Next Article in Journal
Advances of QTL Localization and GWAS Application in Crop Resistances Against Plant-Parasitic Nematodes
Previous Article in Journal
Effect of Varying Dairy Cow Size and Live Weight on Soil Structure and Pasture Attributes
 
 
Font Type:
Arial Georgia Verdana
Font Size:
Aa Aa Aa
Line Spacing:
Column Width:
Background:
Article

Benefits and Trade-Offs of Long-Term Organic Fertilization Substitution: Wheat Grain Nutrition and Heavy Metal Risks in an 11-Year Field Trial

1
State Key Laboratory of Nutrient Use and Management, Key Laboratory of Agro-Environment of Huang-Huai-Hai Plain, Ministry of Agriculture and Rural Affairs, Institute of Agricultural Resources and Environment, Shandong Academy of Agricultural Sciences, Jinan 250100, China
2
Dezhou Academy of Agricultural Sciences, Dezhou 253015, China
*
Author to whom correspondence should be addressed.
Agronomy 2025, 15(10), 2369; https://doi.org/10.3390/agronomy15102369
Submission received: 18 September 2025 / Revised: 2 October 2025 / Accepted: 9 October 2025 / Published: 10 October 2025
(This article belongs to the Special Issue Nutrient Enrichment and Crop Quality in Sustainable Agriculture)

Abstract

Optimizing organic fertilizer substitution is essential for enhancing the sustainability of agriculture and achieving a balance between crop productivity, nutritional quality, and environmental safety. Here, we conducted an 11-year field experiment to evaluate the effects of substituting 50% of mineral fertilizers with pig manure (PM) or cattle manure (CM) on the nutritional quality of wheat grain, heavy metal (HM) accumulation, and associated human health risks. The yield and protein content were highest in the mineral fertilizer (MF) treatment, and grain micronutrients (Fe, Mn, Cu, Zn) were 6.7–13.8% higher under organic substitution (PM/CM) than in the MF treatment. The Ni, Pb, and As contents were 35.4–43.0% higher in the PM treatment than in the MF treatment, which stems from the higher HM content in pig manure. Health risk assessments indicated that the Hazard Index (HI) for children exceeded 1 in the PM treatment, primarily due to As, which accounted for 69.6% of the HI. All treatments remained within safe thresholds, although As and Pb posed detectable carcinogenic health risks. The higher levels of Ni and As in pig manure likewise led to a significant increase in the health risk associated with the PM treatment compared to the MF treatment. We developed a novel Grain Quality Index (GQI) that combined nutrient and HM data, which indicated that the nutritional quality of wheat grain was similar in the CM and MF treatments. The GQI was 9.1% lower in the PM treatment than in the MF treatment. These findings suggest that the substitution of mineral fertilizer with cow manure can help achieve a balance between yield, nutrition, and safety, and more stringent regulation of HMs is required for the use of pig manure. Our findings provide actionable insights with implications for sustainable wheat production policies.

1. Introduction

Sustainable agriculture has become critically important for safeguarding human well-being under the background of global climate change and food security challenges. Bread wheat (Triticum aestivum L.) is one of the world’s most widely cultivated and consumed food crops; it thus plays a crucial role in ensuring human nutritional health and food security [1]. Global food production has increased significantly since the 20th century via the application of nitrogen (N), phosphorus (P), and potassium (K) fertilizers to meet the growing demand for food [2]. However, long-term excessive mineral fertilizer application has resulted in major environmental problems such as soil acidification, water eutrophication, and greenhouse gas emissions [3,4]. Excessive mineral fertilizer application might also reduce crop quality by affecting the content of protein components and decreasing the content of micronutrients [5]; the irrational use of mineral fertilizers thus poses a major threat to the health of ecosystems and humans.
Organic substitution is an important fertilization technique in sustainable agriculture that can enhance the sustainability of crop yields and improve soil physicochemical properties and quality [6,7]. Organic fertilizers not only provide macronutrients such as N, P, and K for crops but are also rich in micronutrients, which can indirectly affect micronutrient uptake and accumulation in crops by improving soil physicochemical properties and microbial activity [8,9]. A multi-site experiment in Shandong Province, China, demonstrated that substituting 15–30% of mineral fertilizer with organic fertilizer maintained wheat yields while significantly increasing grain zinc (Zn) and iron (Fe) content and bioavailability [10], indicating that this approach provides an effective method for enhancing the nutritional quality of wheat grain.
The long-term effects and short-term effects of agricultural practices often differ. Long-term field experiments are essential for characterizing the responses of soil–crop systems to agricultural practices and provide more accurate insights into the cumulative effects of organic fertilizer substitution on soil fertility, crop growth, and grain quality development [11]. Current research on long-term organic fertilizer substitution has primarily focused on characterizing changes in crop yield stability and soil fertility [11,12]; a systematic assessment of its effect on the nutritional quality of wheat grain is lacking. Due to the slow-release nature and low nitrogen use efficiency of organic fertilizers, the long-term substitution of organic fertilizers for mineral fertilizers may reduce both crop yields and grain nutrition [13].
The long-term application of organic fertilizers (especially livestock manure), which may contain heavy metals (HMs) such as cadmium (Cd), lead (Pb), and arsenic (As), can lead to HM accumulation in soil–crop systems and pose human health risks through the food chain [14,15]. A 5-year field experiment revealed that substituting 40% of mineral fertilizers with cattle manure-derived organic fertilizer significantly increased the Pb and As content in wheat grains by 31% and 113%, respectively, compared with the control [16]. Given the cumulative effects of HMs in soil, additional studies are needed to clarify the potential risks of HM contamination in soil and grains under long-term organic fertilizer application. Human health risk assessments (HHRAs) are an effective and widely used method for evaluating the health risks of pollutant exposure [17]. This method can be used to evaluate the effect of organic substitution on human health by characterizing the carcinogenic and non-carcinogenic health risks caused by the long-term ingestion of such grains.
Here, we conducted a long-term field experiment in which mineral fertilizers were substituted with pig manure and cattle manure to evaluate the effect of organic substitution on the content of beneficial nutrients in wheat grain, HM accumulation, and health risks. Overall, our aim was to clarify the effects of long-term organic substitution on wheat grain nutritional quality and optimize the balance between increasing the content of nutrients and mitigating potential HM hazards. These findings can be used to refine substitution protocols and safeguard wheat production safety and human health.

