Agronomic Assessment of Olive Mill Wastewater Sludge Derived Composts on Lactuca sativa and Zea mays: Fertilizing Efficiency and Potential Toxic Effect on Seed Germination and Seedling Growth
Abstract
1. Introduction
2. Materials and Methods
2.1. Pot Experimental Design
2.2. Compost Production
2.3. Test of Phytotoxicity
2.4. Sampling and Analytical Methods
2.4.1. Soil Analysis
2.4.2. Plant Development and Vegetal Tissue Analysis
2.4.3. Statistical Analysis
3. Results and Discussion
3.1. Soil Parameters
3.2. Crop Response to Fertilizers
3.2.1. Crop Yield
3.2.2. Crop Development
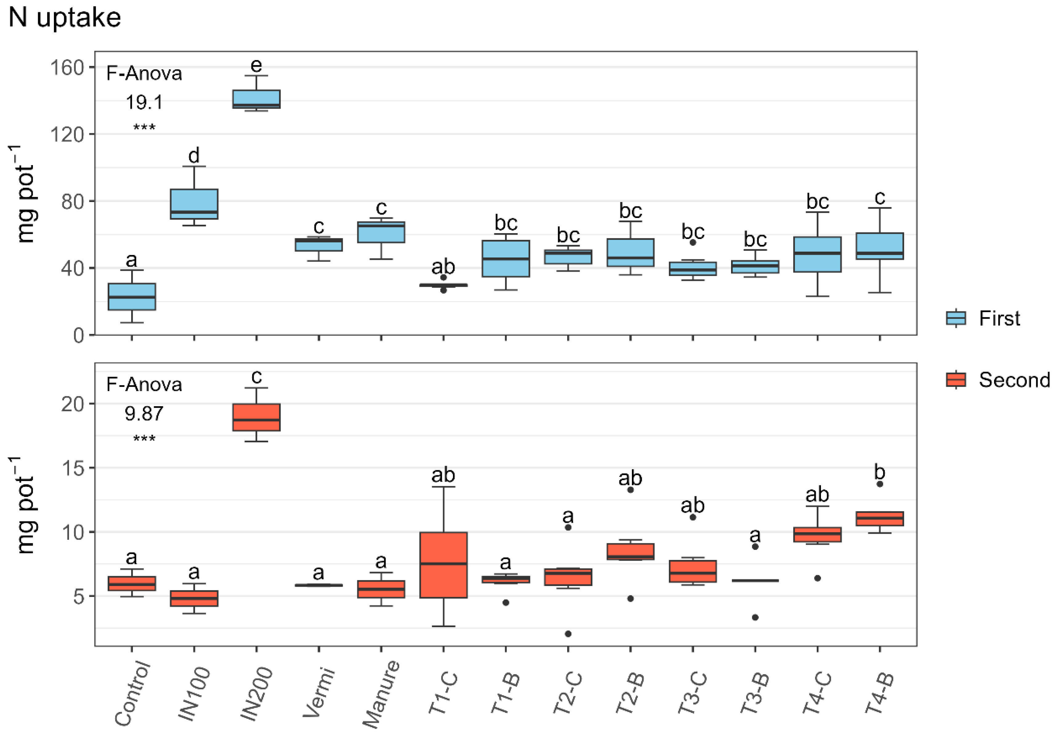
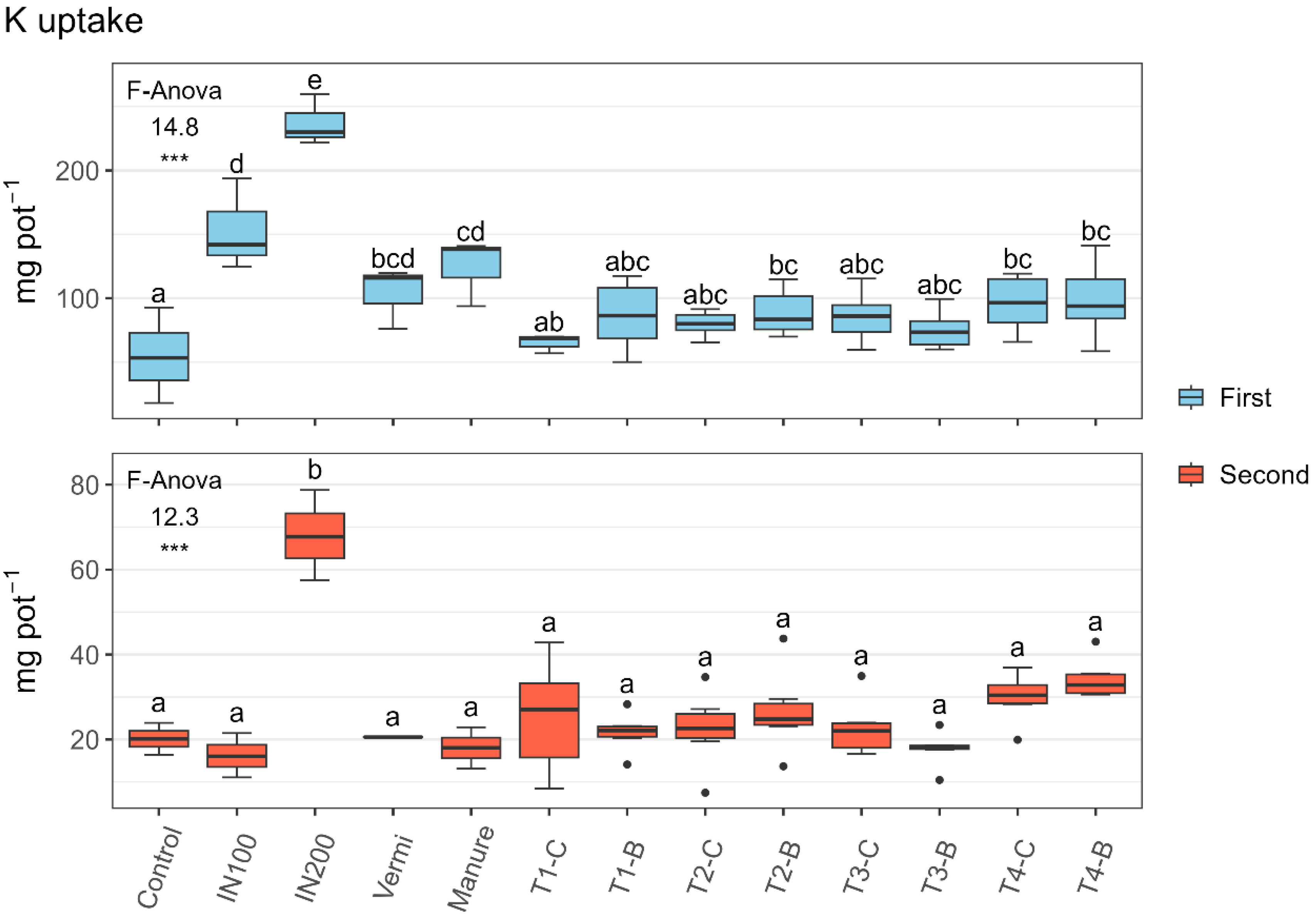
3.2.3. Nutrient Use Efficiency
3.3. Phytotoxicity Test of Compost
4. Conclusions
Author Contributions
Funding
Data Availability Statement
Conflicts of Interest
References
- Galliou, F.; Markakis, N.; Fountoulakis, M.S.; Nikolaidis, N.; Manios, T. Production of Organic Fertilizer from Olive Mill Wastewater by Combining Solar Greenhouse Drying and Composting. Waste Manag. 2018, 75, 305–311. [Google Scholar] [CrossRef]
- Sáez, J.A.; Pérez-Murcia, M.D.; Vico, A.; Martínez-Gallardo, M.R.; Andreu-Rodríguez, F.J.; López, M.J.; Bustamante, M.A.; Sanchez-Hernandez, J.C.; Moreno, J.; Moral, R. Olive Mill Wastewater-Evaporation Ponds Long Term Stored: Integrated Assessment of in Situ Bioremediation Strategies Based on Composting and Vermicomposting. J. Hazard. Mater. 2021, 402, 123481. [Google Scholar] [CrossRef]
- Babić, S.; Malev, O.; Pflieger, M.; Lebedev, A.T.; Mazur, D.M.; Kužić, A.; Čož-Rakovac, R.; Trebše, P. Toxicity Evaluation of Olive Oil Mill Wastewater and Its Polar Fraction Using Multiple Whole-Organism Bioassays. Sci. Total Environ. 2019, 686, 903–914. [Google Scholar] [CrossRef]
