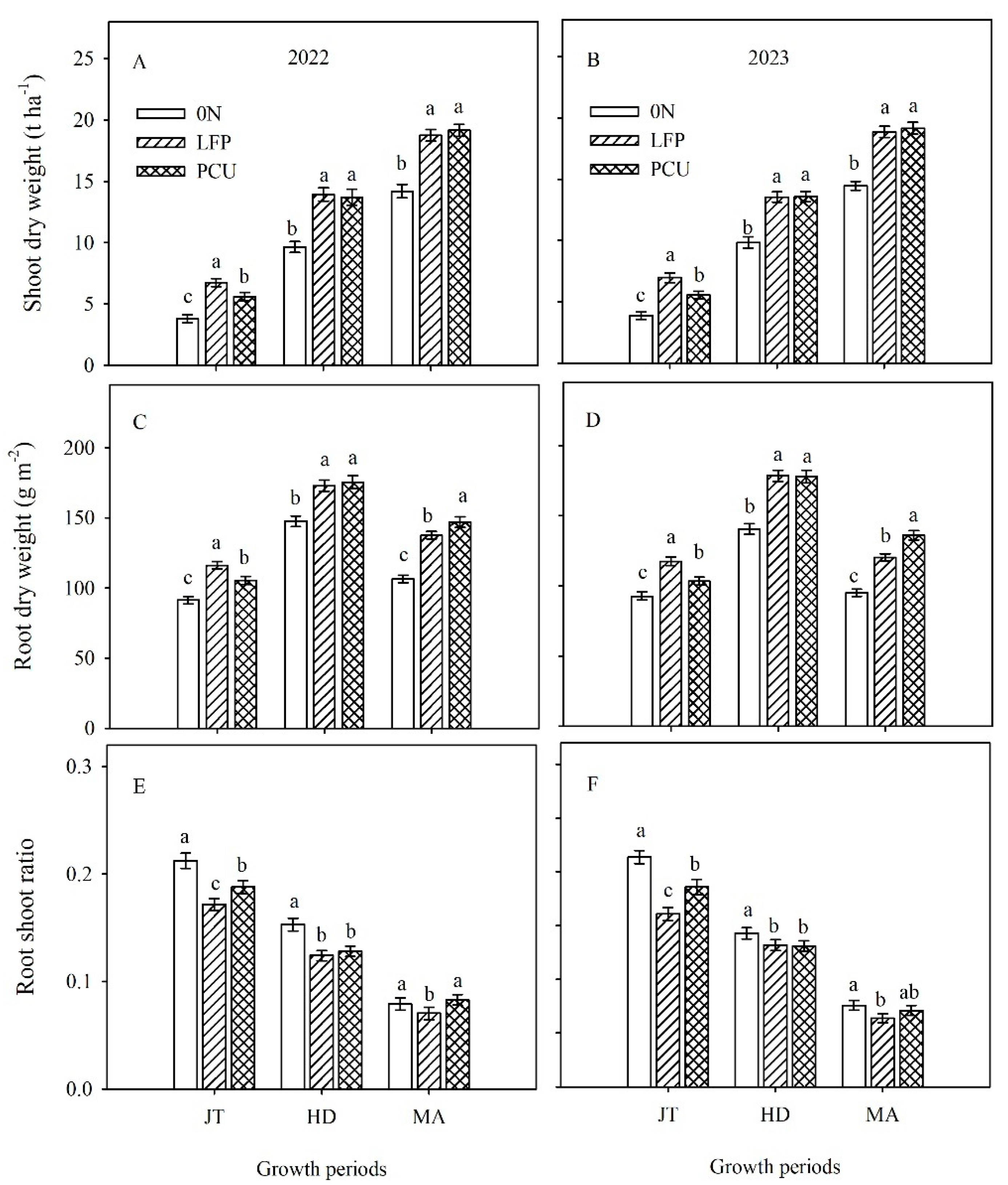
3.1. Root and Shoot Dry Weight, and Root/Shoot Ratios
3.2. Growth and Reduction Rate of Root Biomass
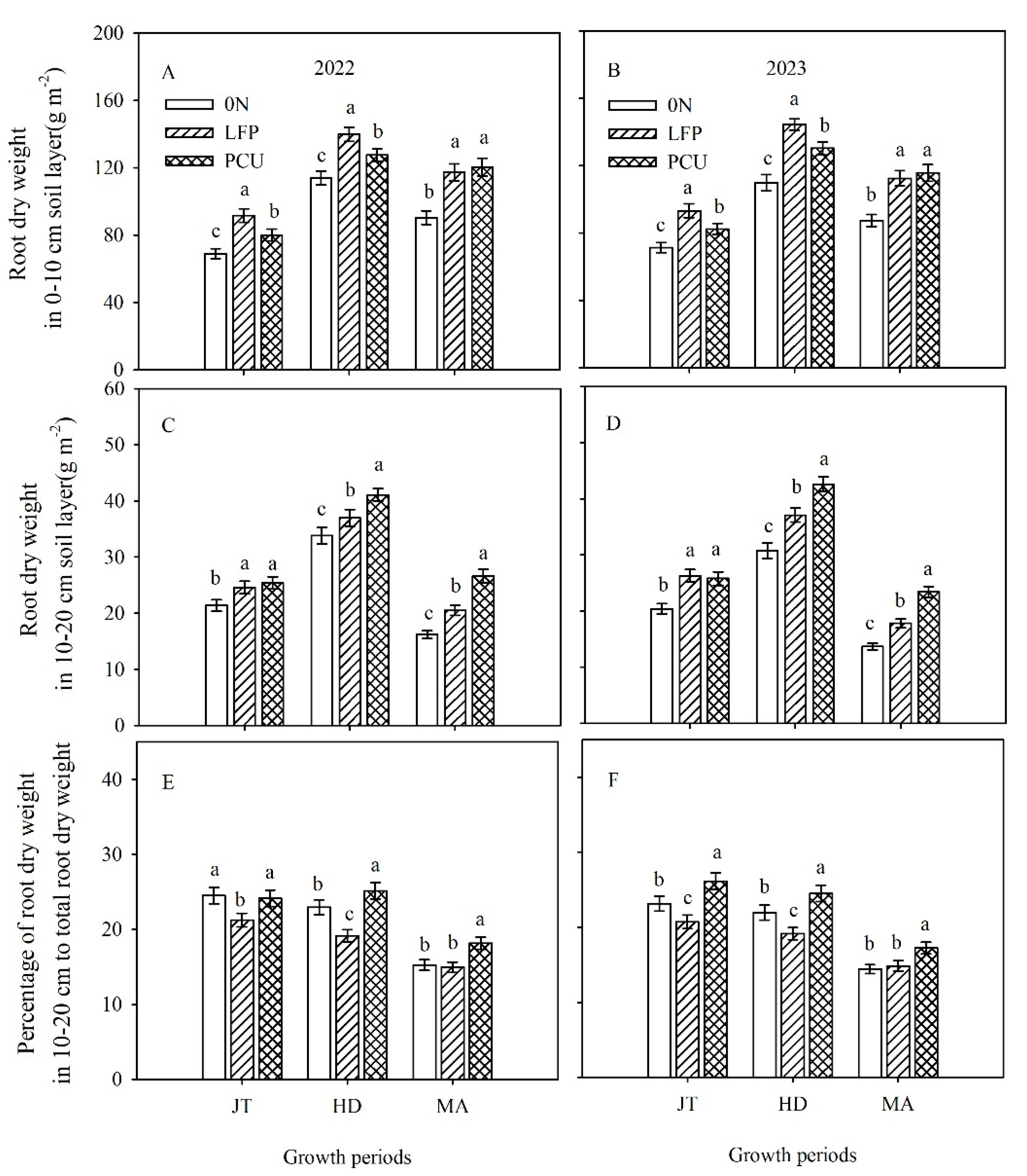
3.3. Deep-Root Proportion
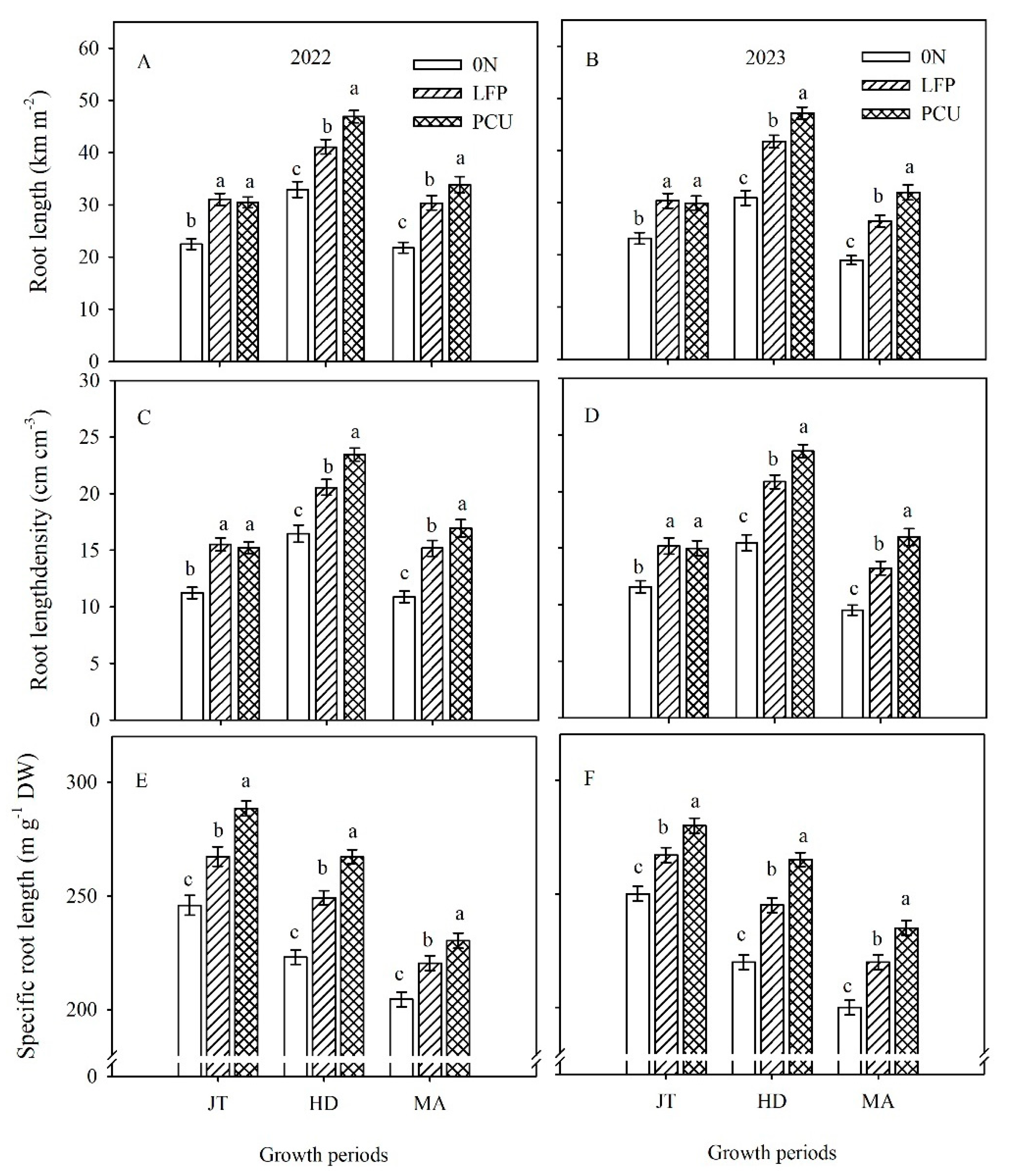
3.4. Root Length, Root Length Density, and SPL
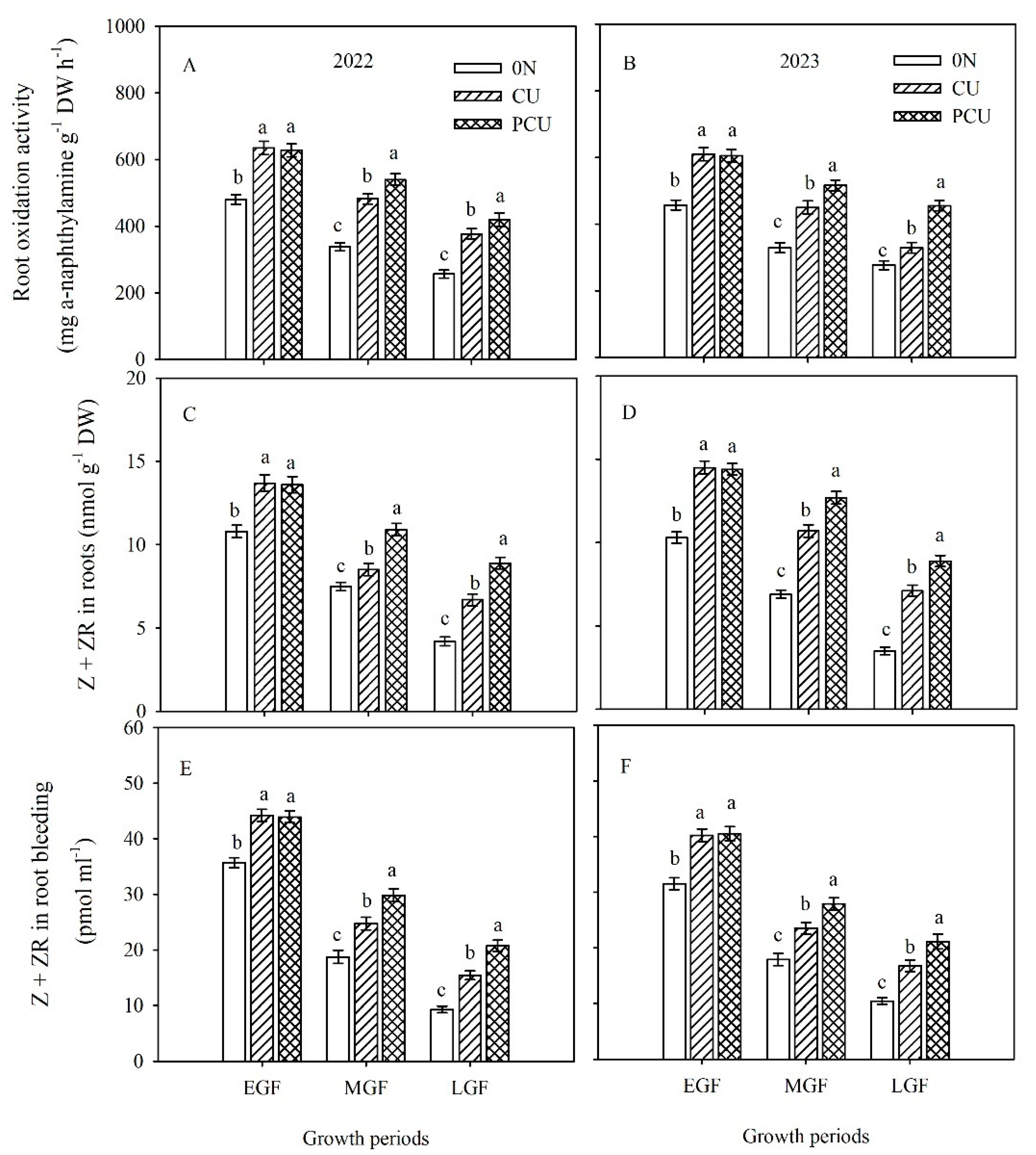
3.5. ROA and Z+ZR Content in Roots and Root Bleeding Sap
3.6. Z+ZR Content in Leaves, and Net Photosynthetic Rate of the Flag Leaf
3.7. Activities of Enzymes in Grains
3.8. Grain Yield and NUE
4. Discussion
5. Conclusions
Supplementary Materials
Author Contributions
Funding
Data Availability Statement
Conflicts of Interest
References
- Fageria, N.K. Yield physiology of rice. J. Plant Nutr. 2007, 30, 843–879. [Google Scholar] [CrossRef]
- Mueller, N.D.; Gerber, J.S.; Johnston, M.; Ray, D.K.; Ramankutty, N.; Foley, J.A. Closing yield gaps through nutrient and water management. Nature 2012, 490, 254–257. [Google Scholar] [CrossRef] [PubMed]
- Tang, L.; Xu, Z.J.; Chen, W.F. Advances and prospects of super rice breeding in China. J. Integr. Agric. 2017, 16, 984–991. [Google Scholar] [CrossRef]
- Yu, X.; Keitel, C.; Zhang, Y.; Wangeci, A.N.; Dijkstra, F.A. Global meta-analysis of nitrogen fertilizer use efficiency in rice, wheat and maize. Agric. Ecosyst. Environ. 2022, 338, 108089. [Google Scholar] [CrossRef]
- Horie, T.; Shiraiwa, T.; Homma, K.; Katsura, K.; Maeda, S.; Yoshida, H. Can Yields of lowland rice resume the increases that they showed in the 1980s? Plant Prod. Sci. 2005, 8, 259–274. [Google Scholar] [CrossRef]
- Tang, L.; Risalat, H.; Cao, R.; Hu, Q.A.; Pan, X.Y.; Hu, Y.X.; Zhang, G.Y. Food security in China: A brief view of rice production in recent 20 years. Foods 2022, 11, 3324. [Google Scholar] [CrossRef]
- Bin Rahman, A.; Zhang, J.H. Trends in rice research: 2030 and beyond. Food Energy Secur. 2023, 12, e390. [Google Scholar] [CrossRef]
- Zhang, D.; Wang, H.Y.; Pan, J.T.; Luo, J.F.; Liu, J.; Gu, B.J.; Liu, S.; Zhai, L.M.; Lindsey, S.; Zhang, Y.T.; et al. Nitrogen application rates need to be reduced for half of the rice paddy fields in China. Agric. Ecosyst. Environ. 2018, 265, 8–14. [Google Scholar] [CrossRef]
