Influence of Temperature on the Fatty Acid Profile of Hemp (Cannabis sativa L.) Oil Grown in the Mediterranean Region
Abstract
1. Introduction
2. Materials and Methods
2.1. Plant Materials and Field Trials
2.2. Experimental Design and Seed Sample Collection
2.3. Fatty Acid Determination
2.4. Statistical Analysis
3. Results
3.1. Fatty Acid Composition at Seed Maturity
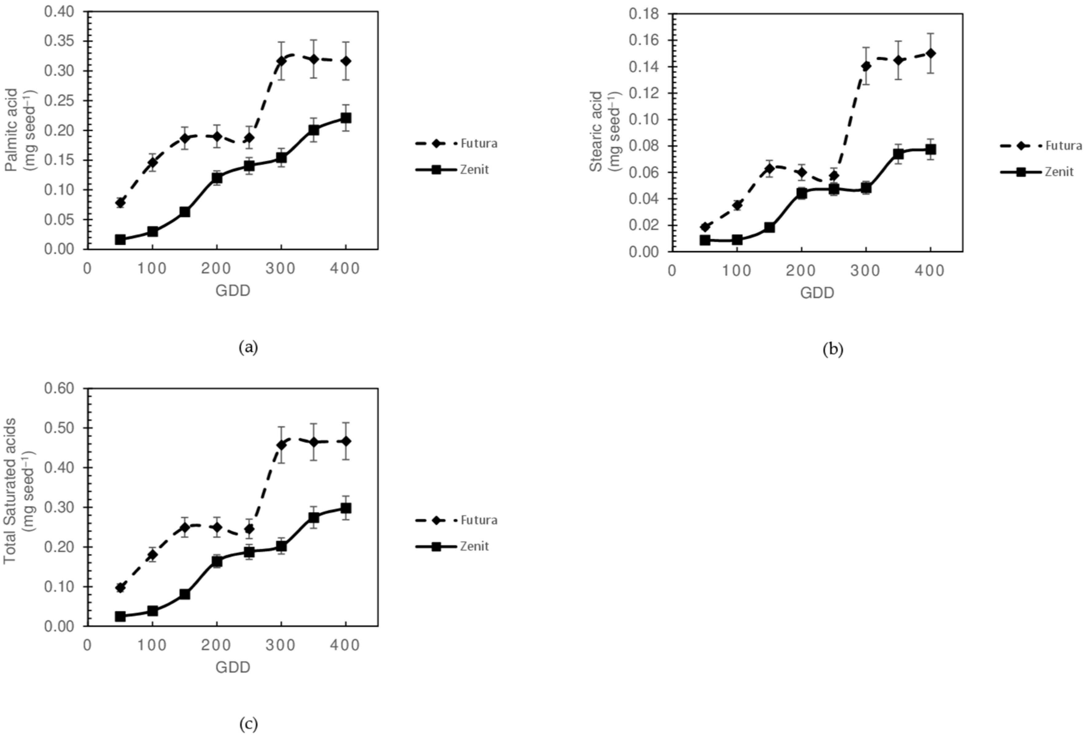
3.2. Dynamics of Fatty Acid Accumulation
3.3. Temperature Effect on Seed Fatty Composition
4. Discussion
5. Conclusions
Supplementary Materials
Author Contributions
Funding
Data Availability Statement
Conflicts of Interest
References
- Rosso, E.; Armone, R.; Costale, A.; Meineri, G.; Chiofalo, B. Hemp Seed (Cannabis sativa L.) Varieties: Lipids Profile and Antioxidant Capacity for Monogastric Nutrition. Animals 2024, 14, 2699. [Google Scholar] [CrossRef]
- Razmaitė, V.; Pileckas, V.; Bliznikas, S.; Šiukščius, A. Fatty Acid Composition of Cannabis sativa, Linum usitatissimum and Camelina sativa Seeds Harvested in Lithuania for Food Use. Foods 2021, 10, 1902. [Google Scholar] [CrossRef]
- Sirangelo, T.M.; Diretto, G.; Fiore, A.; Felletti, S.; Chenet, T.; Catani, M.; Spadafora, N.D. Nutrients and Bioactive Compounds from Cannabis sativa Seeds: A Review Focused on Omics-Based Investigations. Int. J. Mol. Sci. 2025, 26, 5219. [Google Scholar] [CrossRef]
- Farinon, B.; Molinari, R.; Costantini, L.; Merendino, N. The Seed of Industrial Hemp (Cannabis sativa L.): Nutritional Quality and Potential Functionality for Human Health and Nutrition. Nutrients 2020, 12, 1935. [Google Scholar] [CrossRef]
- Jain, T. Fatty Acid Composition of Oilseed Crops: A Review. In Emerging Technologies in Food Science; Thakur, M., Modi, V.K., Eds.; Springer: Singapore, 2020; pp. 147–153. ISBN 9789811525551. [Google Scholar]
- Chow, C.K. (Ed.) Fatty Acids in Foods and Their Health Implications; CRC Press: Boca Raton, FL, USA, 2007; ISBN 978-0-429-12755-7. [Google Scholar]
- EFSA Panel on Dietetic Products, Nutrition, and Allergies (NDA). Scientific Opinion on Dietary Reference Values for Fats, Including Saturated Fatty Acids, Polyunsaturated Fatty Acids, Monounsaturated Fatty Acids, Trans Fatty Acids, and Cholesterol. Efsa J. 2010, 8, 1461. [Google Scholar] [CrossRef]
- Szumny, A.; Żołnierczyk, A.K. By-Products of Hemp from a Nutritional Point of View: New Perspectives and Opportunities. In Current Applications, Approaches, and Potential Perspectives for Hemp; Elsevier: Amsterdam, The Netherlands, 2023; pp. 493–518. ISBN 978-0-323-89867-6. [Google Scholar]
- Small, E.; Marcus, D.; Janick, J.; Whipkey, A. Hemp: A New Crop with New Uses for North America. In Proceedings of the 5th National Symposium, NEW CROPS AND NEW USES: STRENGTHS IN DIVERSITY, Atlanta, GA, USA, 10–13 November 2001. [Google Scholar]
- Vogl, C.R.; Mölleken, H.; Lissek-Wolf, G.; Surböck, A.; Kobert, J. Hemp (Cannabis sativa L.) as a Resource for Green Cosmetics: Yield of Seed and Fatty Acid Compositions of 20 Varieties under the Growing Conditions of Organic Farming in Austria. J. Ind. Hemp 2004, 9, 51–68. [Google Scholar] [CrossRef]
