Effects of Combined Application of Vermicompost and Mineral Fertilizers on Melon Quality and Soil Environmental Quality
Abstract
1. Introduction
2. Materials and Methods
2.1. Experimental Design
2.2. Plant Sample Analysis
2.3. Soil Sample Analysis
2.4. Soil Microbial Sequencing
2.5. Data Processing and Analysis
3. Results
3.1. Effects of Fertilization on Sweet Melon Growth and Development
3.2. Effect of Different Fertilization Treatments on Melon Fruit Quality
3.3. Impact of Different Fertilization Treatments on Soil Fertility Quality
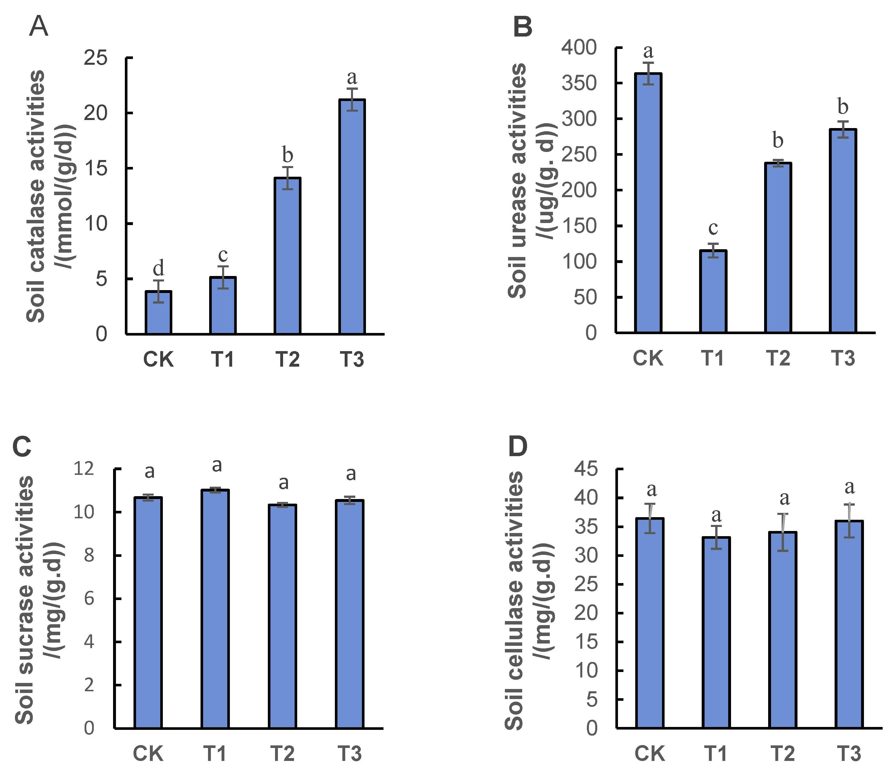
3.4. Effect of Combined Vermicompost and Mineral Fertilizer Application on Soil Enzyme Activity
3.5. Impact of Different Fertilization Treatments on Soil Bacterial Community Composition
3.6. Effect of Different Fertilization Treatments on Soil Bacterial α-Diversity
3.7. Impacts of Fertilization on the Correlations Between Melon Quality and Soil Environmental Quality
4. Discussion
4.1. Effects of Combined Vermicompost and Mineral Fertilizer Application on Melon Growth, Yield, and Quality
4.2. Effects of Combined Vermicompost and Mineral Fertilizer Application on Soil Quality
4.3. Effects of Combined Vermicompost and Mineral Fertilizer Application on the Bacterial Community Structure
4.4. Study Limitations and Future Perspectives
5. Conclusions
- Whether applied as a partial (T2) or full (T3) substitute for mineral fertilizers, vermicompost significantly increased melon yield and enhanced the contents of soluble sugars, soluble solids, and vitamin C. The complete substitution (T3) was particularly effective, increasing soluble sugar content by 28.9% compared to CK and thereby significantly improving melon flavor.