- Shabir, S.; Ilyas, N.; Saeed, M.; Bibi, F.; Sayyed, R.Z.; Almalki, W.H. Treatment Technologies for Olive Mill Wastewater with Impacts on Plants. Environ. Res. 2023, 216, 114399. [Google Scholar] [CrossRef]
- Doula, M.K.; Moreno-Ortego, J.L.; Tinivella, F.; Inglezakis, V.J.; Sarris, A.; Komnitsas, K. Olive Mill Waste: Recent Advances for the Sustainable Development of Olive Oil Industry. In Olive Mill Waste: Recent Advances for Sustainable Management; Elsevier Inc.: Amsterdam, The Netherlands, 2017; pp. 29–56. [Google Scholar] [CrossRef]
- Dich, A.; Abdelmoumene, W.; Belyagoubi, L.; Assadpour, E.; Belyagoubi Benhammou, N.; Zhang, F.; Jafari, S.M. Olive Oil Wastewater: A Comprehensive Review on Examination of Toxicity, Valorization Strategies, Composition, and Modern Management Approaches. Environ. Sci. Pollut. Res. 2025, 32, 6349–6379. [Google Scholar] [CrossRef]
- Kavvadias, V.; Elaiopoulos, K.; Theocharopoulos, S.; Soupios, P. Fate of Potential Contaminants Due to Disposal of Olive Mill Wastewaters in Unprotected Evaporation Ponds. Bull. Environ. Contam. Toxicol. 2017, 98, 323–330. [Google Scholar] [CrossRef]
- Martínez-Gallardo, M.R.; López, M.J.; Jurado, M.M.; Suárez-Estrella, F.; López-González, J.A.; Sáez, J.A.; Moral, R.; Moreno, J. Bioremediation of Olive Mill Wastewater Sediments in Evaporation Ponds through in Situ Composting Assisted by Bioaugmentation. Sci. Total Environ. 2020, 703, 135537. [Google Scholar] [CrossRef]
- Palumbo, G.; Schiavon, M.; Nardi, S.; Ertani, A.; Celano, G.; Colombo, C.M. Biostimulant Potential of Humic Acids Extracted From an Amendment Obtained via Combination of Olive Mill Wastewaters (OMW) and a Pre-Treated Organic Material Derived From Municipal Solid Waste (MSW). Front. Plant Sci. 2018, 9, 383035. [Google Scholar] [CrossRef]