2. Materials and Methods

2.1. Study Site and Experimental Design

The field experiment was initiated in October 2010 at Decheng District, Dezhou City, Shandong Province, China (37°30′34″ N, 116°17′44″ E). The study area has a temperate continental climate with an annual average temperature of 13.1 °C and annual precipitation of 556.2 mm. The soil is classified as a fluvo-aquic soil. The content of basic soil nutrients was as follows: pH 8.3, soil organic matter (SOM) 2.03%, total nitrogen (TN) 1.2 g·kg−1, available phosphorus (AP) 37.4 mg·kg−1, and available potassium (AK) 282 mg·kg−1. A typical winter wheat–summer maize rotation system was planted, with the wheat variety ‘Jimai 22’ and maize variety ‘Zhengdan 958’. As wheat serves as the regional staple food and maize is primarily used as animal feed, we focused exclusively on wheat.
Our experiment was performed in a randomized block design with four treatments and four replicates: (1) No fertilization (CK); (2) Mineral fertilizer alone (MF); (3) 50% mineral fertilizer + 6000 kg ha−1 pig manure (PM); and (4) 50% mineral fertilizer + 6000 kg ha−1 cattle manure which (CM). Each plot had an area of 50 m2. Fertilization rates were designed based on the MF treatment, and the total annual nutrient input for the MF, PM, and CM treatments was set to 860 kg ha−1 (Table 1). The urea, superphosphate and potassium sulfate were used as chemical N, P2O5, and K2O fertilizers in the experiment. The pig manure and cattle manure were sourced from local livestock farms. The N (50% of total N rate), P, K and organic fertilizers were broadcast by hand and immediately incorporated into the top 0–20 cm soil layer via rotary tillage prior to each sowing. Based on seven-year average measurements, pig manure contained 1.63% N, 2.51% P2O5, and 1.01% K2O; cattle manure contained 1.64% N, 2.58% P2O5, and 0.96% K2O. The contents of nutrients of the pig manure and cattle manure used in the experiment is shown in Table 2. For both the wheat and maize seasons, the ratio of basal to topdressing inorganic N fertilizer was 5:5 across all treatments except for the control treatment. Topdressing N was applied at the jointing stage for wheat and at the V12 stage for maize. P, K, and organic fertilizers were applied once as basal amendments before sowing and soil preparation.

2.2. Sampling and Analyses

2.2.1. Soil Collection and Analysis

Soil sampling was conducted at wheat maturity using an S-shaped zigzag pattern in October 2021. Seven soil cores (0–20 cm depth) per plot were homogenized, air-dried, ground, and passed through a 100-mesh sieve. Soil samples (0.25 g) were digested using an acid digestion method [18]. Digests were diluted to 25 mL with ultrapure water, and concentrations of Fe, Mn, Cu, Zn, Ni, Cd, Pb, As, and Cr were quantified by ICP-OES (PerkinElmer Optima 7300 DV, PerkinElmer, Waltham, MA, USA). A soil standard sample (ISE865, Wageningen University, Wageningen, The Netherlands) was used for quality control.

2.2.2. Grain Collection and Analysis

At the wheat maturity stage, grain yield was determined by harvesting plants from a 4 m2 sampling area in each plot. Uniform stands were cut at the ground level, followed by threshing to separate grains. Representative wheat plants from 1 m double rows in each plot were harvested and separated into grains and straw. Grain samples were carefully rinsed with deionized water, dried at 60–65 °C to a constant weight, and ground into powder using a stainless-steel grinder for micronutrient and HM analysis. Grain samples were digested with HNO3-H2O2 using a microwave-accelerated reaction system (CEM, Matthews, NC, USA). The concentrations of Fe, Mn, Cu, Zn, Ni, Cd, Pb, As, and Cr in the digested solutions were determined by ICP-MS. A standard reference material (IPE126) was used to ensure quality control during the digestion and determination processes. The grain N content was measured using the Kjeldahl method [19] after digestion with H2SO4-H2O2, and the crude protein content was calculated accordingly.

2.3. Calculations

2.3.1. Grain Yield and Protein Content

The wheat grain yield was calculated based on the dry weight of the grains after harvest, converted to a standard moisture content of 14% [17]. The crude protein content was determined by multiplying the grain nitrogen content by a conversion factor of 5.75 [19].

2.3.2. Nutritional Yield Calculation

Nutritional yield (NY) was defined as the number of adults whose daily recommended dietary intake (DRI) of a specific nutrient can be fully met by the crop produced per hectare annually [20]. It was calculated using Equation (1) [20]:
NY = C × GY/DRI/365
where C is the content of protein, Fe, Mn, Cu, or Zn in grains; GY is the dry grain yield per hectare per year; and DRI is the daily dietary reference intake. The DRIs for protein, Fe, Mn, Cu, and Zn are 51 g d−1, 12 mg d−1, 4.5 mg d−1, 0.8 mg d−1, and 12.5 mg d−1, respectively [21].

2.3.3. Non-Carcinogenic Health Risk

Based on the guidelines of the United States Environmental Protection Agency [22], the non-carcinogenic health risk associated with wheat grain consumption was evaluated using the threshold hazard quotient (THQ) and hazard index (HI), calculated via Equations (2) and (3), respectively. A THQ or HI value ≤ 1 indicates no significant non-carcinogenic health risk, while a value > 1 suggests a potential risk [22].
THQ = (C × DI × EF × ED)/(RfD × Bw × ATn)
H I = n = 1 i T H Q n
where C is the HM concentration in grains (mg kg−1); DI is the daily wheat grain intake (94.47 g d−1 for children and 159.9 g d−1 for adults) [23]; EF is the exposure frequency (350 d year−1); ED is the total exposure duration (6 years for children and 30 years for adults); RfD (reference dose, mg·kg−1·d−1) values were Ni = 0.02, Cd = 0.001, Pb = 0.004, As = 0.0003, and Cr = 1.5 [22]; Bw is the average body weight (18.6 kg for children and 61.6 kg for adults) [24]; and ATn is average exposure time (ED × 365 d year−1).

2.3.4. Carcinogenic Health Risk

The threshold cancer risk (TCR) was calculated to assess the lifetime carcinogenic risk associated with grain consumption. The carcinogenic risks of As, Cd, and Pb were estimated using Equation (4) [22]:
TCR = (C × DI × EF × ED × SF)/(Bw × ATc)
where ATc is the average exposure time for carcinogens (70 × 365 days), and SF is the slope factor (μg g−1·d−1), which was 1.5 for As, 6.1 for Cd, and 8.5 × 10−3 for Pb [22]. Other parameters were defined as in Equation (2).

2.3.5. Grain Quality Index Calculation

The grain quality index (GQI) was determined using a soil quality assessment framework adapted from Kuzyakov et al. [25]. We computed the GQI by normalizing elemental contents to 0–1 scores. Positive-monotonic scoring was used for nutritional components (protein, Fe, Mn, Cu, Zn) (Equation (5)), whereas negative-monotonic scoring was used for toxic elements (Ni, Cd, Pb, As, Cr) (Equation (6)) [25].
Ci = C/Cmax
Ci = Cmin/C
where Ci is the linear score of the parameter (0–1); C is the measured grain content of each element; and Cmax and Cmin are the maximum and minimum values of the parameter, respectively.
The GQI was subsequently calculated via the GQI-area approach (Equation (7)), wherein the area in the radar diagram formed by all index scores was quantified [25]:
GQI   =   0.5   × n = 1 i C i 2   ×   sin ( 2 π / n )
where n is the total number of indices.

2.4. Statistical Analysis

Analysis of variance in Values are the means of four replicates and are not significantly different at p < 0.05 when followed by the same lowercase letters 8.0 was used to assess the effects of long-term organic substitution on the content of grain micronutrients, the content of HMs, NY, THQ, HI, TCR, and GQI. Differences in means among treatments were compared using Fisher’s Least Significant Difference (LSD) test at p = 0.05.

3. Results

3.1. Grain Yield and the Protein Content

Crop yield was significantly higher under long-term fertilization than in the control treatment; however, no significant differences were observed among fertilization treatments (Figure 1). Yield was highest in the MF treatment, followed by the CM and PM treatments, and yields were 155.4%, 150.5%, and 136.8% higher in the MF, CM, and PM treatments than in the control treatment, respectively. The grain protein content was highest in the MF treatment (117.6 g kg−1), and it was significantly higher in the MF treatment than in the other treatments. The protein content was significantly higher in the MF and CM treatments than in the CK; the protein content in the PM and CM treatments did not significantly differ.