- Whether partially (T2) or fully (T3) applied as a substitute for mineral fertilizers, vermicompost significantly enhanced watermelon yield and accelerated harvest by 3–7 days, leading to greater economic benefits for growers from earlier market access.
- Whether applied as a partial (T2) or complete (T3) substitute for mineral fertilizers, vermicompost significantly enhanced the soil’s nutrient supply capacity. Particularly in the full substitution treatment (T3), the soil organic matter content increased by 2.6-fold compared to the control group (CK). Furthermore, this treatment effectively boosted both the abundance and diversity of soil microorganisms, leading to a marked improvement in the health of the soil ecosystem.
Author Contributions
Funding
Data Availability Statement
Acknowledgments
Conflicts of Interest
References
- Liu, M.; Wang, C.; Liu, X.; Lu, Y.; Wang, Y. Saline-alkali soil applied with vermicompost and humic acid fertilizer improved macroaggregate microstructure to enhance salt leaching and inhibit nitrogen losses. Appl. Soil. Ecol. 2020, 156, 103705. [Google Scholar] [CrossRef]
- Benbi, D.K.; Brar, J.S. A 25-year record of carbon sequestration and soil properties in intensive agriculture. Agron. Sustain. Dev. 2009, 29, 257–265. [Google Scholar] [CrossRef]
- Li, Y.; Li, Z.; Ma, L.; Zhang, L.; Zhou, X.; Li, H.; Wei, J.; Zheng, F.; Tan, D. Long-term application of pig manure fertiliser affects wheat yield and soil microorganism composition. Plant Soil. Environ. 2023, 69, 374–386. [Google Scholar] [CrossRef]
- Ma, H.; Lv, P.; Wang, C.; Zhou, J. Comprehensive treatment and disposal of logistics waste in China: Prospects of biomass resource conversion. BioResources 2024, 19, 1844–1864. [Google Scholar] [CrossRef]
- Crosby, K.; Marquez, S.A.; Jifon, J.L.; Leskovar, D.I.; Isakeit, T.; Singh, J.; Patil, B.S. ‘Supermelon’ and ‘flavorific’: Two new hybrid muskmelon cultivars with resistance to Monosporascus cannonballus from Texas A&M Agrilife Research. HortScience 2023, 58, 804–807. [Google Scholar]
- Sastry, K.S.; Mandal, B.; Hammond, J.; Scott, S.W.; Briddon, R.W. Cucumis melo (muskmelon or cantaloupe). In Encyclopedia of Plant Viruses and Viroids; Springer: New Delhi, India, 2019. [Google Scholar]
- Sakurai, M. Studies on enrichment of soil fertility and comprehensive design for fertilizer application in organic farming fields. Jpn. J. Soil. Sci. Plant Nutr. 2022, 93, 260–261. [Google Scholar]
- Khattak, R.A.; Haroon, K.; Muhammad, D. Mechanism(s) of humic acid induced beneficial effects in salt-affected soils. Acad. J. 2013, 8, 932–939. [Google Scholar]
- Wato, T.; Negash, T.; Andualem, A.; Bitew, A. Significance of organic and inorganic fertilizers in maintaining soil fertility and increasing crop productivity in Ethiopia: A review. Environ. Res. Commun. 2024, 6, 102002. [Google Scholar] [CrossRef]
- Sinha, R.K.; Hahn, G.; Singh, P.K.; Suhane, R.K.; Anthonyreddy, A. Organic farming by vermiculture: Producing safe, nutritive and protective foods by earthworms (Charles Darwin’s friends of farmers). Am. J. Exp. Agr. 2011, 1, 363–399. [Google Scholar] [CrossRef]
