Impact of the Association of Maize with Native Beans on the Morphological Growth, Yield, and Nutritional Composition of Forage Intended for Silage in the Peruvian Amazon
Abstract
1. Introduction
2. Materials and Methods
2.1. Description of the Research Area
2.2. Obtaining Plant Material
2.3. Experimental Design
2.4. Crop Installation
2.5. Evaluation of Indicators
2.5.1. Morphological Parameters
2.5.2. Yield Parameters
2.5.3. Nutritional Composition
2.6. Statistical Analysis
3. Results
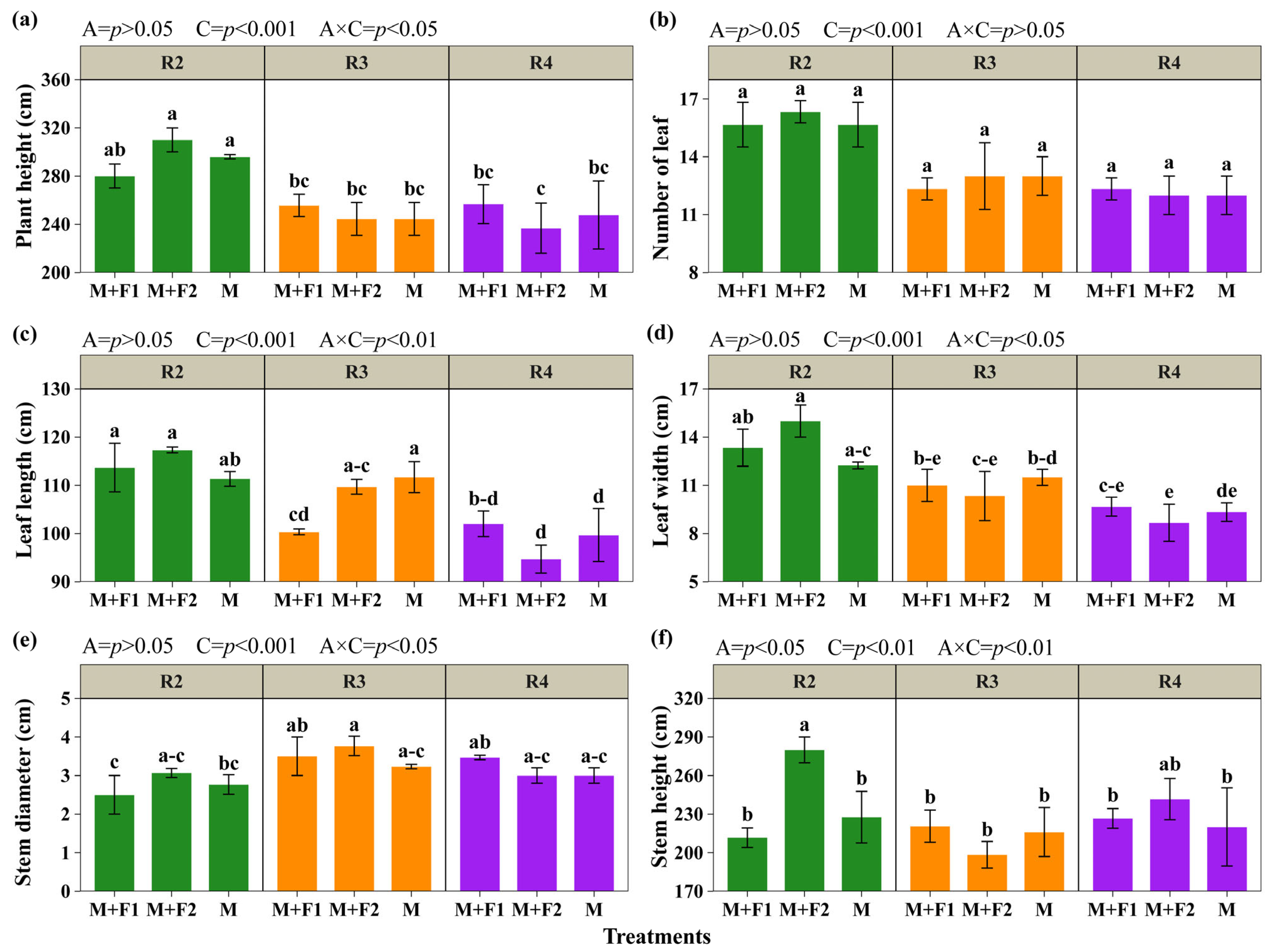
3.1. Morphological Parameters
3.1.1. Bean Evaluation
3.1.2. Maize Evaluation
3.2. Yield Parameters
3.2.1. Percentage of Dry Matter
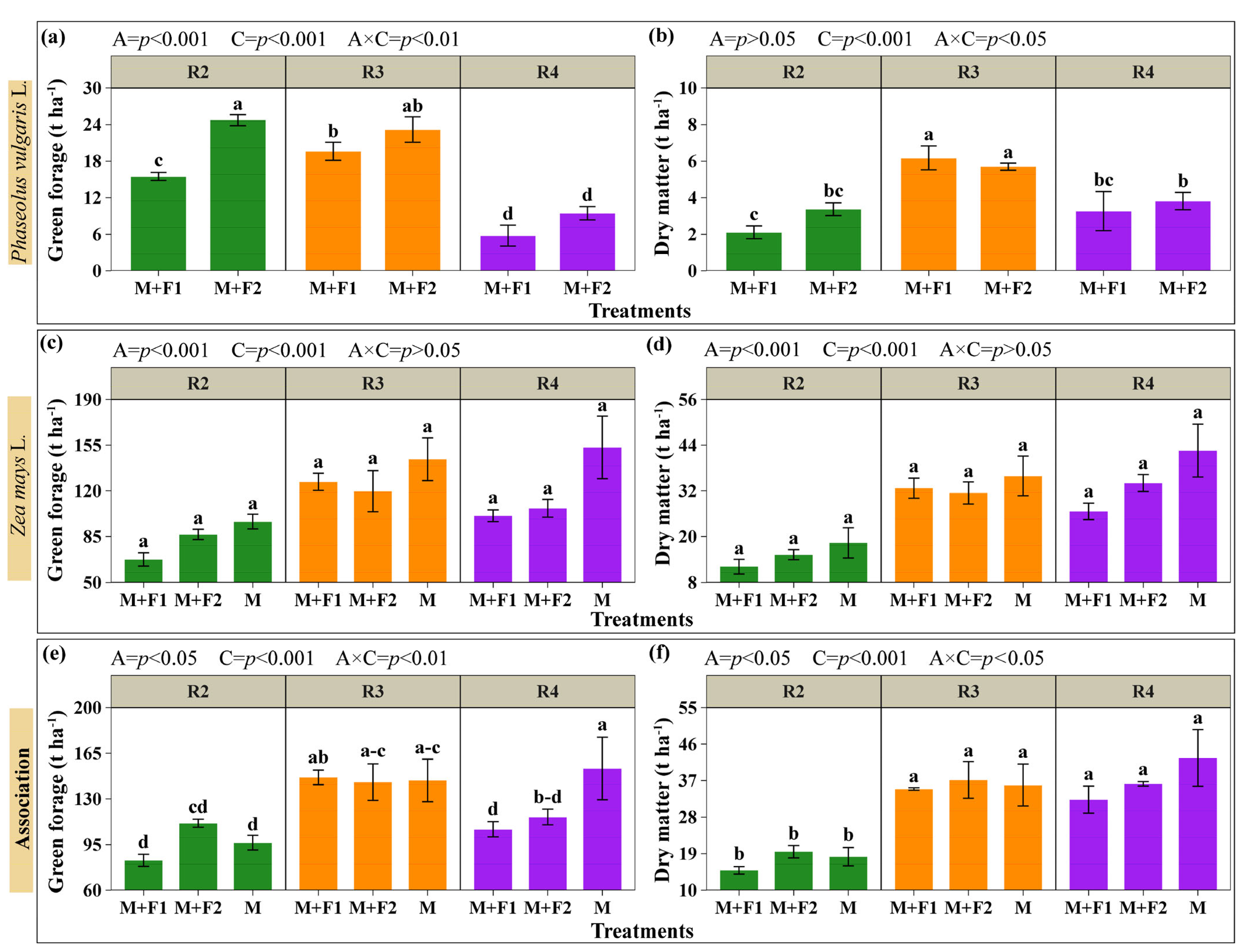
3.2.2. Green Forage and Dry Matter
3.3. Nutritional Composition
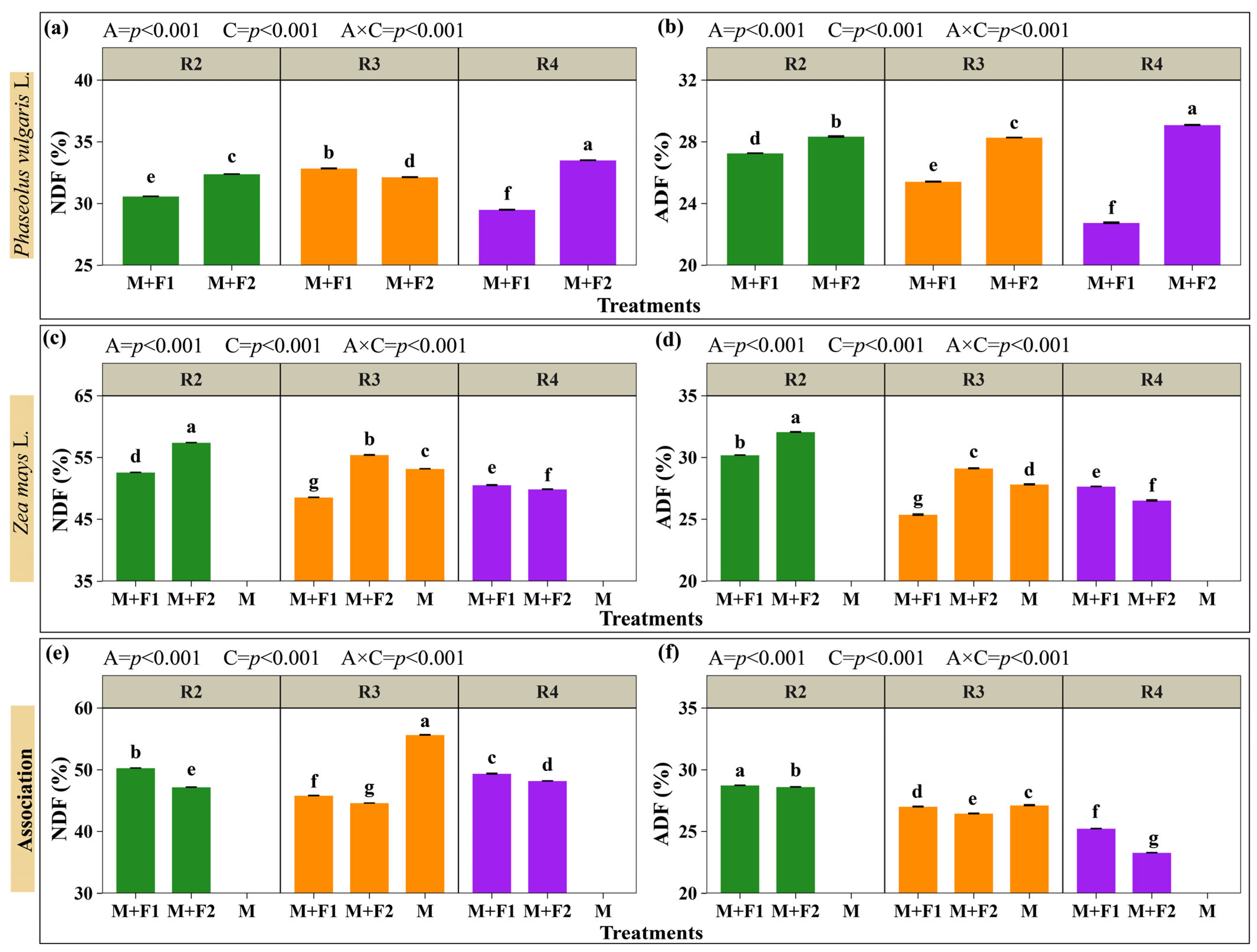
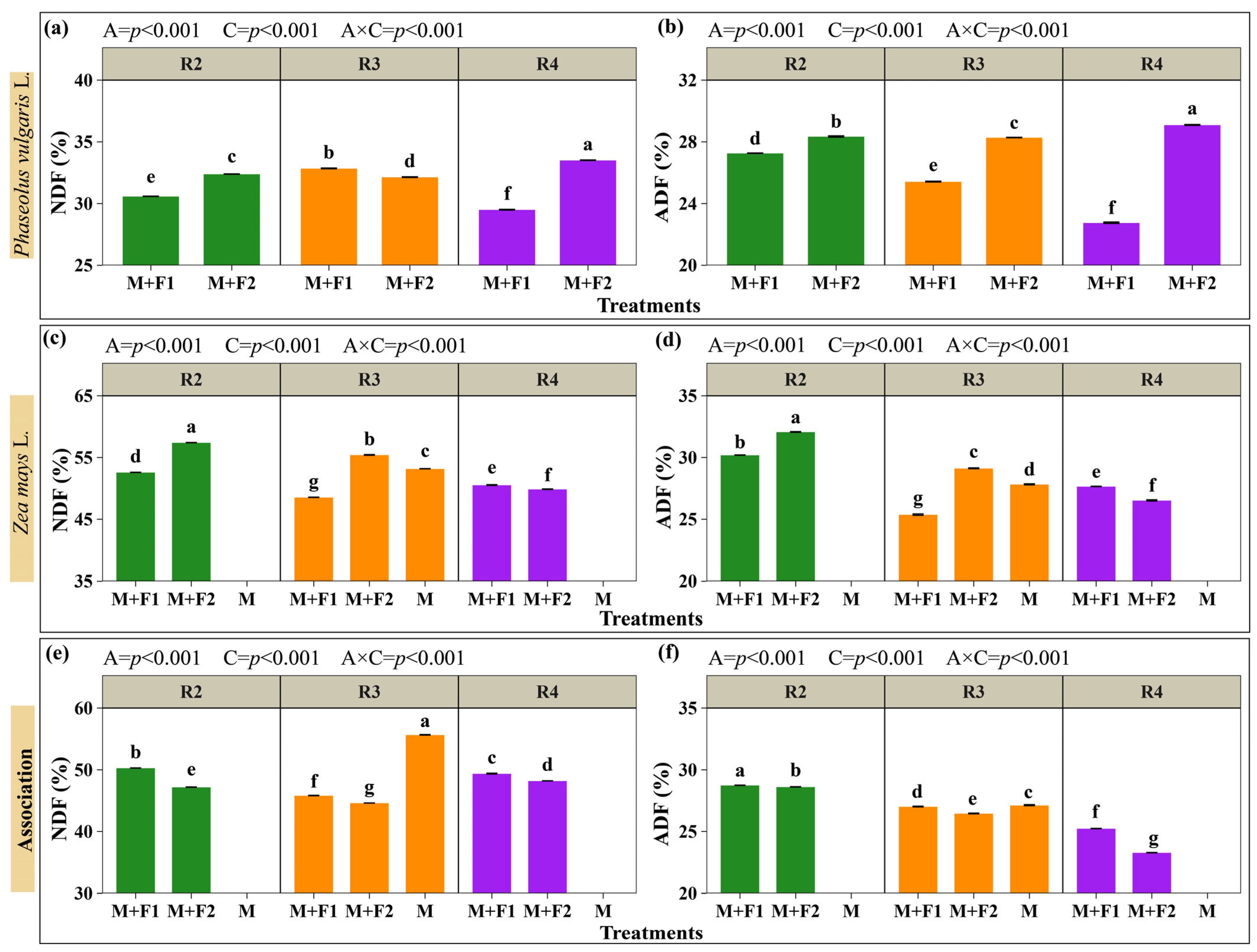
3.3.1. Neutral Detergent Fiber and Acid Detergent Fiber
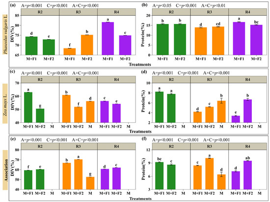
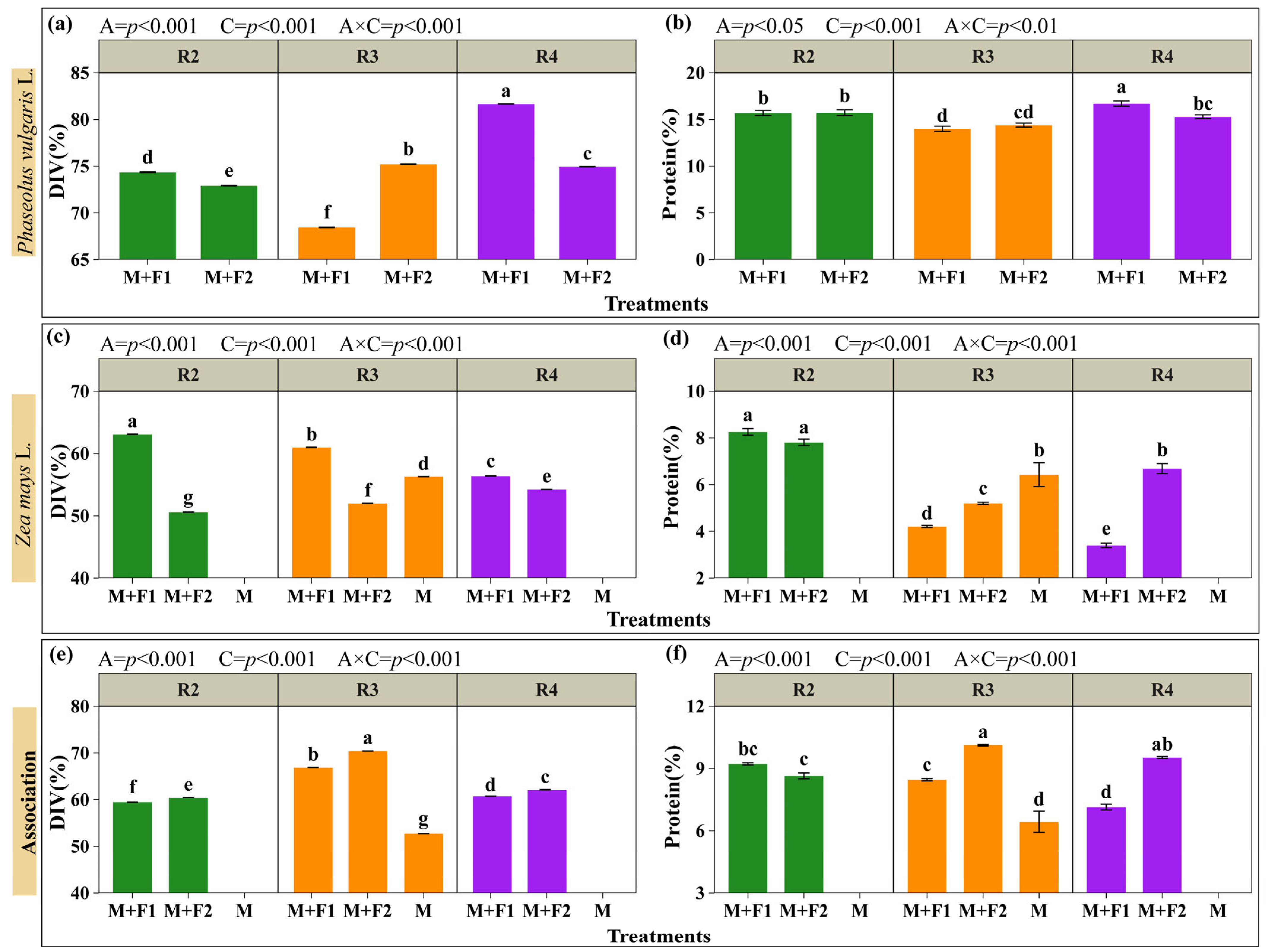
3.3.2. Digestibility and Protein
4. Discussion
5. Conclusions
Supplementary Materials
Author Contributions
Funding
Data Availability Statement
Conflicts of Interest
References
- Organización de las Naciones Unidas para la Alimentación y la Agricultura (FAO). FAOSTAT-Cultivos y Productos de Ganadería. Available online: https://www.fao.org/faostat/es/#data/QCL/visualize (accessed on 23 September 2025).
- Ministerio de Desarrollo Agrario y Riego (MIDAGRI). Perfil Competitivo de las Principales Especies y Productos Pecuarios. Available online: https://app.powerbi.com/view?r=eyJrIjoiYWM0MDIwYTktNTk3MS00OTc3LThiZTgtZjRmN2ZhMmZlNjVlIiwidCI6IjdmMDg0NjI3LTdmNDAtNDg3OS04OTE3LTk0Yjg2ZmQzNWYzZiJ9&pageName=ReportSection (accessed on 23 September 2025).
