Later Incorporation of Astragalus sinicus with Flooding Reduces Rice-Associated Weed Infestation and Increases Rice Yield in the Green Manure–Rice Rotation System
Abstract
1. Introduction
2. Materials and Methods
2.1. Experimental Site
2.2. Experimental Design
2.3. Data Collection
2.4. Data Analysis
3. Results
3.1. Shoot Biomass, Nitrogen Fixation and Organic Matter Yield of Chinese Milk Vetch and Soil Total Nitrogen
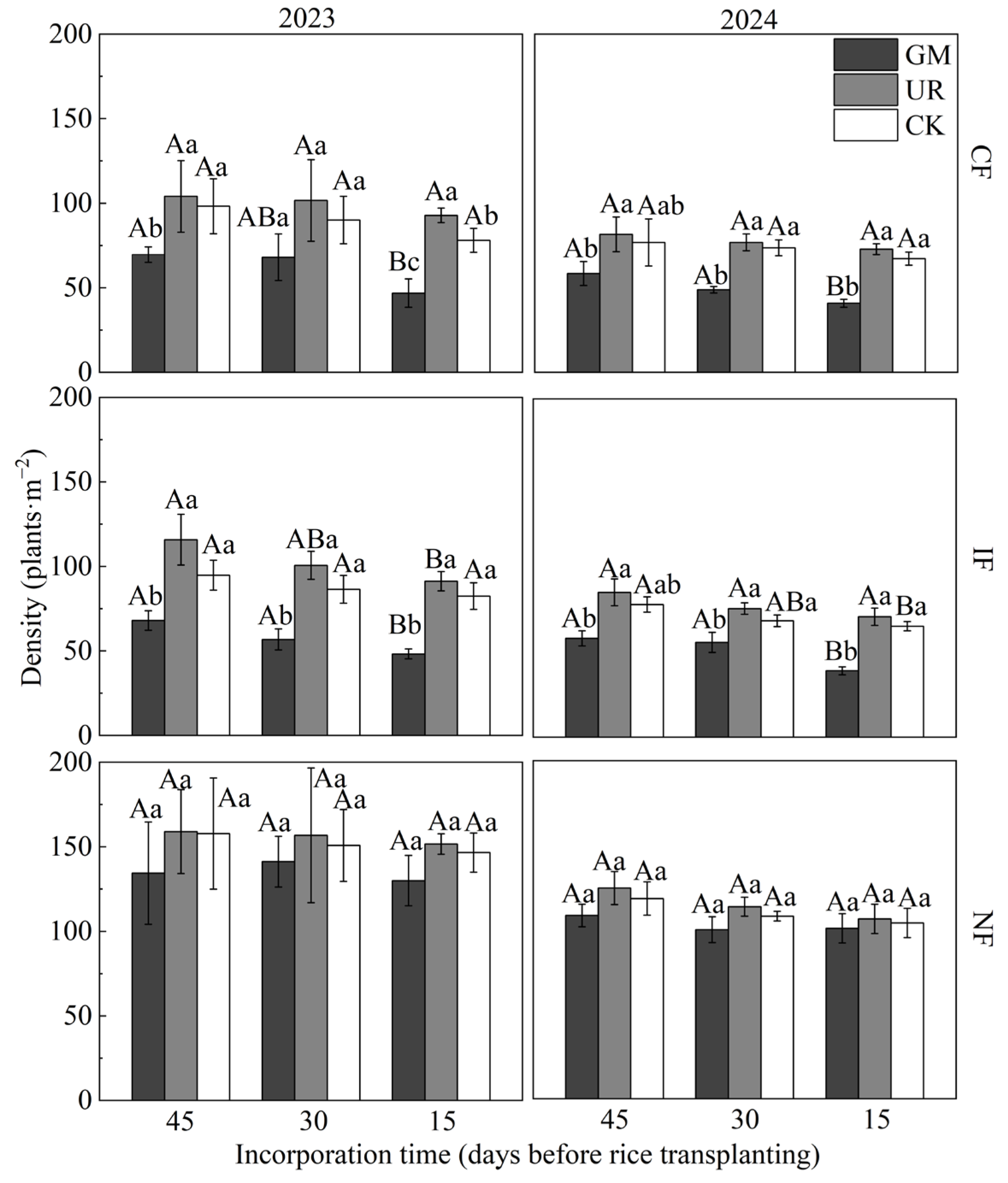
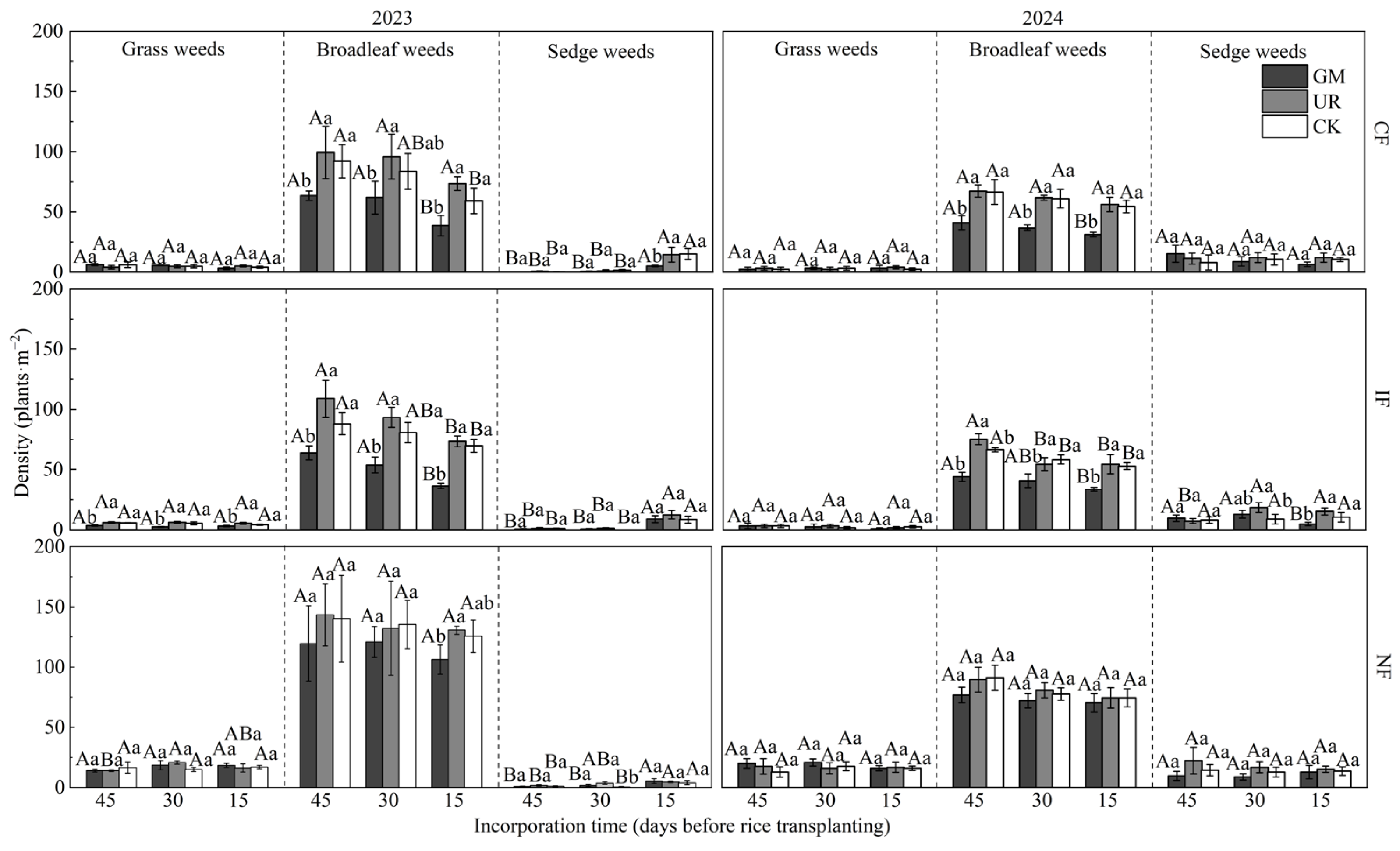
3.2. Weed Infestation
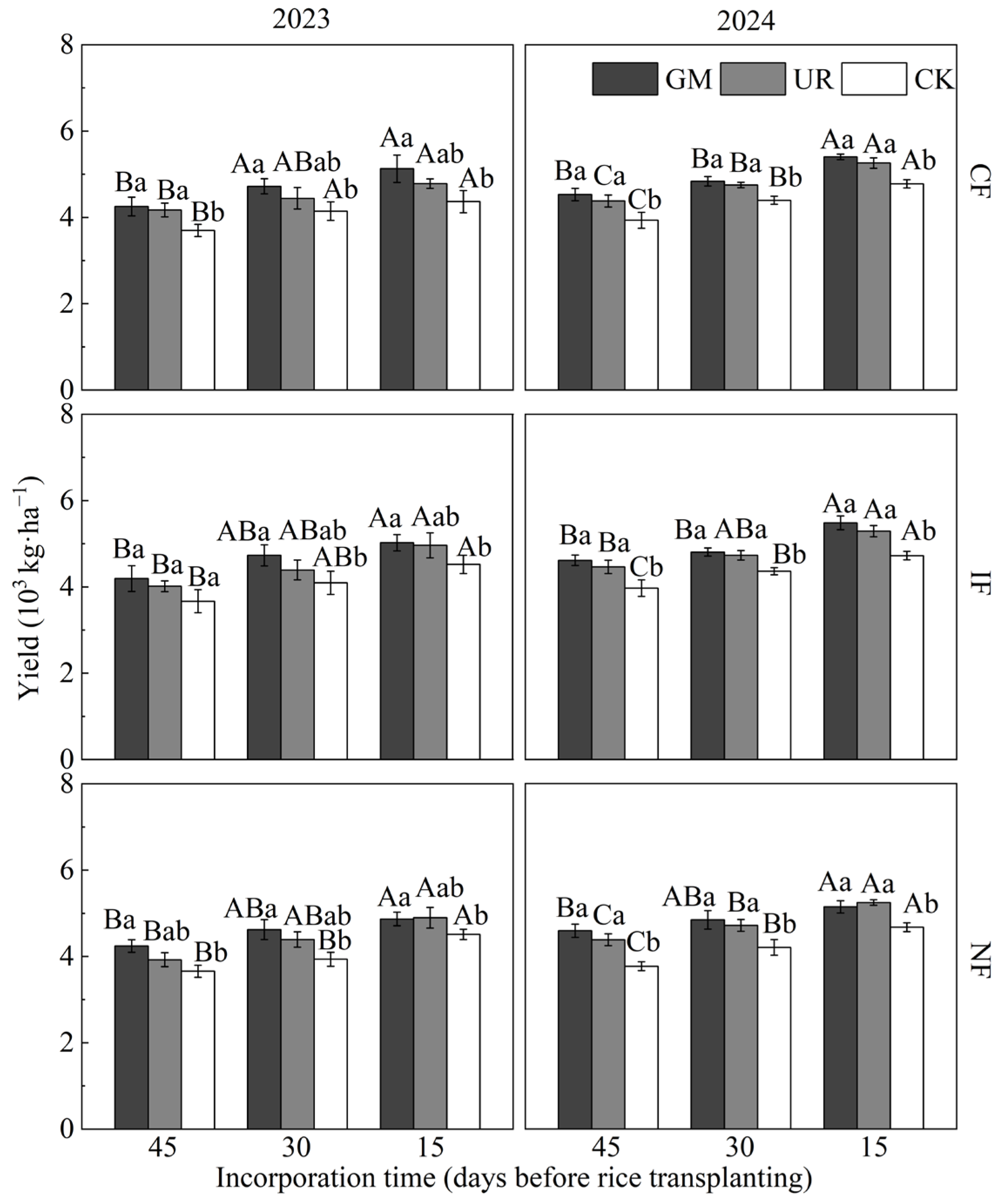
3.3. Rice Yield and Yield Components
4. Discussion
5. Conclusions
