Abstract
The joint adoption of agronomic practices has often been employed to maximize the efficiency of production inputs, especially water and nutrients. Potato (Solanum tuberosum) is a highly demanding crop in both water and nutrients. This study aimed to determine the most appropriate strategy for irrigation frequency and planting fertilization depth in potato cultivated in amended soil, in order to maximize plant growth, tuber yield, and tuber quality. Field experiments were conducted over two growing seasons, with irrigation frequencies of daily irrigation and irrigation every 4, 7, and 10 days, and planting fertilization depths of 10 and 20 cm. Irrigation frequency significantly affected agronomic traits, water consumption, potato growth, and tuber quality. Treatments did not influence root development across different soil layers. Irrigation intervals of 1 and 4 days promoted greater plant growth. A 7-day irrigation interval enhanced specific gravity and soluble solids in tubers, while a 10-day interval increased tuber dry matter content by up to 18% compared to daily irrigation (IF1). Decreasing irrigation frequency reduced the irrigation depth without affecting yield and average tuber mass, and improved water productivity. Water productivity increased by up to 32% under the 10 day irrigation interval (IF10) compared to IF1. Therefore, reducing irrigation frequency is a promising strategy to improve water use efficiency in potato cultivation.
1. Introduction
Agronomic practices aimed at improving the efficiency of water and fertilizer use are essential in scenarios of increasing water and nutrient scarcity. Although crop species differ in their physiology and root architecture, studies on tomato [], millet [], wheat [], rice [,], and soybean [] have consistently shown positive results with the combined use of deep fertilization, gypsum application, subsoiling, and spaced irrigation frequency. These practices share common mechanisms: they improve soil structure and porosity, reduce compaction, increase nutrient availability in deeper soil layers, and stimulate deeper root growth. As a result, crops can access water stored in deeper soil layers and make more efficient use of applied fertilizers, reducing losses through ammonia volatilization and leaching. Moreover, deep fertilization helps ensure that part of the nutrients not utilized in the current crop remain available in deeper layers, where they can be recycled by subsequent crops. Since these mechanisms are not crop-specific, they are also relevant for potato cultivation, supporting the potential effectiveness of these practices in this species.
The topsoil dries rapidly under high temperatures and elevated evaporation rates, reducing mass flow and nutrient diffusion [,,]. Several studies have demonstrated increased fertilizer efficiency and yield gains when fertilizers were placed at 10–15 cm [,,,], 15–20 cm [,], 25–30 cm [,], and more than 30 cm depth [,].
At greater depths, soil moisture is believed to be higher and less variable compared to surface conditions. Higher moisture enhances nutrient availability, increasing plant uptake. However, the success of deep fertilization depends not only on the water regime, but also on the season, crop, soil type, cropping system, nutrient mobility, and soil fertility [].
Irrigation, when combined with appropriate deep fertilization management, can enhance the development of the root system of agricultural crops, enabling exploration of a larger soil volume []. Research indicates that the interaction effect between fertilization depth and irrigation frequency plays a critical role in enhancing nutrient use efficiency and improving plant tolerance to periods of moderate water deficit [,]. This interaction, rather than the independent application of each practice, is a key aspect often overlooked in current research. This synergy between water and nutrient management is especially relevant in short-cycle crops with high nutrient demand, where synchrony between nutrient supply and plant demand is decisive for final yield.
Another relevant aspect is that deep fertilization, combined with the improvement of soil physical conditions through subsoiling and gypsum application, helps reduce chemical and physical barriers to root growth. Agricultural gypsum, for example, increases calcium saturation in subsurface layers and decreases aluminum toxicity, allowing roots to reach deeper zones more easily [,]. This effect, together with increased water availability and the strategic placement of nutrients, results in greater yield stability, even under irregular rainfall conditions.
Potato (Solanum tuberosum) is one of the most economically important vegetables in Brazil, with the state of Minas Gerais being the largest producer of this tuber. The cultivar Ágata occupies the largest planted area and is primarily intended for fresh consumption []. The potato is a fast-growing plant with high water and nutrient requirements. Therefore, fertilization and irrigation are practices that significantly increase potato yield.
This study aimed to determine the most appropriate strategy of irrigation frequency and planting fertilization depth in potato cultivated in soil amended with gypsum and subsoiling, in order to maximize plant growth, yield, and tuber quality. We hypothesize that the joint adoption of low irrigation frequency (spaced intervals of 7 or 10 days) and deep planting fertilization (20 cm) will stimulate deeper root growth, enhancing the efficiency of deep fertilization, increasing water use efficiency, and improving tuber quality, reflected in higher dry matter content and soluble solids.
2. Materials and Methods
2.1. Description of the Experimental Area
Field experiments were conducted over two growing seasons, 2020 and 2021, at the Irrigation and Drainage Experimental Area of the Federal University of Viçosa, Viçosa, Minas Gerais, Brazil (20°46′9.6″ S, 42°51′42.4″ W, 651 m). The local soil is clayey []. Table 1 presents the chemical and physical-hydraulic properties of the soil, determined according to Teixeira et al. []. The local climate is classified as Cwa according to Köppen, corresponding to a humid subtropical climate with dry and cold winters and hot, rainy summers, with an average annual temperature of 21.8 °C and annual precipitation of 1361 mm []. The behavior of daily climatic variables, obtained from a Davis meteorological station (Vantage Pro, Davis, CA, USA) installed adjacent to the experimental area during both growing seasons, are presented in Figure 1.

Table 1.
Chemical and physical-hydraulic properties of two soil layers in the experimental area.

Figure 1.
Daily meteorological data, including average air temperature (T), average relative humidity (RH), wind speed (WS), solar radiation (SR), reference evapotranspiration (ETo), and pluvial precipitation (PP).
2.2. Treatments and Experimental Design
Both experiments were conducted in a factorial scheme (4 × 2) within a randomized complete block design with five replications, totaling 40 plots. The factors were four irrigation frequencies and two depth fertilizations. The irrigation frequency treatments consisted of four intervals: daily (IF1), every 4 days (IF4), every 7 days (IF7), and every 10 days (IF10). Depth fertilizations were 10 cm (DF10) and 20 cm (DF20). Each plot consisted of a single row with ten plants (3.0 m2).