3.2. Contents of Grain Micronutrients

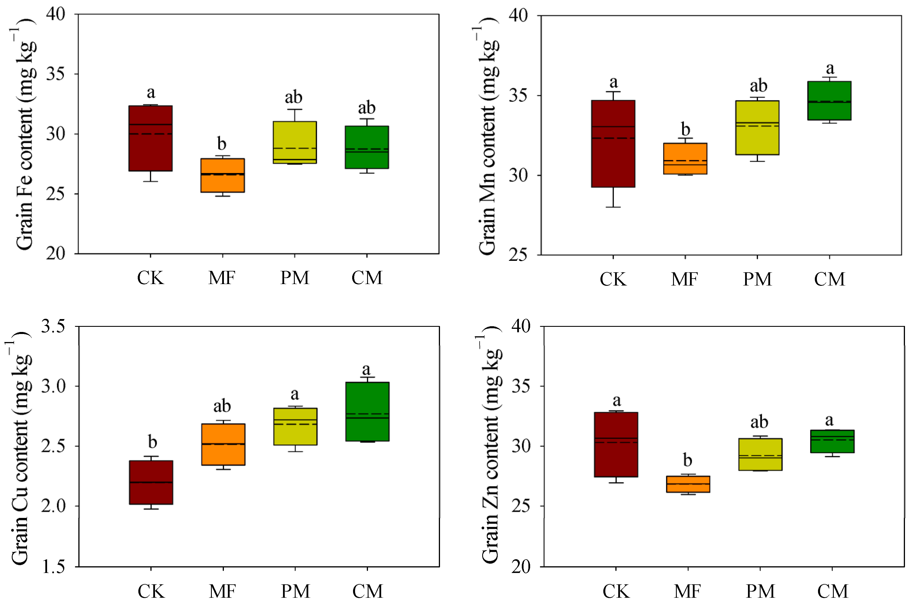
The average content of Fe, Mn, Cu, and Zn in wheat grains was 25.54, 32.74, 2.54, and 29.22 mg kg−1, respectively (Figure 2). The highest grain Fe content was observed in the CK, and it was significantly higher than in the MF treatment; no significant difference in the grain Fe content was observed between the PM and CM treatments. Grain Mn levels were higher in the PM and CK treatments (34.64 and 32.33 mg kg−1, respectively) than in the MF treatment. The grain Cu content was significantly higher in the organic substitution treatments than in the CK. Specifically, Cu was 22.1% and 26.1% higher in the PM and CM treatments than in the CK, respectively. The grain Zn content was lowest in the MF treatment, and it was significantly lower in the MF treatment than in the CK and CM treatments.

3.3. Nutritional Yield

Long-term organic substitution significantly affected the NY of protein, Fe, Mn, Cu, and Zn (Table 3). The NY of protein was highest in the MF treatment, and it was significantly higher than in the PM and CK treatments. The NY of protein in the CM treatment did not significantly differ from that in the MF and PM treatments. Micronutrient yields were highest in the CM treatment (Fe: 50.1, Mn: 162.3, Cu: 72.8, Zn: 51.4 kg ha−1 yr−1), and they were significantly higher than in the CK treatment. However, no significant differences in micronutrient yields were observed among all fertilization treatments.

3.4. Contents of Heavy Metals in Soil and Grain

The soil HM content remained largely unaffected by long-term fertilization (Table 4), and no significant differences were observed in Ni, Cd, As, or Cr among treatments. However, the soil Pb content was significantly higher in the PM and CM treatments than in the CK and MF treatments. In wheat grains, the Ni, Pb, and As content was highest in the PM treatment, and the content of these HMs in the PM treatment significantly differed from that in the MF treatment but not from that in the CM treatment. Grain Cd and Cr levels did not significantly differ among treatments.

3.5. Health Risk Assessment of Heavy Metals in Grains

The THQ values of all HMs were below 1, and the THQ values of individual HMs were larger for children than for adults (Table 5). For both children and adults, the THQ value of As was highest, followed by Ni, Pb, Cd, and Cr. The THQ values of Ni, Pb, and As were significantly affected by organic fertilizer substitution treatments. The THQ values for Ni, Pb, and As were significantly higher in the PM treatment than in the MF treatment. No significant differences in the THQ values of HMs were observed between the CM and PM treatments. No significant differences in Cd and Cr were observed among all treatments. The HI values of all HMs ranged from 0.76 to 1.08 for children and from 0.39 to 0.55 for adults. The HI was significantly higher in the PM and CM treatments than in the CK and MF treatments.
The TCR values of Cd, Pb, and As were generally greater for adults than for children (Table 6). The mean TCR values for Cd, Pb, and As were 2.29 × 10−5, 1.91 × 10−7, and 2.42 × 10−5 for children and 5.86 × 10−5, 4.87 × 10−7, and 6.20 × 10−5 for adults, respectively. Organic fertilizer substitution increased the TCR values for Pb and As for both children and adults.

3.6. Grain Quality Index

Figure 3 shows the responses of protein, micronutrients, and HMs in grains to long-term organic substitution. Micronutrient scores were higher and protein and HM indices were lower in the PM and CM treatments than in the MF treatment. The GQI (Figure 3e) was highest in the CK (2.01), followed by the MF (1.97), PM (1.87), and PM (1.79) treatments. GQI was highest in the CK, and it was significantly higher than in the PM treatment. GQI was similar in the MF and CM treatments, and GQI in these treatments did not significantly differ from that in the other treatments.

4. Discussion

4.1. Effects of Long-Term Organic Substitution on the Grain Yield and Protein Content

Substituting mineral fertilizers with organic fertilizers is an effective measure for improving soil fertility, promoting crop growth, and increasing grain yields, and this measure has been widely applied in intensive production systems in China [11,26]. In our study, substituting mineral fertilizers with organic fertilizers, particularly pig manure, reduced crop yield by 7.2% relative to mineral fertilizer alone. This is in contrast to the yield enhancement typically reported in short-term organic substitution studies [27,28]. This discrepancy is likely explained by the high organic fertilizer substitution ratio. Long-term organic fertilizer application releases nutrients gradually, which often fails to meet immediate crop demands and consequently reduces yields [29]. Meta-analysis data indicate that manure substitution maintains wheat yields when substitution ratios remain below 43% [13], which is consistent with the results of this study. The grain protein content was significantly lower in the organic substitution treatment than in the MF treatment. This difference likely stems from temporal mismatches in nutrient availability, as organic fertilizers primarily supply N in organic forms that mineralize too slowly to meet wheat’s late-stage growth demands [27,30]. In addition, the increase in soil C/N ratio caused by long-term organic fertilizer input may promote N competition between microorganisms and crops, further exacerbating N deficiency during grain formation [31].