- Panjgotra, S.; Sangha, G.K. Potential role of earthworms and earthworm casts for nutrient enrichment in soils of sugarcane fields of punjab. Biochem. Cell Arch. 2024, 24, 63–72. [Google Scholar] [CrossRef]
- Gupta, A.; Singh, U.B.; Sahu, P.K.; Paul, S.; Kumar, A.; Malviya, D.; Singh, S.; Kuppusamy, P.; Singh, P.; Paul, D.; et al. Linking soil microbial diversity to modern agriculture practices: A review. Int. J. Environ. Res. Public Health 2022, 19, 3141. [Google Scholar] [CrossRef] [PubMed]
- Gutiérrez-Miceli, F.A.; Santiago-Borraz, J.; Montes Molina, J.A.; Nafate, C.C.; Abud-Archila, M.; Oliva Llaven, M.A.; Rincón-Rosales, R.; Dendooven, L. Vermicompost as a soil supplement to improve growth, yield and fruit quality of tomato (Lycopersicum esculentum). Bioresour. Technol. 2007, 98, 2781–2786. [Google Scholar] [CrossRef] [PubMed]
- Huang, C.; Zhang, K.; Guo, W.; Huang, H.; Gou, Z.; Yang, L.; Chen, Y.; Oh, K.; Fang, C.; Luo, L. The effects of partial substitution of fertilizer using different organic materials on soil nutrient condition, aggregate stability and enzyme activity in a tea plantation. Plants 2023, 12, 3791. [Google Scholar] [CrossRef] [PubMed]
- Nie, M.; Yue, G.; Wang, L.; Zhang, Y. Short-term organic fertilizer substitution increases sorghum yield by improving soil physicochemical characteristics and regulating microbial community structure. Front. Plant Sci. 2024, 15, 1492797. [Google Scholar] [CrossRef]
- Soobhany, N. Insight into the recovery of nutrients from organic solid waste through biochemical conversion processes for fertilizer production: A review. J. Clean. Prod. 2019, 241, 118413. [Google Scholar] [CrossRef]
- Zhang, Y.; Zhen, Q.; Ma, W.; Jia, J.; Li, P.; Zhang, X. Dynamic responses of soil aggregate-associated organic carbon and nitrogen to different vegetation restoration patterns in an agro-pastoral ecotone in northern China. Ecol. Eng. 2023, 189, 106895. [Google Scholar] [CrossRef]
- Yang, B.M.; Li, G.L.; Yao, L.X.; Zhou, C.M.; He, Z.H. Effect of organic fertilizer application pattern on vegetable yield, soil chemical property and micro-organism. Chin. J. Eco-Agric. 2010, 18, 716–723. [Google Scholar] [CrossRef]
- Bhardwaj, D.; Ansari, M.W.; Sahoo, R.K.; Tuteja, N. Biofertilizers function as key player in sustainable agriculture by improving soil fertility, plant tolerance and crop productivity. Microb. Cell Fact. 2014, 13, 66. [Google Scholar] [CrossRef]
- Qasim, M.; Ju, J.; Zhao, H.; Bhatti, S.M.; Saleem, G.; Memon, S.P.; Ali, S.; Younas, M.U.; Rajput, N.; Jamali, Z.H. Morphological and physiological response of tomato to sole and combined application of vermicompost and chemical fertilizers. Agronomy 2023, 13, 1508. [Google Scholar] [CrossRef]
- Ali, M.A.; Gençoğlan, C.; Gençoğlan, S. The effects of organic and inorganic fertilizer applications on yield and plant vegetative growth of eggplant (Solanum melongena L.). Int. J. Plant Soil. Sci. 2019, 29, 1–9. [Google Scholar] [CrossRef]