Author Contributions
Funding
Data Availability Statement
Conflicts of Interest
References
- Yang, W.; Yao, L.; Zhu, M.Z.; Li, C.W.; Li, S.Q.; Wang, B.; Dijkstra, P.; Liu, Z.Y.; Zhu, B. Replacing urea-N with Chinese milk vetch (Astragalus sinicus L.) mitigates CH4 and N2O emissions in rice paddy. Agric. Ecosyst. Environ. 2022, 336, 108033. [Google Scholar] [CrossRef]
- Su, P.; Zhang, A.; Wang, R.; Wang, J.; Gao, Y.; Liu, F. Prediction of future natural suitable areas for rice under representative concentration pathways (RCPs). Sustainability 2021, 13, 1580. [Google Scholar] [CrossRef]
- Fan, Q.U.; Xu, C.X.; Zhang, L.; Xie, J.C.; Zhou, G.P.; Liu, J.; Hu, F.; Gao, S.J.; Cao, W.D. Application of milk vetch (Astragalus sinicus L.) with reduced chemical fertilizer improves rice yield and nitrogen, phosphorus, and potassium use efficiency in southern China. Eur. J. Agron. 2023, 144, 126762. [Google Scholar] [CrossRef]
- Fang, K.M.; Shen, H.F.; Shuang, Q.Y.; Zhong, G.M.; Qiu, S.S.; Yu, J.X. Problem of fertilizer application increase in rice and countermeasures of “zero increase”. Chin. Agric. Sci. Bull. 2016, 32, 200–204. [Google Scholar]
- NBS. National Bureau of Statistics of China. 2023. Available online: https://data.stats.gov.cn (accessed on 25 July 2025).