- Coskun, T.; Debik, E.; Demir, N.M. Treatment of Olive Mill Wastewaters by Nanofiltration and Reverse Osmosis Membranes. Desalination 2010, 259, 65–70. [Google Scholar] [CrossRef]
- Coskun, T.; Basturk, I. A New Approach to Evaluate Membrane Performance: COD and EC Rejection Rates. Desalin. Water Treat. 2016, 57, 25450–25459. [Google Scholar] [CrossRef]
- Fleyfel, L.M.; Matta, J.; Sayegh, N.F.; El Najjar, N.H. Olive Mill Wastewater Treatment Using Coagulation/Flocculation and Filtration Processes. Heliyon 2024, 10, e40348. [Google Scholar] [CrossRef]
- Masi, F.; Bresciani, R.; Munz, G.; Lubello, C. Evaporation–Condensation of Olive Mill Wastewater: Evaluation of Condensate Treatability through SBR and Constructed Wetlands. Ecol. Eng. 2015, 80, 156–161. [Google Scholar] [CrossRef]
- Kıpçak, E.; Söğüt, O.Ö.; Akgün, M. Hydrothermal Gasification of Olive Mill Wastewater as a Biomass Source in Supercritical Water. J. Supercrit. Fluids 2011, 57, 50–57. [Google Scholar] [CrossRef]
- Lajili, M.; Guizani, C.; Escudero Sanz, F.J.; Jeguirim, M. Fast Pyrolysis and Steam Gasification of Pellets Prepared from Olive Oil Mill Residues. Energy 2018, 150, 61–68. [Google Scholar] [CrossRef]
- Chowdhury, A.K.M.M.B.; Akratos, C.S.; Vayenas, D.V.; Pavlou, S. Olive Mill Waste Composting: A Review. Int. Biodeterior. Biodegrad. 2013, 85, 108–119. [Google Scholar] [CrossRef]
- Souilem, S.; El-Abbassi, A.; Kiai, H.; Hafidi, A.; Sayadi, S.; Galanakis, C.M. Olive Oil Production Sector: Environmental Effects and Sustainability Challenges. In Olive Mill Waste: Recent Advances for Sustainable Management; Elsevier Inc.: Amsterdam, The Netherlands, 2017; pp. 1–28. [Google Scholar] [CrossRef]
- Eurostat Consumption of Inorganic Fertilizers (Aei_fm_usefert). Available online: https://ec.europa.eu/eurostat/cache/metadata/en/aei_fm_usefert_esms.htm (accessed on 26 May 2025).