- Ionescu, N.; Popescu, M.; Bratu, A.; Istrati, D.; Ott, C.; Meghea, A. Valuable Romanian Vegetable Oils and Extracts with High Pharmaco-Cosmetic Potential. Rev. Chim. 2015, 66, 1267–1272. [Google Scholar]
- Ligęza, M.; Wyglądacz, D.; Tobiasz, A.; Jaworecka, K.; Reich, A. Natural Cold Pressed Oils as Cosmetic Products. Fam. Med. Prim. Care Rev. 2016, 18, 443–447. [Google Scholar] [CrossRef]
- Conrad, C. Hemp for Health: The Medicinal and Nutritional Uses of Cannabis Sativa; Inner Traditions/Bear & Co.: Rochester, VT, USA, 1997. [Google Scholar]
- Ohlrogge, J.; Browse, J. Lipid Biosynthesis. Plant Cell 1995, 7, 957–970. [Google Scholar] [CrossRef] [PubMed]
- Mohammadi, M.; Ghassemi-Golezani, K.; Chaichi, M.R.; Safikhani, S. Seed Oil Accumulation and Yield of Safflower Affected by Water Supply and Harvest Time. Agron. J. 2018, 110, 586–593. [Google Scholar] [CrossRef]
- Aguirrezábal, L.A.N.; Lavaud, Y.; Dosio, G.A.A.; Izquierdo, N.G.; Andrade, F.H.; González, L.M. Intercepted Solar Radiation during Seed Filling Determines Sunflower Weight per Seed and Oil Concentration. Crop Sci. 2003, 43, 152–161. [Google Scholar] [CrossRef]
- Angeloni, P.; Aguirrezábal, L.; Echarte, M.M. Assessing the Mechanisms Underlying Sunflower Grain Weight and Oil Content Responses to Temperature during Grain Filling. Field Crops Res. 2021, 262, 108040. [Google Scholar] [CrossRef]
- Izquierdo, N.G.; Aguirrezábal, L.A.N. Genetic Variability in the Response of Fatty Acid Composition to Minimum Night Temperature during Grain Filling in Sunflower. Field Crops Res. 2008, 106, 116–125. [Google Scholar] [CrossRef]
- Mantese, A.I.; Medan, D.; Hall, A.J. Achene Structure, Development and Lipid Accumulation in Sunflower Cultivars Differing in Oil Content at Maturity. Ann. Bot. 2006, 97, 999–1010. [Google Scholar] [CrossRef]
- Rondanini, D.; Savin, R.; Hall, A.J. Dynamics of Fruit Growth and Oil Quality of Sunflower (Helianthus annuus L.) Exposed to Brief Intervals of High Temperature during Grain Filling. Field Crops Res. 2003, 83, 79–90. [Google Scholar] [CrossRef]
- Rondanini, D.; Mantese, A.; Savin, R.; Hall, A.J. Responses of Sunflower Yield and Grain Quality to Alternating Day/Night High Temperature Regimes during Grain Filling: Effects of Timing, Duration and Intensity of Exposure to Stress. Field Crops Res. 2006, 96, 48–62. [Google Scholar] [CrossRef]
- Bielecka, M.; Kaminski, F.; Adams, I.; Poulson, H.; Sloan, R.; Li, Y.; Larson, T.R.; Winzer, T.; Graham, I.A. Targeted Mutation of Δ12 and Δ15 Desaturase Genes in Hemp Produce Major Alterations in Seed Fatty Acid Composition Including a High Oleic Hemp Oil. Plant Biotechnol. J. 2014, 12, 613–623. [Google Scholar] [CrossRef]
- Canvin, D.T. The effect of temperature on the oil content and fatty acid composition of the oils from several oil seed crops. Can. J. Bot. 1965, 43, 63–69. [Google Scholar] [CrossRef]
- Dong, Y.; Wang, X.; Liu, X.; Yao, N.; Jing, Y.; Du, L.; Li, X.; Wang, N.; Liu, W.; Wang, F.; et al. Carthamus tinctorius L. Genome Sequence Provides Insights into Synthesis of Unsaturated Fatty Acids. BMC Genom. 2023, 25, 510. [Google Scholar] [CrossRef]