- Ferraretto, L.F.; Shaver, R.D.; Luck, B.D. Silage review: Recent advances and future technologies for whole-plant and fractionated corn silage harvesting. J. Dairy Sci. 2018, 101, 3937–3951. [Google Scholar] [CrossRef]
- Oliva, M.; Collazos, R.; Vásquez, H.; Rubio, K.; Maicelo, J. Composición florística de especies herbáceas forrajeras en praderas naturales de las principales microcuencas ganaderas de la región Amazonas. Sci. Agropecu. 2019, 10, 109–117. [Google Scholar] [CrossRef]
- Hemingway, C.; Ruiz, L.; Vigne, M.; Aubron, C. The changing role of livestock in agrarian systems: A historical and multifunctional perspective from southern India. Agron. Sustain. Dev. 2025, 45, 7. [Google Scholar] [CrossRef]
- Postigo, J.C.; Young, K.R.; Crews, K.A. Change and continuity in a pastoralist community in the high Peruvian Andes. Hum. Ecol. 2008, 36, 535–551. [Google Scholar] [CrossRef]
- Radolf, M.; Wurzinger, M.; Gutiérrez, G. Livelihood and production strategies of livestock keepers and their perceptions on climate change in the Central Peruvian Andes. Small Rumin. Res. 2022, 215, 106763. [Google Scholar] [CrossRef]
- Alvarez-García, W.; Muñoz-Vílchez, Y.; Figueroa, D.; Estrada, R.; Quilcate, C. A review of sustainable cattle genetic improvement in the Peruvian Highlands. Vet. Anim. Sci. 2025, 27, 100427. [Google Scholar] [CrossRef]
- Gilardino, A.; Quispe, I.; Pacheco, M.; Bartl, K. Comparison of different methods for consideration of multifunctionality of Peruvian dairy cattle in life cycle assessment. Livest. Sci. 2020, 240, 104151. [Google Scholar] [CrossRef]
- Ponnampalam, E.N.; Priyashantha, H.; Vidanarachchi, J.K.; Kiani, A.; Holman, B.W.B. Effects of nutritional factors on fat content, fatty acid composition, and sensorial properties of meat and milk from domesticated ruminants: An overview. Animals 2024, 14, 840. [Google Scholar] [CrossRef]
