Drought Resistance of Different Scion Varieties Grafted onto Apple SH40 Interstock
Abstract
1. Introduction
2. Materials and Methods
2.1. Research Materials
2.2. Research Methods
2.2.1. Collection of Apple Leaf Samples
2.2.2. Determination of Physiological and Biochemical Index Contents
2.2.3. Determination of Leaf Photosynthetic Parameters
2.2.4. Observation of Leaf Anatomical Structure
2.2.5. Measurement of Fruit External Quality Characteristics Across Seven Apple Cultivars
2.2.6. Data Analysis
3. Results
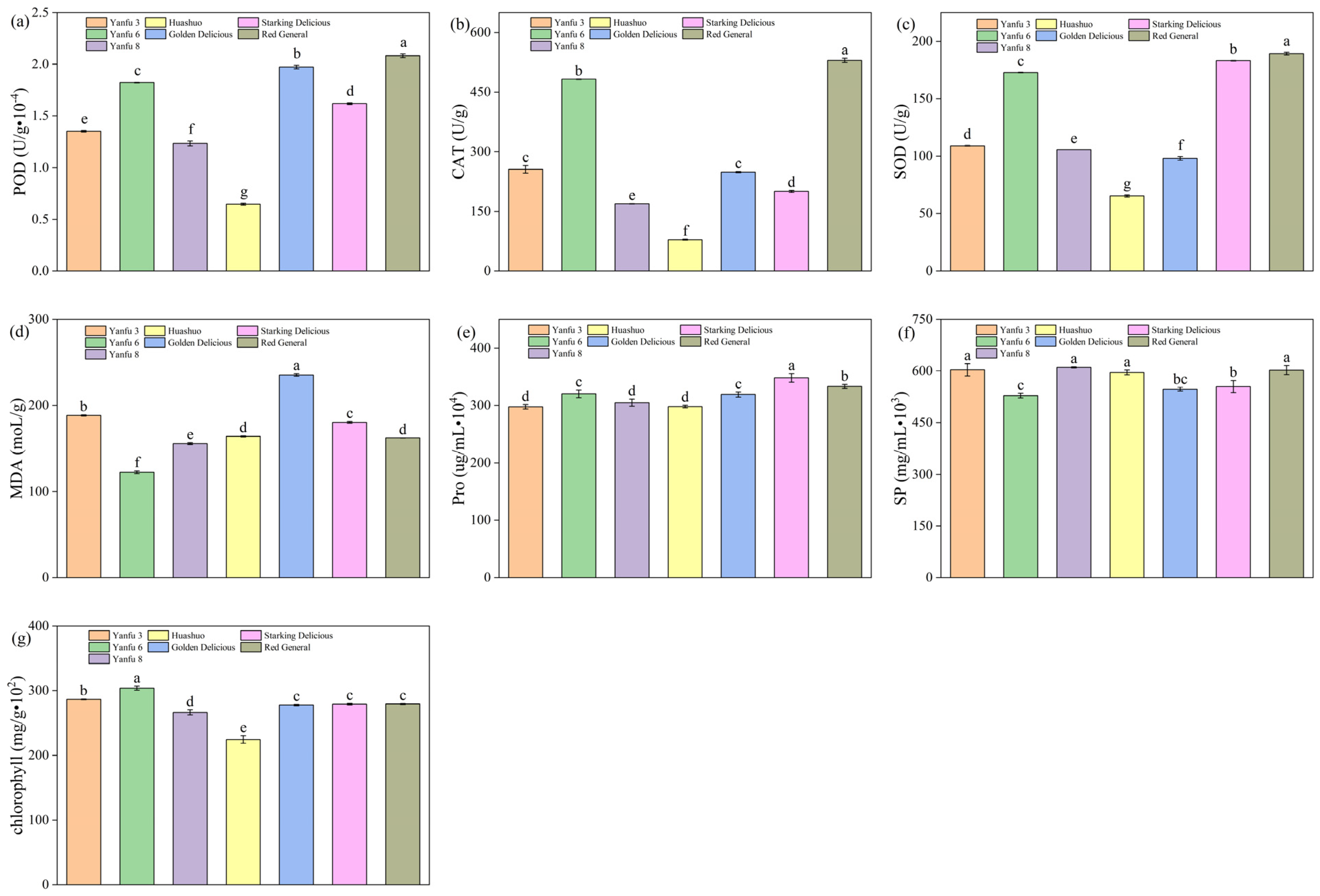
3.1. Analysis of Leaf Physiological and Biochemical Indexes of Different Varieties
3.2. Effects of Different Grafted Varieties on Leaf Photosynthetic Characteristics Under Drought Stress
3.3. Analysis and Comparison of Leaf Anatomical Structure Characteristics of Different Grafted Varieties Under Drought Stress
3.4. The Fruit Shapes of Seven Apple Varieties
3.5. Variation in Fruit Diameter, Shape Index, and Yield per Plant Across 7 Apple Varieties
3.6. Principal Component Analysis of Seven Apple Cultivars Grafted on SH40 Interstock
3.7. Comprehensive Evaluation of Seven Apple Cultivars Grafted on SH40 Interstock
4. Discussion
5. Conclusions
Author Contributions
Funding
Data Availability Statement
Conflicts of Interest
Abbreviations
| PCA | Principal component analysis |
| POD | Peroxidase |
| CAT | Catalase |
| SOD | Superoxide dismutase |
| MDA | Malondialdehyde |
| Tr | Transpiration rate |
| Gs | Stomatal conductance |
| Pn | Net photosynthetic rate |
| Ci | Intercellular CO2 concentration |
| POS | Reactive oxygen species |
| PS II | Photosystem II |
| ETR | Electron transport rate |
| NBT | Nitroblue tetrazolium |
| Pro | Proline |
| SP | Soluble protein |
| BCA | Bicinchoninic acid |
| Chl | Chlorophyll |
| LT | Leaf thickness |
| MesT | Mesophyll thickness |
| TU | Upper epidermis thickness |
| TL | Lower epidermis thickness |
| TP | Palisade tissue thickness |
| TS | Spongy tissue thickness |
| MV | Midvein thickness |
| P/S | Palisade tissue and spongy tissue ratio |
| CTR | Tightness of leaf palisade tissue |
| SR | Looseness of leaf spongy tissue |
References
- Zhang, J.; Nie, J.; Kuang, L.; Shen, Y.; Zheng, H.; Zhang, H.; Farooq, S.; Asim, S. Geographical origin of Chinese apples based on multiple element analysis. J. Sci. Food Agric. 2019, 99, 6182–6190. [Google Scholar] [CrossRef] [PubMed]