- Bade, K.K.; Bhati, V.; Singh, V.B. Effect of organic manures and biofertilizers on growth, yield and quality of chilli (Capsicum annum) cv. Pusa jwala. Int. J. Curr. Microbiol. App Sci. 2017, 6, 2545–2552. [Google Scholar] [CrossRef]
- Chaoui, H.I.; Zibilske, L.M.; Ohno, T. Effects of earthworm casts and compost on soil microbial activity and plant nutrient availability. Soil. Biol. Biochem. 2003, 35, 295–302. [Google Scholar] [CrossRef]
- Gao, C.; Wang, Z.; Wang, C.; Yang, J.; Du, R.; Bing, H.; Xiang, W.; Wang, X.; Liu, C. Endophytic streptomyces sp. Neau-dd186 from moss with broad-spectrum antimicrobial activity: Biocontrol potential against soilborne diseases and bioactive components. Phytopathology 2024, 114, 340–347. [Google Scholar] [CrossRef] [PubMed]
- Tian, M.; Yu, R.; Guo, S.; Yang, W.; Liu, S.; Du, H.; Liang, J.; Zhang, X. Effect of vermicompost application on the soil microbial community structure and fruit quality in melon (Cucumis melo). Agronomy 2024, 14, 2536. [Google Scholar] [CrossRef]
- Islam, S.S.; Anik, R.B.; Hasan, A.K.; Karim, R.; Khomphet, T. Impacts of vermicompost and farmyard manure as organic fertilizer with biochar amendment on soil quality, growth and yield of sunflower. Indian J. Agr. Res. 2024, 58, 595–601. [Google Scholar] [CrossRef]
- Lazcano, C.; Gómez-Brandón, M.; Revilla, P.; Domínguez, J. Short-term effects of organic and inorganic fertilizers on soil microbial community structure and function. Biol. Fertil. Soils 2013, 49, 723–733. [Google Scholar] [CrossRef]
- Zhang, J.; Fang, H.; Zhao, Y.; Zheng, Y.; Jiang, J.; Gu, X. Responses of soil nutrients and rhizosphere microbial communities of a medicinal plant Pinelliaternata to vermicompost. 3 Biotech 2023, 13, 353. [Google Scholar] [CrossRef]
- Das, S.K.; Ghosh, G.K. Soil hydro-physical properties affected by biomass-derived biochar and organic manure: A low-cost technology for managing acidic mountain sandy soils of north eastern region of India. Biomass Conv. Biorefin. 2024, 14, 6621–6635. [Google Scholar] [CrossRef]
- Jain, R.; Pattanaik, L.; Padhi, S.K.; Naik, S.N. Role of microbes and microbial consortium in solid waste management. In Environmental and Agricultural Microbiology: Applications for Sustainability; Mishra, B.B., Kumar Nayak, S.K., Mohapatra, S., Samantaray, D.P., Eds.; John Wiley & Sons, Inc.: Hoboken, NJ, USA, 2021. [Google Scholar]
- Atiyeh, R.M.; Lee, S.; Edwards, C.A.; Arancon, N.Q.; Metzger, J.D. The influence of humic acids derived from earthworm-processed organic wastes on plant growth. Bioresour. Technol. 2002, 84, 7–14. [Google Scholar] [CrossRef]
- Maffia, A.; Marra, F.; Canino, F.; Battaglia, S.; Mallamaci, C.; Oliva, M.; Muscolo, A. Humic substances from waste-based fertilizers for improved soil fertility. Agronomy 2024, 14, 2657. [Google Scholar] [CrossRef]
- Atiyeh, R.M.; Subler, S.; Edwards, C.A.; Bachman, G.; Metzger, J.D.; Shuster, W. Effects of vermicomposts and composts on plant growth in horticultural container media and soil. Pedobiologia 2000, 44, 579–590. [Google Scholar] [CrossRef]