- Lee, M.A.; Davis, A.P.; Chagunda, M.G.G.; Manning, P. Forage quality declines with rising temperatures, with implications for livestock production and methane emissions. Biogeosciences 2017, 14, 1403–1417. [Google Scholar] [CrossRef]
- Hadush, M. Exploring farmers’ seasonal and full year adoption of stall feeding of livestock in Tigrai region, Ethiopia. Econ. Agric. 2017, 64, 919–944. [Google Scholar] [CrossRef]
- Stür, W.; Khanh, T.T.; Duncan, A. Transformation of smallholder beef cattle production in Vietnam. Int. J. Agric. Sustain. 2013, 11, 363–381. [Google Scholar] [CrossRef]
- Gomes, V.C.; Meirelles, P.R.L.; Costa, C.; Barros, J.S.; Castilhos, A.M.; Souza, D.M.; Tardivo, R.; Pariz, C.M. Production and quality of corn silage with forage and pigeon peas in a crop-livestock system. Semin. Ciênc. Agrár. 2021, 42, 861–876. [Google Scholar] [CrossRef]
- Cañete, D.C.; Alvarez, T.S. Commercialization of green corn-based silage production for dairy in Cagayan Valley: Profitability and viability assessment. Univers. J. Agric. Res. 2021, 9, 79–90. [Google Scholar] [CrossRef]
- Ahmed, S.; Grecchi, I.; Ficuciello, V.; Bacciu, N.; Minuti, A.; Bani, P. Effects of hybrid and maturity stage on in vitro rumen digestibility of immature corn grain. Ital. J. Anim. Sci. 2014, 13, 3149. [Google Scholar] [CrossRef]
- Franco, S.; Pancino, B.; Martella, A.; De Gregorio, T. Assessing the presence of a monoculture: From definition to quantification. Agriculture 2022, 12, 1506. [Google Scholar] [CrossRef]
- Demirdogen, A.; Guldal, H.T.; Sanli, H. Monoculture, crop rotation policy, and fire. Ecol. Econ. 2023, 203, 107611. [Google Scholar] [CrossRef]
