Distribution of Phosphorus Forms Along the Altitude Gradient in the Soil of the Qinghai–Tibetan Plateau and the Influencing Factors
Abstract
1. Introduction
2. Materials and Methods
2.1. Study Sites
2.2. Sample Collection
2.3. Determination of Total P, Available P, Inorganic and Organic P Concentrations in Soil Samples
2.4. Sequential Fractionation
2.5. Solution 31P NMR Spectroscopy
2.6. Determination of Phosphatase Activity
2.7. Statistical Method and Data Analysis
3. Results
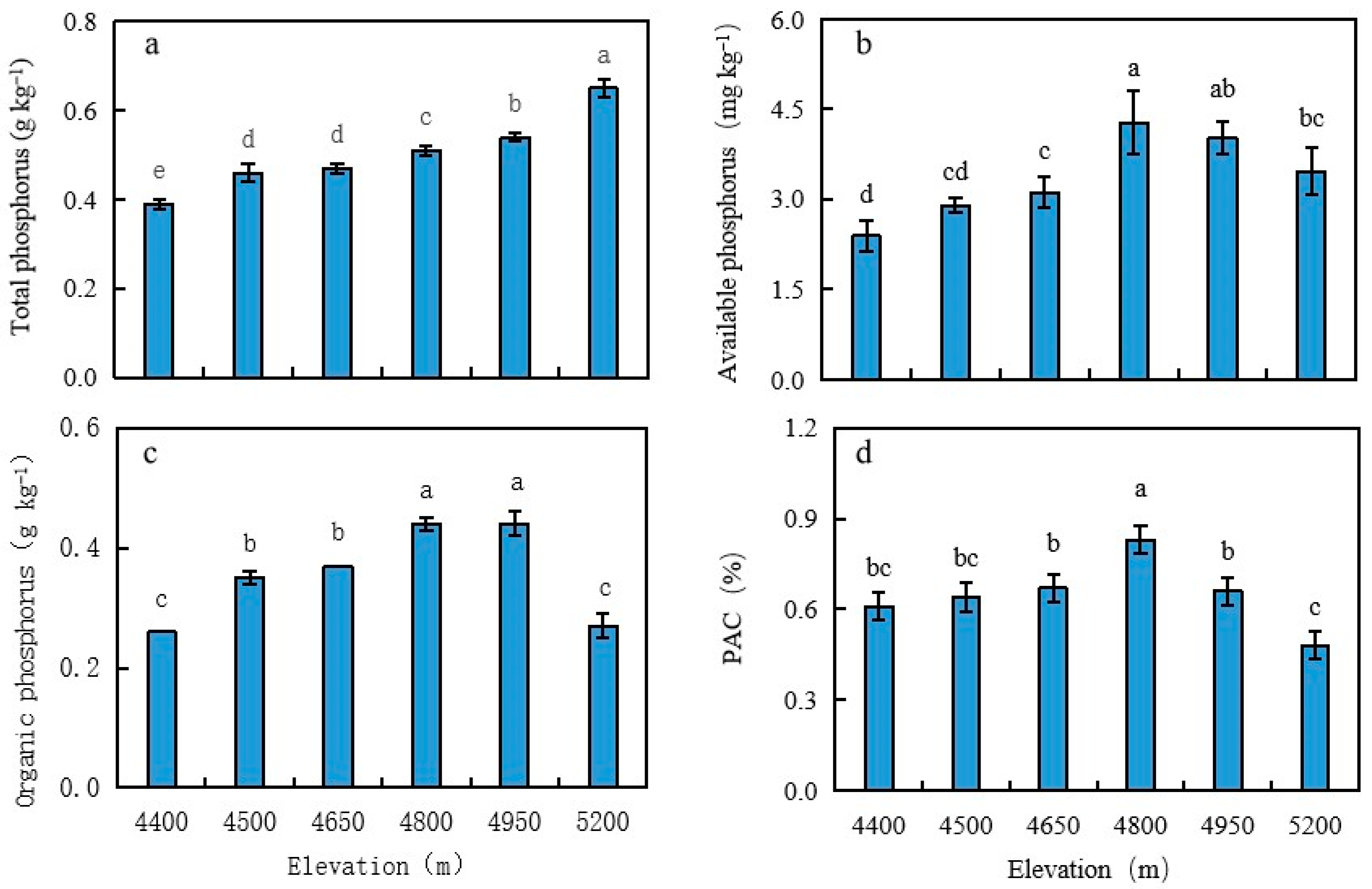
3.1. Total Soil P, Available P, and Po Concentrations in Soil Samples
3.2. Concentrations of Soil P Fractions Obtained Through Sequential Chemical Fractionation
3.3. Soil P Fractions Measured by 31P NMR Spectroscopy
3.4. Phosphatase Activity
3.5. Relationships Between P Forms and Environmental Factors
4. Discussion
4.1. Spatial Variability of Soil Total P and Influencing Factors
4.2. Spatial Variability of Soil Pi Forms and Influencing Factors
4.3. Spatial Variability of Soil Po Forms and Influencing Factors
5. Conclusions
Author Contributions
Funding
Data Availability Statement
Acknowledgments
Conflicts of Interest
References
- IPCC. Climate Change 2014: Synthesis Report. Contribution of Working Groups I, II and III to the Fifth Assessment Report of the Intergovernmental Panel on Climate Change; Pachauri, R.K., Meyer, L.A., Core Writing Team, Eds.; IPCC: Geneva, Switzerland, 2014. [Google Scholar]
- Hou, E.Q.; Chen, C.R.; Luo, Y.; Zhou, G.; Kuang, Y.W.; Zhang, Y.G.; Heenan, M.; Lu, X.; Wen, D.Z. Effects of climate on soil phosphorus cycle and availability in natural terrestrial ecosystems. Glob. Change Biol. 2018, 24, 3344–3356. [Google Scholar] [CrossRef] [PubMed]
- Ren, H.Y.; Kang, J.; Yuan, Z.Y.; Xu, Z.W.; Han, G. Responses of nutrient resorption to warming and nitrogen fertilization in contrasting wet and dry years in a desert grassland. Plant Soil 2018, 432, 65–73. [Google Scholar] [CrossRef]
- Hou, D.J.; Guo, K.; Liu, C.C. Asymmetric effects of grazing intensity on macroelements and microelements in grassland soil and plants in Inner Mongolia Grazing alters nutrient dynamics of grasslands. Ecol. Evol. 2020, 10, 8916–8926. [Google Scholar] [CrossRef] [PubMed]
- Wei, B.; Zhang, D.Y.; Voigt, C.; Zhou, W.; Bai, Y.C.; Zheng, Z.H.; Xie, Y.H.; Zhao, C.B.; Wang, F.Q.; Huang, L.Y.; et al. Progressive decline in soil nitrogen stocks with warming in a Tibetan permafrost ecosystem. Nat. Geosci. 2025, 9, 2. [Google Scholar] [CrossRef]