- Garcia, J.; Moravek, M.; Fish, T.; Thannhauser, T.; Fei, Z.; Sparks, J.P.; Giovannoni, J.; Kao-Kniffin, J. Rhizosphere microbiomes derived from vermicompost alter gene expression and regulatory pathways in tomato (Solanum lycopersicum, L.). Sci. Rep. 2024, 14, 21362. [Google Scholar] [CrossRef]
- Bachman, G.R.; Metzger, J.D. Growth of bedding plants in commercial potting substrate amended with vermicompost. Bioresour. Technol. 2008, 99, 3155–3161. [Google Scholar] [CrossRef]
- Iqbal, A.; Ligeng, J.; Mo, Z.; Adnan, M.; Lal, R.; Zaman, M.; Usman, S.; Hua, T.; Imran, M.; Pan, S.G.; et al. Substation of vermicompost mitigates cd toxicity, improves rice yields and restores bacterial community in a Cd-contaminated soil in southern China. J. Hazard. Mater. 2024, 465, 133118. [Google Scholar] [CrossRef] [PubMed]
- Gopalakrishnan, S.; Pande, S.; Sharma, M.; Humayun, P.; Kiran, B.K.; Sandeep, D.; Vidya, M.S.; Deepthi, K.; Rupela, O. Evaluation of actinomycete isolates obtained from herbal vermicompost for the biological control of fusarium wilt of chickpea. Crop Protect 2011, 30, 1070–1078. [Google Scholar] [CrossRef]
- Cui, X.; Zhang, Y.; Gao, J.; Peng, F.; Gao, P. Long-term combined application of manure and chemical fertilizer sustained higher nutrient status and rhizospheric bacterial diversity in reddish paddy soil of central south China. Sci. Rep. 2018, 8, 16554. [Google Scholar] [CrossRef] [PubMed]
- Enebe, M.C.; Erasmus, M. Vermicomposting technology—a perspective on vermicompost production technologies, limitations and prospects. J. Environ. Manag. 2023, 345, 118585. [Google Scholar] [CrossRef]
- Rehaman, A.; Fatma, M.; Jan, A.T.; Shah, A.A.; Asgher, M.; Khan, N.A. Co-application of nitric oxide and vermicompost improves photosynthetic functions, antioxidants, and nitrogen metabolism in maize (Zea mays L.) grown under drought stress. J. Plant Growth Regul. 2023, 42, 3888–3907. [Google Scholar] [CrossRef]
- Pottipati, S.; Jat, N.; Kalamdhad, A.S. Bioconversion of Eichhornia crassipes into vermicompost on a large scale through improving operational aspects of in-vessel biodegradation process: Microbial dynamics. Bioresour. Technol. 2023, 374, 128767. [Google Scholar] [CrossRef]
- Mago, M.; Gupta, R.; Yadav, A.; Kumar Garg, V. Sustainable treatment and nutrient recovery from leafy waste through vermicomposting. Bioresour. Technol. 2022, 347, 126390. [Google Scholar] [CrossRef]
- Patra, R.K.; Behera, D.; Mohapatra, K.K.; Sethi, D.; Mandal, M.; Patra, A.K.; Ravindran, B. Juxtaposing the quality of compost and vermicompost produced from organic wastes amended with cow dung. Environ. Res. 2022, 214, 114119. [Google Scholar] [CrossRef]



| Treatment | Pollination Date | Harvest Date | Aboveground Biomass (g) | Stem Diameter (mm) | Single Fruit Weight (g) |
|---|---|---|---|---|---|
| No nitrogen fertilizer (CK) | 11 May 2023 | 20 June 2023 | 304.47 ± 102.31 d | 5.78 ± 1.05 d | 638.15 ± 34.05 c |
| 100% mineral fertilizers nitrogen (T1) | 8 May 2023 | 19 June 2023 | 555.97 ± 45.93 c | 7.15 ± 0.63 c | 762.03 ± 14.58 b |
| 50% mineral fertilizers nitrogen + 50% vermicompost nitrogen (T2) | 4 May 2023 | 17 June 2023 | 741.98 ± 94.50 b | 8.08 ± 0.46 a | 793.36 ± 31.34 b |