- Peng, S.B.; Huang, J.L.; Zhong, X.H.; Yang, J.C.; Wang, G.H.; Zou, Y.B.; Zhang, F.S.; Zhu, Q.S.; Buresh, R.; Witt, C. Research strategy in improving fertilizer-nitrogen use efficiency of irrigated rice in China. Sci. Agric. Sin. 2002, 35, 1095–1103. [Google Scholar]
- Chen, C.; Xiao, W.Y.; Chen, H.Y.H. Mapping global soil acidification under N deposition. Glob. Change Biol. 2023, 29, 4652–4661. [Google Scholar] [CrossRef]
- Wang, W.; Zeng, C.; Sardans, J.; Wang, C.; Zeng, D.; Peñuelas, J. Amendment with industrial and agricultural wastes reduces surface-water nutrient loss and storage of dissolved greenhouse gases in a subtropical paddy field. Agric. Ecosyst. Environ. 2016, 231, 296–303. [Google Scholar] [CrossRef]
- Wang, W.; Sardans, J.; Zeng, C.; Zhong, C.; Li, Y.; Peñuelas, J. Responses of soil nutrient concentrations and stoichiometry to different human land uses in a subtropical tidal wetland. Geoderma 2014, 232, 459–470. [Google Scholar] [CrossRef]
- Rao, A.N.; Johnson, D.E.; Sivaprasad, B.; Ladha, J.K.; Mortimer, A.M. Weed management in direct-seeded rice. Adv. Agron. 2007, 93, 153–255. [Google Scholar]
- Chauhan, B.S.; Johnson, D.E. The role of seed ecology in improving weed management strategies in the tropics. Adv. Agron. 2010, 105, 221–262. [Google Scholar]
- Oerke, E.C. Crop losses to pests. J. Agric. Sci. 2006, 144, 31–43. [Google Scholar] [CrossRef]
- Zhang, C.X.; Huang, H.J.; Cui, H.L.; Wei, S.H.; Huang, Z.F.; Chen, J.C.; Yang, L.; Chen, J.Y. Herbicide-resistant weeds and their management. Plant Prot. 2013, 39, 99–102. [Google Scholar]
- Tejada, M.; Gonzalez, J.L.; García-Martínez, A.M.; Parrado, J. Effects of different green manures on soil biological properties and maize yield. Bioresour. Technol. 2008, 99, 1758–1767. [Google Scholar] [CrossRef] [PubMed]
- Ma, Y.Q.; Qian, C.C.; Deng, L.P.; Huang, G.Q. Effects of combining Chinese milk vetch with N fertilizer on grain and dry matter yield, N absorption and utilization of double cropping rice. J. Nucl. Agric. 2017, 31, 2399–2407. [Google Scholar]
- Meng, X.; Li, Y.; Zhang, Y.; Yao, H. Green manure application improves rice growth and urea nitrogen use efficiency assessed using N–15 labeling. Soil Sci. Plant Nutr. 2019, 65, 511–518. [Google Scholar] [CrossRef]
- Zhou, G.; Gao, S.; Chang, D.; Rees, R.M.; Cao, W. Using milk vetch (Astragalus sinicus L.) to promote rice straw decomposition by regulating enzyme activity and bacterial community. Bioresour. Technol. 2020, 319, 124215. [Google Scholar] [CrossRef] [PubMed]
- Zhou, G.; Gao, S.; Chang, D.; Shimizu, K.Y.; Cao, W. Succession of fungal community and enzyme activity during the co-decomposition process of rice (Oryza sativa L.) straw and milk vetch (Astragalus sinicus L.). Waste Manag. 2021, 134, 1–10. [Google Scholar] [CrossRef]
- Askegaard, M.; Eriksen, J. Residual effect and leaching of N and K in cropping systems with clover and ryegrass catch crops on a coarse sand. Agric. Ecosyst. Environ. 2008, 123, 99–108. [Google Scholar] [CrossRef]
- Wang, Y.F.; Liu, X.M.; Butterly, C.; Tang, C.X.; Xu, J.M. pH change, carbon and nitrogen mineralization in paddy soils as affected by Chinese milk vetch addition and soil water regime. J. Soils Sediment. 2013, 4, 654–663. [Google Scholar] [CrossRef]