4.2. Effects of Long-Term Organic Substitution on the Content and Nutritional Yield of Micronutrients in Grain

Crop micronutrient uptake directly depends on soil nutrient availability [32]. During its degradation, organic fertilizer releases endogenous micronutrients that augment soil micronutrient pools while generating dissolved organic matter and small-molecular organic acids through decomposition. These decomposition products form complexes with micronutrients, decreasing their adsorption to soil colloids and consequently enhancing micronutrient bioavailability [8,33]. In addition, specific growth-promoting bacteria and fungi in the soil play a crucial role in the cycling of micronutrients, which is closely related to the absorption of micronutrients by wheat [34,35]. In our study, micronutrient levels in wheat grains were higher in the organic substitution treatments than in the MF treatment, which is consistent with the findings of Wang et al. [10]. These results demonstrate that organic substitution effectively improves wheat micronutrient nutrition. Wheat grains had significantly higher Fe, Mn, and Zn contents in the CK than MF treatment; this difference likely stemmed from the dilution effect [36]. Patterns of variation in Cu content among treatments are inversely related to those of Fe, Mn, and Zn contents, likely because the absorption and transport of Cu rely heavily on N-mediated processes [37]. Organic substitution with cow manure enhanced the wheat grain micronutrient content more effectively than pig manure, possibly due to the higher organic matter content and C/N ratio in cow manure [38] as well as its more advanced humification. The resulting humic and fulvic acids form more stable complexes with micronutrients [39], reducing soil fixation and promoting their translocation to grains.
Nutritional yield is a critical measure of the capacity of agricultural systems to supply essential nutrients. In wheat-dependent regions, this metric has important implications for dietary nutrition at the population level [40,41]. The NY was consistently higher in the fertilization treatments than in the CK, which is consistent with the results of previous studies [10], while long-term organic fertilizer substitution resulted in lower grain and protein yields compared to MF treatment. The NYs of Fe, Mn, Cu, and Zn showed no significant differences. These findings support the feasibility of maintaining micronutrient supply stability through prolonged organic fertilizer substitution.

4.3. Effects of Long-Term Organic Substitution on the Contents of Heavy Metals in Soil and Grain

The contents of HMs in soil and wheat grain was maintained below USEPA [42] safety thresholds in all treatments, indicating that substitution of 50% mineral fertilizer with organic fertilizers poses no direct HM contamination risk. Wheat grain HM levels in this study remained lower than those reported in North China Plain organic fertilizer trials [43,44], likely due to differences in organic fertilizer supplementation rates. The Ni, Pb, and As content was significantly greater in the PM treatment than in the MF treatment; these findings are consistent with those of Liu et al. [16], showing that grain Pb and As contents were 22.5% and 37.5% higher, respectively, when 40% of mineral fertilizers were substituted with cow manure-based organic fertilizers compared with the control. Organic fertilizer sources further influenced these patterns, as Ni, Pb, and As concentrations were higher in the PM treatment than in the CM treatment, which reflects the greater HM content of pig manure (Table 2) and long-term accumulation risks.

4.4. Human Health Risk Assessment of Wheat Grain After Long-Term Organic Substitution

THQ and HI values were higher for children than for adults, which is consistent with the results of previous studies [17,40]. These findings demonstrate that children are more susceptible to non-carcinogenic health risks from HM exposure. The THQ value was highest for As among all HMs, which accounted for 69.6% of the total HI, highlighting its greater health impact compared with other elements. Similar patterns have been observed in wheat field studies on calcareous soils [43,45]. The HI value was highest in the PM treatment (>1), and it was significantly greater in the PM treatment than in the MF and CK treatments, which reflects the potential health risks associated with the prolonged use of mineral fertilizers combined with pig manure. Couto et al. [38] likewise reported elevated non-carcinogenic risks from pig manure–mineral fertilizer combinations compared to cow manure, with HI for children surpassing 1 after a decade of application.
Cadmium, Pb, and As are considered important carcinogens via the oral route [46]. The carcinogenic risks of As and Cd are generally higher than those of Pb [16], which is consistent with the results of experiments conducted in this region. Therefore, the carcinogenic risks of As and Cd for populations with high wheat intake merit increased attention. The acceptable range of carcinogenic risk for a single HM in wheat grains is 1 × 10−6 to 1 × 10−4 [22]. All carcinogenic risks in this study were within the safe range, indicating that the consumption of wheat grown under the experimental conditions will not pose potential carcinogenic risks to adults or children. Both the non-carcinogenic and carcinogenic health risks posed by As in wheat products remain elevated, and this is particularly concerning for local children.
The risk assessment method used in this study has certain limitations that require consideration. Accurate health risk assessment should be based on the bioavailability of HMs rather than the content in grains [47]. Thus, the THQ, HI, and TCR in this study may overestimate the exposure risks of HMs. Nevertheless, clarifying variation among fertilizer treatments can provide valuable insights into how organic fertilizer substitution affects the nutritional quality of grains.

4.5. Effects of Long-Term Organic Substitution on the Grain Quality Index

Previous research has primarily examined either the beneficial effects of organic substitution on the content of nutrients in crops [10,48] or the detrimental effects of crop substitution on HM accumulation and associated health risks [16,38]; however, holistic assessments of the nutritional quality of grains are lacking. Here, we developed a novel “Grain Quality Index (GQI)” by adapting the conceptual framework and computational approach of soil quality index [25] to provide a more balanced evaluation of the effects of long-term organic substitution on wheat grain nutritional quality. The GQI system integrates both positive nutritional indicators and negative safety risk parameters, overcoming the limitations of single-dimensional assessments.
Application of the GQI method to the experimental data revealed that the GQI was lower in the CM and PM treatments than in the CK and MF treatments. These findings suggest that long-term organic substitution may compromise wheat grain nutritional quality, and the effect of pig manure was the most pronounced. The results highlight the need to address HM contamination risks from organic fertilizers when implementing organic substitution strategies, as these directly affect the quality of agricultural products. Careful selection of organic fertilizer sources and strict regulation of the HM content in livestock manure are also critically important. The GQI assessment method employed here quantitatively integrates the contributions of diverse elements and provides a framework for evaluating crop nutritional quality. Further refinement of indicator weight assignments will be necessary to clarify the health implications of specific elements.
Nevertheless, this evaluation method revealed that organic substitution failed to achieve a balance between crop yield and quality. Wheat yield plays a crucial role in ensuring global food security [49] and should continue to be prioritized in agricultural systems. We calculated nutritional quality weights by comparing the average yield of each treatment to the total mean yield across all treatments to generate a yield-based nutritional quality index (Figure S1). The MF treatment exhibited the highest yield-based GQI, significantly surpassing CK and PM treatments but showing no difference from CM. These findings suggest that mineral fertilizer alone is optimal for maintaining both wheat yield and quality, and comparable outcomes are achieved when it is substituted with cow manure.

4.6. Organic Fertilizer Management in Wheat Production

Substituting mineral fertilizers with organic fertilizers is critically important for enhancing the sustainability of agriculture and achieving China’s dual-carbon objectives (carbon peak and carbon neutrality). This practice should be more widely used. Our results demonstrate that organic substitution reduced crop yields by 4.6% on average (Figure 1) and GQI by 7.0% (Figure 3) relative to the MF treatment. However, it substantially enhanced soil quality and mitigated environmental emissions. Eleven years of organic fertilization were previously shown to increase the SOM content by 10.7% and significantly improve microbial diversity [50]. Zhang et al. [9] also showed that organic substitution reduced total N2O emissions by 33–77%, thereby lowering environmental costs. Although organic substitution only has a marginal effect on grain quality, it remains a preferred fertilization strategy in modern agriculture, especially when using rigorously screened manure. The selection of optimal manure sources (e.g., prioritizing cattle over pig manure) can better preserve crop yield and nutritional quality and help maintain improvements in soil quality, carbon sequestration, and emission reductions.