- Liu, J.; Yang, J.j.; Cade-Menun, B.J.; Liang, X.Q.; Hu, Y.F.; Liu, C.W.; Zhao, Y.; Li, L.; Shi, J.Y. Complementary phosphorus speciation in agricultural soils by sequential fractionation, solution 31P nuclear magnetic resonance, and phosphorus K-edge X-ray absorption near-edge structure spectroscopy. Environ. Qual. 2013, 42, 1763–1770. [Google Scholar] [CrossRef]
- Zhu, J.D.; Wu, A.; Zhou, G.Y. Spatial distribution patterns of soil total phosphorus influenced by climatic factors in China’s forest ecosystems. Sci. Rep. 2021, 11, 5357. [Google Scholar] [CrossRef]
- Tang, Y.X.; Xu, D.H.; Yang, Y.T.; Huang, B.Y.; Fang, X.W.; Yao, G.Q.; Zhou, W.H.; Wu, Y.Q. Response of Soil Phosphorus Fractions and Available Phosphorus to Phosphorus Plus Silicon Addition in Alpine Meadows. J. Soil Sci. Plant Nut. 2025, 25, 8075–8088. [Google Scholar] [CrossRef]
- Zhou, Q.L.; Daryanto, S.; Xin, Z.M.; Liu, Z.M.; Liu, M.H.; Cui, X.; Wang, L.X. Soil phosphorus budget in global grasslands and implications for management. J. Arid Environ. 2017, 144, 224–235. [Google Scholar] [CrossRef]
- He, X.L.; Zhou, J.; Wu, Y.H.; Bing, H.J.; Sun, H.Y.; Wang, J.P. Leaching disturbed the altitudinal distribution of soil organic phosphorus in subalpine coniferous forests on Mt. Gongga, SW China. Geoderma 2018, 326, 144–155. [Google Scholar] [CrossRef]
- Zhang, Z.T.; Luo, R.Y.; Liu, Q.H.; Qiang, W.; Liang, J.; Hou, E.Q.; Zhao, C.Z.; Pang, X.Y. Linking soil phosphorus fractions to abiotic factors and the microbial community during subalpine secondary succession: Implications for soil phosphorus availability. CATENA 2023, 12, 107501. [Google Scholar] [CrossRef]
- Yan, Y.P.; Liu, F.; Li, W.; Feng, X.H.; Sparks, D.L. Sorption and desorption characteristics of organic phosphates of different structures on aluminium (oxyhydr) oxides. Eur. J. Soil Sci. 2014, 65, 308–317. [Google Scholar] [CrossRef]
- Garcia-Oliva, F.; Merino, A.; Fonturbel, M.T.; Omil, B.; Fernández, C.; Vega, J.A. Severe wildfire hinders renewal of soil P pools by thermal mineralization of organic P in forest soil: Analysis by sequential extraction and 31P NMR spectroscopy. Geoderma 2018, 309, 32–40. [Google Scholar] [CrossRef]
- Zhao, Y.; Qin, F.; Cui, Q.Y.; Li, Q.; Cui, Y.F.; Birks, H.J.B.; Liang, C.; Zhao, W.W.; Li, H.; Ren, W.H.; et al. Three-and-a-half million years of Tibetan Plateau vegetation dynamics in response to climate change. Nat. Ecol. Evol. 2025, 9, 1153–1167. [Google Scholar] [CrossRef]
- Mackay, A. Climate Change 2007: Impacts, Adaptation and Vulnerability. Contribution of Working Group II to the Fourth Assessment Report of the Intergovernmental Panel on Climate Change. J. Environ. Qual. 2008, 37, 2407. [Google Scholar] [CrossRef]