- Duan, J.K.; Liu, H.B.; Zhang, X.M.; Ren, C.C.; Wang, C.; Cheng, L.X.; Xu, J.M.; Gu, B.J. Agricultural management practices in China enhance nitrogen sustainability and benefit human health. Nat. Food 2024, 5, 378–389. [Google Scholar] [CrossRef]
- Springmann, M.; Clark, M.; Mason-D’Croz, D.; Wiebe, K.; Bodirsky, B.L.; Lassaletta, L.; de Vries, W.; Vermeulen, S.J.; Herrero, M.; Carlson, K.M.; et al. Options for keeping the food system within environmental limits. Nature 2018, 562, 519–525. [Google Scholar] [CrossRef]
- Azeem, B.; KuShaari, K.; Man, Z.B.; Basit, A.; Thanh, T.H. Review on Materials & methods to oroduce controlled release coated urea fertilizer. J. Control. Release 2014, 181, 11–21. [Google Scholar] [PubMed]
- Dimkpa, C.O.; Fugice, J.; Singh, U.; Lewis, T.D. Development of fertilizers for enhanced nitrogen use efficiency—Trends and perspectives. Sci. Total Environ. 2020, 731, 139113. [Google Scholar] [CrossRef]
- Elshayb, O.M.; Ghazy, H.A.; Wissa, M.T.; Farroh, K.Y.; Wasonga, D.O.; Seleiman, M.F. Chitosan-based NPK nanostructure for reducing synthetic NPK fertilizers and improving rice productivity and nutritional indices. Front. Sustain. Food Syst. 2024, 8, 1464021. [Google Scholar] [CrossRef]
- Li, J.T.; Ding, Z.J.; Ma, X.W.; Cao, Y.X.; Ma, Z.Y.; Qian, Y.H.; Yao, H.Y.; Hou, J.; Cao, B. One-time contact application of controlled-release urea and optimized method improved rice yield and nitrogen use efficiency with 50% nitrogen input. Agronomy 2024, 14, 781. [Google Scholar] [CrossRef]
- Rahman, M.H.; Haque, K.M.S.; Khan, M.Z.H. A review on application of controlled released fertilizers influencing the sustainable agricultural production: A Cleaner production process. Environ. Technol. Innov. 2021, 23, 101697. [Google Scholar] [CrossRef]
- Swify, S.; Mazeika, R.; Baltrusaitis, J.; Drapanauskaite, D.; Barcauskaite, K.; Mancinelli, R. Review: Modified urea fertilizers and their effects on improving nitrogen use efficiency (NUE). Sustainability 2024, 16, 188. [Google Scholar] [CrossRef]