- Álvarez-Iglesias, L.; Puig, C.G.; Revilla, P.; Reigosa, M.J.; Pedrol, N. Faba bean as green manure for field weed control in maize. Weed Res. 2018, 58, 437–449. [Google Scholar] [CrossRef]
- Norsworthy, J.K.; Brandenbergerb, L.; Burgosc, N.R.; Riley, M. Weed suppression in Vigna unguiculata with a spring-seeded brassicaceae green manure. Crop Prot. 2005, 24, 441–447. [Google Scholar] [CrossRef]
- Wang, R.L.; Zhang, M.X.; Song, Y.Y.; Hu, L.; Su, Y.J.; Zeng, R.S. Allelopathic effect of forage legumes on four common cropland weeds and rice. Ecol. Environ. 2010, 19, 2307–2312. [Google Scholar]
- Chen, H.J.; Huang, G.Q.; Yang, B.J.; Wang, X.W. Effects of different winter planting-green manure on the grain yield of rice and weed community of paddy field. Sci. Agric. Sin. 2014, 47, 1976–1984. [Google Scholar]
- Voisin, A.S.; Gu’eguen, J.; Huyghe, C.; Jeuffroy, M.H.; Magrini, M.B.; Meynard, J.M.; Mougel, C.; Pellerin S and Pelzer, E. Legumes for feed, food, biomaterials and bioenergy in Europe: A review. Agron. Sustain. Dev. 2014, 34, 361–380. [Google Scholar] [CrossRef]
- Mishra, B.; Sharma, P.K.; Bronson, K.F. Kinetics of wheat straw decomposition and nitrogen mineralization in rice field soil. J. Indian Soc. Soil Sci. 2001, 49, 49–54. [Google Scholar]
- Ma, Q.; Li, J.; Aamer, M.; Huang, G. Increasing methane (CH4) emissions and altering rhizosphere microbial diversity in paddy soil by combining Chinese milk vetch and rice straw. PeerJ 2020, 8, e9653. [Google Scholar] [CrossRef]
- Zhang, X.; Zhang, R.; Gao, J.; Wang, X.; Fan, F.; Ma, X. Thirty-one years of rice-rice-green manure rotations shape the rhizosphere microbial community and enrich beneficial bacteria. Soil Biol. Biochem. 2017, 104, 208–217. [Google Scholar] [CrossRef]
- Liu, S.L.; Ma, Z.Y.; Zhang, Y.; Chen, Z.W.; Du, X.; Mu, Y.H. Astragalus sinicus incorporated as green manure for weed control in corn. Front. Plant Sci. 2022, 13, 829421. [Google Scholar] [CrossRef]
- Bremner, J.M. Determination of nitrogen in soil by the Kjeldahl method. J. Agric. Sci. 1960, 55, 11–33. [Google Scholar] [CrossRef]
- Yeomans, J.C.; Bremner, J.M. A rapid and precise method for routine determination of organic carbon in soil. Commun. Soil Sci. Plant Anal. 1988, 19, 1467–1476. [Google Scholar] [CrossRef]
- Yang, L.; Zhou, X.; Liao, Y.; Lu, Y.; Nie, J.; Cao, W. Co-incorporation of rice straw and green manure benefits rice yield and nutrient uptake. Crop Sci. 2019, 59, 749–759. [Google Scholar] [CrossRef]
- Crews, T.E.; Peoples, M.B. Legume versus fertilizer sources of nitrogen: Ecological tradeoffs and human needs. Agric. Ecosyst. Environ. 2004, 102, 279–297. [Google Scholar] [CrossRef]
- Xie, Z.J.; Tu, S.X.; Shah, F.; Xu, C.X.; Chen, J.R.; Han, D.; Liu, G.R.; Li, H.L.; Muhammada, I.; Cao, W.D. Substitution of fertilizer-N by green manure improves the sustainability of yield in double-rice cropping system in south China. Field Crop Res. 2016, 188, 142–149. [Google Scholar] [CrossRef]
- Yang, L.; Nie, J.; Xu, C.X.; Cao, W.D. Biological nitrogen fixation of Chinese Milk Vetch (Astragalus sinicus L.) as affected by exogenous carbon and nitrogen input. Symbiosis 2021, 85, 69–77. [Google Scholar] [CrossRef]