5. Conclusions

Our 11-year field study revealed that substituting 50% of mineral fertilizer with organic manures significantly affected grain quality of wheat. The content of grain micronutrients (Fe, Mn, Cu, Zn) was 6.7–13.8% higher in the CM treatment than in the MF treatment, and no differences in nutritional quality and yield in the CM and MF treatments were observed. The content of Ni, Pb, and As was 35.4–43.0% higher in the PM treatment than in the MF treatment, which likely stems from the HMs contained in pig manure. Health risk assessments showed that the consumption of PM-grown wheat by children exceeded safety thresholds (HI = 1.08), with As accounting for 69.6% of the non-carcinogenic risk. Although the TCR for all treatments fell below safety limits (<10−4), TCR values for As were higher in the PM treatment than in the MF treatment. Values of our novel GQI metric were similar in the CM and MF treatments, and overall quality was 9.1% lower in the PM treatment than in the MF treatment. These results indicate that cow manure application provides an effective approach for micronutrient biofortification, but stringent HM monitoring is required during the implementation of pig manure-based fertilization measures to safeguard food safety, especially for vulnerable groups.

Supplementary Materials

The following supporting information can be downloaded at: https://www.mdpi.com/article/10.3390/agronomy15102369/s1, Figure S1: Effects of long-term organic substitution on yield-based GQI. Bars with the same lowercase letters are not significantly different according to a Duncan test (p < 0.05).

Author Contributions

Methodology, Y.L. (Yumin Liu); formal analysis, Y.L. (Yumin Liu), X.Z., Z.L., L.M., Y.L. (Yan Li), H.Z. and Y.X.; investigation, Y.L. (Yumin Liu), X.Z., Z.L., L.M., Y.L. (Yan Li), H.Z. and Y.X.; resources, D.T.; writing—original draft preparation, Y.L. (Yumin Liu).; writing—review and editing, D.T.; supervision, D.T.; funding acquisition, D.T. All authors have read and agreed to the published version of the manuscript.

Funding

This research was funded by the National Natural Science Foundation of China (32472846), the Key Research and Development Program (Science and technology demonstration project) of Shandong Province (2022SFGC0303), the National Natural Science Foundation of China (32102486), the Agricultural Science and Technology Innovation Project of Shandong Academy of Agricultural Sciences (CXGC2025C04), the Earmarked Fund for China Agriculture Research System (CARS-03).

Data Availability Statement

The original contributions presented in the study are included in the article/Supplementary Materials, further inquiries can be directed to the corresponding author.

Conflicts of Interest

The authors declare no conflicts of interest.