- Jariwala, H.; Santos, R.M.; Lauzon, J.D.; Dutta, A.; Chiang, Y.W. Controlled release fertilizers (CRFs) for climate-smart agriculture practices: A comprehensive review on release mechanism, materials, methods of preparation, and effect on environmental parameters. Environ. Sci. Pollut. Res. 2022, 29, 53967–53995. [Google Scholar] [CrossRef] [PubMed]
- Wesolowska, M.; Rymarczyk, J.; Góra, R.; Baranowski, P.; Slawinski, C.; Klimczyk, M.; Supryn, G.; Schimmelpfennig, L. New slow-release fertilizers—Economic, legal and practical aspects: A Review. Int. Agrophys. 2021, 35, 11–24. [Google Scholar] [CrossRef] [PubMed]
- Chu, G.; Chen, T.T.; Chen, S.; Xu, C.M.; Zhang, X.F.; Wang, D.Y. Polymer-coated urea application could produce more grain yield in “super” rice. Agron. J. 2018, 110, 246–259. [Google Scholar]
- Xu, R.; Chen, S.; Xu, C.; Liu, Y.; Zhang, X.; Wang, D.Y.; Chu, G. Polymer-coated urea application can increase both grain yield and nitrogen use efficiency in japonica-indica hybrid rice. J. Agric. Sci. 2023, 161, 51–59. [Google Scholar] [CrossRef]
- Yang, J.C.; Zhang, H.; Zhang, J.H. Root morphology and physiology in relation to the yield formation of rice. J. Integr. Agric. 2012, 11, 920–926. [Google Scholar] [CrossRef]
- Chu, G.; Xu, R.; Chen, S.; Xu, C.M.; Liu, Y.H.; Abliz, B.; Zhang, X.F.; Wang, D.Y. Root morphological-physiological traits for japonica/indica hybrid rice with better yield performance under low N conditions. Food Energy Secur. 2022, 11, e355. [Google Scholar] [CrossRef]
- Ju, C.X.; Buresh, R.J.; Wang, Z.Q.; Zhang, H.; Liu, L.J.; Yang, J.C.; Zhang, J.H. Root and shoot traits for rice varieties with higher grain yield and higher nitrogen use efficiency at lower nitrogen rates application. Field Crops Res. 2015, 175, 47–55. [Google Scholar] [CrossRef]
- Zhang, H.; Xue, Y.G.; Wang, Z.Q.; Yang, J.; Zhang, J.H. Morphological and physiological traits of roots and their relationships with shoot growth in “super” rice. Field Crops Res. 2009, 113, 31–40. [Google Scholar] [CrossRef]