- Cai, S.; Pittelkow, C.M.; Zhao, X.; Wang, S. Winter legume-rice rotations can reduce nitrogen pollution and carbon footprint while maintaining net ecosystem economic benefits. J. Clean. Prod. 2018, 195, 289–300. [Google Scholar] [CrossRef]
- Yuan, M.; Liu, Q.; Zhang, S. Characteristics of nitrogen fixation of winter green manure in paddy soil in the Taihu Lake area. Chin. J. Soil Sci. 2010, 41, 1115–1119. [Google Scholar]
- Tamiru, H.; Heluf, G.; Kindie, T.; Asfaw, H. Biomass and nutrient accumulation of green manuring legumes terminated at different. East Afr. J. Sci. 2009, 3, 18–28. [Google Scholar] [CrossRef]
- Reichstein, M.; Bednorz, F.; Broll, G.; Kätterer, T. Temperature dependence of carbon mineralisation: Conclusions from a long-term incubation of subalpine soil samples. Soil Biol. Biochem. 2000, 32, 947–958. [Google Scholar] [CrossRef]
- Sowerby, A.; Blum, H.; Gray, T.R.G.; Ball, A.S. The decomposition of Lolium perenne in soils exposed to elevated CO2: Comparisons of mass loss of litter with soil respiration and soil microbial biomass. Soil Biol. Biochem. 2000, 32, 1359–1366. [Google Scholar] [CrossRef]
- Zhu, B.; Yi, L.X.; Hu, Y.G.; Zeng, Z.H.; Lin, C.W.; Tang, H.M.; Yang, G.L.; Xiao, X.P. Nitrogen release from incorporated 15N-labelled Chinese milk vetch (Astragalus sinicus L.) residue and its dynamics in a double rice cropping system. Plant Soil 2014, 374, 331–344. [Google Scholar] [CrossRef]
- Herridge, D.F.; Peoples, M.B.; Boddey, R.M. Global inputs of biological nitrogen fixation in agricultural systems. Plant Soil 2008, 311, 1–18. [Google Scholar] [CrossRef]
- Unkovich, M.J.; Baldock, J.; Peoples, M.B. Prospects and problems of simple linear models for estimating symbiotic N2 fixation by crop and pasture legumes. Plant Soil 2010, 329, 75–89. [Google Scholar] [CrossRef]
- Bilalis, D.; Sidiras, N.; Economou, G.; Vakali, C. Effect of different levels of wheat straw soil surface coverage on weed flora in Vicia faba crops. J. Agron. Crop Sci. 2003, 189, 233–241. [Google Scholar] [CrossRef]
- Teasdale, J.R.; Mohler, C.L. The quantitative relationship between weed emergence and the physical properties of mulches. Weed Sci. 2000, 48, 385–392. [Google Scholar] [CrossRef]
- Narwal, S.S. Role of allelopathy in crop production. J. Herbol. 2005, 6, 31. [Google Scholar]
- Utami, A.I.; Bimantara, P.O.; Umemoto, R.; Sabri, R.K.; Kautsar, V.; Tawaraya, K.; Hanudin, K.; Cheng, W.G. Incorporation of winter grasses suppresses summer weed germination and affects inorganic nitrogen in flooded paddy soil. Soil Sci. Plant Nutr. 2020, 66, 389–397. [Google Scholar] [CrossRef]
- Liu, S.L.; Wang, W.H.; Chen, J.Y.; Ma, Z.Y.; Xiao, Y.P.; Chen, Z.W.; Zhang, Y.; Du, X.; Mu, Y.H. Weed suppression and antioxidant activity of Astragalus sinicus L. decomposition leachates. Front. Plant Sci. 2022, 13, 1013443. [Google Scholar] [CrossRef]
- Buhler, D.D. 50th Anniversaryâ Invited Article: Challenges and opportunities for integrated weed management. Weed Sci. 2002, 50, 273–280. [Google Scholar] [CrossRef]
- Mahajan, G.; Bhagirath, S.C.; Kumar, V. Integrated weed management in rice. In Recent Advances in Weed Management; Chauhan, B.S., Mahajan, G., Eds.; Springer: New York, NY, USA, 2014; pp. 125–153. [Google Scholar]