2.3. Potato Nutrition
To eliminate physical and chemical barriers in the soil and allow the study to focus on the effects of the interaction between irrigation and fertilization depth, 1.0 Mg ha−1 of agricultural gypsum (17% Ca, 14% S) was applied prior to soil preparation, according to soil texture [], and deep subsoiling was performed. The gypsum was evenly spread on the soil surface and incorporated to a depth of 30 cm using mechanical tillage to ensure uniform distribution. Depth fertilization corresponded to 30% of the recommended nitrogen (N) dose, 24% of potassium (K), and 100% of phosphorus (P), using 750 kg ha−1 of a formulated fertilizer (4–14–8) plus 210 kg ha−1 of single superphosphate (0–20–0), based on soil chemical analysis []. The remaining N and K were applied via fertigation according to the potato K uptake curve [], using 422 kg ha−1 of potassium chloride (0–0–59) and 156 kg ha−1 of urea (45–0–0). Additionally, 5.9 kg ha−1 of boric acid (17% B) was applied. In both seasons, the total nutrients applied through fertilizers were 100 kg ha−1 N, 145 kg ha−1 P2O5, 250 kg ha−1 K2O, 280 kg ha−1 Ca, 230 kg ha−1 S, and 1 kg ha−1 B.
2.4. Tuber Planting and Agronomic Practices
Pre-plant–soil preparation was performed conventionally using a disk plow, rotary hoe, and subsoiler to loosen soil layers and improve aeration. A cultivator was used to open furrows at 1.0 m spacing, 10 cm and 20 cm deep for fertilizer deposition according to DF10 and DF20 treatments, respectively. Furrows were then covered with 5 cm and 15 cm of soil, respectively. Potato tubers of cultivar Ágata (~78 g) were spaced every 30 cm, and furrows were completely covered with a 5 cm layer of soil. Cultivar Ágata is the main variety planted in Brazil for fresh consumption [,]. Planting occurred on 8 June 2020 and 7 April 2021.
Hilling was performed 30 days after planting (DAP), forming ridges 20–25 cm high and 60 cm wide. This practice, widely adopted by Brazilian farmers, helps control weeds, protect tubers from solar radiation, and improve soil drainage and aeration [,]. Insects and diseases were controlled using standard recommended practices for potato cultivation [].
2.5. Irrigation Management
A surface drip irrigation system was used. Each drip tape had a 16 mm diameter with emitters spaced every 30 cm, emitter flow rate of 1.40 L h−1, and operating pressure of 1.0 bar. One drip tape was installed per plant row, and each tape was independent to allow precise water and nutrient application. After planting, one irrigation was applied to bring the soil moisture to field capacity.
The amount of water applied in each of the four irrigation frequency treatments was determined based on the current soil moisture. Two tensiometers were installed per treatment at 20 and 40 cm depth. Tension readings were taken daily between 8:00 and 10:00 h. Irrigations were performed according to the assigned irrigation frequency (1, 4, 7, or 10 days) during the irrigation management period from 15 to 80 DAP. Up to 15 DAP, the soil was maintained near field capacity to ensure good tuber sprouting. Irrigation ceased after 80 DAP for harvest.
Tension readings were converted into soil moisture using the soil water retention curve obtained by the Richards chamber method (Figure 2). The Van Genuchten model was applied [], considering soil hydraulic properties. Irrigation depth was calculated for each treatment according to Equation (1) [].
where ID—irrigation depth (mm); θFC—soil volumetric moisture at field capacity (m3 m−3); θa—actual volumetric soil moisture before irrigation (m3 m−3); Zr—effective rooting depth (mm); and IE—irrigation efficiency, considered as the uniformity of water distribution obtained from the field test (decimal).

Figure 2.
Soil water retention curve.
2.6. Water Consumption
The actual water consumption during the potato growing seasons was calculated based on the soil water balance [,], using Equation (2).
where WC—water consumption (mm); ID—irrigation depth (mm); Pe—effective precipitation (mm); Cr—capillary rise (mm); Ro—surface runoff (mm); Dp—deep percolation (mm); and ∆θ—soil water depth variation between planting and harvest (mm).
In Equation (2), Cr was considered negligible because the groundwater table was more than 15 m below the surface, Ro was also considered insignificant since the experimental area is flat, and Dp was significant only during rainfall events.
The effective precipitation was calculated by multiplying the total precipitation (P) by the localization coefficient [], according to Equation (3). The localization coefficient was determined based on the percentage of wetted area (PWA, %), which was 50% in this study. This value follows the recommendation of Bernardo et al. [] and was obtained from field measurements using the trench method, in which the wet bulb produced by the emitter was measured and divided by the emitter area defined by the spacing between emitters and lateral lines.
where Pe—effective precipitation (mm); and PWA—percentage of wetted area (%).
2.7. Measured Variables
Photosynthesis and stomatal conductance were determined using a portable infrared gas exchange analyzer (LI-Cor Bioscience, model LI-Cor 6400, Lincoln, NE, USA) under a photosynthetically active radiation of 1200 µmol m−2 s−1 [] and atmospheric CO2 concentration of approximately 410 ppm []. Measurements were conducted between 09:00 and 11:00 a.m. on the fourth healthy, fully expanded leaf from the top of the plant. For each plot, four leaves were measured to ensure representative readings.
The normalized difference vegetation index (NDVI) was measured with a portable ground-based remote sensing device (Trimble, GreenSeeker, Ukiah, CA, USA) at 70 cm above the canopy surface, weekly from the beginning of sprouting. Plant canopy height (cm) was measured with a graduated ruler at the peak of growth (~70 DAP).
Tuber yield of all plants in each plot was determined at 90 DAP. Yield was classified into three categories: Class I (>70 mm), Class II (70–42 mm), and Class III (42–28 mm), based on transverse diameter [].