- Yang, J.C.; Zhang, J.H.; Wang, Z.Q.; Xu, G.W.; Zhu, Q.S. Activities of key enzymes in sucrose-to-starch conversion in wheat grains subjected to water deficit during grain filling. Plant Physiol. 2004, 135, 1621–1629. [Google Scholar] [CrossRef]
- Bradford, M.M. A rapid and sensitive method for the quantitation of microgram quantities of protein utilizing the principle of protein-dye binding. Anal. Biochem. 1976, 72, 248–254. [Google Scholar] [CrossRef] [PubMed]
- Zhang, H.; Yu, C.; Kong, X.S.; Hou, D.P.; Gu, J.F.; Liu, L.J.; Wang, Z.Q.; Yang, J.C. Progressive integrative crop managements increase grain yield, nitrogen use efficiency and irrigation water productivity in rice. Field Crops Res. 2018, 215, 1–11. [Google Scholar] [CrossRef]
- Pan, X.; Welti, R.; Wang, X. Quantitative analysis of major plant hormones in crude plant extracts by high-performance liquid chromatography-mass spectrometry. Nat. Protoc. 2010, 5, 986–992. [Google Scholar] [CrossRef] [PubMed]
- Chu, G.; Wang, Z.Q.; Zhang, H.; Yang, J.C.; Zhang, J.H. Agronomic and physiological performance of rice under integrative crop management. Agron. J. 2016, 108, 117–128. [Google Scholar] [CrossRef]
- Fernando, K.M.C.; Ehoche, O.G.; Atkinson, J.A.; Sparkes, D.L. Root system architecture and nitrogen uptake efficiency of wheat species. J. Agric. Sci. 2021, 16, 37–53. [Google Scholar] [CrossRef]
- McMurtrie, R.E.; Iversen, C.M.; Dewar, R.C.; Medlyn, B.E.; Näsholm, T.; Pepper, D.A.; Norby, R.J. Plant root distributions and nitrogen uptake predicted by a hypothesis of optimal root foraging. Ecol. Evol. 2012, 2, 1235–1250. [Google Scholar] [CrossRef] [PubMed]
- Zhang, H.; Zhang, J.H.; Yang, J.C. Improving Nitrogen use efficiency of rice crop through an optimized root system and agronomic practices. Crop Environ. 2023, 2, 192–201. [Google Scholar] [CrossRef]
- Chu, G.; Chen, T.T.; Wang, Z.Q.; Yang, J.C.; Zhang, J.H. Morphological and physiological traits of roots and their relationships with water productivity in water-saving and drought-resistant rice. Field Crops Res. 2014, 162, 108–119. [Google Scholar] [CrossRef]