- Kim, M.K.; Lee, Y.H.; Kang, T.H.; Yun, H.D. Influence of Chinese Milkvetch (Astragalus sinicus L.) with no-tillage on soil biotic factors and rice yield. J. Korean Soc. Appl. Biol. Chem. 2011, 54, 899–909. [Google Scholar] [CrossRef]
- Eichler-Löbermann, B.; Gaj, R.; Schnug, E. Improvement of soil phosphorus availability by green fertilization with catch crops. Commun. Soil Sci. Plant Anal. 2009, 40, 70–81. [Google Scholar] [CrossRef]







| Crop | Growth Period | Year | Tmean | Tmax | Tmin | Prec | SD |
|---|---|---|---|---|---|---|---|
| °C | mm | h | |||||
| Chinese milk vetch | Overwintering a | 2022–2023 | 8.7 | 13.0 | 5.5 | 204.3 | 580.9 |
| 2023–2024 | 8.2 | 13.3 | 4.6 | 183.3 | 671.8 | ||
| After winter b | 2023 | 14.0 | 19.0 | 10.1 | 107.9 | 391.7 | |
| 2024 | 13.2 | 17.6 | 9.9 | 205.4 | 312.1 | ||
| Whole c | 2023 | 10.6 | 15.1 | 7.2 | 312.2 | 972.6 | |
| 2024 | 10.1 | 14.9 | 6.5 | 388.7 | 983.9 | ||
| Rice | Vegetative d | 2023 | 28.0 | 31.7 | 25.3 | 574.4 | 147.6 |
| 2024 | 28.6 | 31.9 | 25.9 | 369.8 | 171.9 | ||
| Reproductive e | 2023 | 29.5 | 33.5 | 26.4 | 68.3 | 225.7 | |
| 2024 | 31.6 | 36.1 | 27.9 | 97.7 | 282.2 | ||
| Ripening f | 2023 | 23.3 | 27.3 | 20.4 | 213.8 | 216.3 | |
| 2024 | 25.0 | 28.8 | 22.1 | 332.3 | 282.9 | ||
| Whole g | 2023 | 26.3 | 30.2 | 23.4 | 856.5 | 589.6 | |
| 2024 | 27.7 | 31.6 | 24.8 | 799.8 | 737.0 | ||
| Weed Species | 2023 | 2024 | Weed Species | 2023 | 2024 |
|---|---|---|---|---|---|
| Aeschynomene indica a | + | + | Digitaria sanguinalis b | + | − |
| Alternanthera philoxeroides a | + | + | Echinochloa crus-galli b | + | + |
| Ammannia baccifera a | + | + | Eleusine indica b | + | − |
| Eclipta prostrata a | + | + | Leersia hexandra b | − | + |
| Lindernia procumbens a | + | + | Leptochloa chinensis b | + | + |
| Ludwigia prostrata a | + | + | Oryza sativa b | − | + |
| Murdannia triquetra a | + | + | Cyperus difformis c | + | + |
| Persicaria hydropiper a | + | − | Cyperus iria c | + | + |
| Persicaria lapathifolia var. salicifolia a | + | − | Eleocharis plantagineiformis c | + | + |
| Monochoria vaginalis a | + | + | Fimbristylis littoralis c | + | + |
| Rotala indica a | + | + | Schoenoplectiella juncoides c | + | + |
| Sagittaria pygmaea a | + | + |
| Source | Total Weeds | Grass Weeds | Broadleaf Weeds | Sedge Weeds |
|---|---|---|---|---|
| Year | 1786.21 * | 5.10 | 2970.38 * | 210.61 * |
| IT | 233.12 * | 0.77 | 349.74 * | 17.15 |
| FM | 4734.53 * | 271.96 * | 2626.37 * | 1.34 |
| NI | 152.1 * | 0.77 | 59.21 | 14.27 |
| GMI | 2054.27 * | 0.10 | 1585.58 * | 26.98 |
| Year × IT | 3.72 | 0.07 | 49.8 | 26.31 |
| Year × FM | 193.9 * | 2.37 | 333.44 * | 7.82 |
| Year × NI | 10.22 | 0.06 | 31.21 | 4.52 |
| Year × GMI | 84.71 | 1.03 | 106.19 | 4.47 |
| IT × FM | 6.15 | 1.00 | 10.14 | 1.42 |
| IT × NI | 0.56 | 0.12 | 1.92 | 0.41 |
| IT × GMI | 5.77 | 0.19 | 10.54 | 2.89 |
| FM × NI | 6.57 | 0.20 | 9.04 | 1.27 |
| FM × GMI | 81.87 | 1.66 | 76.04 | 0.65 |
| Residue | 39.62 | 6.19 | 34.8 | 19.1 |
| Source | Yield | Panicle Number | Grain Number per Panicle | Seed-Setting Rate | Thousand-Grain Weight |
|---|---|---|---|---|---|
| Year | 17,548.31 * | 62.78 * | 8.63 | 0.11 * | 0.02 |