- Song, X.; Gao, X.; Wu, P.; Zhao, X.; Zhang, W.; Zou, Y.; Siddique, K.H. Drought responses of profile plant-available water and fine-root distributions in apple (Malus pumila Mill.) orchards in a loessial, semi-arid, hilly area of China. Sci. Total Environ. 2020, 723, 137739. [Google Scholar] [CrossRef] [PubMed]
- Yang, B.; Fu, P.; Lu, J.; Ma, F.; Sun, X.; Fang, Y. Regulated deficit irrigation: An effective way to solve the shortage of agricultural water for horticulture. Stress Biol. 2022, 2, 28. [Google Scholar] [CrossRef] [PubMed] [PubMed Central]
- Li, Q.; Gao, Y.; Wang, K.; Feng, J.; Sun, S.; Lu, X.; Liu, Z.; Zhao, D.; Li, L.; Wang, D. Transcriptome Analysis of the Effects of Grafting Interstocks on Apple Rootstocks and Scions. Int. J. Mol. Sci. 2023, 24, 807. [Google Scholar] [CrossRef] [PubMed] [PubMed Central]
- Yuan, J.-C.; Cheng, C.-G.; Zhao, D.-Y.; Liu, S.-T.; Li, E.-M. Effects of different interstocks on the growth, yield, and fruit quality of Hanfu apple. Ying Yong Sheng Tai Xue Bao 2021, 32, 3145–3151. (In Chinese) [Google Scholar] [CrossRef] [PubMed]
- Li, S.; Zhang, Y.; Chen, H.; Li, B.; Liang, B.; Xu, J. The Effect of Dwarfing Interstocks on Vegetative Growth, Fruit Quality and Ionome Nutrition of ‘Fuji’ Apple Cultivar ‘Tianhong 2’—A One-Year Study. Plants 2023, 12, 2158. [Google Scholar] [CrossRef] [PubMed] [PubMed Central]
- Cao, Y.; Li, Z.; Du, P.; Ji, J.; Sun, W.; Xu, J.; Liang, B. Effects of different dwarfing interstocks on the rhizosphere, endophytic bacteria, and drought resistance of apple trees. Microbiol. Res. 2024, 283, 127690. [Google Scholar] [CrossRef] [PubMed]
- Dong, T.; Wang, H.P.; Sun, W.T.; Yin, X.N.; Niu, J.Q.; Liu, X.L.; Ma, M. Effects of different dwarfing interstocks on tree growth characteristics, leaf physiology and fruit quality of ’Nagano Fuji No.2’apple. J. Fruit Sci. 2020, 37, 1846–1855. [Google Scholar] [CrossRef]
- Li, M.J.; Zhang, Q.; Li, X.L.; Zhou, B.B.; Yang, Y.Z.; Zhou, J.; Zhang, J.K.; Wei, Q.P. Effects of Five Different Dwarfing Interstocks of SH on Growth, Light Distribution, Yield and Fruit Quality in ’Fuji’ Apple Trees. Acta Hortic. Sin. 2018, 45, 1999–2007. [Google Scholar] [CrossRef]
- Zhang, H.; Yang, Z.; Shao, J.; Sun, J.; Zha, Q.; Zhang, X. Interaction of MdWRKY24 and MdRGL in Response to Tree Dwarfing in Malus domestica. Agronomy 2022, 12, 2345. [Google Scholar] [CrossRef]