- Arai-Sanoh, Y.; Takai, T.; Yoshinaga, S.; Nakano, H.; Kojima, M.; Sakakibara, H.; Kondo, M.; Uga, Y. Deep rooting conferred by DEEPER ROOTING 1 enhances rice Yield in paddy fields. Sci. Rep. 2014, 4, 5563. [Google Scholar] [CrossRef]
- Araki, H.; Iijima, M. Deep rooting in winter wheat: Rooting nodes of deep roots in two cultivars with deep and shallow root systems. Plant Prod. Sci. 2001, 4, 215–219. [Google Scholar] [CrossRef] [PubMed][Green Version]
- Bacher, H.; Montagu, A.; Herrmann, I.; Walia, H.; Schwartz, N.; Peleg, Z. Stress-induced deeper rooting introgression enhances wheat yield under terminal drought. J. Exp. Bot. 2023, 74, 4862–4874. [Google Scholar] [CrossRef] [PubMed]
- Ning, P.; Li, S.; Li, X.X.; Li, C.J. New maize hybrids had larger and deeper post-silking root than old ones. Field Crops Res. 2014, 166, 66–71. [Google Scholar] [CrossRef]
- Vanhees, D.J.; Loades, K.W.; Bengough, A.G.; Mooney, S.J.; Lynch, J.P. Root anatomical traits contribute to deeper rooting of maize under compacted field conditions. J. Exp. Bot. 2020, 71, 4243–4257. [Google Scholar] [CrossRef] [PubMed]
- Duncan, E.G.; O’Sullivan, C.A.; Roper, M.M.; Palta, J.; Whisson, K.; Peoples, M.B. Yield and nitrogen use efficiency of wheat increased with root length and biomass due to nitrogen, phosphorus, and potassium interactions. J. Plant Nutr. Soil Sci. 2018, 181, 364–373. [Google Scholar] [CrossRef]
- Shao, H.; Wu, X.B.; Chi, H.H.; Zhu, F.B.; Liu, J.H.; Duan, J.H.; Shi, W.J.; Xu, Y.; Mi, G.H. How does increasing planting density affect nitrogen use efficiency of maize: A global meta-analysis. Field Crops Res. 2024, 311, 109369. [Google Scholar] [CrossRef]
- Ramasamy, S.; TenBerge, H.F.M.; Purushothaman, S. Yield formation in rice in response to drainage and nitrogen application. Field Crops Res. 1997, 51, 65–82. [Google Scholar] [CrossRef]
- Chen, Y.; Li, S.Y.; Zhang, Y.J.; Li, T.T.; Ge, H.M.; Xia, S.M.; Gu, J.F.; Zhang, H.; Lü, B.; Wu, X.X.; et al. Rice root morphological and physiological traits interaction with rhizosphere soil and its effect on methane emissions in paddy fields. Soil Biol. Biochem. 2019, 129, 191–200. [Google Scholar] [CrossRef]