- Crews, T.E.; Carton, W.; Olsson, L. Is the future of agriculture perennial? Imperatives and opportunities to reinvent agriculture by shifting from annual monocultures to perennial polycultures. Glob. Sustain. 2018, 1, e11. [Google Scholar] [CrossRef]
- Figuerola, E.L.; Guerrero, L.D.; Türkowsky, D.; Wall, L.G.; Erijman, L. Crop monoculture rather than agriculture reduces the spatial turnover of soil bacterial communities at a regional scale. Environ. Microbiol. 2015, 17, 678–688. [Google Scholar] [CrossRef]
- Dietrich, P.; Roeder, A.; Cesarz, S.; Eisenhauer, N.; Ebeling, A.; Schmid, B.; Schulze, E.-D.; Wagg, C.; Weigelt, A.; Roscher, C. Nematode communities, plant nutrient economy and life-cycle characteristics jointly determine plant monoculture performance over 12 years. Oikos 2020, 129, 466–479. [Google Scholar] [CrossRef]
- Suarez, A.; Gwozdz, W. On the relation between monocultures and ecosystem services in the Global South: A review. Biol. Conserv. 2023, 278, 109870. [Google Scholar] [CrossRef]
- Dhakal, D.; Islam, M.A. Grass–legume mixtures for improved soil health in cultivated agroecosystem. Sustainability 2018, 10, 2718. [Google Scholar] [CrossRef]
- Nyfeler, D.; Huguenin-Elie, O.; Frossard, E.; Lüscher, A. Effects of legumes and fertilizer on nitrogen balance from intact leys and after tilling for subsequent crop. Agric. Ecosyst. Environ. 2024, 360, 108776. [Google Scholar] [CrossRef]
- Phelan, P.; Moloney, A.P.; McGeough, E.J.; Humphreys, J.; Bertilsson, J.; O’Riordan, E.G.; O’Kiely, P. Forage legumes for grazing and conserving in ruminant production systems. Crit. Rev. Plant Sci. 2014, 34, 281–326. [Google Scholar] [CrossRef]