- Wang, M.; Khan, M.A.; Mohsin, I.; Wicks, J.; Ip, A.H.; Sumon, K.Z.; Dinh, C.-T.; Sargent, E.H.; Gates, I.D.; Kibria, M.G. Can Sustainable Ammonia Synthesis Pathways Compete with Fossil-Fuel Based Haber–Bosch Processes? Energy Environ. Sci. 2021, 14, 2535–2548. [Google Scholar] [CrossRef]
- Liang, B.; Zhao, W.; Yang, X.; Zhou, J. Fate of Nitrogen-15 as Influenced by Soil and Nutrient Management History in a 19-Year Wheat–Maize Experiment. Field Crops Res. 2013, 144, 126–134. [Google Scholar] [CrossRef]
- FAO. The State of the World’s Land and Water Resources for Food and Agriculture—Systems at Breaking Point (SOLAW 2021); FAO: Rome, Italy, 2021; ISBN 978-92-5-135327-1. [Google Scholar]
- Albornoz, F. Crop Responses to Nitrogen Overfertilization: A Review. Sci. Hortic. 2016, 205, 79–83. [Google Scholar] [CrossRef]
- Manolikaki, I.; Diamadopoulos, E. Positive Effects of Biochar and Biochar-Compost on Maize Growth and Nutrient Availability in Two Agricultural Soils. Commun. Soil Sci. Plant Anal. 2019, 50, 512–526. [Google Scholar] [CrossRef]
- Mira-Urios, M.Á.; Sáez, J.A.; Orden, L.; Marhuenda-Egea, F.C.; Andreu-Rodríguez, F.J.; Toribio, A.J.; Agulló, E.; López, M.J.; Moral, R. Composting of Olive Mill Wastewater Sludge Using a Combination of Multiple Strategies: Assessment of Improvement in Biodegradability, GHG Emissions, and Characteristics of the End Product. Agronomy 2025, 15, 808. [Google Scholar] [CrossRef]
- Paredes, C.; Pérez-Murcia, M.D.; Pérez-Espinosa, A.; Ángeles Bustamante, M.; Moreno-Caselles, J. Recycling of Two-Phase Olive-Mill Cake “Alperujo” by Co-Composting with Animal Manures. Commun. Soil Sci. Plant Anal. 2015, 46, 238–247. [Google Scholar] [CrossRef]
- Zucconi, F.; Pera, A.; Forte, M.; de Bertoldi, M. Evaluating Toxicity of Immature Compost. Biocycle 1981, 22, 54–57. [Google Scholar]
- Clemente, R.; Sáez-Tovar, J.A.; Bernal, M.P. Extractability, Distribution Among Different Particle Size Fractions, and Phytotoxicity of Cu and Zn in Composts Made with the Separated Solid Fraction of Pig Slurry. Front. Sustain. Food Syst. 2020, 4, 2. [Google Scholar] [CrossRef]
- Bremner, J.M. Nitrogen-Total. In Methods of Soil Analysis, Part 3: Chemical Methods; John Wiley & Sons, Ltd.: Hoboken, NJ, USA, 2018; pp. 1085–1121. [Google Scholar]
- Olsen, S.R.; Cole, C.V.; Watanabe, F.S.; Dean, L.A. Estimation of Available Phosphorus in Soils by Extraction with Sodium Bicarbonate. In Circular; U.S. Department of Agriculture: Washington, DC, USA, 1954; Volume 939, pp. 18–19. [Google Scholar]
- Knudsen, D.; Peterson, G.A.; Pratt, P.F. Lithium, Sodium, and Potassium. In Methods of Soil Analysis: Part 2 Chemical and Microbiological Properties; American Society of Agronomy, Inc.; Soil Science Society of America, Inc.: Madison, WI, USA, 1982; pp. 225–246. [Google Scholar] [CrossRef]
- Yeomans, J.C.; Bremner, J.M. A Rapid and Precise Method for Routine Determination of Organic Carbon in Soil. Commun. Soil Sci. Plant Anal. 1988, 19, 1467–1476. [Google Scholar] [CrossRef]
- Patrignani, A.; Ochsner, T.E. Canopeo: A Powerful New Tool for Measuring Fractional Green Canopy Cover. Agron. J. 2015, 107, 2312–2320. [Google Scholar] [CrossRef]
- Casella, A.; Orden, L.; Pezzola, N.A.; Bellaccomo, C.; Winschel, C.I.; Caballero, G.R.; Delegido, J.; Gracia, L.M.N.; Verrelst, J. Analysis of Biophysical Variables in an Onion Crop (Allium cepa L.) with Nitrogen Fertilization by Sentinel-2 Observations. Agronomy 2022, 12, 1884. [Google Scholar] [CrossRef]