References

  1. Li, F.; Zhou, M.; Shao, J.; Chen, Z.; Wei, X.; Yang, J. Maize, wheat and rice production potential changes in China under the background of climate change. Agric. Syst. 2020, 182, 102853. [Google Scholar] [CrossRef]
  2. Stewart, W.M.; Dibb, D.W.; Johnston, A.E.; Smyth, T.J. The contribution of commercial fertilizer nutrients to food production. Agron. J. 2005, 97, 1–6. [Google Scholar] [CrossRef]
  3. Guo, J.H.; Liu, X.J.; Zhang, Y.; Shen, J.L.; Han, W.X.; Zhang, W.F.; Christie, P.; Goulding, K.W.T.; Vitousek, P.M.; Zhang, F.S. Significant acidification in major Chinese croplands. Science 2010, 327, 1008–1010. [Google Scholar] [CrossRef] [PubMed]
  4. Blanco-Canqui, H.; Schlegel, A.J. Implications of inorganic fertilization of irrigated corn on soil properties: Lessons learned after 50 years. J. Environ. Qual. 2013, 42, 861–871. [Google Scholar] [CrossRef]
  5. Zhang, Y.; Cao, S.; Zhang, Z.; Meng, X.; Hsiaoping, C.; Yin, C.; Jiang, H.; Wang, S. Nutritional quality and health risks of wheat grains from organic and conventional cropping systems. Food Chem. 2020, 308, 125584. [Google Scholar] [CrossRef]
  6. Ning, C.; Gao, P.; Wang, B.; Lin, W.; Jiang, N.; Cai, K. Impacts of chemical fertilizer reduction and organic amendments supplementation on soil nutrient, enzyme activity and heavy metal content. J. Integr. Agric. 2017, 16, 1819–1831. [Google Scholar] [CrossRef]
  7. Lin, Y.; Ye, G.; Kuzyakov, Y.; Liu, D.; Fan, J.; Ding, W. Long-term manure application increases soil organic matter and aggregation, and alters microbial community structure and keystone taxa. Soil Biol. Biochem. 2019, 134, 187–196. [Google Scholar] [CrossRef]
  8. Laurent, C.; Bravin, M.N.; Crouzet, O.; Pelosi, C.; Tillard, E.; Lecomte, P.; Lamy, L. Increased soil pH and dissolved organic matter after a decade of organic fertilizer application mitigates copper and zinc availability despite contamination. Sci. Total Environ. 2020, 709, 135927. [Google Scholar] [CrossRef]
  9. Ning, C.-C.; Gao, P.-D.; Wang, B.-Q.; Lin, W.-P.; Jiang, N.-H.; Cai, K.-Z. Nitrous oxide emissions, ammonia volatilization, and grain-heavy metal levels during the wheat season: Effect of partial organic substitution for chemical fertilizer. Agric. Ecosyst. Environ. 2021, 311, 107340. [Google Scholar] [CrossRef]
  10. Wang, Y.; Ma, R.; Wei, J.; Fu, X.; Zhang, S.; Zhao, Z.; Lin, H.; Xu, Y.; Tan, D.; Gao, X.; et al. Enhancing micronutrient bioavailability in wheat grain through organic fertilizer substitution. Front. Nutr. 2025, 12, 1559537. [Google Scholar] [CrossRef]
  11. Qaswar, M.; Jing, H.; Ahmed, W.; Li, D.; Liu, S.; Zhang, L.; Cai, A.; Liu, L.; Xu, Y.; Gao, J.; et al. Yield sustainability, soil organic carbon sequestration and nutrients balance under long-term combined application of manure and inorganic fertilizers in acidic paddy soil. Soil Tillage Res. 2020, 198, 104569. [Google Scholar] [CrossRef]
  12. Cui, X.; Zhang, Y.; Gao, J.; Peng, F.; Gao, P. Long-term combined application of manure and chemical fertilizer sustained higher nutrient status and rhizospheric bacterial diversity in reddish paddy soil of Central South China. Sci. Rep. 2018, 8, 16554. [Google Scholar] [CrossRef] [PubMed]
  13. Li, Y.; Wu, X.; He, G.; Wang, Z. Benefits of yield, environment and economy from substituting fertilizer by manure for wheat production of China. Sci. Agric. Sin. 2020, 53, 4879–4890. [Google Scholar]
  14. Martin, J.A.R.; Arias, M.L.; Corbi, J.M.G. Heavy metals contents in agricultural topsoils in the Ebro basin (Spain). Application of the multivariate geostatistical methods to study spatial variations. Environ. Pollut. 2006, 144, 1001–1012. [Google Scholar] [CrossRef]
  15. Qin, G.; Niu, Z.; Yu, J.; Li, Z.; Ma, J.; Xiang, P. Soil heavy metal pollution and food safety in China: Effects, sources and removing technology. Chemosphere 2021, 267, 129205. [Google Scholar] [CrossRef]
  16. Liu, Y.; Ma, R.; Yang, Y.; Wang, J.; Guan, X.; Wang, M.; Li, N.; Xu, Y.; Jiang, L. Effect of partial organic fertilizer substitution on heavy metal accumulation in wheat grains and associated health risks. Agronomy 2023, 13, 2930. [Google Scholar] [CrossRef]
  17. Liu, Y.-M.; Liu, D.-Y.; Zhang, W.; Chen, X.-X.; Zhao, Q.-Y.; Chen, X.-P.; Zou, C.-Q. Health risk assessment of heavy metals (Zn, Cu, Cd, Pb, As and Cr) in wheat grain receiving repeated Zn fertilizers. Environ. Pollut. 2020, 257, 113581. [Google Scholar] [CrossRef]
  18. Micó, C.; Peris, M.; Recatalá, L.; Sánchez, J. Baseline values for heavy metals in agricultural soils in an European Mediterranean region. Sci. Total Environ. 2007, 378, 13–17. [Google Scholar] [CrossRef]
  19. Nelson, D.W.; Somers, L.E. Total carbon, organic carbon, and organic matter. In Methods of Soil Analysis; Miller, A.L., Keeney, R.H., Eds.; American Society of Agronomy-Soil Science Society of America Inc.: Madison, MI, USA, 1982; pp. 539–580. [Google Scholar]
  20. DeFries, R.; Fanzo, J.; Remans, R.; Palm, C.; Wood, S.; Anderman, T.L. Metrics for land-scarce agriculture. Science 2015, 349, 238–240. [Google Scholar] [CrossRef]
  21. Cheng, Y. Dietary nutrient reference intake of Chinese residents. Acta Nutr. Sin. 2014, 4, 313–317. [Google Scholar]
  22. USEPA. Environmental Protection Agency, Region 3, Risk-Based Concentration Table: Technical Background Information; Unites States Environmental Protection Agency: Washington, DC, USA, 2006. [Google Scholar]
  23. Zhai, F.; Yang, X. A Survey on the Chinese National Health and Nutrition II: The National Diet and Nutrition in 2002; Peoples Medial Publishing House: Beijing, China, 2006; pp. 145–146. [Google Scholar]
  24. Huang, M.; Zhou, S.; Sun, B.; Zhao, Q. Heavy metals in wheat grain: Assessment of potential health risk for inhabitants in Kunshan, China. Sci. Total Environ. 2008, 405, 54–61. [Google Scholar] [PubMed]
  25. Kuzyakov, Y.; Gunina, A.; Zamanian, K.; Tian, J.; Luo, Y.; Xu, X.; Yudina, A.; Aponte, H.; Alharbi, H.; Ge, T.; et al. New approaches for evaluation of soil health, sensitivity and resistance to degradation. Front. Agric. Sci. Eng. 2020, 7, 282–288. [Google Scholar] [CrossRef]
  26. Li, X.; Li, B.; Chen, L.; Liang, J.; Huang, R.; Tang, X. Partial substitution of chemical fertilizer with organic fertilizer over seven years increases yields and restores soil bacterial community diversity in wheat-rice rotation. Eur. J. Agron. 2022, 133, 126445. [Google Scholar] [CrossRef]
  27. Sileshi, G.W.; Jama, B.; Vanlauwe, B.; Negassa, W.; Harawa, R.; Kiwia, A.; Kimani, D. Nutrient use efficiency and crop yield response to the combined application of cattle manure and inorganic fertilizer in sub- Saharan Africa. Nutr. Cycl. Agroecosyst. 2019, 113, 181–199. [Google Scholar] [CrossRef]
  28. Sun, R.; Wang, D.; Guo, Z.; Hua, K.; Guo, X.; Chen, Y.; Liu, B.; Chu, H. Combined application of organic manure and chemical fertilizers stabilizes soil N-cycling microflora. Soil Ecol. Lett. 2023, 5, 1–7. [Google Scholar] [CrossRef]
  29. Xin, X.; Qin, S.; Zhang, J.; Zhu, A.; Yang, W.; Zhang, X. Yield, phosphorus use efficiency and balance response to substituting long- term chemical fertilizer use with organic manure in a wheat-maize system. Field Crops Res. 2017, 208, 27–33. [Google Scholar] [CrossRef]
  30. Yang, X.; Zhang, S.; Yuan, X.; Tong, Y. Long-term experiment on effect of organic manure and chemical fertilizer on distribution, accumulation and movement of NO3-N in soil. Plant Nutr. Fertil. 2001, 7, 134–138. [Google Scholar]
  31. Xu, Z.; Zhang, T.; Wang, S.; Wang, Z. Soil pH and C/N ratio determines spatial variations in soil microbial communities and enzymatic activities of the agricultural ecosystems in Northeast China: Jilin Province case. Appl. Soil Ecol. 2020, 155, 103629. [Google Scholar] [CrossRef]
  32. Cakmak, I. Enrichment of cereal grains with zinc: Agronomic or genetic biofortification? Plant Soil 2008, 302, 1–17. [Google Scholar] [CrossRef]
  33. Fan, T.-T.; Wang, Y.-J.; Li, C.-B.; He, J.-Z.; Gao, J.; Zhou, D.-M.; Friedman, S.P.; Sparks, D.L. Effect of organic matter on sorption of Zn on soil: Elucidation by Wien effect measurements and EXAFS spectroscopy. Environ. Sci. Technol. 2016, 50, 2931–2937. [Google Scholar] [CrossRef]
  34. Xiao, H.; Wang, B.; Lu, S.; Chen, D.; Wu, Y.; Zhu, Y.; Hu, S.; Bai, Y. Soil acidification reduces the effects of short term nutrient enrichment on plant and soil biota and their interactions in grasslands. Glob. Change Biol. 2020, 8, 4626–4637. [Google Scholar] [CrossRef]
  35. Kou, X.; Ma, N.; Zhang, X.; Xie, H.; Zhang, X.; Wu, Z.; Liang, W.; Li, Q.; Ferris, H. Frequency of stover mulching but not amount regulates the decomposition pathways of soil micro-food webs in a no-tillage system. Soil Biol. Biochem. 2020, 144, 107789. [Google Scholar] [CrossRef]
  36. Morgounov, A.; Hugo, F.G.-B.; Abugalieva, A.; Dzhunusova, M.; Yessimbekova, M.M. Iron and zinc grain density in common wheat grown in central asia. Euphytica 2007, 155, 193–203. [Google Scholar] [CrossRef]
  37. Hill, J.; Robson, A.; Loneragan, J. The effects of copper and nitrogen supply on the retranslocation of copper in four cultivars of wheat. Aust. J. Agric. Res. 1978, 29, 925–939. [Google Scholar] [CrossRef]
  38. Couto, R.d.R.; Faversani, J.; Ceretta, C.A.; Ferreira, P.A.A.; Marchezan, C.; Facco, D.B.; Garlet, L.P.; Silva, J.S.; Comin, J.J.; Bizzi, C.A.; et al. Health risk assessment and soil and plant heavy metal and bromine contents in field plots after ten years of organic and mineral fertilization. Ecotoxicol. Environ. Saf. 2018, 153, 142–150. [Google Scholar] [CrossRef] [PubMed]