- Husse, S.; Lüscher, A.; Buchmann, N.; Hoekstra, N.J.; Huguenin-Elie, O. Effects of mixing forage species contrasting in vertical and temporal nutrient capture on nutrient yields and fertilizer recovery in productive grasslands. Plant Soil 2017, 420, 505–521. [Google Scholar] [CrossRef]
- Liu, Y.; Stomph, T.J.; Zhang, F.; Li, C.; van der Werf, W. Nitrogen Input Strategies Impact Fertilizer Nitrogen Saving by Intercropping: A Global Meta-Analysis. Field Crops Res. 2024, 318, 109607. [Google Scholar] [CrossRef]
- Tahir, M.; Li, C.; Zeng, T.; Xin, Y.; Chen, C.; Javed, H.H.; Yang, W.; Yan, Y. Mixture composition influenced the biomass yield and nutritional quality of legume–grass pastures. Agronomy 2022, 12, 1449. [Google Scholar] [CrossRef]
- Schmitt, M.B.; Berti, M.; Samarappuli, D.; Ransom, J.K. Factors affecting the establishment and growth of cover crops intersown into maize (Zea mays L.). Agronomy 2021, 11, 712. [Google Scholar] [CrossRef]
- Vásquez, H.V.; Valqui, L.; Valqui-Valqui, L.; Bobadilla, L.G.; Reyna, M.; Maravi, C.; Pajares, N.; Altamirano-Tantalean, M.A. Influence of nitrogen fertilization and cutting dynamics on the yield and nutritional composition of white clover (Trifolium repens L.). Plants 2025, 14, 2765. [Google Scholar] [CrossRef]
- Liu, X.; Li, D.; Ge, Q.; Yang, B.; Li, S. Effects of harvest period and mixed ratio on the characteristic and quality of mixed silage of alfalfa and maize. Anim. Feed. Sci. Technol. 2023, 306, 115796. [Google Scholar] [CrossRef]
- Ministerio de Desarrollo Agrario y Riego (MIDAGRI). Decreto Supremo N.º 013-2010-AG. Reglamento para la Ejecución de Levantamiento de Suelos. Available online: https://www.midagri.gob.pe/portal/download/pdf/marcolegal/normaslegales/decretossupremos/2010/ds13-2010-ag.pdf (accessed on 23 September 2025).