Potato tuber quality was assessed after harvest. Soluble solids were measured from tuber juice using a portable digital refractometer (Hanna, model HI 96801, São Paulo, SP, BRA) with automatic temperature compensation (at 25 °C). Dry matter was calculated from fresh and dry weights after oven-drying at 70 °C with forced ventilation for 72 h. A subsample of ~3.0 kg of tubers from each plot was used to determine specific gravity by the weight-in-air/weight-in-water method [].
For root system evaluation, soil samples were collected every 10 cm at 60 DAP in each plot using a cylindrical hollow auger of 150 mm diameter, centered on the potato plant stem. From each plant, soil samples were taken at depths of 0–10, 10–20, 20–30, and 30–40 cm, with one plant sampled per plot. Roots were washed, separated, and oven-dried at 60 °C for 72 h to determine dry weight. Root density was determined as the ratio between dry matter and sample volume. Simultaneously, plants were collected to obtain fresh biomass. Leaf area was determined from photographic images []. The leaf area index was calculated by dividing plant leaf area by plant ground area (0.3 m2).
2.8. Data Analysis
The analyzed variables were subjected to analysis of variance using the F-test (p < 0.05), and means were compared using Tukey’s test (p < 0.05) with the ExpDes.pt package [] available in R software, version 4.4.2 [].
3. Results
3.1. Soil Water Potential
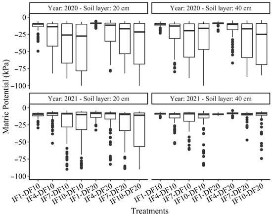
Soil matric potential fluctuations increased substantially with reduced irrigation frequency in both growing seasons, particularly in the surface soil layer (0–20 cm) (Figure 3). The highest mean values were observed at the highest frequencies (−10.2 kPa in IF1 and −17.6 kPa in IF4), whereas the lowest values occurred at the lowest frequencies (−26.0 kPa in IF7 and −29.3 kPa in IF10). Regarding fertilization depth, the 10 cm treatment showed lower mean values (−21.6 kPa in DF10) compared with 20 cm (−20.0 kPa in DF20). Additionally, matric potential fluctuations were more pronounced in 2020 (mean of −25.7 kPa) than in 2021 (mean of −15.9 kPa).

Figure 3.
Boxplot of daily soil matric potential throughout the entire potato growing season for treatments with irrigation frequency (IF1, IF4, IF7, and IF10) and depth fertilization (DF10 and DF20).
3.2. Potato Water Demand
The soil water balance indicated that irrigation frequency affected potato water demand (Table 2). In general, decreasing irrigation frequency reduces water consumption. In the 2020 and 2021 growing seasons, reference evapotranspiration (ETo) by Penman–Monteith was 187.7 mm and 176.7 mm, and effective precipitation was 14.1 mm and 58.7 mm, respectively. Compared with IF1, crop evapotranspiration was 0% and 4% lower in IF4, 14% and 9% lower in IF7, and 18% and 13% lower in IF10 in 2020 and 2021, respectively.

Table 2.
Reference evapotranspiration (ETo) by Penman–Monteith, irrigation depth (ID), effective precipitation (Pe), soil water depth variation between planting and harvest (Δθ), and crop evapotranspiration (ETc) for each irrigation frequency.
3.3. Plant Height, Cumulative NDVI, and Gas Exchange
The cumulative NDVI vegetation index was not significantly influenced by the factors evaluated (Table 3). Plant height was significantly affected by irrigation frequency in 2020 and by fertilization depth in 2021. Daily irrigation (IF1) and irrigation every 4 days (IF4) in 2020, as well as fertilization at 10 cm depth (DF10) in 2021, promoted greater plant height. A 10-day irrigation frequency (IF10) resulted in reduced plant height, as well as decreases in net photosynthesis and stomatal conductance during the 2020 crop cycle (Table 3). Irrigation frequencies of 4 (IF4) and 7 (IF7) days significantly enhanced leaf gas exchange in potato plants.

Table 3.
Effect of irrigation frequency and basal depth fertilization on cumulative NDVI, plant height, net photosynthesis (Pn), and stomatal conductance (gs) of potato leaves in the 2020 and 2021 growing seasons. Significance tested by analysis of variance (ANOVA). Means followed by different letters within the same column differ according to Tukey’s test (p < 0.05).
3.4. Fresh Biomass and Leaf Area Index (LAI)
Irrigation frequency had a significant effect on plant fresh biomass in 2021 and on leaf area index (LAI) in 2020 (Table 4). Compared with IF1, fresh biomass was reduced by 15% in IF4, 12% in IF7, and 31% in IF10 in 2021. LAI, in turn, increased by 25% in IF4, 6% in IF7, and decreased by 18% in IF10 in 2020. Basal fertilization depths had no significant effect on either fresh biomass or LAI, and no interaction between the evaluated factors was observed.

Table 4.
Effect of irrigation frequencies and basal depth fertilization on potato plant fresh biomass and leaf area index in the 2020 and 2021 growing seasons. Significance tested by analysis of variance (ANOVA). Means followed by different letters within the same column differ according to Tukey’s test (p < 0.05).
3.5. Marketable Yield, Average Tuber Weight, and Water Productivity
Marketable tuber yield was not significantly affected by the factors evaluated (Table 5). However, average tuber weight was influenced by the interaction between irrigation frequency and fertilization depth. Average tuber weight was significantly higher in the IF7-DF10 treatment (136 g) compared with IF7-DF20 (110 g), corresponding to a difference of 23.6% (Figure 4). Furthermore, water productivity was significantly affected by irrigation frequency in 2021. Lower irrigation frequencies promoted greater water use efficiency, resulting in higher water productivity: 25% in IF4, 20% in IF7, and 32% in IF10, compared with the IF1 treatment in 2021.

Table 5.
Effect of irrigation frequency and depth fertilization on potato marketable tuber yield, average tuber weight, and water productivity in the 2020 and 2021 growing seasons. Significance tested by analysis of variance (ANOVA). Means followed by different letters within the same column differ according to Tukey’s test (p < 0.05).