- Horiguchi, G.; Fuse, T.; Kawakami, N.; Kodama, H.; Iba, K. Temperature-Dependent Translational Regulation of the ER Omega-3 Fatty Acid Desaturase Gene in Wheat Root Tips. Plant J. 2000, 24, 805–813. [Google Scholar] [CrossRef]
- Byfield, G.E.; Upchurch, R.G. Effect of Temperature on Microsomal Omega-3 Linoleate Desaturase Gene Expression and Linolenic Acid Content in Developing Soybean Seeds. Crop Sci. 2007, 47, 2445–2452. [Google Scholar] [CrossRef]
- Izquierdo, N.; Aguirrezábal, L.; Andrade, F.; Pereyra, V. Night Temperature Affects Fatty Acid Composition in Sunflower Oil Depending on the Hybrid and the Phenological Stage. Field Crops Res. 2002, 77, 115–126. [Google Scholar] [CrossRef]
- Wolf, R.B.; Cavins, J.F.; Kleiman, R.; Black, L.T. Effect of Temperature on Soybean Seed Constituents: Oil, Protein, Moisture, Fatty Acids, Amino Acids and Sugars. J. Americ Oil Chem. Soc. 1982, 59, 230–232. [Google Scholar] [CrossRef]
- Kargiotidou, A.; Deli, D.; Galanopoulou, D.; Tsaftaris, A.; Farmaki, T. Low Temperature and Light Regulate Delta 12 Fatty Acid Desaturases (FAD2) at a Transcriptional Level in Cotton (Gossypium hirsutum). J. Exp. Bot. 2008, 59, 2043–2056. [Google Scholar] [CrossRef]
- Wang, H.; Guo, J.; Lambert, K.N.; Lin, Y. Developmental Control of Arabidopsis Seed Oil Biosynthesis. Planta 2007, 226, 773–783. [Google Scholar] [CrossRef]
- Matsuda, O.; Sakamoto, H.; Hashimoto, T.; Iba, K. A Temperature-Sensitive Mechanism That Regulates Post-Translational Stability of a Plastidial ω-3 Fatty Acid Desaturase (FAD8) in Arabidopsis Leaf Tissues. J. Biol. Chem. 2005, 280, 3597–3604. [Google Scholar] [CrossRef]
- Tang, G.; Novitzky, W.P.; Carol Griffin, H.; Huber, S.C.; Dewey, R.E. Oleate Desaturase Enzymes of Soybean: Evidence of Regulation through Differential Stability and Phosphorylation. Plant J. 2005, 44, 433–446. [Google Scholar] [CrossRef]
- Rebeille, F.; Bligny, R.; Douce, R. Role de l’oxygene et de la temperature sur la composition en acides gras des cellules isolees d’Erable (Acer pseudoplatanus L.). Biochim. Et Biophys. Acta (BBA)–Lipids Lipid Metab. 1980, 620, 1–9. [Google Scholar] [CrossRef]
- IPCC. Global Warming of 1.5 °C: IPCC Special Report on Impacts of Global Warming of 1.5 °C Above Pre-Industrial Levels in Context of Strengthening Response to Climate Change, Sustainable Development, and Efforts to Eradicate Poverty, 1st ed.; Cambridge University Press: Cambridge, UK, 2022; ISBN 978-1-00-915794-0. [Google Scholar]
- Calvin, K.; Dasgupta, D.; Krinner, G.; Mukherji, A.; Thorne, P.W.; Trisos, C.; Romero, J.; Aldunce, P.; Barrett, K.; Blanco, G.; et al. IPCC, 2023: Climate Change 2023: Synthesis Report. Contribution of Working Groups I, II and III to the Sixth Assessment Report of the Intergovernmental Panel on Climate Change; Core Writing Team, Lee, H., Romero, J., Eds.; Intergovernmental Panel on Climate Change (IPCC): Geneva, Switzerland, 2023. [Google Scholar]
- European Commission. Hemp Production in the EU. 2023. Available online: https://agriculture.ec.europa.eu/farming/crop-productions-and-plant-based-products/hemp_en (accessed on 1 September 2025).