- Oliva-Cruz, M.; Cabañas-López, J.R.; Altamirano-Tantalean, M.A.; Juarez-Contreras, L.; Vigo, C.N. Agronomic behavior of peanut (Arachis hypogaea L.) cultivars under three planting densities in the northeast of Peru. Agronomy 2024, 14, 1905. [Google Scholar] [CrossRef]
- Estación Experimental Agraria Baños del Inca–Cajamarca. Maíz INIA 604—Morocho: Primera Variedad Mejorada de Maíz Morocho para la Sierra del Perú. Available online: https://repositorio.inia.gob.pe/handle/20.500.12955/698 (accessed on 23 September 2025).
- Instituto Nacional de Innovación Agraria (INIA). Detalle de la Accesión: PER1003544. Available online: https://genebankperu.inia.gob.pe/detalle?type=4&var=3889 (accessed on 23 September 2025).
- Instituto Nacional de Innovación Agraria (INIA). Detalle de la Accesión: PER1003551. Available online: https://genebankperu.inia.gob.pe/detalle?type=4&var=3896 (accessed on 23 September 2025).
- Yasin, S.; Zavala-García, F.; Niño-Medina, G.; Rodríguez-Salinas, P.A.; Gutiérrez-Diez, A.; Sinagawa-García, S.R.; Lugo-Cruz, E. Morphological and physiological response of maize (Zea mays L.) to drought stress during reproductive stage. Agronomy 2024, 14, 1718. [Google Scholar] [CrossRef]
- Marcos Solorio, B.; Martínez Campos, Á.R.; López Urquídez, G.A.; López Orona, C.A.; Arteaga Reyes, T.T. La biomasa de los sistemas productivos de maíz nativo (Zea mays) como alternativa a la captura de carbono. Rev. Int. Contam. Ambient. 2016, 32, 361–367. [Google Scholar] [CrossRef]
- Vásquez, H.V.; Valqui, L.; Bobadilla, L.G.; Meseth, E.; Trigoso, M.J.; Zagaceta, L.H.; Valqui-Valqui, L.; Saravia-Navarro, D.; Barboza, E.; Maicelo, J.L. Agronomic and nutritional evaluation of INIA 910—Kumymarca ryegrass (Lolium multiflorum Lam.): An alternative for sustainable forage production in the Department of Amazonas (NW Peru). Agronomy 2025, 15, 100. [Google Scholar] [CrossRef]
- Horwitz, W.; Latimer, G.W. (Eds.) Official Methods of Analysis of AOAC International, 18th ed.; AOAC International: Gaithersburg, MD, USA, 2005; Available online: https://www.researchgate.net/publication/292783651_AOAC_2005 (accessed on 23 September 2025).
- ANKOM Technology. ANKOM A200 Fiber Analyzer. Available online: https://www.ankom.com/ (accessed on 16 June 2025).
- ANKOM Technology. Method 3: In Vitro True Digestibility Using the ANKOM DAISYII Incubator; ANKOM Technology: Macedon, NY, USA, 2005; Available online: https://www.ankom.com/sites/default/files/2024-08/Method_3_InVitro_D200_D200I.pdf (accessed on 16 June 2025).
- R Core Team. R: The R Project for Statistical Computing. Available online: https://www.r-project.org/ (accessed on 16 June 2025).
- de Mendiburu, F. agricolae: Statistical Procedures for Agricultural Research. Available online: https://CRAN.R-project.org/package=agricolae (accessed on 16 June 2025).
- Wickham, H. ggplot2: Elegant Graphics for Data Analysis; Springer: New York, NY, USA, 2016; Available online: https://ggplot2.tidyverse.org (accessed on 16 June 2025).