Figure 4.
Average tuber weight (g) of potato as a function of the interaction between irrigation frequency (IF) and fertilization depth (DF) in the 2020 cycle. Bars followed by the same letter do not differ according to Tukey’s test (p < 0.05).
3.6. Root System
Irrigation frequency had a significant effect only in 2020, in the 30–40 cm soil layer, where the highest root density was observed in the IF1 treatment (0.12 mg cm−3), while IF10 showed the lowest value (0.07 mg cm−3) (Table 6). Regarding fertilization depth, potato root density was higher in DF10 (0.09 mg cm−3) compared to DF20 (0.07 mg cm−3) only in 2020 in the 20–30 cm soil layer. In the other layers (0–10 cm and 10–20 cm), no significant effects of irrigation frequency or fertilization depth were observed.

Table 6.
Effect of irrigation frequency and depth fertilization on potato root density (mg cm−3) for soil layers 0–10 cm, 10–20 cm, 20–30 cm, and 30–40 cm in the 2020 and 2021 growing seasons. Significance tested by analysis of variance (ANOVA). Means followed by different letters within the same column differ according to Tukey’s test (p < 0.05).
3.7. Tuber Quality
Irrigation frequency significantly affected specific gravity in 2020, dry matter in 2020 and 2021, and soluble solids in 2020 (Table 7). In 2020, the highest specific gravity was observed in IF7 (1.097), while IF1 showed the lowest value (1.090). Tuber dry matter was higher under lower irrigation frequencies, with 15.0% in IF4, 15.8% in IF7, and 16.7% in IF10, compared with 14.2% in IF1. In 2021, values followed the same trend, ranging from 13.3% in IF1 to 15.3% in IF10. For soluble solids in 2020, IF7 showed the highest value (5.90 °Brix), while the lowest values were observed in IF1 (5.35 °Brix) and IF4 (5.18 °Brix). No significant effects of fertilization depth were observed for tuber quality traits.

Table 7.
Effect of irrigation frequency and depth fertilization on potato tuber quality, dry matter, and soluble solids in the 2020 and 2021 growing seasons. Significance tested by analysis of variance (ANOVA). Means followed by different letters within the same column differ according to Tukey’s test (p < 0.05).
4. Discussion
Irrigation frequency influenced the dynamics of soil matric potential and, consequently, the availability of water to potato plants. Reduced irrigation frequency promoted greater fluctuations in soil moisture, particularly in the surface layer (0–20 cm), creating a water potential gradient capable of stimulating deeper root growth. To the same end, basal fertilization was positioned at depths of 10 cm (DF10) and 20 cm (DF20), aiming to promote root expansion. In addition, the 2021 growing season began approximately two months earlier than in 2020, coinciding with higher rainfall during the experimental period, totaling an additional 44.6 mm. As a result, soil water potential dynamics did not follow the same pattern observed in 2020, with lower water depletion from the soil. The difference in mean matric potential between years was 8.0 kPa for the 0–20 cm layer and 11.6 kPa for the 20–40 cm layer. This distinct soil moisture condition may have influenced the results obtained in the present study. Furthermore, atmospheric water demand, expressed as reference evapotranspiration (ETo), was approximately 6% lower in 2021 compared with 2020.
Consequently, the soil water balance indicated that crop evapotranspiration (ETc) decreased as irrigation frequency was reduced, with declines of up to 4% under IF4, 14% under IF7, and 18% under IF10 in 2020, and 0%, 9%, and 13% in the respective treatments in 2021. This reduction in ETc is associated with greater soil water depletion under lower irrigation frequency, when matric potential becomes more negative and water uptake by roots is hindered due to higher retention energy. Accordingly, transpiration and crop evapotranspiration decrease, as previously reported for potato [] and tomato []. Moreover, the water regime that drove ETc variation also influenced plant height, particularly in 2020, with reductions of 5.2% under IF7 and 10.8% under IF10 compared with IF1, while IF4 showed no difference. In 2021, the greater water availability in the surface soil layer, provided by increased precipitation, favored shoot growth under fertilization at 10 cm (DF10) compared with 20 cm (DF20).
The water regimes imposed by different irrigation frequencies also resulted in higher gas exchange rates under IF4. Net photosynthesis decreased by 7.4% in IF1 and 14.5% in IF10 compared with IF4 during the 2020 season, suggesting distinct physiological limitation mechanisms. Specifically, in IF1, daily irrigation likely reduced soil aeration, favoring root hypoxia and restricting root respiration, whereas in IF10, lower water availability promoted stomatal closure, reducing stomatal conductance and, consequently, CO2 assimilation. Similar situations have been reported in tomato under contrasting soil moisture regimes [], highlighting the role of abscisic acid (ABA) as a key phytohormone in drought stress signaling and stomatal regulation []. In 2020, the IF4 water regime, which showed the highest net photosynthesis, also promoted greater plant biomass accumulation and higher leaf area index (LAI), although only LAI was statistically significant. This behavior suggests that intermediate irrigation frequency supported the maintenance of photosynthetic activity and leaf development, reflecting greater water use efficiency compared with IF1 and IF10. The biomass increase observed under intermediate irrigation frequency (IF4) in 2020 can be explained by the balance between water availability and soil aeration, favoring net photosynthesis and leaf development, thus enhancing water use efficiency, as also reported for potato and other crops [,].