- Wang, Q.; Cai, H.C.; Wang, S.T.; Zhang, X.J.; Gao, J.D.; Du, X.M.; Li, C.Y.; Hao, Y.Y.; Yang, T.Z. Comparision on growth and photosyn-thetic characteristics of Fuji apple with two intermediate rootstocks under high spindle. Acta Agric. Boreali-Sin. 2021, 36, 108–115. [Google Scholar]
- Théroux-Rancourt, G.; Éthier, G.; Pepin, S. Threshold response of mesophyll CO2conductance to leaf hydraulics in highly transpiring hybrid poplar clones exposed to soil drying. J. Exp. Bot. 2013, 65, 741–753. [Google Scholar] [CrossRef] [PubMed] [PubMed Central]
- Wang, X.; Liu, H.; Yu, F.; Hu, B.; Jia, Y.; Sha, H.; Zhao, H. Differential activity of the antioxidant defence system and alterations in the accumulation of osmolyte and reactive oxygen species under drought stress and recovery in rice (Oryza sativa L.) tillering. Sci. Rep. 2019, 9, 8543. [Google Scholar] [CrossRef] [PubMed] [PubMed Central]
- Zhang, Y.H.; Ma, F.; Wang, W.J.; Wang, Z.P. The effects of light Sierozem and Aeolian sandy soil on freezing injury of graperoots at the east foot of Helan Mountain. J. Agric. Sci. 2008, 1, 7–10. [Google Scholar]
- Li, Z.G.; Gong, M. Improvement of the Guaiacol Method for Determining the Activity of Plant Peroxidase. Plant Physiol. J. 2008, 2, 323–324. [Google Scholar] [CrossRef]
- Su, S.P.; Li, Y.; Liu, X.E.; Chong, P.F.; Shan, L.S.; Hou, Y.L. A study of the mechanism of drought stress alleviation by exogenous proline applied to Reaumuria soongorica. Acta Pratacult. Sin. 2022, 31, 127–138. [Google Scholar] [CrossRef]
- Cheng, Z.P.; Shi, X.M.; Wang, R.; Wu, X.; Wang, N.; Wang, Z.P. Osmotic regulation and antioxidant capacity of different grapevine rootstocks under salt stress. Acta Bot. Boreali-Occident. Sin. 2022, 42, 1880–1891. [Google Scholar] [CrossRef]
- Kralj, J.G.; Munson, M.S.; Ross, D. Total protein quantitation using the bicinchoninic acid assay and gradient elution moving boundary electrophoresis. Electrophoresis 2014, 35, 1887–1892. [Google Scholar] [CrossRef] [PubMed]
- Li, H.L.; Zhu, Y.X.; Chen, M.; Liu, S.; Wang, J.; Liu, Y.Q.; Zhang, X.M.; Ma, H.H. Effects of drought stress and re-watering on the growth and physiological characteristics of Helianthus tuberosus seedlings. Acta Pratacult. Sin. 2025, 34, 171–184. [Google Scholar]
- Zhang, D.; Xu, J.; Bao, M.; Yan, D.; Beer, S.; Beardall, J.; Gao, K. Elevated CO2 concentration alleviates UVR-induced inhibition of photosynthetic light reactions and growth in an intertidal red macroalga. J. Photochem. Photobiol. B Biol. 2020, 213, 112074. [Google Scholar] [CrossRef] [PubMed]