- Hu, Y.G.; Jiang, L.L.; Wang, S.P.; Zhang, Z.H.; Luo, C.Y.; Bao, X.Y.; Niu, H.S.; Xu, G.P.; Duan, J.C.; Zhu, X.X.; et al. The temperature sensitivity of ecosystem respiration to climate change in an alpine meadow on the Tibet plateau: A reciprocal translocation experiment. Agric. For. Meteorol. 2016, 216, 93–104. [Google Scholar] [CrossRef]
- Li, C.L.; Cao, Z.Y.; Chang, J.J.; Zhang, Y.; Zhu, G.L.; Zong, N.; He, Y.T.; Zhang, J.J.; He, N.P. Elevational gradient affect functional fractions of soil organic carbon and aggregates stability in a Tibetan alpine meadow. CATENA 2017, 156, 139–148. [Google Scholar] [CrossRef]
- Tang, L.; Dong, S.; Liu, S.; Wang, X.; Li, Y.; Su, X.; Zhang, Y.; Wu, X.; Zhao, H. The relationship between soil physical properties and alpine plant diversity on Qinghai-Tibet Plateau. Eurasian J. Soil Sci. 2015, 4, 88–93. [Google Scholar] [CrossRef][Green Version]
- Hou, E.Q.; Luo, Y.Q.; Kuang, Y.W.; Chen, C.R.; Lu, X.K.; Jiang, L.F.; Luo, X.Z.; Wen, D.Z. Global meta-analysis shows pervasive phosphorus limitation of aboveground plant production in natural terrestrial ecosystems. Nat. Commun. 2020, 11, 637. [Google Scholar] [CrossRef] [PubMed]
- Li, M.; Hao, Y.B.; Yan, Z.Q.; Kang, E.Z.; Wang, J.Z.; Zhang, K.R.; Li, Y.; Wu, H.D.; Kang, X.M. Long-term degradation from marshes into meadows shifts microbial functional diversity of soil phosphorus cycling in an alpine wetland of the Tibetan Plateau. Land Degrad. Dev. 2022, 33, 628–637. [Google Scholar] [CrossRef]
- Zeng, H.Y.; Ibrar, M.; Sheng, M.Q.; Deng, X.Z.; Zhou, J.; Lei, Y.B.; Sun, G. Metagenomic insights into phosphorus cycling after alpine grassland restoration. Plant Soil. 2025. [Google Scholar] [CrossRef]
- Liu, Z.P.; Shao, M.A.; Wang, Y.Q. Spatial patterns of soil total nitrogen and soil total phosphorus across the entire Loess Plateau region of China. Geoderma 2013, 197–198, 67–78. [Google Scholar] [CrossRef]
- Cao, Z.Y.; Xu, L.; Zong, N.; Zhang, J.J.; He, N.P. Impacts of climate warming on soil phosphorus forms and transformation in a Tibetan Alpine Meadow. J. Soil Sci. Plant Nutr. 2022, 22, 2545–2556. [Google Scholar] [CrossRef]
- Hong, J.T.; Pang, B.; Zhao, L.R.; Shu, S.M.; Feng, P.Y.; Liu, F.; Du, Z.Y.; Wang, X.D. Soil phosphorus crisis in the Tibetan alpine permafrost region. Nat. Commun. 2025, 16, 6204. [Google Scholar] [CrossRef]
- Olsen, S.R.; Sommers, L.E. Phosphorus. In Methods of Soil Analysis, Part 2: Chemical and Microbiological Properties; Page, A.L., Miller, R.H., Keeney, D.R., Eds.; American Society of Agronomy: Madison, WI, USA, 1982. [Google Scholar]
- Olsen, S.R.; Cole, C.V.; Watanabe, F.S.; Dean, L.A. Estimation of Available Phosphorus in Soils by Extraction with Sodium Bicarbonate; Circ. 939; US Department of Agriculture: Washington, DC, USA, 1954.