- Lin, Y.; Watts, D.B.; Kloepper, J.W.; Torbert, H.A. Influence of plant growth-promoting rhizobacteria on corn growth under different fertility sources. Commun. Soil Sci. Plant Anal. 2018, 49, 1239–1255. [Google Scholar] [CrossRef]
- Fan, J.; Zhou, J.; Wang, B.; de Leon, N.; Kaeppler, S.M.; Lima, D.C.; Zhang, Z. Estimation of maize yield and flowering time using multi-temporal UAV-based hyperspectral data. Remote Sens. 2022, 14, 3052. [Google Scholar] [CrossRef]
- Koca, Y.O.; Erekul, O. Changes of dry matter, biomass and relative growth rate with different phenological stages of corn. Agric. Agric. Sci. Procedia 2016, 10, 67–75. [Google Scholar] [CrossRef][Green Version]
- Raju, S.G.; Larkin, A. Optimizing French bean growth with organic manures in agroforestry and open systems. Int. J. Plant Soil Sci. 2025, 37, 85–90. [Google Scholar] [CrossRef]
- Sánchez, H.A.; Tadeo Robledo, M.; Espinosa Calderón, A.; Zaragoza Esparza, J.; López López, C. Productividad del agua y rendimiento de maíz bajo diferente disponibilidad de humedad. Rev. Mex. Cienc. Agrícolas 2020, 11, 1005–1016. [Google Scholar] [CrossRef]
- Lince Salazar, L.A.; Sadeghian-Khalajabadi, S.; Sarmiento Herrera, N.G. Evaluación de parámetros relacionados con el crecimiento de plantas de café (Coffea arabica L.) en respuesta al déficit hídrico del suelo. Rev. Investig. Agrar. Ambient. 2024, 15, 11–34. [Google Scholar] [CrossRef]
- Tuller, M.; Or, D. Water films and scaling of soil characteristic curves at low water contents. Water Resour. Res. 2005, 41, W09403. [Google Scholar] [CrossRef]
- Nakamura, R.R. Maternal investment and fruit abortion in Phaseolus vulgaris. Am. J. Bot. 1986, 73, 1049–1057. [Google Scholar] [CrossRef]
- Manson, J.B.; Denton, M.D.; Lake, L.; Brand, J.; Sadras, V.O. Linking pod-set and seed yield of faba bean across organ, phytomer, plant, and population scales. J. Exp. Bot. 2025, 76, 4472–4489. [Google Scholar] [CrossRef]
- Ma’Ruf, M.A.; Numba, S.; Suriyanti, S.; Tjoneng, A. Pertumbuhan dan produksi tumpang sari tanaman jagung (Zea mays L.) dan tanaman kedelai (Glycine max L.). AGrotekMAS J. Indones. J. Ilmu Pertan. 2024, 5, 349–355. [Google Scholar] [CrossRef]
- Davis, J.H.C.; Garcia, S. The effects of plant arrangement and density on intercropped beans (Phaseolus vulgaris L.) and maize I. Traits related to dry matter and seed productivity. Field Crops Res. 1987, 16, 105–115. [Google Scholar] [CrossRef]
- Shahniza, S.S.; Mohd Firdaus, I.; Roslan, I. Effect of time of application and concentrations of plant growth regulators on growth and yield of sweet corn (Zea mays L.). Res. Crops 2020, 21, 46–53. [Google Scholar] [CrossRef]
- Aguiar, A.C.M.; Basso, C.J.; Silva, D.R.O.; Gheller, D.P.; Novello, B.D.; Rieder, E. Relative competitiveness of common bean cultivars in coexistence with volunteer corn. Rev. Bras. Herb. 2019, 37, 97. [Google Scholar] [CrossRef]
- Cheng, B.; Wang, L.; Liu, R.; Wang, W.; Yu, R.; Zhou, T.; Ahmad, I.; Raza, A.; Jiang, S.; Xu, M.; et al. Shade-tolerant soybean reduces yield loss by regulating its canopy structure and stem characteristics in the maize–soybean strip intercropping system. Front. Plant Sci. 2022, 13, 848893. [Google Scholar] [CrossRef]
- Ebel, R.; Pozas Cárdenas, J.G.; Soria Miranda, F.; Cruz González, J. Organic milpa: Yields of maize, beans, and squash in mono- and polycropping systems. Rev. Terra Latinoam. 2017, 35, 149–160. [Google Scholar] [CrossRef]
- Bantihun, A.; Asmare, B.; Mekuriaw, Y. Comparative Evaluation of Selected Grass Species for Agronomic Performance, Forage Yield, and Chemical Composition in the Highlands of Ethiopia. Adv. Agric. 2022, 2022, 6974681. [Google Scholar] [CrossRef]
- Adesogan, A.; Newman, Y. Silage harvesting, storing, and feeding. EDIS 2010, 2010, AG180. [Google Scholar] [CrossRef]
- Bai, C.; Wang, C.; Sun, L.; Xu, H.; Jiang, Y.; Na, N.; Yin, G.; Liu, S.; Xue, Y. Dynamics of bacterial and fungal communities and metabolites during aerobic exposure in whole-plant corn silages with two different moisture levels. Front. Microbiol. 2021, 12, 663895. [Google Scholar] [CrossRef]
- Wataradee, S.; Boonserm, T.; Samngamnim, S.; Ajariyakhajorn, K. Characterization of virulence factors and antimicrobial susceptibility of Streptococcus agalactiae associated with bovine mastitis cases in Thailand. Animals 2024, 14, 447. [Google Scholar] [CrossRef] [PubMed]
- Du, J.; Wang, X.; Luo, H.; Wang, Y.; Liu, X.; Zhou, X. Epidemiological investigation of non-albicans Candida species recovered from mycotic mastitis of cows in Yinchuan, Ningxia of China. BMC Vet. Res. 2018, 14, 251. [Google Scholar] [CrossRef] [PubMed]
- Cordukes, W.E.; Shearer, D.A.; Cooper, D.J. The effect of initial compaction and moisture content on ensiling losses of forage crops. Can. J. Plant Sci. 1959, 39, 127–134. [Google Scholar] [CrossRef]
- Lajús, C.R.; Sebben, C.; Pasqualotto, D.L.; Spode, M.R.; Sabadini, P.B.; Dalcanton, F.; da Luz, G.L.; Onofre, S.B.; Cericato, A.; Topolski Pavan Batiston, T.F. Production and nutritive value of silage corn in different reproductive stages. Int. J. Adv. Eng. Res. Sci. 2020, 7, 130–136. [Google Scholar] [CrossRef]