- López-Bellido, L.; López-Bellido, R.J.; Redondo, R. Nitrogen Efficiency in Wheat under Rainfed Mediterranean Conditions as Affected by Split Nitrogen Application. Field Crops Res. 2005, 94, 86–97. [Google Scholar] [CrossRef]
- Doublet, J.; Francou, C.; Pétraud, J.P.; Dignac, M.F.; Poitrenaud, M.; Houot, S. Distribution of C and N Mineralization of a Sludge Compost within Particle-Size Fractions. Bioresour. Technol. 2010, 101, 1254–1262. [Google Scholar] [CrossRef]
- Picariello, E.; Pucci, L.; Carotenuto, M.; Libralato, G.; Lofrano, G.; Baldantoni, D. Compost and Sewage Sludge for the Improvement of Soil Chemical and Biological Quality of Mediterranean Agroecosystems. Sustainability 2020, 13, 26. [Google Scholar] [CrossRef]
- Piotrowska, A.; Rao, M.A.; Scotti, R.; Gianfreda, L. Changes in Soil Chemical and Biochemical Properties Following Amendment with Crude and Dephenolized Olive Mill Waste Water (OMW). Geoderma 2011, 161, 8–17. [Google Scholar] [CrossRef]
- De Sosa, L.L.; Benítez, E.; Girón, I.; Madejón, E. Agro-Industrial and Urban Compost as an Alternative of Inorganic Fertilizers in Traditional Rainfed Olive Grove under Mediterranean Conditions. Agronomy 2021, 11, 1223. [Google Scholar] [CrossRef]
- Grigatti, M.; Cavani, L.; di Biase, G.; Ciavatta, C. Current and Residual Phosphorous Availability from Compost in a Ryegrass Pot Test. Sci. Total Environ. 2019, 677, 250–262. [Google Scholar] [CrossRef] [PubMed]
- Tampio, E.; Salo, T.; Rintala, J. Agronomic Characteristics of Five Different Urban Waste Digestates. J. Environ. Manag. 2016, 169, 293–302. [Google Scholar] [CrossRef]
- Piotrowska, A.; Iamarino, G.; Rao, M.A.; Gianfreda, L. Short-Term Effects of Olive Mill Waste Water (OMW) on Chemical and Biochemical Properties of a Semiarid Mediterranean Soil. Soil Biol. Biochem. 2006, 38, 600–610. [Google Scholar] [CrossRef]
- Alkhader, A.; Rayyan, A.; Rusan, M. The Effect of Phosphorus Fertilizers on the Growth and Quality of Lettuce (Lactuca sativa L.) under Greenhouse and Field Conditions. J. Food Agric. Environ. 2013, 11, 777–783. [Google Scholar]
- Hernández, T.; Chocano, C.; Moreno, J.L.; García, C. Use of Compost as an Alternative to Conventional Inorganic Fertilizers in Intensive Lettuce (Lactuca sativa L.) Crops—Effects on Soil and Plant. Soil Tillage Res. 2016, 160, 14–22. [Google Scholar] [CrossRef]
- Jayara, A.S.; Kumar, R.; Pandey, P.; Singh, S.; Shukla, A.; Singh, A.P.; Pandey, S.; Meena, R.L.; Reddy, K.I. Boosting Nutrient Use Efficiency through Fertilizer Use Management. Appl. Ecol. Environ. Res. 2023, 21, 2931–2952. [Google Scholar] [CrossRef]
- El Hayany, B.; En-Nejmy, K.; El Glaoui, G.E.M.; Hafidi, M.; El Fels, L. Chlorophyll Performances as an Indicator of Compost Quality: Effectiveness of Liquid Humic Substances and Compost Tea. Int. J. Recycl. Org. Waste Agric. 2023, 12, 683–698. [Google Scholar] [CrossRef]
- Fandika, I.R.; Kadyampakeni, D.; Bottomani, C.; Kakhiwa, H. Comparative Response of Varied Irrigated Maize to Organic and Inorganic Fertilizer Application. Phys. Chem. Earth Parts A/B/C 2007, 32, 1107–1116. [Google Scholar] [CrossRef]
- Yin, M.; Li, Y.; Hu, Q.; Yu, X.; Huang, M.; Zhao, J.; Dong, S.; Yuan, X.; Wen, Y. Potassium Increases Nitrogen and Potassium Utilization Efficiency and Yield in Foxtail Millet. Agronomy 2023, 13, 2200. [Google Scholar] [CrossRef]