- Achat, D.L.; Bakker, M.R.; Zeller, B.; Pellerin, S.; Bienaimé, S.; Morel, C. Long-term organic phosphorus mineralization in Spodosols under forests and its relation to carbon and nitrogen mineralization. Soil Biol. Biochem. 2010, 42, 1479–1490. [Google Scholar] [CrossRef]
- Bremner, J.M. Studies on soil organic matter: Part III. The extraction of organic carbon and nitrogen from soil. J. Agric. Sci. 1949, 39, 280–282. [Google Scholar] [CrossRef]
- Murphy, J.; Riley, J.P. A modified single solution method for the determination of phosphate in natural waters. Anal. Chim. Acta 1962, 27, 31–36. [Google Scholar] [CrossRef]
- Hedley, M.J.; Stewart, J.W.B.; Chauhan, B.S. Changes in inorganic and organic soil phosphorus fractions induced by cultivation practices and by laboratory incubations. Soil. Sci. Soc. Am. J. 1982, 46, 970–976. [Google Scholar] [CrossRef]
- Tiessen, H.; Moir, J.O. Characterization of available P by sequential extraction. In Soil Sampling and Methods of Analysis, 2nd ed.; Carter, M.R., Gregorich, E.G., Eds.; CRC Press: Boca Raton, FL, USA, 1993. [Google Scholar]
- Zhu, X.Y.; Zhao, X.R.; Lin, Q.M.; Alamus; Wang, H.; Liu, H.L.; Wei, W.X.; Sun, X.C.; Li, Y.T.; Li, G.T. Distribution characteristics of soil organic phosphorus fractions in the Inner Mongolia steppe. J. Soil. Sci. Plant Nut. 2020, 20, 2394–2405. [Google Scholar] [CrossRef]
- Cade-Menun, B.J. Improved peak identification in 31P-NMR spectra of environmental samples with a standardized method and peak library. Geoderma 2015, 257–258, 102–114. [Google Scholar] [CrossRef]
- Zhang, J.J.; Sun, Y.H.; Tang, J.Y.; Li, C.L.; Zhu, P. Influences of Long-Term Fertilization on Phosphorus Forms and Availability Within Particle-Size Fractions in a Mollisol. J. Soil Sci. Plant Nutr. 2024, 25, 6740–6755. [Google Scholar] [CrossRef]
- Wei, K.; Chen, Z.H.; Zhu, A.N.; Zhang, J.B.; Chen, L.J. Application of 31P NMR spectroscopy in determining phosphatase activities and P composition in soil aggregates influenced by tillage and residue management practices. Soil Tillage Res. 2014, 138, 35–43. [Google Scholar] [CrossRef]
- Doolette, A.L.; Smernik, R.J.; Dougherty, W.J. Spiking Improved solution phosphorus-31 Nuclear magnetic resonance identification of soil phosphorus compounds. Soil Sci. Soc. Am. J. 2009, 73, 919–927. [Google Scholar] [CrossRef]
- Mcdowell, R.W.; Cade-Menun, B.; Stewart, I. Organic phosphorus speciation and pedogenesis: Analysis by solution 31P nuclear magnetic resonance spectroscopy. Eur. J. Soil Sci. 2010, 58, 1348–1357. [Google Scholar] [CrossRef]
- Tabatabai, M. Soil Enzymes. In Methods of Soil Analysis, Part 2-Microbiological and Biochemical Properties; The American Society of Agronomy: Madison, WI, USA, 1994; pp. 775–833. [Google Scholar]
- Miller, A.J.; Schuur, E.A.G.; Chadwick, O.A. Redox control of phosphorus pools in Hawaiian montane forest soils. Geoderma 2001, 102, 219–237. [Google Scholar] [CrossRef]
- Sun, X.L.; Li, M.; Wang, G.X.; Drosos, M.; Liu, F.L.; Hu, Z.Y. Response of phosphorus fractions to land-use change followed by long-term fertilization in a sub-alpine humid soil of Qinghai-Tibet plateau. J. Soils Sediments 2019, 19, 1109–1119. [Google Scholar] [CrossRef]