  39. Park, J.H.; Lamb, D.; Paneerselvam, P.; Choppala, G.; Bolan, N.; Chung, J. Role of organic amendments on enhanced bioremediation of heavy metal(loid) contaminated soils. J. Hazard. Mater. 2011, 185, 549–574. [Google Scholar] [CrossRef] [PubMed]
  40. Chen, X.; Jiao, J.; Cao, W.; Yu, B.; Liu, Y.; Zou, Q. A sustainable phosphorus management in agriculture: Assessing trade-offs between human health risks and nutritional yield regarding heavy metals in maize grain. Environ. Res. 2022, 203, 111792. [Google Scholar] [CrossRef]
  41. Sergio, M.A.; Hans, L.; Maria, P.L.; Eva, J. Mineral nutritional yield and nutrient density of locally adapted wheat genotypes under organic production. Foods 2016, 5, 89. [Google Scholar] [CrossRef]
  42. USEPA. Environmental Protection Agency, Region 9, Preliminary Remediation Goals. 2012. Available online: http://www.epa.gov/region9/superfund/prg/ (accessed on 1 January 2022).
  43. Zhang, Y.; Yin, C.; Cao, S.; Cheng, L.; Wu, G.; Guo, J. Heavy metal accumulation and health risk assessment in soil-wheat system under different nitrogen levels. Sci. Total Environ. 2018, 622–623, 1499–1508. [Google Scholar] [CrossRef]
  44. Ru, S.; Xu, W.; Hou, L.; Sun, S.; Zhang, G.; Wang, L.; Su, D. Effects of continuous application of organic fertilizer on the accumulation and migration of heavy metals in soil-crop systems. Ecol. Environ. Sci. 2019, 28, 2070–2078. [Google Scholar]
  45. Lei, L.; Liang, D.; Yu, D.; Chen, Y.; Song, W.; Li, J. Human health risk assessment of heavy metals in the irrigated area of Jinghui, Shaanxi, China, in terms of wheat flour consumption. Environ. Monit. Assess. 2015, 187, 647. [Google Scholar] [CrossRef]
  46. International Agency for Research on Cancer. Complete List of Agents Evaluated and Their Classification; The International Agency for Research on Cancer: Lyon, France, 2009. [Google Scholar]
  47. Oomen, A.G.; Hack, A.; Minekus, M.; Zeijdner, E.; Cornelis, C.; Schoeters, G.; Verstraete, W.; Van de Wiele, T.; Wragg, J.; Rompelberg, C.J.M.; et al. Comparison of five in vitro digestion models to study the bioaccessibility of soil contaminants. Environ. Sci. Technol. 2002, 36, 3326. [Google Scholar] [CrossRef]
  48. Wajid, K.; Ahmad, K.; Khan, Z.I.; Nadeem, M.; Bashir, H.; Chen, F.; Ugulu, I. Effect of organic manure and mineral fertilizers on bioaccumulation and translocation of trace metals in maize. Bull. Environ. Contam. Toxicol. 2020, 104, 649–657. [Google Scholar] [CrossRef]
  49. Balkovič, J.; van der Velde, M.; Skalský, R.; Xiong, W.; Folberth, C.; Khabarov, N.; Smirnov, A.; Mueller, N.D.; Obersteiner, M. Global wheat production potentials and management flexibility under the representative concentration pathways. Glob. Planet. Change 2014, 122, 107–121. [Google Scholar] [CrossRef]
  50. Zhang, L.; Ma, L.; Li, Y.; Zheng, F.; Wei, J.; Tan, D.; Cui, X.; Li, Y. Effects of long-term synergistic application of organic materials and chemical fertilizers on bacterial community and enzyme activity in wheat-maize rotation Fluvo-Aquic soil. Sci. Agric. Sin. 2023, 56, 3843–3855. [Google Scholar]
Figure 1. Effects of long-term organic substitution on the wheat grain yield and grain protein content. The same lowercase letters are not significantly different at p < 0.05.
Figure 1. Effects of long-term organic substitution on the wheat grain yield and grain protein content. The same lowercase letters are not significantly different at p < 0.05.
Agronomy 15 02369 g001
Figure 2. Effects of long-term organic substitution on the content of Fe, Mn, Cu, and Zn in wheat grains. The same lowercase letters are not significantly different at p < 0.05.
Figure 2. Effects of long-term organic substitution on the content of Fe, Mn, Cu, and Zn in wheat grains. The same lowercase letters are not significantly different at p < 0.05.
Agronomy 15 02369 g002
Figure 3. Radar graphs for grain indicators under CK (a), MF (b), PM (c), and CM (d), and overall grain quality index (GQI) in response to long-term organic substitution (e). The same lowercase letters are not significantly different at p < 0.05.
Figure 3. Radar graphs for grain indicators under CK (a), MF (b), PM (c), and CM (d), and overall grain quality index (GQI) in response to long-term organic substitution (e). The same lowercase letters are not significantly different at p < 0.05.
Agronomy 15 02369 g003
Table 1. Description of fertilizer treatments in this study.
Table 1. Description of fertilizer treatments in this study.
TreatmentsFertilizer FormWheat SeasonMaize SeasonTotal
NP2O5K2ONP2O5K2O
(kg ha−1)
CKInorganic0000000
Organic000000
MFInorganic3001201002504545860
Organic000000
PMInorganic150605012522.522.5860
Organic68105426810542
CMInorganic150605012522.522.5860
Organic68108396810839
Note: CK—No fertilization control; MF—mineral fertilizer treatment; PM—50% mineral fertilizer + 6000 kg ha−1 pig manure; CM—50% mineral fertilizer + 6000 kg ha−1 cattle manure.
Table 2. The contents of micronutrient and heavy metals in organic manure and inorganic fertilizers used in the experiment.
Table 2. The contents of micronutrient and heavy metals in organic manure and inorganic fertilizers used in the experiment.
Fertilizer SourceFeMnCuZnNi CdPbAsCr
mg kg−1
Pig manure325.2195.512.1233.120.51.52120.780.7
Cattle manure298.5201.815.2264.416.91.420.212.783.5
Urea<0.1<0.1<0.1<0.10.46<0.1<0.1<0.10.52
Superphosphate17.52.980.820.6512.70.218.459.5212.1
Potassium sulfate 1.120.58<0.10.210.38<0.10.720.221.25
Table 3. Effects of long-term organic substitution on the nutritional yield of protein, Fe, Mn, Cu, and Zn.
Table 3. Effects of long-term organic substitution on the nutritional yield of protein, Fe, Mn, Cu, and Zn.
TreatmentsNutritional Yield (Adults ha−1 year−1)
ProteinFeMnCuZn
CK14.1 ± 2.26 c21.2 ± 5.26 b60.7 ± 14.70 b22.9 ± 3.20 b20.3 ± 3.44 b
MF49.5 ± 5.64 a47.5 ± 5.17 a147.5 ± 15.51 a67.2 ± 2.16 a46.0 ± 3.12 a
PM39.9 ± 4.79 b47.8 ± 4.94 a146.2 ± 9.36 a66.8 ± 6.92 a46.4 ± 1.96 a
CM43.8 ± 4.56 ab50.1 ± 3.68 a162.3 ± 24.82 a72.8 ± 11.49 a51.4 ± 6.72 a
Note: Values are the means of four replicates and are not significantly different at p < 0.05 when followed by the same lowercase letters.
Table 4. Effects of long-term organic substitution on the content of Fe, Mn, Cu, and Zn in soil and wheat grain.
Table 4. Effects of long-term organic substitution on the content of Fe, Mn, Cu, and Zn in soil and wheat grain.
TreatmentsContent of Heavy Metals in Soil (mg kg−1)
NiCdPbAsCr
CK28.58 ± 1.73 a0.25 ± 0.01 a21.03 ± 1.70 c11.98 ± 1.10 a51.73 ± 4.59 a
MF28.46 ± 3.68 a0.25 ± 0.02 a21.50 ± 2.40 bc12.24 ± 1.20 a50.87 ± 6.14 a
PM30.58 ± 0.74 a0.26 ± 0.01 a23.98 ± 0.60 a12.63 ± 1.55 a51.25 ± 4.43 a
CM30.42 ± 1.26 a0.26 ± 0.02 a23.79 ± 1.05 ab12.13 ± 0.99 a52.04 ± 3.03 a
TreatmentsContent of Heavy Metals in Grain
Ni (mg kg−1)Cd (μg kg−1)Pb (μg kg−1)As (μg kg−1)Cr (mg kg−1)
CK0.58 ± 0.09 ab9.28 ± 1.37 a44.32 ± 2.53 b31.68 ± 5.80 c2.22 ± 0.41 a
MF0.50 ± 0.07 b8.68 ± 1.31 a46.94 ± 2.21 b34.93 ± 6.34 bc2.17 ± 0.34 a
PM0.71 ± 0.09 a8.99 ± 3.10 a63.56 ± 6.90 a47.93 ± 5.40 a2.38 ± 0.39 a
CM0.67 ± 0.09 a9.33 ± 1.05 a60.09 ± 4.19 a42.61 ± 4.22 ab2.27 ± 0.27 a
Note: Values are the means of four replicates and are not significantly different at p < 0.05 when followed by the same lowercase letters.
Table 5. Effects of long-term organic substitution on the threshold hazard quotient and hazard index of heavy metals in wheat grains.
Table 5. Effects of long-term organic substitution on the threshold hazard quotient and hazard index of heavy metals in wheat grains.
TreatmentsThreshold Hazard QuotientHazard Index
NiCdPbAsCr
(×10−1)(×10−1)(×10−1) (×10−3)
Children
CK1.42 ± 0.22 ab0.45 ± 0.07 a0.54 ± 0.03 b0.51 ± 0.09 c0.72 ± 0.13 a0.76 ± 0.11 c
MF1.21 ± 0.16 b0.42 ± 0.06 a0.57 ± 0.03 b0.57 ± 0.10 bc0.70 ± 0.11 a0.80 ± 0.12 bc
PM1.74 ± 0.23 a0.44 ± 0.15 a0.77 ± 0.08 a0.78 ± 0.09 a0.77 ± 0.13 a1.08 ± 0.08 a
CM1.62 ± 0.23 a0.45 ± 0.05 a0.73 ± 0.05 a0.69 ± 0.07 ab0.74 ± 0.09 a0.98 ± 0.06 ab
Adults
CK0.72 ± 0.11 ab0.23 ± 0.03 a0.28 ± 0.02 b0.27 ± 0.05 c0.37 ± 0.07 a0.39 ± 0.06 c
MF0.62 ± 0.08 b0.22 ± 0.03 a0.29 ± 0.01 b0.29 ± 0.05 bc0.36 ± 0.06 a0.41 ± 0.06 bc
PM0.89 ± 0.12 a0.22 ± 0.08 a0.40 ± 0.04 a0.40 ± 0.04 a0.40 ± 0.07 a0.55 ± 0.04 a
CM0.83 ± 0.12 a0.23 ± 0.03 a0.37 ± 0.03 a0.35 ± 0.04 ab0.38 ± 0.04 a0.50 ± 0.03 ab
Note: Values are the means of four replicates and are not significantly different at p < 0.05 when followed by the same lowercase letters.
Table 6. Effects of long-term organic substitution on the threshold cancer risk of Cd, Pb, and As in wheat grains.
Table 6. Effects of long-term organic substitution on the threshold cancer risk of Cd, Pb, and As in wheat grains.
TreatmentsThreshold Cancer Risk
Cd (×10−5)Pb (×10−7)As (×10−5)
ChildrenAdultsChildrenAdultsChildrenAdults
CK2.36 ± 0.35 a6.04 ± 0.90 a1.57 ± 0.09 b4.02 ± 0.23 b1.98 ± 0.36 c5.07 ± 0.93 c
MF2.21 ± 0.33 a5.65 ± 0.86 a1.67 ± 0.08 b4.26 ± 0.20 b2.20 ± 0.40 bc5.62 ± 1.01 bc
PM2.29 ± 0.79 a5.85 ± 2.02 a2.26 ± 0.25 a5.76 ± 0.63 a3.00 ± 0.34 a7.67 ± 0.86 a
CM2.37 ± 0.27 a6.07 ± 0.68 a2.13 ± 0.16 a5.45 ± 0.40 a2.67 ± 0.26 ab6.82 ± 0.68 ab
Note: Values are the means of four replicates and are not significantly different at p < 0.05 when followed by the same lowercase letters.
Disclaimer/Publisher’s Note: The statements, opinions and data contained in all publications are solely those of the individual author(s) and contributor(s) and not of MDPI and/or the editor(s). MDPI and/or the editor(s) disclaim responsibility for any injury to people or property resulting from any ideas, methods, instructions or products referred to in the content.