- Li, Z.; Zhang, R.; Xia, S.; Wang, L.; Liu, C.; Zhang, R.; Fan, Z.; Chen, F.; Liu, Y. Interactions between N, P and K Fertilizers Affect the Environment and the Yield and Quality of Satsumas. Glob. Ecol. Conserv. 2019, 19, e00663. [Google Scholar] [CrossRef]
- Salim, N.; Raza, A. Nutrient Use Efficiency (NUE) for Sustainable Wheat Production: A Review. J. Plant Nutr. 2020, 43, 297–315. [Google Scholar] [CrossRef]
- Agegnehu, G.; Nelson, P.N.; Bird, M.I. The Effects of Biochar, Compost and Their Mixture and Nitrogen Fertilizer on Yield and Nitrogen Use Efficiency of Barley Grown on a Nitisol in the Highlands of Ethiopia. Sci. Total Environ. 2016, 569–570, 869–879. [Google Scholar] [CrossRef] [PubMed]
- Muscolo, A.; Sidari, M.; Mallamaci, C.; Attinà, E. Effects of Olive Mill Wastewater on Seed Germination and Seedling Growth. Terr. Aquat. Environ. Toxicol. 2010, 4, 75–83. [Google Scholar]
- Alvarenga, P.; Palma, P.; Gonçalves, A.P.; Fernandes, R.M.; Cunha-Queda, A.C.; Duarte, E.; Vallini, G. Evaluation of Chemical and Ecotoxicological Characteristics of Biodegradable Organic Residues for Application to Agricultural Land. Environ. Int. 2007, 33, 505–513. [Google Scholar] [CrossRef]
- Kapanen, A.; Itävaara, M. Ecotoxicity Tests for Compost Applications. Ecotoxicol. Environ. Saf. 2001, 49, 1–16. [Google Scholar] [CrossRef]






| Type | Acronym | N Source | C Source | Biochar | Treatment |
|---|---|---|---|---|---|
| Reference | Control | - | - | - | No fertilizer treatment applied |
| Complex (15–15–15) | IN100 | - | - | - | Inorganic fertilizer (15–15–15) rate 100 kg N/ha |
| Complex (15–15–15) | IN200 | - | - | - | Inorganic fertilizer (15–15–15) rate 200 kg N/ha |
| Vermicompost | Vermi | - | - | - | Vermicompost |
| Fresh manure | Manure | - | - | - | Fresh CM in direct application |
| Compost | T1-C | CM | Alm | No | OMW 50% + CM 40% + Alm 10% |
| Compost | T1-B | CM | Alm | Yes | OMW 50% + CM 40% + Alm 10% + 1% f.w. Biochar |
| Compost | T2-C | CM | Vn | No | OMW 50% + CM 40% + Vn 10% |
| Compost | T2-B | CM | Vn | Yes | OMW 50% + CM 40% + Vn 10% + 1% f.w. Biochar |
| Compost | T3-C | GM | Alm | No | OMW 50% + GM 40% + Alm 10% |
| Compost | T3-B | GM | Alm | Yes | OMW 50% + GM 40% + Alm 10% + 1% f.w. Biochar |
| Compost | T4-C | GM | Vn | No | OMW 50% + GM 40% + Vn 10% |
| Compost | T4-B | GM | Vn | Yes | OMW 50% + GM 40% + Vn 10% + 1% f.w. Biochar |
| Compost | Vermi | Manure | T1-C | T1-B | T2-C | T2-B | T3-C | T3-B | T4-C | T4-B |
|---|---|---|---|---|---|---|---|---|---|---|
| pH | 7.48 | 8.80 | 8.72 | 8.39 | 8.60 | 8.57 | 9.62 | 9.30 | 9.00 | 8.84 |
| EC (dS/m) | 1.74 | 8.52 | 9.61 | 10.3 | 9.19 | 9.23 | 8.41 | 9.48 | 7.84 | 7.65 |
| TOC (%) | 32.0 | 42.6 | 36.7 | 64.6 | 32.7 | 58.7 | 60.0 | 91.3 | 54.4 | 55.0 |
| TN (%) | 2.88 | 3.05 | 3.04 | 3.13 | 2.79 | 2.79 | 2.63 | 2.58 | 2.49 | 2.48 |
| TOC/TN | 11.4 | 14.0 | 12.1 | 11.5 | 11.7 | 11.7 | 12.4 | 13.1 | 30.5 | 12.4 |
| PPH (mg/kg) | 250 | - | 3649 | 3679 | 3913 | 4190 | 4551 | 5558 | 3212 | 2763 |
| Total elements | ||||||||||
| P (g/kg) | 1.00 | 1.92 | 0.98 | 1.28 | 0.89 | 0.89 | 1.45 | 1.29 | 1.04 | 1.10 |
| K (g/kg) | 1.94 | 1.65 | 3.02 | 3.19 | 3.32 | 3.42 | 3.75 | 3.89 | 3.23 | 3.09 |
| Ca (g/kg) | 7.81 | 2.23 | 3.81 | 4.12 | 4.42 | 4.38 | 4.22 | 3.82 | 4.92 | 4.86 |
| Cd (mg/kg) | <0.01 | 0.14 | 0.28 | 0.33 | 0.30 | 0.34 | 0.30 | 0.36 | 0.31 | 0.32 |
| Cr (mg/kg) | 13.2 | 7.91 | 22.2 | 26.0 | 32.5 | 29.0 | 22.4 | 27.21 | 36.8 | 36.5 |
| Cu (mg/kg) | 60.9 | 33.1 | 70.3 | 72.9 | 67.5 | 68.3 | 58.2 | 54.5 | 59.5 | 60.0 |
| Ni (mg/kg) | 7.13 | 6.04 | 0.67 | 0.71 | 0.67 | 0.69 | 0.80 | 0.82 | 0.61 | 0.57 |