- Vincent, A.G.; Sundqvist, M.K.; Wardle, D.A.; Giesler, R. Bioavailable soil phosphorus decreases with increasing elevation in a subarctic tundra landscape. PLoS ONE 2014, 9, e92942. [Google Scholar] [CrossRef]
- Han, X.X.; Xiao, J.; Wang, L.Q.; Tian, S.H.; Liang, T.; Liu, Y.J. Identification of areas vulnerable to soil erosion and risk assessment of phosphorus transport in a typical watershed in the Loess Plateau. Sci. Total Environ. 2020, 758, 143661. [Google Scholar] [CrossRef] [PubMed]
- He, M.; Zhou, G.Y.; Yuan, T.F.; Groenigen, K.J.V.; Shao, J.J.; Zhou, X.H. Grazing intensity significantly changes the C: N: P stoichiometry in grassland ecosystems. Glob. Ecol. Biogeogr. 2020, 29, 355–369. [Google Scholar] [CrossRef]
- Fu, D.G.; Wu, X.N.; Duan, C.Q.; Chadwick, D.R.; Jones, D.L. Response of soil phosphorus fractions and fluxes to different vegetation restoration types in a subtropical mountain ecosystem. CATENA 2020, 193, 104663. [Google Scholar] [CrossRef]
- Hou, E.Q.; Chen, C.R.; Kuang, Y.W.; Zhang, Y.G.; Heenan, M.; Wen, D.Z. A structural equation model analysis of phosphorus transformations in global unfertilized and uncultivated soils. Glob. Biogeochem. Cycles 2016, 30, 1300–1309. [Google Scholar] [CrossRef]
- Yang, Z.Y.; Huang, Y.J.; Li, Y.G.; Han, Z.L.; Zhang, S.J.; Zhang, Q.; Ma, X.X.; Jing, C.Q.; Gao, Y.Z.; Zhou, X.B.; et al. Patch size indirectly influences the distribution characteristics of phosphorus fractions in temperate desert moss crust soils. CATENA 2025, 251, 108821. [Google Scholar] [CrossRef]
- Gao, X.Y.; Shi, D.Y.; Lv, A.M.; Wang, S.Y.; Yuan, S.L.; Zhou, P.; An, Y. Increase phosphorus availability from the use of alfalfa (Medicago sativa L.) green manure in rice (Oryza sativa L.) agroecosystem. Sci. Rep. 2016, 6, 36981. [Google Scholar] [CrossRef]
- Li, C.L.; Zhang, P.; Zhang, J.J.; Zhu, P.; Wang, L.C. Forms, transformations and availability of phosphorus after 32 years of manure and mineral fertilization in a Mollisol under continuous maize cropping. Arch. Agron. Soil Sci. 2021, 67, 1256–1271. [Google Scholar] [CrossRef]
- Zhou, J.; Bing, H.J.; Wu, Y.H.; Yang, Z.J.; Wang, J.P.; Sun, H.Y.; Luo, J.; Liang, J.H. Rapid weathering processes of a 120-year-old chronosequence in the hailuogou glacier foreland, Mt. Gongga, SW China. Geoderma 2016, 267, 78–91. [Google Scholar] [CrossRef]
- Yang, X.Z.; Wei, K.; Chen, Z.H.; Chen, L.J. Soil phosphorus composition and phosphatase activities along altitudes of alpine tundra in Changbai Mountains, China. Chin. Geogr. Sci. 2016, 26, 90–98. [Google Scholar] [CrossRef]
- Mou, X.M.; Wu, Y.N.; Niu, Z.Q.; Jia, B.; Guan, Z.H.; Chen, J.; Li, H.; Cui, H.Y.; Kuzyakov, Y.; Li, X.G. Soil phosphorus accumulation changes with decreasing temperature along a 2300 m altitude gradient. Agric. Ecosyst. Environ. 2020, 301, 107050. [Google Scholar] [CrossRef]
- Rui, Y.C.; Wang, Y.F.; Chen, C.R.; Zhou, X.Q.; Wang, S.P.; Xu, Z.H.; Duan, J.C.; Kang, X.M.; Lu, S.B.; Luo, C.Y. Warming and grazing increase mineralization of organic P in an alpine meadow ecosystem of Qinghai-Tibet Plateau, China. Plant Soil 2012, 357, 73–87. [Google Scholar] [CrossRef]