The improvement in water productivity observed under IF10 in 2021 is associated with the plants’ ability to extract water efficiently under longer irrigation cycles, making better use of surface soil moisture and reducing evaporation losses, as evidenced in subsurface drip systems in clay soils [,]. These results indicate that the combination of an adequate water regime and soil management contributes both to biomass accumulation and water use efficiency. In 2021, characterized by greater precipitation, the highest biomass and LAI values were observed under IF1. Under these conditions, greater water availability in the surface layer, combined with fertilizer placement at 10 cm depth (DF10), favored shoot growth. Marketable tuber yield was not significantly affected by the factors studied in either year. This result can be explained by the fertile soil type and the use of subsurface drip irrigation, which maintained adequate soil moisture for potato growth regardless of irrigation frequency. Reducing irrigation frequency decreased the applied water depth because longer irrigation intervals allowed plants to use soil water more efficiently, particularly in surface layers, without compromising root water uptake and, consequently, maintaining yield and average tuber weight. This yield response suggests that the water regimes applied in this study maintained soil water availability within a range that did not limit tuber production, consistent with the period of lower sensitivity of potato to water stress []. However, average tuber mass was statistically influenced by the interaction of the evaluated factors: the combination of 7-day irrigation and 10 cm fertilization depth resulted in the highest value (136 g). In 2021, water regime significantly impacted water productivity, with IF10 presenting values 32.5% higher than IF1, whereas productivity under IF1 was 16.1% lower than under IF10. In contrast, in 2020, productivity under IF1 was 11.9% higher than under IF10.
Roots have been the focus of research due to the strong relationship between root development and yield []. Deep fertilization is a practice adopted to enhance root profile exploration and reduce nutrient losses. Consequently, this strategy has increased crop yield and fertilizer efficiency [,,,]. In the present study, in general, neither irrigation frequency nor fertilization depth consistently altered root density across the soil profile. The only exception occurred in 2020, in the 30–40 cm layer, where IF1 showed higher root density compared with other treatments (Table 6), contrary to the initial hypothesis. In other layers, the lack of significant effects may be attributed to the natural concentration of potato roots in surface layers (0–10 cm) and the adequate availability of water and nutrients, which likely reduced the influence of irrigation and fertilization strategies. These patterns are consistent with previous studies showing that most of the potato root system is concentrated in the surface soil layers [,].
Postharvest traits, such as specific gravity, dry matter content, and soluble solids, are key determinants of potato tuber quality. The values obtained in this study were close to those reported for the cultivar Ágata in previous works [,]. Among the evaluated factors, the lowest irrigation frequency (IF10) significantly increased dry matter content, with increments of 16.9% in 2020 and 15.0% in 2021 compared with daily irrigation (IF1). For fresh consumption, dry matter contents below 20% are considered adequate. The findings of this study contribute to advancing knowledge on defining irrigation frequency and fertilization depth in potato, with implications for shoot development, root growth, yield, and tuber quality. These results complement previous observations [], particularly regarding fertilization at different depths. Although this strategy has proven effective under rainfed conditions and in low-fertility soils [], in this study, conducted in fertile and irrigated soil, no consistent effect of fertilization depth was observed. Defining an appropriate irrigation frequency is essential to increase water use efficiency and, consequently, improve the sustainability of crop production. However, the optimal frequency must consider factors such as crop species, plant density, phenological stage, soil type, climatic conditions, and fertilization management [,]. Moreover, further studies are needed to identify which nutrients have greater response potential to deeper placement and how different soil textural classes influence this response. Clay soils retain more water than sandy soils, enabling good yields even under lower irrigation frequencies [,], whereas sandy soils require more frequent water replenishment []. Additionally, practices such as gypsum application and subsoiling favor deeper root growth and increase the availability of mobile nutrients, such as calcium and sulfur, enhancing the effects of irrigation and fertilization.
Finally, some limitations of this study include conducting only two growing seasons, in a single clay soil type, and using only the Ágata cultivar, which limits the generalization of the results. Furthermore, physiological or biochemical variables that could provide more insight into water and nutrient uptake mechanisms were not evaluated.
5. Conclusions
The interaction effect between irrigation frequency and fertilization depth was not observed for the measured variables.
Irrigation frequency affected potato growth and tuber quality traits. Irrigations at 1- and 4-day intervals promoted greater plant growth. A 7-day irrigation frequency increased tuber specific gravity and soluble solids, while a 10-day frequency increased tuber dry matter. Reducing irrigation frequency decreased the applied water depth without affecting yield or average tuber weight and improved water productivity. However, the practical adoption of this strategy depends on factors such as the capacity and availability of the irrigation system, soil type, the cultivar used, and economic considerations. Clay soils with higher water retention may be more suitable for extended irrigation intervals, while sandy soils may require more frequent irrigation. Additionally, economic feasibility and management adaptability at the production scale should be considered.
Overall, these results indicate that proper management of irrigation frequency is a broadly applicable strategy to optimize water use efficiency and maintain tuber quality in potato production systems.
These findings complement previous studies on potato and other crops, highlighting adaptation mechanisms to water stress and the crop’s sensitivity limits to water availability. For future research, it is recommended to investigate the interaction between irrigation frequency and fertilization depth across different soil types, test different potato cultivars, and include physiological and biochemical variables to explain responses to water stress. Additional studies could also evaluate the efficiency of deep fertilization under controlled water deficit conditions and the response of specific nutrients at different soil depths.
Author Contributions
Conceptualization, G.H.d.S. and F.F.d.C.; methodology, G.H.d.S., A.R.P. and F.F.d.C.; validation, G.H.d.S., A.R.P., J.H.V., E.M.d.F. and F.F.d.C.; formal analysis, G.H.d.S.; investigation, G.H.d.S., A.R.P., J.H.V. and E.M.d.F.; resources, G.H.d.S., A.R.P. and F.F.d.C.; software, G.H.d.S. and A.R.P.; data curation, G.H.d.S., J.H.V. and E.M.d.F.; writing—original draft preparation, G.H.d.S. and F.F.d.C.; writing—review and editing, G.H.d.S. and F.F.d.C.; visualization, G.H.d.S., A.R.P., J.H.V., E.M.d.F. and F.F.d.C.; supervision, F.F.d.C.; project administration, F.F.d.C.; funding acquisition, F.F.d.C. All authors have read and agreed to the published version of the manuscript.
Funding
This research was funded by Coordination for the Improvement of Higher Education Personnel, Brazil (CAPES), Finance Code 001 and the National Council for Scientific and Technological Development, Brazil (CNPq), Process 308769/2022-8.
Institutional Review Board Statement
Not applicable.