- Ferfuia, C.; Fantin, N.; Piani, B.; Zuliani, F.; Baldini, M. Seed Growth and Oil Accumulation in Two Different Varieties of Industrial Hemp (Cannabis sativa L.). Ind. Crops Prod. 2024, 216, 118723. [Google Scholar] [CrossRef]
- Faux, A.-M.; Draye, X.; Lambert, R.; d’Andrimont, R.; Raulier, P.; Bertin, P. The Relationship of Stem and Seed Yields to Flowering Phenology and Sex Expression in Monoecious Hemp (Cannabis sativa L.). Eur. J. Agron. 2013, 47, 11–22. [Google Scholar] [CrossRef]
- Mediavilla, V.; Jonquera, M.; Schmid-Slembrouck, I.; Soldati, A. Decimal Code for Growth Stages of Hemp (Cannabis sativa L.). J. Int. Hemp Assoc. 1998, 5, 68–74. [Google Scholar]
- AOAC Official Method 996.06Fat (Total, Saturated, and Unsaturated) in Foods: Hydrolytic Extraction Gas Chromatographic Method. In Official Methods of Analysis of AOAC INTERNATIONAL; Latimer, G.W., Ed.; Oxford University Press: New York, NY, USA, 2023; ISBN 978-0-19-761013-8. [Google Scholar]
- Green, A.G. Effect of Temperature during Seed Maturation on the Oil Composition of Low-Linolenic Genotypes of Flax1. Crop Sci. 1986, 26, 961–965. [Google Scholar] [CrossRef]
- Cherif, A.; Dubacq, J.; Mache, R.; Oursel, A.; Tremolieres, A. Biosynthesis of α-Linolenic Acid by Desaturation of Oleic and Linoleic Acids in Several Organs of Higher and Lower Plants and in Algae. Phytochemistry 1975, 14, 703–706. [Google Scholar] [CrossRef]
- R Core Team. R: A Language and Environment for Statistical Computing; R Foundation for Statistical Computing: Vienna, Austria, 2020. [Google Scholar]
- Borisjuk, L.; Neuberger, T.; Schwender, J.; Heinzel, N.; Sunderhaus, S.; Fuchs, J.; Hay, J.O.; Tschiersch, H.; Braun, H.-P.; Denolf, P.; et al. Seed Architecture Shapes Embryo Metabolism in Oilseed Rape. Plant Cell 2013, 25, 1625–1640. [Google Scholar] [CrossRef] [PubMed]
- Kambhampati, S.; Aznar-Moreno, J.A.; Bailey, S.R.; Arp, J.J.; Chu, K.L.; Bilyeu, K.D.; Durrett, T.P.; Allen, D.K. Temporal Changes in Metabolism Late in Seed Development Affect Biomass Composition. Plant Physiol. 2021, 186, 874–890. [Google Scholar] [CrossRef]
- Valantin-Morison, M.; VaissiÈre, B.E.; Gary, C.; Robin, P. Source-Sink Balance Affects Reproductive Development and Fruit Quality in Cantaloupe Melon (Cucumis melo L.). J. Hortic. Sci. Biotechnol. 2006, 81, 105–117. [Google Scholar] [CrossRef]
- Lemoine, R.; Camera, S.L.; Atanassova, R.; Dédaldéchamp, F.; Allario, T.; Pourtau, N.; Bonnemain, J.-L.; Laloi, M.; Coutos-Thévenot, P.; Maurousset, L.; et al. Source-to-Sink Transport of Sugar and Regulation by Environmental Factors. Front. Plant Sci. 2013, 4, 272. [Google Scholar] [CrossRef]