- Bing, H.J.; Wu, Y.H.; Zhou, J.; Sun, H.Y.; Luo, J.; Wang, J.P.; Yu, D. Stoichiometric variation of carbon, nitrogen, and phosphorus in soils and its implication for nutrient limitation in alpine ecosystem of eastern tibetan plateau. J. Soil Sediments 2016, 16, 405–416. [Google Scholar] [CrossRef]
- Feudis, M.D.; Cardelli, V.; Massaccesi, L.; Bol, R.; Willbold, S.; Cocco, S.; Corti, G.; Agnelli, A. Effect of beech (Fagus sylvatica L.) rhizosphere on phosphorous availability in soils at different altitudes (Central Italy). Geoderma 2016, 276, 53–63. [Google Scholar] [CrossRef]
- Almeida, D.S.; Menezes-Blackburn, D.; Turner, B.L.; Wearing, C.; Haygarth, P.M.; Rosolem, C.A. Urochloa ruziziensis cover crop increases the cycling of soil inositol phosphates. Biol. Fertil. Soils 2018, 54, 935–947. [Google Scholar] [CrossRef]
- Li, F.Y.; Yuan, C.Y.; Yuan, Z.Q.; You, Y.J.; Hu, X.F.; Wang, S.; Li, G.Y. Bioavailable phosphorus distribution in alpine meadow soil is affected by topography in the Tian Shan Mountains. J. Mt. Sci. 2020, 17, 410–422. [Google Scholar] [CrossRef]
- Huang, D.H.; Zhou, L.L.; Fan, H.M.; Jia, Y.F.; Liu, M.B. Responses of aggregates and associated soil available phosphorus, and soil organic matter in different slope aspects, to seasonal freeze–thaw cycles in Northeast China. Geoderma 2021, 392, 115002. [Google Scholar] [CrossRef]
- Vincent, A.G.; Turner, B.L.; Tanner, E.V.J. Soil organic phosphorus dynamics following perturbation of litter cycling in a tropical moist forest. Eur. J. Soil Sci. 2010, 61, 48–57. [Google Scholar] [CrossRef]
- Doolette, A.L.; Smernik, R.J.; McLaren, T.I. The composition of organic phosphorus in soils of the Snowy Mountains region of south-eastern Australia. Soil Res. 2017, 55, 10–18. [Google Scholar] [CrossRef]
- Wu, Y.H.; Zhou, J.; Bing, H.J.; Sun, H.Y.; Wang, J.P. Rapid loss of phosphorus during early pedogenesis along a glacier retreat choronosequence, Gongga Mountain (SW China). PeerJ 2015, 3, e1377. [Google Scholar] [CrossRef]
- Jiang, L.; He, Y.J.; Liu, J.F.; Xing, H.H.; Gu, Y.J.; Wei, C.S.; Zhu, Z.Y.; Wang, X.L. Elevation gradient altered soil C, N, and P stoichiometry of Pinus taiwanensis forest on Daiyun Mountain. Forests 2019, 10, 1089. [Google Scholar] [CrossRef]
- Drosos, M.; Nebbioso, A.; Mazzei, P.; Vinci, G.; Spaccini, R.; Piccolo, A. A molecular zoom into soil humeome by a direct sequential chemical fractionation of soil. Sci. Total Environ. 2017, 586, 807–816. [Google Scholar] [CrossRef] [PubMed]
- Wei, K.; Chen, Z.H.; Zhang, X.P.; Liang, W.J.; Chen, L.J. Tillage effects on phosphorus composition and phosphatase activities in soil aggregates. Geoderma 2014, 217–218, 37–44. [Google Scholar] [CrossRef]
- Luo, Y.J.; Huang, L.M.; Yuan, D.G. Evolution and controls of organic phosphorus based on 31P nuclear magnetic resonance spectroscopy along a 2-million-year tropical soil chronosequence in northern Hainan Island, China. J. Soil Sediments 2024, 24, 2268–2279. [Google Scholar] [CrossRef]