Informed Consent Statement
Not applicable.
Data Availability Statement
The original contributions presented in this study are included in the article. Further inquiries can be directed at the corresponding authors.
Acknowledgments
We thank the Department of Agriculture Engineering (DEA) and the Graduate Program in Agricultural Engineering (PPGEA) of the Federal University of Viçosa (UFV) for supporting the researchers.
Conflicts of Interest
The authors declare no conflicts of interest.
Abbreviations
The following abbreviations are used in this manuscript:
B | Boron |
Bd | Soil bulk density |
Ca | Calcium |
CO2 | Carbon dioxide |
Cr | Capillary rise |
Cwa | Humid temperate climate with dry winter and hot summer |
DAP | Days after planting |
DEA | Department of Agricultural Engineering |
DF | Depth fertilization |
Dp | Deep percolation |
ETc | Crop evapotranspiration |
ETo | Reference evapotranspiration |
IE | Irrigation efficiency |
gs | Stomatal conductance |
ID | Irrigation depth |
IF | Irrigation frequency |
K | Potassium |
K2O | Potassium |
KCl | Potassium chloride |
LAI | Leaf area index |
Mg | Magnesium |
N | Nitrogen |
n | Van Genuchten water retention curve parameter |
NDVI | Normalized difference vegetation index |
OM | Organic matter |
P | Phosphorus |
P2O5 | Phosphorus |
Pe | Effective precipitation |
pH | Hydrogen potential |
Pn | Net photosynthesis |
PP | Pluvial precipitation |
PWA | Percentage of wetted area |
RH | Relative humidity |
Ro | Surface runoff |
S | Sulfur |
SR | Solar radiation |
T | Air temperature |
UFV | Federal University of Vicosa |
USA | United States of America |
WC | Water consumption |
WS | Wind speed |
Zr | Effective rooting depth |
α | Van Genuchten air entry pressure parameter |
Δθ | Soil water depth variation |
θa | Actual soil moisture |
θFC | Field capacity |
θPWP | Permanent wilting point |
θr | Van Genuchten residual soil moisture |
θs | Van Genuchten saturated soil moisture |
References
- Fara, S.J.; Delazari, F.T.; Gomes, R.S.; Araújo, W.L.; Silva, D.J.H. Stomata opening and productiveness response of fresh market tomato under different irrigation intervals. Sci. Hortic. 2019, 255, 86–95. [Google Scholar] [CrossRef]
- Oliveira, G.A.; Ribeiro, O.L.; Araújo, G.G.L.; Campos, F.S.; Tabosa, J.N.; Regitano Neto, A.; Silva, T.G.F.; Loures, D.R.S.; Gois, G.C. Pearl millet genotypes irrigated with brackish water under different levels of agricultural gypsum. Grasses 2025, 4, 13. [Google Scholar] [CrossRef]
- Abbas, F.; Siddique, T.; Fan, R.; Azeem, M. Role of gypsum in conserving soil moisture macronutrients uptake and improving wheat yield in the rainfed area. Water 2023, 15, 1011. [Google Scholar] [CrossRef]
- Pan, S.; Wen, X.; Wang, Z.; Ashraf, U.; Tian, H.; Duan, M.; Mo, Z.; Fan, P.; Tang, X. Benefits of mechanized deep placement of nitrogen fertilizer in direct-seeded rice in South China. Field Crops Res. 2017, 203, 139–149. [Google Scholar] [CrossRef]
- Wu, M.; Li, G.; Li, W.; Liu, J.; Liu, M.; Jiang, C.; Li, Z. Nitrogen fertilizer deep placement for increased grain yield and nitrogen recovery efficiency in rice grown in subtropical China. Front. Plant Sci. 2017, 8, 1227. [Google Scholar] [CrossRef]
- Li, X.Y.; Wang, J.H.; Lin, X.; Chen, Z.Q. Effect of irrigation and fertilization on soybean growth and yield in different soil types. Mol. Soil Biol. 2024, 15, 216–226. [Google Scholar] [CrossRef]
- Querejeta, J.I.; Ren, W.; Prieto, I. Vertical decoupling of soil nutrients and water under climate warming reduces plant cumulative nutrient uptake, water-use efficiency and productivity. New Phytol. 2021, 230, 1378–1393. [Google Scholar] [CrossRef]
- Bauke, S.L.; Amelung, W.; Bol, R.; Brandt, L.; Brüggemann, N.; Kandeler, E.; Meyer, N.; Or, D.; Schnepf, A.; Schloter, M.; et al. Soil water status shapes nutrient cycling in agroecosystems from micrometer to landscape scales. J. Plant Nutr. Soil Sci. 2022, 185, 773–792. [Google Scholar] [CrossRef]
- Maire, H.; Mohsen, Z.; Pascal, B.; Mathias, H.; Maren, D. Root and rhizosphere traits for enhanced water and nutrients uptake efficiency in dynamic environments. Front. Plant Sci. 2024, 15, 1383373. [Google Scholar] [CrossRef]
- Yao, Y.; Zhang, M.; Tian, Y.; Zhao, M.; Zhang, B.; Zeng, K.; Zhao, M.; Yin, B. Urea deep placement in combination with Azolla for reducing nitrogen loss and improving fertilizer nitrogen recovery in rice field. Field Crops Res. 2018, 218, 141–149. [Google Scholar] [CrossRef]
- Li, L.; Wu, T.; Li, Y.; Hu, X.; Wang, Z.; Liu, J.; Qin, W.; Ashraf, U. Deep fertilization improves rice productivity and reduces ammonia emissions from rice fields in China; a meta-analysis. Field Crops Res. 2022, 289, 108704. [Google Scholar] [CrossRef]