- Li, B.-M.; Chen, Y.-W.; Wang, D.; Xue, Y.-J.; Qu, M.-J.; Shao, S.; Nie, S.; Li, J.-W. Leaf anatomical structure of dominant shrubs and their influencing factors across habitats in hyper-arid region. Ying Yong Sheng Tai Xue Bao 2025, 36, 2370–2378. (In English) [Google Scholar] [CrossRef] [PubMed]
- Miranda, C.; Dapena, E.; Urbina, V.; Pereira-Lorenzo, S.; Errea, P.; Moreno, M.; Urrestarazu, J.; Fernandez, M.; Ramos-Cabrer, A.; Diaz-Hernandez, M.; et al. Development of a standardized methodology for phenotypical characterizations in apple. Acta Hortic. 2017, 1172, 367–370. [Google Scholar] [CrossRef]
- NY/T 2921-2016; Descriptors for Apple Germplasm Resources. China Agriculture Press Co., Ltd.: Beijing, China, 2016. Available online: https://www.sdtdata.com/fx/fmoa/tsLibCard/163191.html (accessed on 13 November 2025).
- Wang, J.Q.; Zhang, J.; Ren, Y.F.; Xu, W.D.; Zhou, J.; Wang, J.; Wang, J.W.; Wang, H.R.; Qiao, S.; Zhang, Z.K. Comparative Analysis of Fruit Quality of 'Gala' Apple Series from Different Producing Areas in Ningxia. Non-Wood For. Res. 2025, 43, 242–251. [Google Scholar] [CrossRef]
- Tian, H.; Liu, H.; Zhang, D.; Hu, M.; Zhang, F.; Ding, S.; Yang, K. Screening of salt tolerance of maize (Zea mays L.) lines using membership function value and GGE biplot analysis. PeerJ 2024, 12, e16838. [Google Scholar] [CrossRef] [PubMed] [PubMed Central]
- Jing, J.L.; Liu, M.X.; Gao, M.N.; Xu, J.Z.; Zhang, X.Y.; Zhou, S.S. Comparison of physiological characteristics and cold resistance ofbranches of different apple interstocks during overwintering. J. Hebei Agric. Univ. 2022, 45, 25–31. [Google Scholar] [CrossRef]
- Blum, A. Drought resistance, water-use efficiency, and yield potential—Are they compatible, dissonant, or mutually exclusive? Aust. J. Agric. Res. 2005, 56, 1159–1168. [Google Scholar] [CrossRef]
- Alscher, R.G.; Erturk, N.; Heath, L.S. Role of superoxide dismutases (SODs) in controlling oxidative stress in plants. J. Exp. Bot. 2002, 372, 1331–1341. [Google Scholar] [CrossRef] [PubMed]
- Ashraf, M.; Foolad, M.R. Roles of glycine betaine and proline in improving plant abiotic stress resistance. Environ. Exp. Bot. 2007, 59, 206–216. [Google Scholar] [CrossRef]
- Flexas, J.; Bota, J.; Loreto, F.; Cornic, G.; Sharkey, T.D. Diffusive and Metabolic Limitations to Photosynthesis under Drought and Salinity in C3 Plants. Plant Biol. 2004, 6, 269–279. [Google Scholar] [CrossRef] [PubMed]