- Lagravère, T.; Kleiber, D.; Surel, O.; Calmon, A.; Bervillé, A.; Dayde, J. Comparison of Fatty Acid Metabolism of Two Oleic and One Conventional Sunflower Hybrids: A New Hypothesis. J. Agron. Crop Sci. 2004, 190, 223–229. [Google Scholar] [CrossRef]
- Alonso-Esteban, J.I.; González-Fernández, M.J.; Fabrikov, D.; De Cortes Sánchez-Mata, M.; Torija-Isasa, E.; Guil-Guerrero, J.L. Fatty Acids and Minor Functional Compounds of Hemp (Cannabis sativa L.) Seeds and Other Cannabaceae Species. J. Food Compos. Anal. 2023, 115, 104962. [Google Scholar] [CrossRef]
- Alonso-Esteban, J.I.; González-Fernández, M.J.; Fabrikov, D.; Torija-Isasa, E.; Sánchez-Mata, M.D.C.; Guil-Guerrero, J.L. Hemp (Cannabis sativa L.) Varieties: Fatty Acid Profiles and Upgrading of γ-Linolenic Acid–Containing Hemp Seed Oils. Eur. J. Lipid Sci. Technol. 2020, 122, 1900445. [Google Scholar] [CrossRef]
- Callaway, J.C. Hempseed as a Nutritional Resource: An Overview. Euphytica 2004, 140, 65–72. [Google Scholar] [CrossRef]
- Los, D.A.; Murata, N. Structure and Expression of Fatty Acid Desaturases. Biochim. Biophys. Acta (BBA)-Lipids Lipid Metab. 1998, 1394, 3–15. [Google Scholar] [CrossRef]
- Heppard, E.P.; Kinney, A.J.; Stecca, K.L.; Miao, G.H. Developmental and Growth Temperature Regulation of Two Different Microsomal [Omega]-6 Desaturase Genes in Soybeans. Plant Physiol. 1996, 110, 311–319. [Google Scholar] [CrossRef] [PubMed]
- Hernández, M.L.; Sicardo, M.D.; Martínez-Rivas, J.M. Differential Contribution of Endoplasmic Reticulum and Chloroplast ω-3 Fatty Acid Desaturase Genes to the Linolenic Acid Content of Olive (Olea europaea) Fruit. Plant Cell Physiol. 2016, 57, 138–151. [Google Scholar] [CrossRef] [PubMed]
- Contreras, C.; Pierantozzi, P.; Maestri, D.; Tivani, M.; Searles, P.; Brizuela, M.; Fernández, F.; Toro, A.; Puertas, C.; Trentacoste, E.R.; et al. How Temperatures May Affect the Synthesis of Fatty Acids during Olive Fruit Ripening: Genes at Work in the Field. Plants 2022, 12, 54. [Google Scholar] [CrossRef]





| SoV | Palmitic Acid (PA) | Stearic Acid (SA) | Oleic Acid (OA) | Linoleic Acid (LA) | α-Linolenic Acid (ALA) | γ-Linolenic Acid (GLA) |
|---|---|---|---|---|---|---|
| Block | ns | ns | ns | ns | ns | ns |
| Cultivar (C) | ** | ** | ns | ns | ** | ns |
| Environment (E) | ns | ns | ns | ns | ** | ns |
| CxE | ns | ns | * | ** | ** | ns |
| Environment | Cultivar | Palmitic Acid (PA) | Stearic Acid (SA) | Oleic Acid (OA) | Linoleic Acid (LA) | α-Linolenic Acid (ALA) | γ-Linolenic Acid (GLA) | LA/OL a | ALA/LA a | ODS b |
|---|---|---|---|---|---|---|---|---|---|---|
| mg seed−1 | ||||||||||