- Chen, G.; Cai, T.; Wang, J.; Wang, Y.; Ren, L.; Wu, P.; Zhang, P.; Jia, Z. Suitable fertilizer application depth enhances the efficient utilization of key resources and improves crop productivity in rainfed farmland on the Loess Plateau, China. Front. Plant Sci. 2022, 13, 900352. [Google Scholar] [CrossRef]
- Li, S.; Liu, Z.; Li, J.; Liu, Z.; Gu, X.; Shi, L. Cow manure compost promotes maize growth and ameliorates soil quality in saline-alkali soil: Role of fertilizer addition rate and application depth. Sustainability 2022, 14, 10088. [Google Scholar] [CrossRef]
- Wu, P.; Liu, F.; Chen, G.; Wang, J.; Huang, F.; Cai, T.; Zhang, P.; Jia, Z. Can deep fertilizer application enhance maize productivity by delaying leaf senescence and decreasing nitrate residue levels? Field Crops Res. 2022, 277, 108417. [Google Scholar] [CrossRef]
- Zhang, N.; Luo, H.; Li, H.; Bao, M.; Liu, E.; Shan, W.; Ren, X.; Jia, Z.; Siddique, K.H.M.; Zhang, P. Maximizing potato tuber yields and nitrogen use efficiency in semi-arid environments by precision fertilizer depth application. Eur. J. Agron. 2024, 156, 127147. [Google Scholar] [CrossRef]
- Ma, Q.; Rengel, Z.; Rose, T. The effectiveness of deep placement of fertilisers is determined by crop species and edaphic conditions in Mediterranean-type environments: A review. Soil Res. 2009, 47, 19–32. [Google Scholar] [CrossRef]
- Jia, X.; Wang, Y.; Zhang, Q.; Lin, S.; Zhang, Y.; Du, M.; Chen, M.; Ye, J.; Wu, Z.; Wang, H. Reasonable deep application of sheep manure fertilizer to alleviate soil acidification to improve tea yield and quality. Front. Plant Sci. 2023, 14, 1179960. [Google Scholar] [CrossRef]
- Guo, Y.; Wang, Z.; Li, J. Effects of phosphorus fertilizer type and dripline depth on root and soil nutrient distribution, nutrient uptake, and maize yield under subsurface drip fertigation. Field Crops Res. 2024, 318, 109585. [Google Scholar] [CrossRef]
- Islam, S.M.M.; Gaihre, Y.K.; Islam, M.R.; Islam, A.; Singh, U.; Sander, B.O. Effects of integrated plant nutrition systems with fertilizer deep placement on rice yields and nitrogen use efficiency under different irrigation regimes. Heliyon 2023, 9, e23110. [Google Scholar] [CrossRef]
- Susin, F.M.C.; Silvestre, W.P.; Cocco, C.; Dal Magro, T.; Pauletti, G.F.; Conte, E.D. Soil chemical parameters with the use of agricultural gypsum and effects on the apple tree crop. Int. J. Plant Biol. 2023, 14, 986–997. [Google Scholar] [CrossRef]
- Shruthi; Prakash, N.B.; Dhumgond, P.; Goiba, P.M.; Laxmanarayanan, M. The benefits of gypsum for sustainable management and utilization of acid soils. Plant Soil 2024, 504, 5–28. [Google Scholar] [CrossRef]
- Beling, R.R. Anuário Brasileiro de Horti & Fruti; Editora Gazeta Santa Cruz: Santa Cruz do Sul, Brazil, 2021; p. 104. [Google Scholar]
- Santos, H.G.; Jacomine, P.K.T.; Anjos, L.H.C.; Oliveira, V.A.; Lumbreras, J.F.; Coelho, M.R.; Almeida, J.A.; Araujo Filho, J.C.; Oliveira, J.B.; Cunha, T.J.F. Sistema Brasileiro de Classificação de Solos; Embrapa Solos: Brasília, Brazil, 2018; p. 356. [Google Scholar]
- Teixeira, P.C.; Donagemma, G.K.; Fontana, A.; Teixeira, W.G. Manual de Métodos de Análise de Solo; Embrapa Solos: Brasília, Brazil, 2017; p. 574. [Google Scholar]
- Alvares, C.A.; Stape, J.L.; Sentelhas, P.C.; Gonçalves, J.L.M.; Sparovek, G. Köppen’s climate classification map for Brazil. Meteorol. Z. 2013, 22, 711–728. [Google Scholar] [CrossRef] [PubMed]
- Ribeiro, A.C.; Guimarães, P.T.G.; Alvarez, V.H. Recomendações Para o uso de Corretivos e Fertilizantes em Minas Gerais; Comissão de Fertilidade do Solo do Estado de Minas Gerais: Viçosa, Brazil, 1999; p. 359. [Google Scholar]
- Fernandes, A.M.; Soratto, R.P.; Silva, B.L. Extração e exportação de nutrientes em cultivares de batata: I—macronutrientes. Rev. Bras. Cienc. Solo 2011, 35, 2039–2056. [Google Scholar] [CrossRef]
- Assunção, N.S.; Fernandes, A.M.; Soratto, R.P.; Mota, L.H.S.O.; Ribeiro, N.P.; Leonel, M. Tuber yield and quality of two potato cultivars in response to nitrogen fertilizer management. Potato Res. 2021, 64, 147–166. [Google Scholar] [CrossRef]
- Fontes, P.C.R.; Nick, C. Olericultura Teoria e Prática; Editora UFV: Viçosa, Brazil, 2019; p. 632. [Google Scholar]
- Nick, C.; Borém, A. Batata do Plantio a Colheita; Editora UFV: Viçosa, Brazil, 2017; p. 221. [Google Scholar]
- Van Genuchten, M.T. A closed form equation for predicting the hydraulic conductivity of unsaturated soils. Soil Sci. Soc. Am. J. 1980, 44, 892–898. [Google Scholar] [CrossRef]
- Souza, S.A.; Vieira, J.H.; Farias, D.B.S.; Silva, G.H.; Aleman, C.C. Impact of irrigation frequency and planting density on bean’s morpho-physiological and productive traits. Water 2020, 12, 2468. [Google Scholar] [CrossRef]
- Silva, G.H.; Cunha, F.F.; Morais, C.V.; Freitas, A.R.J.; Silva, D.J.H.; Souza, C.M. Mulching materials and wetted soil percentages on zucchini cultivation. Cienc. Agrotec. 2020, 44, 6720. [Google Scholar] [CrossRef]