- Xin, X.L.; Zhang, X.F.; Chu, W.Y.; Mao, J.D.; Yang, W.L.; Zhu, A.N.; Zhang, J.B.; Zhong, X.Y. Characterization of fluvo-aquic soil phosphorus affected by long-term fertilization using solution 31P NMR spectroscopy. Sci. Total Environ. 2019, 692, 89–97. [Google Scholar] [CrossRef]
- Turner, B.L.; Mahieu, N.; Condron, L.M.; Chen, C.R. Quantification and bioavailability of scyllo-inositol hexakisphosphate in pasture soils. Soil Boil. Biochem. 2005, 37, 2155–2158. [Google Scholar] [CrossRef]
- Liu, J.; Sui, P.; Cade-Menun, B.J.; Hu, Y.F.; Yang, J.J.; Huang, S.M.; Ma, Y.B. Molecular-level understanding of phosphorus transformation with long-term phosphorus addition and depletion in an alkaline soil. Geoderma 2019, 353, 116–124. [Google Scholar] [CrossRef]
- Wang, H.; Ye, W.H.; He, W.; Guo, Z.X.; Hu, G.Q.; Lou, Y.H.; Yang, Q.G.; Yang, Z.C.; Sun, Y.J.; Pan, H.; et al. Phosphorus addition increases soil organic matter priming in a coastal saline soil. Soil Biol. Biochem. 2025, 208, 109862. [Google Scholar] [CrossRef]
- Lieberman, H.P.; Sperber, V.C.; Kallenbach, C.M. Soil Phosphorus Dynamics are an Overlooked but Dominant Control on Mineral-Associated Organic Matter. Glob. Change Biol. 2025, 31, e70307. [Google Scholar] [CrossRef]
- Zhang, W.Q.; Zhu, X.L.; Jin, X.; Meng, X.; Tang, W.Z.; Shan, B.Q. Evidence for organic phosphorus activation and transformation at the sediment-water interface during plant debris decomposition. Sci. Total Environ. 2017, 583, 458–465. [Google Scholar] [CrossRef]
- Wang, Y.; Chen, X.; Li, C.; Kong, M.; Tian, Y.; Wang, X.; Ji, Y.; Zhang, L.; Huang, X.S. Organic carbon facilitates the release of organic phosphorus by converting stable organic phosphorus into bioavailable forms in eutrophic sediments. J. Environ. Sci. 2025, 158, 165–178. [Google Scholar] [CrossRef] [PubMed]








| Treatment | EPt | Pi | Po | |||||||||
|---|---|---|---|---|---|---|---|---|---|---|---|---|
| Ortho | Pyro | Monoesters | Diesters | |||||||||
| myo-IHP | scyllo-IHP | α-Glyc | β-Glyc | Nucl | Pchol | Others | DNA | Others | ||||
| Proportion (%) | ||||||||||||
| 4400 | 68.1 ± 2.11 b | 17.0 ± 2.20 b | 2.34 ± 0.81 b | 7.04 ± 1.60 c | 1.58 ± 0.36 c | 6.59 ± 0.22 c | 4.16 ± 1.34 ab | 1.83 ± 0.37 cd | 1.10 ± 0.25 b | 51.1 ± 4.61 a | 1.86 ± 0.30 bc | 5.44 ± 1.00 ab |
| 4500 | 78.2 ± 0.89 a | 15.8 ± 1.80 b | 1.89 ± 0.49 b | 10.9 ± 2.34 b | 3.00 ± 0.31 b | 8.16 ± 1.48 bc | 3.59 ± 0.52 bc | 2.17 ± 0.22 bc | 1.21 ± 0.16 ab | 48.0 ± 2.60 a | 1.53 ± 0.46 c | 3.71 ± 1.14 b |
| 4650 | 79.0 ± 3.32 a | 15.7 ± 0.57 b | 2.16 ± 0.24 b | 15.4 ± 0.65 a | 4.18 ± 0.91 a | 9.51 ± 0.97 b | 4.62 ± 0.50 ab | 2.66 ± 0.70 ab | 1.46 ± 0.18 a | 37.4 ± 1.73 bc | 2.04 ± 0.31 bc | 4.89 ± 1.13 ab |
| 4800 | 81.4 ± 0.94 a | 15.2 ± 0.99 b | 2.49 ± 0.34 b | 16.7 ± 0.57 a | 4.27 ± 0.19 a | 12.9 ± 0.61 a | 5.28 ± 0.33 a | 3.24 ± 0.58 a | 1.21 ± 0.14 ab | 30.2 ± 3.16 c | 2.94 ± 0.39 a | 5.55 ± 0.84 a |
| 4950 | 69.4 ± 2.75 b | 17.2 ± 0.66 b | 1.88 ± 0.58 b | 14.7 ± 2.17 a | 4.58 ± 0.08 a | 7.15 ± 0.95 c | 4.30 ± 0.62 ab | 3.24 ± 0.10 a | 0.69 ± 0.10 c | 39.2 ± 2.88 b | 3.13 ± 0.73 a | 3.89 ± 0.34 ab |