| 2019_I_SO | Futura | 0.369 ± 0.031 | 0.125 ± 0.009 | 0.486 ± 0.093 | 1.707 ± 0.345 | 0.422 ± 0.112 | 0.113 ± 0.015 | 3.51 ± 0.280 | 0.25 ± 0.031 | 0.78 ± 0.021 |
| 2019_II_SO | Futura | 0.317 ± 0.037 | 0.140 ± 0.011 | 0.551 ± 0.081 | 1.951 ± 0.374 | 0.601 ± 0.145 | 0.070 ± 0.019 | 3.54 ± 0.273 | 0.31 ± 0.035 | 0.78 ± 0.016 |
| 2020_I_SO | Futura | 0.400 ± 0.042 | 0.141 ± 0.007 | 0.725 ± 0.077 | 2.425 ± 0.421 | 0.646 ± 0.142 | 0.057 ± 0.020 | 3.34 ± 0.292 | 0.27 ± 0.037 | 0.77 ± 0.018 |
| 2020_II_SO | Futura | 0.323 ± 0.032 | 0.144 ± 0.010 | 0.612 ± 0.096 | 2.341 ± 0.411 | 0.731 ± 0.153 | 0.098 ± 0.027 | 3.82 ± 0.282 | 0.31 ± 0.027 | 0.79 ± 0.021 |
| 2019_VE | Futura | 0.317 ± 0.043 | 0.150 ± 0.013 | 0.614 ± 0.079 | 2.522 ± 0.342 | 0.848 ± 0.157 | 0.084 ± 0.018 | 4.11 ± 0.279 | 0.34 ± 0.038 | 0.80 ± 0.017 |
| 2019_I_SO | Zenit | 0.201 ± 0.067 | 0.074 ± 0.015 | 0.401 ± 0.087 | 1.139 ± 0.409 | 0.237 ± 0.183 | 0.055 ± 0.019 | 2.84 ± 0.789 | 0.21 ± 0.058 | 0.74 ± 0.041 |
| 2019_II_SO | Zenit | 0.262 ± 0.074 | 0.077 ± 0.017 | 0.490 ± 0.075 | 1.563 ± 0.419 | 0.365 ± 0.174 | 0.062 ± 0.014 | 3.19 ± 0.945 | 0.23 ± 0.071 | 0.76 ± 0.049 |
| 2020_I_SO | Zenit | 0.270 ± 0.066 | 0.105 ± 0.011 | 0.518 ± 0.072 | 2.094 ± 0.502 | 0.690 ± 0.169 | 0.075 ± 0.022 | 4.04 ± 0.876 | 0.33 ± 0.064 | 0.80 ± 0.042 |
| 2020_II_SO | Zenit | 0.371 ± 0.049 | 0.097 ± 0.012 | 0.681 ± 0.087 | 2.203 ± 0.410 | 0.572 ± 0.172 | 0.105 ± 0.018 | 3.23 ± 0.877 | 0.26 ± 0.072 | 0.76 ± 0.045 |
| 2019_VE | Zenit | 0.218 ± 0.055 | 0.070 ± 0.009 | 0.289 ± 0.055 | 1.538 ± 0.372 | 0.542 ± 0.189 | 0.083 ± 0.024 | 5.32 ± 0.914 | 0.35 ± 0.077 | 0.84 ± 0.051 |
| Environment | Cultivar | Palmitic Acid (PA) | Stearic Acid (SA) | Oleic Acid (OA) | Linoleic Acid (LA) | α-Linolenic Acid (ALA) | γ-Linolenic Acid (GLA) | GDDs |
|---|---|---|---|---|---|---|---|---|
| % | °C day−1 | |||||||
| 2019_I_SO | Futura | 11.5 ± 0.32 | 3.9 ± 0.12 | 15.1 ± 0.50 | 53.0 ± 0.48 | 13.1 ± 0.84 | 3.5 ± 0.22 | 454 ± 23 |
| 2019_II_SO | Futura | 8.7 ± 0.52 | 3.9 ± 0.11 | 15.2 ± 0.49 | 53.8 ± 0.52 | 16.5 ± 0.43 | 1.9 ± 0.37 | 449 ± 22 |
| 2020_I_SO | Futura | 9.1 ± 0.51 | 3.2 ± 0.12 | 16.5 ± 0.62 | 55.2 ± 0.57 | 14.7 ± 0.71 | 1.3 ± 0.38 | 475 ± 24 |
| 2020_II_SO | Futura | 7.6 ± 0.41 | 3.4 ± 0.11 | 14.4 ± 0.47 | 55.1 ± 0.49 | 17.2 ± 0.42 | 2.3 ± 0.33 | 352 ± 13 |
| 2019_VE | Futura | 7.0 ± 0.42 | 3.3 ± 0.13 | 13.5 ± 0.51 | 55.6 ± 0.51 | 18.7 ± 0.35 | 1.8 ± 0.34 | 195 ± 33 |
| 2019_I_SO | Zenit | 9.5 ± 0.32 | 3.5 ± 0.18 | 19.0 ± 1.32 | 54.1 ± 0.32 | 11.2 ± 0.52 | 2.6 ± 0.18 | 528 ± 25 |
| 2019_II_SO | Zenit | 9.3 ± 0.31 | 2.7 ± 0.19 | 17.4 ± 1.48 | 55.4 ± 0.29 | 13.0 ± 1.10 | 2.2 ± 0.17 | 526 ± 32 |
| 2020_I_SO | Zenit | 7.2 ± 0.35 | 2.8 ± 0.19 | 13.8 ± 1.52 | 55.8 ± 0.39 | 18.4 ± 0.32 | 2.0 ± 0.18 | 498 ± 31 |