- Galmés, J.; Medrano, H.; Flexas, J. Photosynthetic limitations in response to water stress and recovery in Mediterranean plants with different growth forms. New Phytol. 2007, 175, 81–93. [Google Scholar] [CrossRef] [PubMed]
- Shen, Z.; Cheng, X.; Li, X.; Deng, X.; Dong, X.; Wang, S.; Pu, X. Effects of silicon application on leaf structure and physiological characteristics of Glycyrrhiza uralensis Fisch. and Glycyrrhiza inflata Bat. under salt treatment. BMC Plant Biol. 2022, 22, 390. [Google Scholar] [CrossRef] [PubMed] [PubMed Central]
- Lauder, J.D.; Moran, E.V.; Hart, S.C. Fight or flight? Potential tradeoffs between drought defense and reproduction in conifers. Tree Physiol. 2019, 39, 1071–1085. [Google Scholar] [CrossRef]
- Ma, X.; Sheng, L.; Li, F.; Zhou, T.; Guo, J.; Chang, Y.; Yang, J.; Jin, Y.; Chen, Y.; Lu, X. Seasonal drought promotes citrate accumulation in citrus fruit through the CsABF3-activated CsAN1-CsPH8 pathway. New Phytol. 2024, 242, 1131–1145. [Google Scholar] [CrossRef]
- Naor, A.; Naschitz, S.; Peres, M.; Gal, Y. Responses of apple fruit size to tree water status and crop load. Tree Physiol. 2008, 28, 1255–1261. [Google Scholar] [CrossRef] [PubMed]


| Varieties | Tr/(mmol·m−2·s−1) | Gs/(mmol·m−2·s−1) | Pn/(μmol·m−2·s−1) | Ci/(μmol·mol−1) |
|---|---|---|---|---|
| Yanfu 3 | 1.849 ± 0.015 e | 93.617 ± 1.615 e | 8.409 ± 0.158 e | 362.677 ± 1.856 f |
| Yanfu 6 | 2.471 ± 0.010 d | 135.673 ± 0.435 d | 9.612 ± 0.053 d | 390.798 ± 0.552 d |
| Yanfu 8 | 3.376 ± 0.095 c | 199.159 ± 1.551 c | 11.388 ± 0.352 b | 423.928 ± 1.848 c |
| Huashuo | 1.671 ± 0.071 f | 80.088 ± 0.515 f | 4.564 ± 0.284 f | 439.270 ± 11.741 b |
| Golden Delicious | 3.978 ± 0.099 b | 226.383 ± 1.583 b | 10.091 ± 0.131 c | 464.020 ± 0.723 a |
| Starking Delicious | 1.598 ± 0.074 f | 74.043 ± 1.411 g | 3.620 ± 0.100 g | 424.954 ± 0.789 c |
| Red General | 5.463 ± 0.026 a | 343.578 ± 1.397 a | 12.589 ± 0.372 a | 378.567 ± 0.974 e |
| Varieties | TU/μm | TL/μm | TP/μm | TS/μm | LT/μm | MesT/μm |
|---|---|---|---|---|---|---|
| Yanfu 3 | 21.056 ± 0.536 a | 14.944 ± 0.096 b | 129.833 ± 1.201 e | 142.556 ± 2.009 b | 299.278 ± 1.347 c | 257.556 ± 2.070 d |
| Yanfu 6 | 19.722 ± 0.509 b | 14.389 ± 0.096 c | 134.500 ± 2.021 d | 129.556 ± 1.295 c | 291.667 ± 2.404 d | 273.167 ± 2.186 b |
| Yanfu 8 | 18.444 ± 0.255 c | 13.556 ± 0.192 d | 143.000 ± 0.167 c | 129.889 ± 0.420 c | 310.444 ± 1.171 b | 266.500 ± 2.682 c |