- Meehan, E.J.; Gilliland, T.J. Differences in dry matter content between forage varieties of Lolium perenne L. Biol. Environ. Proc. R. Ir. Acad. 2019, 119B, 123–137. [Google Scholar] [CrossRef]
- Kebede, G.; Feyissa, F.; Faji, M.; Mohammed, K.; Dejene, M.; Mengistu, G.; Geleti, D.; Assefa, G.; Alemayehu, M.; Mengistu, S.; et al. Dry matter accumulation dynamics, morphological characteristics and nutritive value of desho (Pennisetum glaucifolium) grass varieties in the central Highlands of Ethiopia. J. Agric. Environ. Sci. 2023, 8, 111–124. [Google Scholar] [CrossRef]
- Lewis-Beck, C.; Walker, V.A.; Niemi, J.; Caragea, P.; Hornbuckle, B.K. Extracting agronomic information from SMOS vegetation optical depth in the US Corn Belt using a nonlinear hierarchical model. Remote Sens. 2020, 12, 827. [Google Scholar] [CrossRef]
- Inamoto, K.; Nagasuga, K.; Yano, T. Effect of CO2 enrichment on the photosynthesis and dry matter accumulation in the oriental hybrid lily ‘Siberia’. Hortic. J. 2022, 91, 541–550. [Google Scholar] [CrossRef]
- Geren, H.; Kavut, Y.T.; Unlu, H.B. Effect of different cutting intervals on the forage yield and some silage quality characteristics of giant king grass (Pennisetum hybridum) under Mediterranean climatic conditions. Turk. J. Field Crops 2020, 25, 1–8. [Google Scholar] [CrossRef]
- Nguyen, H.T.D.; Schonewille, J.T.; Pellikaan, W.F.; Nguyen, T.X.; Hendriks, W.H. In vitro gas production of common Southeast Asian grasses in response to variable regrowth periods in Vietnam. Fermentation 2024, 10, 280. [Google Scholar] [CrossRef]
- Grøseth, M.; Karlsson, L.; Steinshamn, H.; Johansen, M.; Kidane, A.; Prestløkken, E. Effects of dry matter concentration in grass silage on milk production of dairy cows fed concentrates high or low in metabolizable protein concentration. Livest. Sci. 2025, 291, 105611. [Google Scholar] [CrossRef]
- Chowdhury, M.R.; Wilkinson, R.G.; Sinclair, L.A. Reducing dietary protein and supplementation with starch or rumen-protected methionine and its effect on performance and nitrogen efficiency in dairy cows fed a red clover and grass silage–based diet. J. Dairy Sci. 2024, 107, 3543–3557. [Google Scholar] [CrossRef] [PubMed]
- Valqui, L.; Saucedo-Uriarte, J.A.; Altamirano-Tantalean, M.A.; Bobadilla, L.G.; Portocarrero Villegas, S.M.; Bardales, W.; Frias, H.; Zagaceta Llanca, L.H.; Valqui-Valqui, L.; Puerta-Chavez, L.J.; et al. Influence of tree species on soil physicochemical composition, macrofauna, and forage production. J. Agric. Food Res. 2025, 23, 102220. [Google Scholar] [CrossRef]
- Wang, S.; Yuan, X.; Dong, Z.; Li, J.; Shao, T. Effect of ensiling corn stover with legume herbages in different proportions on fermentation characteristics, nutritive quality and in vitro digestibility on the Tibetan Plateau. Grassl. Sci. 2017, 63, 236–244. [Google Scholar] [CrossRef]








Disclaimer/Publisher’s Note: The statements, opinions and data contained in all publications are solely those of the individual author(s) and contributor(s) and not of MDPI and/or the editor(s). MDPI and/or the editor(s) disclaim responsibility for any injury to people or property resulting from any ideas, methods, instructions or products referred to in the content. |
© 2025 by the authors. Licensee MDPI, Basel, Switzerland. This article is an open access article distributed under the terms and conditions of the Creative Commons Attribution (CC BY) license (https://creativecommons.org/licenses/by/4.0/).
Share and Cite
Vásquez, H.V.; Reyna, M.; Valqui-Valqui, L.; Bobadilla, L.G.; Maicelo, J.L.; Zagaceta Llanca, L.H.; Yalta Vela, J.; Isla Pérez, J.M.; Paucar, Y.; Altamirano-Tantalean, M.A.; et al. Impact of the Association of Maize with Native Beans on the Morphological Growth, Yield, and Nutritional Composition of Forage Intended for Silage in the Peruvian Amazon. Agronomy 2025, 15, 2445. https://doi.org/10.3390/agronomy15112445
Vásquez HV, Reyna M, Valqui-Valqui L, Bobadilla LG, Maicelo JL, Zagaceta Llanca LH, Yalta Vela J, Isla Pérez JM, Paucar Y, Altamirano-Tantalean MA, et al. Impact of the Association of Maize with Native Beans on the Morphological Growth, Yield, and Nutritional Composition of Forage Intended for Silage in the Peruvian Amazon. Agronomy. 2025; 15(11):2445. https://doi.org/10.3390/agronomy15112445
Chicago/Turabian StyleVásquez, Héctor V., Manuel Reyna, Lamberto Valqui-Valqui, Leidy G. Bobadilla, Jorge L. Maicelo, Luis Homero Zagaceta Llanca, Juan Yalta Vela, José Manuel Isla Pérez, Ysai Paucar, Miguel A. Altamirano-Tantalean, and et al. 2025. "Impact of the Association of Maize with Native Beans on the Morphological Growth, Yield, and Nutritional Composition of Forage Intended for Silage in the Peruvian Amazon" Agronomy 15, no. 11: 2445. https://doi.org/10.3390/agronomy15112445
APA StyleVásquez, H. V., Reyna, M., Valqui-Valqui, L., Bobadilla, L. G., Maicelo, J. L., Zagaceta Llanca, L. H., Yalta Vela, J., Isla Pérez, J. M., Paucar, Y., Altamirano-Tantalean, M. A., & Valqui, L. (2025). Impact of the Association of Maize with Native Beans on the Morphological Growth, Yield, and Nutritional Composition of Forage Intended for Silage in the Peruvian Amazon. Agronomy, 15(11), 2445. https://doi.org/10.3390/agronomy15112445