| 2020_II_SO | Zenit | 9.2 ± 0.37 | 2.4 ± 0.18 | 16.9 ± 1.53 | 54.7 ± 0.41 | 14.2 ± 1.09 | 2.6 ± 0.16 | 497 ± 31 |
| 2019_VE | Zenit | 7.9 ± 0.52 | 2.6 ± 0.17 | 10.6 ± 1.62 | 56.1 ± 0.26 | 19.8 ± 0.47 | 3.0 ± 0.15 | 398 ± 24 |
| Cultivar | GDD | Palmitic Acid (PA) | Stearic Acid (SA) | Oleic Acid (OA) | Linoleic Acid (LA) | α-Linolenic Acid (ALA) | γ-Linolenic Acid (GLA) | Σ n-3 | Σ n-6 | n-6/n-3 Ratio | Σ Saturated Acid (S) | Σ Unsaturated Acid (I) | S/I Ratio |
|---|---|---|---|---|---|---|---|---|---|---|---|---|---|
| mg seed−1 | mg seed−1 | ||||||||||||
| Futura | 50 | 0.08 ± 0.001 | 0.02 ± 0.011 | 0.07 ± 0.003 | 0.36 ± 0.027 | 0.09 ± 0.007 | 0.04 ± 0.001 | 0.09 ± 0.007 | 0.40 ± 0.027 | 0.22 ± 0.023 | 0.10 ± 0.011 | 0.56 ± 0.028 | 0.18 ± 0.022 |
| 100 | 0.15 ± 0.021 | 0.04 ± 0.011 | 0.15 ± 0.031 | 0.72 ± 0.051 | 0.19 ± 0.022 | 0.04 ± 0.001 | 0.19 ± 0.022 | 0.76 ± 0.051 | 0.23 ± 0.022 | 0.19 ± 0.024 | 1.10 ± 0.061 | 0.17 ± 0.024 | |
| 150 | 0.19 ± 0.024 | 0.06 ± 0.011 | 0.19 ± 0.011 | 0.86 ± 0.047 | 0.28 ± 0.031 | 0.05 ± 0.001 | 0.28 ± 0.031 | 0.91 ± 0.047 | 0.31 ± 0.025 | 0.25 ± 0.026 | 1.38 ± 0.058 | 0.18 ± 0.020 | |
| 200 | 0.19 ± 0.024 | 0.06 ± 0.011 | 0.20 ± 0.012 | 0.86 ± 0.052 | 0.25 ± 0.032 | 0.06 ± 0.001 | 0.25 ± 0.032 | 0.92 ± 0.052 | 0.27 ± 0.027 | 0.25 ± 0.026 | 1.37 ± 0.060 | 0.18 ± 0.021 | |
| 250 | 0.19 ± 0.024 | 0.06 ± 0.011 | 0.32 ± 0.011 | 1.15 ± 0.120 | 0.29 ± 0.032 | 0.06 ± 0.001 | 0.29 ± 0.032 | 1.21 ± 0.120 | 0.24 ± 0.026 | 0.25 ± 0.026 | 1.82 ± 0.128 | 0.14 ± 0.017 | |
| 300 | 0.32 ± 0.023 | 0.14 ± 0.007 | 0.55 ± 0.034 | 1.95 ± 0.122 | 0.45 ± 0.042 | 0.07 ± 0.002 | 0.45 ± 0.042 | 2.02 ± 0.122 | 0.22 ± 0.014 | 0.46 ± 0.025 | 3.02 ± 0.132 | 0.15 ± 0.011 | |
| 350 | 0.32 ± 0.026 | 0.14 ± 0.007 | 0.60 ± 0.032 | 2.16 ± 0.131 | 0.55 ± 0.041 | 0.10 ± 0.002 | 0.55 ± 0.041 | 2.26 ± 0.131 | 0.24 ± 0.013 | 0.46 ± 0.027 | 3.41 ± 0.141 | 0.14 ± 0.010 | |
| 400 | 0.32 ± 0.027 | 0.15 ± 0.007 | 0.61 ± 0.031 | 2.22 ± 0.127 | 0.55 ± 0.045 | 0.10 ± 0.002 | 0.55 ± 0.045 | 2.32 ± 0.127 | 0.24 ± 0.013 | 0.47 ± 0.028 | 3.48 ± 0.141 | 0.14 ± 0.010 | |
| Zenit | 50 | 0.02 ± 0.005 | 0.01 ± 0.004 | 0.01 ± 0.003 | 0.03 ± 0.002 | 0.01 ± 0.002 | 0.00 ± 0.000 | 0.01 ± 0.002 | 0.03 ± 0.002 | 0.33 ± 0.08 | 0.03 ± 0.006 | 0.05 ± 0.004 | 0.60 ± 0.129 |
| 100 | 0.03 ± 0.009 | 0.01 ± 0.008 | 0.02 ± 0.003 | 0.07 ± 0.002 | 0.02 ± 0.001 | 0.01 ± 0.001 | 0.02 ± 0.001 | 0.08 ± 0.002 | 0.25 ± 0.03 | 0.04 ± 0.012 | 0.12 ± 0.004 | 0.33 ± 0.101 | |
| 150 | 0.06 ± 0.011 | 0.02 ± 0.006 | 0.04 ± 0.003 | 0.15 ± 0.042 | 0.04 ± 0.001 | 0.01 ± 0.001 | 0.04 ± 0.001 | 0.16 ± 0.042 | 0.25 ± 0.07 | 0.08 ± 0.012 | 0.24 ± 0.042 | 0.33 ± 0.077 | |