| Huashuo | 17.500 ± 0.441 d | 14.222 ± 0.192 c | 133.500 ± 2.048 d | 165.500 ± 0.333 a | 343.500 ± 1.364 a | 299.222 ± 2.084 a |
| Golden Delicious | 20.333 ± 0.289 b | 14.222 ± 0.536 c | 153.667 ± 2.000 a | 120.667 ± 1.302 d | 309.500 ± 0.764 b | 276.667 ± 1.667 b |
| Starking Delicious | 17.389 ± 0.385 d | 13.611 ± 0.255 d | 122.778 ± 0.536 f | 129.056 ± 1.834 c | 276.444 ± 1.072 e | 247.778 ± 0.822 e |
| Red General | 17.722 ± 0.347 d | 15.500 ± 0.441 a | 147.222 ± 0.855 b | 130.722 ± 1.619 c | 296.889 ± 3.155 c | 272.833 ± 2.566 b |
| Varieties | MV/μm | M/L/μm | P/S | CTR% | SR% | |
| Yanfu 3 | 1645.500 ± 1.202 a | 5.498 ± 0.029 a | 0.911 ± 0.014 f | 43.383 ± 0.487 d | 47.632 ± 0.484 a | |
| Yanfu 6 | 1413.444 ± 0.948 c | 4.846 ± 0.037 c | 1.038 ± 0.005 d | 46.120 ± 1.075 b | 44.424 ± 0.813 c | |
| Yanfu 8 | 1026.944 ± 0.347 d | 3.308 ± 0.014 d | 1.101 ± 0.005 c | 46.064 ± 0.209 b | 41.840 ± 0.123 d | |
| Huashuo | 799.667 ± 1.093 f | 2.328 ± 0.012 g | 0.807 ± 0.013 g | 38.865 ± 0.607 e | 48.181 ± 0.099 a | |
| Golden Delicious | 876.111 ± 3.513 e | 2.831 ± 0.018 e | 1.274 ± 0.021 a | 49.649 ± 0.526 a | 38.988 ± 0.407 e | |
| Starking Delicious | 1504.278 ± 2.810 b | 5.442 ± 0.011 b | 0.951 ± 0.011 e | 44.414 ± 0.231 c | 46.686 ± 0.780 b | |
| Red General | 773.500 ± 2.848 g | 2.606 ± 0.035 f | 1.126 ± 0.007 b | 49.590 ± 0.246 a | 44.030 ± 0.120 c |
| Varieties | Fruit Ground Color | Fruit Overcolor | Fruit Coloration Intensity | Fruit Coloration Pattern |
|---|---|---|---|---|
| Yanfu 3 | Yellowish Green | Bright red | Above-Medium Coloring | Blotched Red |
| Yanfu 6 | Yellowish Green | Dark red | Medium Coloring | Streaked Red |
| Yanfu 8 | Yellowish White | Bright red | High Coloring | Blotched Red |
| Huashuo | Yellowish Green | Bright red | High Coloring | Blotched Red |
| Golden Delicious | Golden Yellow | No or Slight Red on the Sunny Side | Low Coloring | No Coloring |
| Starking Delicious | Yellow | Deep red | High Coloring | Streaked Red |
| Red General | Yellow | Bright red | High Coloring | Blotched Red |
| Varieties | Horizontal Diameter /mm | Vertical Diameter /mm | Lateral Diameter /mm | Single Fruit Weight/g | Fruit Shape Index | Yield per Plant (kg/Plant) |
|---|---|---|---|---|---|---|
| Yanfu 3 | 77.35 ± 5.35 bc | 56.89 ± 5.8 e | 57.47 ± 5.68 d | 192.15 ± 28.41 d | 0.73 ± 0.04 d | 22.67 ± 1.04 ab |
| Yanfu 6 | 74.27 ± 4.01 cd | 58.65 ± 5.37 de | 59.76 ± 6.28 d | 202.60 ± 38.78 bcd | 0.79 ± 0.06 c | 24.08 ± 1.42 a |