| 5200 | 31.0 ± 0.78 c | 42.1 ± 7.75 a | 3.52 ± 0.35 a | 5.81 ± 0.22 c | 1.54 ± 0.33 c | 3.74 ± 0.94 d | 2.72 ± 0.41 c | 1.35 ± 0.05 a | 0.53 ± 0.15 c | 32.2 ± 6.83 bc | 2.40 ± 0.41 ab | 4.06 ± 0.83 ab |
| Concentrations (mg kg−1) | ||||||||||||
| 4400 | 267.0 ± 5.93 d | 45.3 ± 5.06 c | 6.21 ± 2.04 b | 18.8 ± 4.14 d | 4.22 ± 0.96 c | 17.6 ± 0.52 d | 11.0 ± 3.39 d | 4.89 ± 0.92 d | 2.95 ± 0.71 c | 136.5 ± 15.1 b | 4.95 ± 0.70 b | 14.6 ± 3.01 b |
| 4500 | 356.1 ± 10.3 c | 56.2 ± 4.97 bc | 6.70 ± 1.65 b | 38.9 ± 9.32 c | 10.7 ± 1.42 b | 29.2 ± 6.13 bc | 12.8 ± 2.16 cd | 7.76 ± 1.01 c | 4.32 ± 0.69 b | 170.9 ± 5.00 a | 5.43 ± 1.54 b | 13.2 ± 3.99 bc |
| 4650 | 369.8 ± 5.93 bc | 57.9 ± 1.52 b | 8.01 ± 1.01 ab | 57.0 ± 1.62 b | 15.4 ± 3.18 a | 35.2 ± 3.81 b | 17.1 ± 1.65 b | 9.81 ± 2.45 bc | 5.40 ± 0.65 a | 138.4 ± 7.70 b | 7.55 ± 1.27 b | 18.1 ± 4.49 ab |
| 4800 | 417.8 ± 10.3 a | 63.7 ± 5.41 b | 10.4 ± 1.64 a | 69.6 ± 2.92 a | 17.9 ± 1.15 a | 54.0 ± 3.12 a | 22.1 ± 1.90 a | 13.6 ± 2.74 a | 5.07 ± 0.44 ab | 125.9 ± 10.5 b | 12.3 ± 1.89 a | 23.2 ± 3.98 a |
| 4950 | 376.7 ± 10.3 b | 64.8 ± 2.51 b | 7.08 ± 2.29 b | 55.4 ± 8.27 b | 17.2 ± 0.22 a | 26.9 ± 3.45 c | 16.2 ± 1.88 bc | 12.2 ± 0.05 ab | 2.61 ± 0.32 c | 147.8 ± 13.0 b | 11.8 ± 2.96 a | 14.7 ± 1.12 b |
| 5200 | 201.9 ± 10.3 e | 84.6 ± 12.2 a | 7.13 ± 1.06 b | 11.7 ± 1.05 d | 3.10 ± 0.66 c | 7.55 ± 1.86 e | 5.53 ± 1.12 e | 2.72 ± 0.04 d | 1.07 ± 0.24 d | 65.4 ± 15.7 c | 4.88 ± 1.07 b | 8.32 ± 1.92 c |
Disclaimer/Publisher’s Note: The statements, opinions and data contained in all publications are solely those of the individual author(s) and contributor(s) and not of MDPI and/or the editor(s). MDPI and/or the editor(s) disclaim responsibility for any injury to people or property resulting from any ideas, methods, instructions or products referred to in the content. |
© 2025 by the authors. Licensee MDPI, Basel, Switzerland. This article is an open access article distributed under the terms and conditions of the Creative Commons Attribution (CC BY) license (https://creativecommons.org/licenses/by/4.0/).
Share and Cite
Cao, Z.; Liu, Z.; Li, X.; Li, C.; Zong, N.; Zhang, J.; He, N. Distribution of Phosphorus Forms Along the Altitude Gradient in the Soil of the Qinghai–Tibetan Plateau and the Influencing Factors. Agronomy 2025, 15, 2474. https://doi.org/10.3390/agronomy15112474
Cao Z, Liu Z, Li X, Li C, Zong N, Zhang J, He N. Distribution of Phosphorus Forms Along the Altitude Gradient in the Soil of the Qinghai–Tibetan Plateau and the Influencing Factors. Agronomy. 2025; 15(11):2474. https://doi.org/10.3390/agronomy15112474
Chicago/Turabian StyleCao, Zhiyuan, Zhan Liu, Xueting Li, Cuilan Li, Ning Zong, Jinjing Zhang, and Nianpeng He. 2025. "Distribution of Phosphorus Forms Along the Altitude Gradient in the Soil of the Qinghai–Tibetan Plateau and the Influencing Factors" Agronomy 15, no. 11: 2474. https://doi.org/10.3390/agronomy15112474
APA StyleCao, Z., Liu, Z., Li, X., Li, C., Zong, N., Zhang, J., & He, N. (2025). Distribution of Phosphorus Forms Along the Altitude Gradient in the Soil of the Qinghai–Tibetan Plateau and the Influencing Factors. Agronomy, 15(11), 2474. https://doi.org/10.3390/agronomy15112474