| 200 | 0.12 ± 0.018 | 0.04 ± 0.007 | 0.12 ± 0.011 | 0.51 ± 0.041 | 0.09 ± 0.002 | 0.05 ± 0.001 | 0.09 ± 0.002 | 0.56 ± 0.041 | 0.16 ± 0.02 | 0.16 ± 0.019 | 0.78 ± 0.044 | 0.21 ± 0.027 | |
| 250 | 0.14 ± 0.021 | 0.05 ± 0.007 | 0.17 ± 0.014 | 0.65 ± 0.047 | 0.15 ± 0.021 | 0.05 ± 0.002 | 0.15 ± 0.021 | 0.70 ± 0.047 | 0.21 ± 0.04 | 0.19 ± 0.022 | 1.02 ± 0.054 | 0.19 ± 0.024 | |
| 300 | 0.15 ± 0.019 | 0.05 ± 0.006 | 0.27 ± 0.022 | 0.91 ± 0.052 | 0.26 ± 0.027 | 0.05 ± 0.002 | 0.26 ± 0.027 | 0.96 ± 0.052 | 0.27 ± 0.04 | 0.20 ± 0.020 | 1.49 ± 0.061 | 0.13 ± 0.015 | |
| 350 | 0.20 ± 0.022 | 0.07 ± 0.004 | 0.40 ± 0.031 | 1.14 ± 0.123 | 0.26 ± 0.029 | 0.05 ± 0.002 | 0.26 ± 0.029 | 1.19 ± 0.123 | 0.22 ± 0.03 | 0.27 ± 0.022 | 1.85 ± 0.128 | 0.15 ± 0.016 | |
| 400 | 0.22 ± 0.022 | 0.08 ± 0.004 | 0.41 ± 0.031 | 1.21 ± 0.125 | 0.27 ± 0.031 | 0.05 ± 0.002 | 0.27 ± 0.031 | 1.26 ± 0.125 | 0.21 ± 0.03 | 0.30 ± 0.022 | 1.94 ± 0.130 | 0.16 ± 0.015 | |
Disclaimer/Publisher’s Note: The statements, opinions and data contained in all publications are solely those of the individual author(s) and contributor(s) and not of MDPI and/or the editor(s). MDPI and/or the editor(s) disclaim responsibility for any injury to people or property resulting from any ideas, methods, instructions or products referred to in the content. |
© 2025 by the authors. Licensee MDPI, Basel, Switzerland. This article is an open access article distributed under the terms and conditions of the Creative Commons Attribution (CC BY) license (https://creativecommons.org/licenses/by/4.0/).
Share and Cite
Baldini, M.; Fantin, N.; Piani, B.; Zuliani, F.; Ferfuia, C. Influence of Temperature on the Fatty Acid Profile of Hemp (Cannabis sativa L.) Oil Grown in the Mediterranean Region. Agronomy 2025, 15, 2293. https://doi.org/10.3390/agronomy15102293
Baldini M, Fantin N, Piani B, Zuliani F, Ferfuia C. Influence of Temperature on the Fatty Acid Profile of Hemp (Cannabis sativa L.) Oil Grown in the Mediterranean Region. Agronomy. 2025; 15(10):2293. https://doi.org/10.3390/agronomy15102293
Chicago/Turabian StyleBaldini, Mario, Nicolò Fantin, Barbara Piani, Fabio Zuliani, and Claudio Ferfuia. 2025. "Influence of Temperature on the Fatty Acid Profile of Hemp (Cannabis sativa L.) Oil Grown in the Mediterranean Region" Agronomy 15, no. 10: 2293. https://doi.org/10.3390/agronomy15102293
APA StyleBaldini, M., Fantin, N., Piani, B., Zuliani, F., & Ferfuia, C. (2025). Influence of Temperature on the Fatty Acid Profile of Hemp (Cannabis sativa L.) Oil Grown in the Mediterranean Region. Agronomy, 15(10), 2293. https://doi.org/10.3390/agronomy15102293