| Yanfu 8 | 73.13 ± 3.42 d | 57.38 ± 4.29 de | 56.64 ± 4.64 d | 197.00 ± 25.01 cd | 0.78 ± 0.04 c | 21.67 ± 1.26 abc |
| Huashuo | 79.75 ± 3.81 b | 69.71 ± 2.63 b | 68.56 ± 3.16 b | 220.30 ± 15.43 bc | 0.88 ± 0.06 a | 19.50 ± 1.32 c |
| Golden Delicious | 79.36 ± 3.91 b | 71.48 ± 2.41 ab | 69.71 ± 1.74 ab | 190.05 ± 8.37 d | 0.90 ± 0.06 a | 19.83 ± 2.02 bc |
| Starking Delicious | 80.50 ± 3.91 b | 70.68 ± 2.41 b | 70.60 ± 1.74 ab | 196.20 ± 8.37 d | 0.88 ± 0.06 a | 18.67 ± 2.02 c |
| Red General | 84.58 ± 2.44 a | 74.81 ± 3.9 a | 73.22 ± 4.35 a | 222.26 ± 22.64 b | 0.88 ± 0.04 a | 21.00 ± 2.00 bc |
| Index | The First Principal Component | The Second Principal Component | The Third Principal Component | The Fourth Principal Component | The Fifth Principal Component |
|---|---|---|---|---|---|
| POD | 0.930 | −0.265 | 0.197 | 0.002 | 0.064 |
| CAT | 0.722 | −0.312 | 0.018 | 0.553 | −0.096 |
| SOD | 0.553 | −0.392 | 0.578 | 0.381 | −0.238 |
| Concentration of soluble protein | −0.261 | 0.279 | −0.373 | 0.393 | 0.299 |
| Pro | 0.551 | −0.054 | 0.807 | −0.024 | −0.188 |
| MDA | 0.204 | 0.279 | 0.06 | −0.621 | 0.701 |
| Total chlorophyll content | 0.567 | −0.805 | 0.089 | 0.022 | 0.021 |
| TU | 0.114 | −0.555 | −0.49 | −0.259 | 0.478 |
| TL | 0.368 | 0.042 | −0.151 | 0.73 | 0.503 |
| TP | 0.689 | 0.422 | −0.564 | −0.165 | 0.026 |
| TS | −0.814 | 0.394 | −0.089 | 0.382 | 0.111 |
| LT | −0.462 | 0.688 | −0.538 | −0.001 | 0.006 |
| MesT | −0.19 | 0.713 | −0.427 | 0.162 | −0.184 |
| MV | −0.296 | −0.889 | 0.301 | −0.052 | 0.165 |
| M/L | −0.213 | −0.883 | 0.392 | −0.053 | 0.133 |
| P/S | 0.889 | 0.023 | −0.254 | −0.378 | −0.048 |
| CTR% | 0.978 | −0.117 | −0.091 | −0.125 | 0.008 |
| SR% | −0.727 | −0.099 | 0.384 | 0.536 | 0.163 |
| Tr | 0.868 | 0.308 | −0.282 | 0.201 | 0.008 |
| Gs | 0.856 | 0.297 | −0.283 | 0.243 | −0.005 |
| Pn | 0.717 | −0.107 | −0.639 | 0.204 | −0.039 |
| Ci | −0.037 | 0.582 | 0.055 | −0.771 | −0.231 |
| Horizontal Diameter | 0.328 | 0.561 | 0.523 | 0.341 | 0.433 |
| Vertical Diameter | 0.377 | 0.741 | 0.529 | 0.035 | 0.142 |
| Lateral Diameter | 0.361 | 0.684 | 0.602 | 0.065 | 0.133 |
| Single Fruit Weight | −0.036 | 0.61 | 0.058 | 0.754 | −0.226 |
| Fruit Shape Index | 0.312 | 0.775 | 0.485 | −0.183 | −0.075 |
| Yield per Plant | 0.086 | −0.685 | −0.553 | 0.374 | −0.157 |
| Eigenvalue | 8.861 | 7.654 | 4.732 | 3.841 | 1.650 |