- Zhu, K.Y.; Fu, J.Y.; Zhang, Y.J.; Ren, W.C.; Zhang, W.Y.; Gu, J.F.; Xu, Y.J.; Zhang, H.; Wang, Z.Q.; Liu, L.J.; et al. Root activity and rhizospheric bacteria in response to nitrogen management in rice (Oryza sativa L.). Eur. J. Agron. 2024, 159, 127294. [Google Scholar] [CrossRef]
- Zhang, H.; Tan, G.L.; Yang, L.N.; Yang, J.C.; Zhang, J.H.; Zhao, B.H. Hormones in the grains and roots in relation to post-anthesis development of inferior and superior spikelets in japonica/indica hybrid rice. Plant Physiol. Biochem. 2009, 47, 195–204. [Google Scholar] [CrossRef] [PubMed]
- Liu, K.; Li, T.T.; Chen, Y.; Huang, J.; Qiu, Y.Y.; Li, S.Y.; Wang, H.; Zhu, A.; Zhuo, X.X.; Yu, F.; et al. Effects of root morphology and physiology on the formation and regulation of large panicles in rice. Field Crops Res. 2020, 258, 107946. [Google Scholar] [CrossRef]
- Wilkinson, S.; Kudoyarova, G.R.; Veselov, D.S.; Arkhipova, T.N.; Davies, W.J. Plant hormone interactions: Innovative targets for crop breeding and management. J. Exp. Bot. 2012, 63, 3499–3509. [Google Scholar] [CrossRef] [PubMed]
- Panda, B.B.; Sekhar, S.; Dash, S.K.; Behera, L.; Shaw, B.P. Biochemical and molecular characterisation of exogenous cytokinin application on grain filling in rice. BMC Plant Biol. 2018, 18, 89. [Google Scholar] [CrossRef]
- Johnson, J.M.; Becker, M.; Dossou-Yovo, E.R.; Saito, K. Enhancing rice yields, water productivity, and profitability through alternate wetting and drying technology in farmers’ fields in the dry climatic zones of West Africa. Agric. Water Manag. 2024, 304, 109096. [Google Scholar] [CrossRef]
- Wang, Z.Q.; Zhang, W.Y.; Beebout, S.S.; Zhang, H.; Liu, L.J.; Yang, J.C.; Zhang, J.H. Grain yield, water and nitrogen use efficiencies of rice as influenced by irrigation regimes and their interaction with nitrogen rates. Field Crops Res. 2016, 193, 54–69. [Google Scholar] [CrossRef]
- Carrijo, D.R.; Lundy, M.E.; Linquist, B.A. Rice yields and water use under alternate wetting and drying irrigation: A meta-analysis. Field Crops Res. 2017, 203, 173–180. [Google Scholar] [CrossRef]