| Pb (mg/kg) | 13.1 | 0.93 | 9.10 | 10.44 | 11.6 | 10.6 | 10.3 | 11.2 | 12.7 | 12.6 |
| Zn (mg/kg) | 1046 | 130 | 6.69 | 7.20 | 12.2 | 9.11 | 6.87 | 6.07 | 9.36 | 9.52 |
| Treatment | pH | EC (mS/cm) | Cox (g/kg) | KTN (g/kg) | Olsen-P (mg/kg) | Kava (mg/kg) |
|---|---|---|---|---|---|---|
| First Growing Season | ||||||
| Control | 7.96 c | 2.70 b | 3.47 ab | 0.40 a | 21.9 a | 276 a |
| IN100 | 7.89 abc | 2.71 b | 3.40 a | 0.51 ab | 32.4 c | 254 a |
| IN200 | 7.86 abc | 2.70 b | 3.40 a | 0.51 ab | 45.5 d | 389 bcd |
| Vermicompost | 7.90 abc | 2.74 b | 4.47 de | 0.70 d | 25.8 ab | 350 b |
| Manure | 7.83 abc | 2.26 a | 4.17 cde | 0.50 ab | 21.9 a | 375 bc |
| T1-C | 7.85 abc | 2.73 b | 3.97 bcd | 0.68 cd | 32.7 c | 406 bcd |
| T1-B | 7.91 bc | 2.67 b | 3.88 abc | 0.65 cd | 30.8 bc | 441 de |
| T2-C | 7.70 ab | 2.78 b | 3.95 bcd | 0.50 bc | 30.9 bc | 433 cde |
| T2-B | 7.68 ab | 2.68 b | 4.38 cde | 0.62 bcd | 33.2 c | 465 ef |
| T3-C | 7.75 abc | 2.77 b | 4.23 cde | 0.50 bc | 27.7 bc | 567 g |
| T3-B | 7.69 ab | 2.70 b | 4.03 cd | 0.55 bc | 32.8 c | 516 f |
| T4-C | 7.77 abc | 2.63 b | 4.27 cde | 0.48 ab | 27.5 b | 507 f |
| T4-B | 7.67 a | 2.61 b | 4.63 e | 0.58 bcd | 26.6 ab | 516 f |
| F-Anova | 4.55 *** | 5.57 *** | 10.3 *** | 7.83 *** | 18.2 *** | 49.3 *** |
| Second Growing Season | ||||||
| Control | 7.50 ab | 1.89 ab | 3.47 ab | - | 20.5 ab | 143 a |
| IN100 | 7.59 ab | 1.90 abc | 3.97 abc | - | 28.5 bcd | 207 bc |
| IN200 | 7.62 ab | 1.87 a | 4.03 abc | - | 31.1 d | 183 ab |
| Vermicompost | 7.63 ab | 1.88 ab | 3.43 a | - | 23.2 abc | 242 cd |
| Manure | 7.66 ab | 1.95 abc | 3.60 ab | - | 23.2 abc | 232 bcd |
| T1-C | 7.46 ab | 1.87 a | 4.55 c | - | 29.6 cd | 249 cd |
| T1-B | 7.38 a | 2.08 abc | 4.22 abc | - | 28.6 bcd | 242 cd |
| T2-C | 7.57 ab | 2.10 cd | 4.33 bc | - | 29.5 bcd | 247 cd |
| T2-B | 7.48 ab | 2.06 abc | 3.83 abc | - | 32.6 d | 227 d |
| T3-C | 7.60 ab | 2.13 d | 3.82 abc | - | 27.1 bcd | 285 d |
| T3-B | 7.51 ab | 2.02 abc | 4.03 abc | - | 27.1 bcd | 297 d |
| T4-C | 7.75 b | 2.12 d | 3.72 abc | - | 21.0 a | 254 cd |
| T4-B | 7.63 ab | 2.06 abc | 3.37 a | - | 22.6 abc | 267 d |
| F-Anova | 2.98 ** | 5.20 *** | 4.65 *** | 7.16 *** | 11.1 *** | |
| Treatment | CCC (SPAD) | fCover (%) | ||||
|---|---|---|---|---|---|---|
| 10 Days | 25 Days | 45 Days | 10 Days | 25 Days | 45 Days | |
| First Growing Season | ||||||
| Control | 37.5 ab | 35.1 a | 39.3 a | 3.18 | 5.43 a | 5.94 a |
| IN100 | 49.6 b | 70.1 cd | 46.2 ab | 4.29 | 11.7 c | 7.85 ab |
| IN200 | 42.8 ab | 80.1 d | 53.1 b | 4.52 | 15.0 d | 12.7 b |
| Vermicompost | 29.9 a | 54.3 bc | 45.4 a | 3.11 | 8.03 c | 8.27 ab |
| Manure | 36.7 ab | 50.2 ab | 45.6 a | 9.32 | 7.75 bc | 6.60 ab |
| T1-C | 32.9 a | 45.1 ab | 41.1 a | 3.2 | 6.74 abc | 7.63 ab |
| T1-B | 38.5 ab | 48.3 ab | 42.0 a | 3.06 | 6.75 abc | 7.16 ab |
| T2-C | 42.8 ab | 41.5 ab | 46.2 ab | 3.84 | 6.11 ab | 8.47 ab |
| T2-B | 36.7 ab | 46.4 ab | 42.8 a | 2.73 | 5.79 a | 8.53 ab |
| T3-C | 41.2 ab | 55.8 bc | 41.8 a | 3.06 | 7.91 bc | 8.25 ab |
| T3-B | 39.4 ab | 46.8 ab | 40.3 a | 2.78 | 6.60 abc | 7.19 ab |
| T4-C | 41.9 ab | 45.4 ab | 44.8 a | 3.06 | 6.66 abc | 7.10 ab |
| T4-B | 38.9 ab | 52.5 bc | 45.4 a | 3.37 | 7.14 abc | 7.36 ab |
| F-Anova | 1.98 * | 6.09 *** | 3.48 *** | 1.74 ns | 36.1 *** | 8.47 *** |
| Second Growing Season | ||||||
| Control | 26.4 a | 32.2 bcde | 22.1 a | 2.03 a | 3.10 a | 3.18 a |