| Variance contribution rate | 31.645 | 27.335 | 16.901 | 13.718 | 5.893 |
| Accumulation rate | 31.645 | 58.981 | 75.881 | 89.599 | 95.492 |
| Varieties | U1 | U2 | U3 | U4 | U5 | D value | Ranking |
|---|---|---|---|---|---|---|---|
| Yanfu 3 | 0.278 | 0.000 | 0.209 | 0.626 | 1.000 | 0.281 | 7 |
| Yanfu 6 | 0.590 | 0.004 | 0.302 | 0.643 | 0.000 | 0.342 | 5 |
| Yanfu 8 | 0.479 | 0.371 | 0.000 | 0.334 | 0.092 | 0.319 | 6 |
| Huashuo | 0.000 | 1.000 | 0.323 | 0.620 | 0.364 | 0.455 | 4 |
| Golden Delicious | 0.876 | 0.663 | 0.241 | 0.000 | 0.649 | 0.563 | 2 |
| Starking Delicious | 0.440 | 0.309 | 1.000 | 0.320 | 0.366 | 0.480 | 3 |
| Red General | 1.000 | 0.695 | 0.415 | 1.000 | 0.507 | 0.779 | 1 |
Disclaimer/Publisher’s Note: The statements, opinions and data contained in all publications are solely those of the individual author(s) and contributor(s) and not of MDPI and/or the editor(s). MDPI and/or the editor(s) disclaim responsibility for any injury to people or property resulting from any ideas, methods, instructions or products referred to in the content. |
© 2025 by the authors. Licensee MDPI, Basel, Switzerland. This article is an open access article distributed under the terms and conditions of the Creative Commons Attribution (CC BY) license (https://creativecommons.org/licenses/by/4.0/).
Share and Cite
Bai, J.; Wang, Y.; Zhang, Y.; Liu, X.; Xue, W.; Zhang, Y.; Si, B.; Huang, X.; Zhou, J.; Wang, J.; et al. Drought Resistance of Different Scion Varieties Grafted onto Apple SH40 Interstock. Agronomy 2025, 15, 2635. https://doi.org/10.3390/agronomy15112635
Bai J, Wang Y, Zhang Y, Liu X, Xue W, Zhang Y, Si B, Huang X, Zhou J, Wang J, et al. Drought Resistance of Different Scion Varieties Grafted onto Apple SH40 Interstock. Agronomy. 2025; 15(11):2635. https://doi.org/10.3390/agronomy15112635
Chicago/Turabian StyleBai, Jiao, Yu Wang, Yang Zhang, Xiaoming Liu, Wenjing Xue, Ying Zhang, Binbin Si, Xuelian Huang, Jun Zhou, Jing Wang, and et al. 2025. "Drought Resistance of Different Scion Varieties Grafted onto Apple SH40 Interstock" Agronomy 15, no. 11: 2635. https://doi.org/10.3390/agronomy15112635
APA StyleBai, J., Wang, Y., Zhang, Y., Liu, X., Xue, W., Zhang, Y., Si, B., Huang, X., Zhou, J., Wang, J., Zhang, X., Zhang, Z., Du, K., An, Y., & Xu, W. (2025). Drought Resistance of Different Scion Varieties Grafted onto Apple SH40 Interstock. Agronomy, 15(11), 2635. https://doi.org/10.3390/agronomy15112635