| Year | Correlation with | Shoot Biomass Growth Rate | ||
|---|---|---|---|---|
| TR-JT b | JT-HD | HD-MA | ||
| 2022 | Root biomass growth rate from TR to JT | 0.71 ** | - | - |
| Root biomass growth rate from JT to HD | - | 0.78 ** | - | |
| Root biomass reduction rate from HD to MA | - | - | −0.65 ** | |
| 2023 | Root biomass growth rate from TR to JT | 0.83 ** | - | - |
| Root biomass growth rate from JT to HD | - | 0.72 ** | - | |
| Root biomass reduction rate from HD to MA | - | - | −0.58 ** | |
| Year | Correlation with | Pr | Z+ZR Content in Leaves | SuSase | SuSase | SuSase |
|---|---|---|---|---|---|---|
| 2022 | ROA | 0.76 ** | 0.65 ** | 0.71 ** | 0.71 ** | 0.62 ** |
| Z+ZR content in roots | 0.78 ** | 0.71 ** | 0.59 ** | 0.69 ** | 0.69 ** | |
| Z+ZR content in root bleeding | 0.69 ** | 0.65 ** | 0.65 ** | 0.81 ** | 0.77 ** | |
| 2023 | ROA | 0.77 ** | 0.77 ** | 0.61 ** | 0.75 ** | 0.68 ** |
| Z+ZR content in roots | 0.72 ** | 0.62 ** | 0.72 ** | 0.73 ** | 0.71 ** | |
| Z+ZR content in root bleeding | 0.81 ** | 0.80 ** | 0.66 ** | 0.68 ** | 0.69 ** |
| Year/Treatment a | Grain Yield t/ha | Panicles Per m2 | Spikelets Per Panicle | Total Spikelets 104 /m2 | Filled Grains % | Grain Weight mg | Harvest Index b % |
|---|---|---|---|---|---|---|---|
| 2022 | |||||||
| 0N | 7.90 c c | 155 c | 241 c | 3.74 b | 91.5 a | 23.1 a | 51.2 a |
| LFP | 10.01 b | 190 a | 301 b | 5.71 a | 78.5 c | 22.3 c | 47.1 b |
| PCU | 10.98 a | 181 b | 316 a | 5.72 a | 84.2 b | 22.8 b | 50.3 a |
| 2023 | |||||||
| 0N | 7.51 c | 151 c | 238 c | 3.59 b | 89.7 a | 23.3 a | 50.9 a |
| LFP | 9.65 b | 193 a | 298 b | 5.75 a | 75.6 c | 22.2 c | 47.5 b |
| PCU | 10.65 a | 187 b | 309 a | 5.78 a | 81.2 b | 22.7 b | 50.3 a |
| Analysis of variance | |||||||
| Year (Y) | NS d | NS | NS | NS | NS | NS | NS |
| Treatment (T) | ** | ** | ** | ** | ** | ** | ** |
| Y×T | NS | NS | NS | NS | NS | NS | NS |
| Year/Treatment a | N Uptake kg/ha | IEN kg/kg b | PFPN kg/kg c | AEN kg/kg d |
|---|---|---|---|---|
| 2022 | ||||
| 0N | 131.2 c e | 60.2 a | ||
| LFP | 202.3 b | 49.5 c | 50.1 b | 10.6 b |
| PCU | 210.8 a | 52.1 b | 54.9 a | 15.4 a |