| 100% vermicompost nitrogen (T3) | 4 May 2023 | 17 June 2023 | 812.32 ± 77.37 a | 8.49 ± 0.81 a | 847.48 ± 23.98 a |
| Treatment | Soluble Sugar Content (%) | Soluble Solids Content (%) | Organic Acid Content (g/kg) | Soluble Protein Content (mg/g) | Vitamin C Content (µg/g FW) |
|---|---|---|---|---|---|
| CK | 9.68 ± 0.17 c | 10.17 ± 1.09 c | 1.64 ± 0.11 a | 5.95 ± 1.27 a | 29.03 ± 0.33 b |
| T1 | 10.93 ± 0.39 b | 11.97 ± 0.61 b | 1.43 ± 0.16 b | 6.03 ± 0.67 a | 30.12 ± 0.55 b |
| T2 | 11.33 ± 0.11 b | 13.72 ± 0.49 a | 1.10 ± 0.05 c | 6.08 ± 0.66 a | 34.80 ± 0.44 a |
| T3 | 12.48 ± 0.01 a | 14.05 ± 1.03 a | 1.06 ± 0.03 c | 6.47 ± 0.73 a | 35.16 ± 0.66 a |
| Treatments | pH | OMC (g/kg) | AN (mg/kg) | AP (mg/kg) | AK (mg/kg) |
|---|---|---|---|---|---|
| CK | 5.28 ± 0.06 c | 18.36 ± 1.90 c | 49.5 ± 1.13 d | 37.26 ± 0.63 d | 98.19 ± 1.52 d |
| T1 | 5.35 ± 0.20 c | 19.22 ± 1.48 c | 56.74 ± 1.20 c | 41.29 ± 0.67 c | 164.15 ± 2.57 c |
| T2 | 5.72 ± 0.14 b | 66.41 ± 2.52 b | 67.87 ± 1.26 a | 89.03 ± 0.35 a | 277.72 ± 2.14 a |
| T3 | 6.08 ± 0.11 a | 75.37 ± 2.55 a | 61.92 ± 1.41 b | 84.17 ± 0.52 b | 247.67 ± 2.49 b |
| Treatments | Chao1 Index | Shannon Index | Simpson Index | Pielou Index |
|---|---|---|---|---|
| CK | 3433.18 ± 76.20 a | 10.14 ± 0.02 b | 0.9983 ± 0.0000 a | 0.8853 ± 0.0013 b |
| T1 | 3575.14 ± 76.57 a | 10.11 ± 0.08 b | 0.9981 ± 0.0000 a | 0.8847 ± 0.0015 b |
| T2 | 3679.19 ± 107.14 a | 10.36 ± 0.03 a | 0.9985 ± 0.0000 a | 0.8928 ± 0.0010 a |
| T3 | 3682.12 ± 60.53 a | 10.38 ± 0.04 a | 0.9985 ± 0.0001 a | 0.8946 ± 0.0011 a |
Disclaimer/Publisher’s Note: The statements, opinions and data contained in all publications are solely those of the individual author(s) and contributor(s) and not of MDPI and/or the editor(s). MDPI and/or the editor(s) disclaim responsibility for any injury to people or property resulting from any ideas, methods, instructions or products referred to in the content. |
© 2025 by the authors. Licensee MDPI, Basel, Switzerland. This article is an open access article distributed under the terms and conditions of the Creative Commons Attribution (CC BY) license (https://creativecommons.org/licenses/by/4.0/).
Share and Cite
Li, N.; Chen, S.; Yue, W.; Yan, A. Effects of Combined Application of Vermicompost and Mineral Fertilizers on Melon Quality and Soil Environmental Quality. Agronomy 2025, 15, 2428. https://doi.org/10.3390/agronomy15102428
Li N, Chen S, Yue W, Yan A. Effects of Combined Application of Vermicompost and Mineral Fertilizers on Melon Quality and Soil Environmental Quality. Agronomy. 2025; 15(10):2428. https://doi.org/10.3390/agronomy15102428
Chicago/Turabian StyleLi, Ningyu, Si Chen, Wenjun Yue, and Ailan Yan. 2025. "Effects of Combined Application of Vermicompost and Mineral Fertilizers on Melon Quality and Soil Environmental Quality" Agronomy 15, no. 10: 2428. https://doi.org/10.3390/agronomy15102428
APA StyleLi, N., Chen, S., Yue, W., & Yan, A. (2025). Effects of Combined Application of Vermicompost and Mineral Fertilizers on Melon Quality and Soil Environmental Quality. Agronomy, 15(10), 2428. https://doi.org/10.3390/agronomy15102428