- Keller, J.; Bliesner, R.D. Sprinkler and Trickle Irrigation; Avi Book: New York, NY, USA, 1990; p. 659. [Google Scholar]
- Bernardo, S.; Mantovani, E.C.; Silva, D.D.; Soares, A.A. Manual de Irrigação; Editora UFV: Viçosa, MG, Brazil, 2019; p. 545. [Google Scholar]
- Antunes, W.C.; Provart, N.J.; Williams, T.C.R.; Loureiro, M.E. Changes in stomatal function and water use efficiency in potato plants with altered sucrolytic activity. Plant Cell Environ. 2012, 35, 747–759. [Google Scholar] [CrossRef]
- Ramírez, D.A.; Yactayo, W.; Rens, L.R.; Rolando, J.L.; Palacios, S.; Mendiburu, F.; Mares, V.; Barreda, C.; Loayza, H.; Monneveux, P.; et al. Defining biological thresholds associated to plant water status for monitoring water restriction effects: Stomatal conductance and photosynthesis recovery as key indicators in potato. Agric. Water Manag. 2016, 177, 369–378. [Google Scholar] [CrossRef]
- CEAGESP. Batata—Solanum tuberosum L.: Normas de Classificação; Companhia de Entrepostos e Armazéns Gerais de São Paulo: São Paulo, Brazil, 2015; p. 6. [Google Scholar]
- Gao, X.; Shaw, W.S.; Tenuta, M.; Gibson, D. Yield and nitrogen use of irrigated processing potato in response to placement, timing and source of nitrogen fertilizer in Manitoba. Am. J. Potato Res. 2018, 95, 513–525. [Google Scholar] [CrossRef]
- Ferreira, E.B.; Cavalcanti, P.P.; Nogueira, D.A. ExpDes.pt: Pacote Experimental Designs, 1.0 version; CRAN: São Paulo, Brazil, 2021. Available online: https://cran.r-project.org/web/packages/ExpDes.pt/index.html (accessed on 27 November 2024).
- R Development Core Team. R: A Language and Environment for Statistical Computing, 4.4.2 version; R Development Core Team: Vienna, Austria, 2024. Available online: www.r-project.org/ (accessed on 27 November 2024).
- Wang, F.X.; Kang, Y.; Liu, S.P.; Hou, X.Y. Effects of soil matric potential on potato growth under drip irrigation in the North China Plain. Agric. Water Manag. 2007, 88, 34–42. [Google Scholar] [CrossRef]
- Ali, S.; Hayat, K.; Iqbal, A.; Xie, L. Implications of abscisic acid in the drought stress tolerance of plants. Agronomy 2020, 10, 1323. [Google Scholar] [CrossRef]
- Mekonnen, L. Effects of irrigation interval on growth analysis of soybean [(Glycine max (L.) Merr.]. J. Nat. Sci. Res. 2018, 8, 15–17. [Google Scholar]
- Okasha, E.M.; El-Metwally, I.M.; Taha, N.M.; Darwesh, R.K. Impact of drip and gated pipe irrigation systems, irrigation intervals on yield, productivity of irrigation water and quality of two common bean (Phaseolus vulgaris L.) cultivars in heavy clay soil. Egypt. J. Chem. 2020, 63, 5103–5116. [Google Scholar] [CrossRef]
- Bossolani, J.W.; Crusciol, C.A.C.; Moretti, L.G.; Garcia, A.; Portugal, J.R.; Bernart, L.; Vilela, R.G.; Caires, E.F.; Amado, T.J.C.; Calonego, J.C.; et al. Improving soil fertility with lime and phosphogypsum enhances soybean yield and physiological characteristics. Agron. Sustain. Dev. 2022, 42, 26. [Google Scholar] [CrossRef]
- Miah, A.M.; Gaihre, Y.K.; Hunter, G.; Singh, U.; Hossain, S.A. Fertilizer deep placement increases rice production: Evidence from farmers’ fields in southern Bangladesh. Agron. J. 2016, 108, 805–812. [Google Scholar] [CrossRef]
- Niedziński, T.; Rutkowska, B.; Łabętowicz, J.; Szulc, W. Effect of deep placement fertilization on the distribution of biomass, nutrients, and root system development in potato plants. Plants 2023, 12, 1880. [Google Scholar] [CrossRef]
- Evangelista, R.M.; Nardin, I.; Fernandes, A.M.; Soratto, R.P. Qualidade nutricional e esverdeamento pós-colheita de tubérculos de cultivares de batata. Pesqui. Agropecu. Bras. 2011, 46, 953–960. [Google Scholar] [CrossRef]
- Silva, E.F.; Jadoski, S.O.; Martinkoski, L. Water depletion depth for irrigation of potato cultivar ágata. Eng. Agríc. 2019, 39, 34–43. [Google Scholar] [CrossRef]
- Amare, D.G.; Abebe, Z.K. Review on the effect of irrigation interval on different crop production. Int. J. Plant Soil Sci. 2020, 32, 1–13. [Google Scholar] [CrossRef]
- Zhang, G.; Shen, D.; Ming, B.; Xie, R.; Jin, X.; Liu, C.; Hou, P.; Xue, J.; Chen, J.; Zhang, W.; et al. Using irrigation intervals to optimize water-use efficiency and maize yield in Xinjiang, northwest China. Crop J. 2019, 7, 322–334. [Google Scholar] [CrossRef]
Disclaimer/Publisher’s Note: The statements, opinions and data contained in all publications are solely those of the individual author(s) and contributor(s) and not of MDPI and/or the editor(s). MDPI and/or the editor(s) disclaim responsibility for any injury to people or property resulting from any ideas, methods, instructions or products referred to in the content. |
© 2025 by the authors. Licensee MDPI, Basel, Switzerland. This article is an open access article distributed under the terms and conditions of the Creative Commons Attribution (CC BY) license (https://creativecommons.org/licenses/by/4.0/).