| 2023 | ||||
| 0N | 122.9 c | 61.1 a | ||
| LFP | 199.0 b | 48.5 c | 48.3 b | 10.7 b |
| PCU | 208.4 a | 51.1 b | 53.3 a | 15.7 a |
| Analysis of variance | ||||
| Year (Y) | NS f | NS | NS | NS |
| Treatment (T) | ** | ** | ** | ** |
| Y×T | NS | NS | NS | NS |
Disclaimer/Publisher’s Note: The statements, opinions and data contained in all publications are solely those of the individual author(s) and contributor(s) and not of MDPI and/or the editor(s). MDPI and/or the editor(s) disclaim responsibility for any injury to people or property resulting from any ideas, methods, instructions or products referred to in the content. |
© 2025 by the authors. Licensee MDPI, Basel, Switzerland. This article is an open access article distributed under the terms and conditions of the Creative Commons Attribution (CC BY) license (https://creativecommons.org/licenses/by/4.0/).
Share and Cite
Zhu, J.; Chen, S.; Xu, C.; Liu, Y.; Yu, K.; Zhang, X.; Wang, D.; Chu, G. One-Time Application of Polymer-Coated Urea Increased Rice Yield and Plant Nitrogen Uptake by Optimizing Root Morphological and Physiological Traits. Agronomy 2025, 15, 282. https://doi.org/10.3390/agronomy15020282
Zhu J, Chen S, Xu C, Liu Y, Yu K, Zhang X, Wang D, Chu G. One-Time Application of Polymer-Coated Urea Increased Rice Yield and Plant Nitrogen Uptake by Optimizing Root Morphological and Physiological Traits. Agronomy. 2025; 15(2):282. https://doi.org/10.3390/agronomy15020282
Chicago/Turabian StyleZhu, Junlin, Song Chen, Chunmei Xu, Yuanhui Liu, Kai Yu, Xiufu Zhang, Danying Wang, and Guang Chu. 2025. "One-Time Application of Polymer-Coated Urea Increased Rice Yield and Plant Nitrogen Uptake by Optimizing Root Morphological and Physiological Traits" Agronomy 15, no. 2: 282. https://doi.org/10.3390/agronomy15020282
APA StyleZhu, J., Chen, S., Xu, C., Liu, Y., Yu, K., Zhang, X., Wang, D., & Chu, G. (2025). One-Time Application of Polymer-Coated Urea Increased Rice Yield and Plant Nitrogen Uptake by Optimizing Root Morphological and Physiological Traits. Agronomy, 15(2), 282. https://doi.org/10.3390/agronomy15020282