Share and Cite

MDPI and ACS Style

Liu, Y.; Zhou, X.; Li, Z.; Ma, L.; Li, Y.; Zhao, H.; Xu, Y.; Tan, D. Benefits and Trade-Offs of Long-Term Organic Fertilization Substitution: Wheat Grain Nutrition and Heavy Metal Risks in an 11-Year Field Trial. Agronomy 2025, 15, 2369. https://doi.org/10.3390/agronomy15102369

AMA Style

Liu Y, Zhou X, Li Z, Ma L, Li Y, Zhao H, Xu Y, Tan D. Benefits and Trade-Offs of Long-Term Organic Fertilization Substitution: Wheat Grain Nutrition and Heavy Metal Risks in an 11-Year Field Trial. Agronomy. 2025; 15(10):2369. https://doi.org/10.3390/agronomy15102369

Chicago/Turabian Style

Liu, Yumin, Xiaolin Zhou, Zishuang Li, Lei Ma, Yan Li, Huanyu Zhao, Yu Xu, and Deshui Tan. 2025. "Benefits and Trade-Offs of Long-Term Organic Fertilization Substitution: Wheat Grain Nutrition and Heavy Metal Risks in an 11-Year Field Trial" Agronomy 15, no. 10: 2369. https://doi.org/10.3390/agronomy15102369

APA Style

Liu, Y., Zhou, X., Li, Z., Ma, L., Li, Y., Zhao, H., Xu, Y., & Tan, D. (2025). Benefits and Trade-Offs of Long-Term Organic Fertilization Substitution: Wheat Grain Nutrition and Heavy Metal Risks in an 11-Year Field Trial. Agronomy, 15(10), 2369. https://doi.org/10.3390/agronomy15102369

Note that from the first issue of 2016, this journal uses article numbers instead of page numbers. See further details here.

Article Metrics

Back to TopTop