| IN100 | 25.9 a | 27.0 a | 28.4 b | 1.82 a | 3.00 a | 3.03 a |
| IN200 | 42.1 b | 42.8 f | 28.2 b | 4.19 b | 6.57 c | 5.50 c |
| Vermicompost | 29.4 a | 30.4 abc | 25.6 ab | 2.57 a | 3.45 ab | 3.59 ab |
| Manure | 26.6 a | 33.8 bcde | 29.0 b | 2.21 a | 3.17 a | 3.67 ab |
| T1-C | 29.0 a | 31.1 bcd | 26.6 ab | 2.46 a | 3.62 ab | 3.88 ab |
| T1-B | 26.6 a | 34.3 cde | 27.5 b | 1.77 a | 2.84 a | 3.89 ab |
| T2-C | 28.6 a | 34.5 de | 26.7 ab | 2.42 a | 3.72 ab | 3.44 ab |
| T2-B | 28.4 a | 35.2 e | 25.9 ab | 2.58 a | 4.31 b | 4.16 b |
| T3-C | 24.3 a | 31.9 bcde | 28.9 b | 2.18 a | 3.06 a | 3.12 a |
| T3-B | 28.5 a | 33.2 bcde | 26.1 ab | 2.21 a | 3.58 ab | 3.54 ab |
| T4-C | 24.9 a | 30.2 ab | 26.4 ab | 2.39 a | 3.50 ab | 3.72 ab |
| T4-B | 26.8 a | 31.9 bcde | 27.7 b | 2.26 a | 3.26 ab | 3.47 ab |
| F-Anova | 10.5 *** | 14.7 *** | 2.30 * | 8.18 *** | 14.0 *** | 7.68 *** |
| Treatment | NUE (%) |
|---|---|
| Treatments | |
| IN100 | 60.0 b |
| IN200 | 62.7 b |
| Vermicompost | 15.9 a |
| Manure | 19.6 a |
| T1-C | 13.7 a |
| T1-B | 11.6 a |
| T2-C | 12.6 a |
| T2-B | 14.0 a |
| T3-C | 9.49 a |
| T3-B | 9.79 a |
| T4-C | 13.4 a |
| T4-B | 15.0 a |
| F-Anova | 24.4 *** |
Disclaimer/Publisher’s Note: The statements, opinions and data contained in all publications are solely those of the individual author(s) and contributor(s) and not of MDPI and/or the editor(s). MDPI and/or the editor(s) disclaim responsibility for any injury to people or property resulting from any ideas, methods, instructions or products referred to in the content. |
© 2025 by the authors. Licensee MDPI, Basel, Switzerland. This article is an open access article distributed under the terms and conditions of the Creative Commons Attribution (CC BY) license (https://creativecommons.org/licenses/by/4.0/).
Share and Cite
Mira-Urios, M.Á.; Sáez-Tovar, J.A.; Andreu-Rodríguez, F.J.; Sánchez-Méndez, S.; Orden, L.; Valverde-Vozmediano, L.; Pérez-Murcia, M.D.; Moral, R. Agronomic Assessment of Olive Mill Wastewater Sludge Derived Composts on Lactuca sativa and Zea mays: Fertilizing Efficiency and Potential Toxic Effect on Seed Germination and Seedling Growth. Agronomy 2025, 15, 2391. https://doi.org/10.3390/agronomy15102391
Mira-Urios MÁ, Sáez-Tovar JA, Andreu-Rodríguez FJ, Sánchez-Méndez S, Orden L, Valverde-Vozmediano L, Pérez-Murcia MD, Moral R. Agronomic Assessment of Olive Mill Wastewater Sludge Derived Composts on Lactuca sativa and Zea mays: Fertilizing Efficiency and Potential Toxic Effect on Seed Germination and Seedling Growth. Agronomy. 2025; 15(10):2391. https://doi.org/10.3390/agronomy15102391
Chicago/Turabian StyleMira-Urios, Miguel Ángel, José A. Sáez-Tovar, F. Javier Andreu-Rodríguez, Silvia Sánchez-Méndez, Luciano Orden, Lucía Valverde-Vozmediano, María Dolores Pérez-Murcia, and Raúl Moral. 2025. "Agronomic Assessment of Olive Mill Wastewater Sludge Derived Composts on Lactuca sativa and Zea mays: Fertilizing Efficiency and Potential Toxic Effect on Seed Germination and Seedling Growth" Agronomy 15, no. 10: 2391. https://doi.org/10.3390/agronomy15102391
APA StyleMira-Urios, M. Á., Sáez-Tovar, J. A., Andreu-Rodríguez, F. J., Sánchez-Méndez, S., Orden, L., Valverde-Vozmediano, L., Pérez-Murcia, M. D., & Moral, R. (2025). Agronomic Assessment of Olive Mill Wastewater Sludge Derived Composts on Lactuca sativa and Zea mays: Fertilizing Efficiency and Potential Toxic Effect on Seed Germination and Seedling Growth. Agronomy, 15(10), 2391. https://doi.org/10.3390/agronomy15102391