| IT | 47,894.75 * | 278.49 * | 1330.20 * | 0.07 * | 4.47 * |
| FM | 688.75 | 2.67 | 31.27 | 0.00 | 0.16 |
| NI | 30,027.14 * | 128.44 * | 1015.48 * | 0.00 | 3.13 |
| GMI | 3954.38 * | 9.61 * | 2.56 | 0.00 | 4.98 * |
| Year × IT | 172.59 | 2.07 | 29.29 | 0.01 | 0.08 |
| Year × FM | 38.48 | 0.48 | 10.42 | 0.00 | 0.61 |
| Year × NI | 513.09 | 1.10 | 0.00 | 0.00 | 0.32 |
| Year × GMI | 287.80 | 0.69 | 9.40 | 0.00 | 0.14 |
| IT × FM | 47.40 | 0.90 | 10.26 | 0.00 | 0.30 |
| IT × NI | 125.57 | 6.14 * | 8.19 | 0.00 | 0.01 |
| IT × GMI | 122.34 | 0.56 | 20.97 | 0.00 | 0.10 |
| FM × NI | 47.86 | 0.60 | 1.45 | 0.00 | 0.70 |
| FM × GMI | 43.01 | 0.41 | 2.58 | 0.00 | 0.10 |
| Residue | 773.85 | 5.86 | 69.75 | 0 | 1.14 |
| FM | IT | IR | PN 2023 | PN 2024 | GN 2023 | GN 2024 |
|---|---|---|---|---|---|---|
| CF | 45 | GM | 9.18 ± 0.48 Ca | 10.43 ± 0.48 Ca | 93.85 ± 4.71 Aa | 94.25 ± 2.58 Aa |
| CF | 45 | UR | 9.20 ± 0.49 Ca | 10.33 ± 0.42 Ca | 93.60 ± 5.95 Aa | 95.06 ± 2.42 Aa |
| CF | 45 | CK | 7.20 ± 0.34 Cb | 9.38 ± 0.38 Cb | 87.35 ± 4.15 ABa | 89.81 ± 2.59Aa |
| CF | 30 | GM | 12.63 ± 0.50 Ba | 12.75 ± 0.52 Ba | 89.60 ± 4.74 ABab | 91.44 ± 3.03 Aa |
| CF | 30 | UR | 11.36 ± 0.57 Bb | 12.50 ± 0.57 Ba | 90.00 ± 1.38 Aa | 86.56 ± 3.22 Bab |
| CF | 30 | CK | 8.86 ± 0.37 Bc | 10.58 ± 0.50 Bb | 82.15 ± 2.80 Ab | 80.63 ± 3.51 Bb |
| CF | 15 | GM | 14.04 ± 0.50 Aa | 14.65 ± 0.55 Aa | 85.25 ± 2.77 Ba | 84.50 ± 2.13 Ba |
| CF | 15 | UR | 13.34 ± 0.34 Aa | 14.93 ± 0.58 Aa | 87.35 ± 3.90 Aa | 83.75 ± 3.12 Ba |
| CF | 15 | CK | 10.88 ± 0.58 Ab | 12.30 ± 0.40 Ab | 82.25 ± 2.37 Ba | 80.69 ± 1.78 Ba |
| IF | 45 | GM | 8.93 ± 0.47 Ca | 10.48 ± 0.52 Ca | 95.00 ± 2.91 Aa | 93.13 ± 3.94 Aa |
| IF | 45 | UR | 8.49 ± 0.43 Ca | 9.35 ± 0.42 Cb | 94.05 ± 3.25 Aa | 94.75 ± 2.37 Aa |
| IF | 45 | CK | 7.16 ± 0.45 Cb | 9.30 ± 0.49 Bb | 85.65 ± 3.65 Ab | 90.13 ± 3.00 Aa |
| IF | 30 | GM | 12.79 ± 0.45 Ba | 12.40 ± 0.57 Ba | 88.85 ± 4.93 Aa | 90.38 ± 2.74 Aa |
| IF | 30 | UR | 11.03 ± 0.58 Bb | 12.35 ± 0.64 Ba | 88.10 ± 4.44 ABa | 87.88 ± 2.71 ABa |
| IF | 30 | CK | 8.90 ± 0.36 Bc | 10.08 ± 0.44 Bb | 83.90 ± 1.81 Aa | 80.63 ± 1.76 Bb |
| IF | 15 | GM | 14.39 ± 0.48 Aa | 14.55 ± 0.55 Aa | 82.70 ± 0.54 Ba | 82.50 ± 2.60 Bab |
| IF | 15 | UR | 13.58 ± 0.29 Aa | 14.50 ± 0.52 Aa | 84.50 ± 2.37 Ba | 86.13 ± 2.83 Ba |
| IF | 15 | CK | 10.71 ± 0.25 Ab | 11.45 ± 0.59 Ab | 82.10 ± 3.17 Aa | 79.63 ± 2.21 Bb |
| NF | 45 | GM | 8.55 ± 0.38 Ca | 9.80 ± 0.50 Ba | 91.40 ± 4.73 Aa | 92.56 ± 2.58 ABa |
| NF | 45 | UR | 8.30 ± 0.33 Ca | 9.35 ± 0.38 Bab | 91.90 ± 4.01 Aa | 93.25 ± 3.35 Aa |
| NF | 45 | CK | 6.96 ± 0.63 Bb | 8.53 ± 0.46 Cb | 85.90 ± 3.43 Aa | 86.75 ± 2.85 Ab |
| NF | 30 | GM | 11.76 ± 0.42 Ba | 13.33 ± 0.61 Aa | 86.45 ± 5.23 Aa | 89.94 ± 2.24 Aa |
| NF | 30 | UR | 11.11 ± 0.52 Ba | 12.70 ± 0.45 Aa | 87.00 ± 5.06 ABa | 88.50 ± 2.65 ABab |
| NF | 30 | CK | 9.68 ± 0.51 Ab | 10.10 ± 0.41 Bb | 83.45 ± 4.02 Aa | 82.94 ± 3.02 Abb |
| NF | 15 | GM | 13.10 ± 0.41 Aa | 14.30 ± 0.63 Aa | 83.75 ± 3.38 Aa | 83.31 ± 2.03 Ba |
| NF | 15 | UR | 13.05 ± 0.46 Aa | 13.28 ± 0.64 Aab | 82.55 ± 3.42 Ba | 81.81 ± 3.36 Ba |
| NF | 15 | CK | 10.53 ± 0.33 Ab | 12.15 ± 0.58 Ab | 78.55 ± 4.23 Aa | 77.94 ± 3.09 Ba |
| FM | IT | IR | SR 2023 (%) | SR 2024 (%) | T-GW 2023 (g) | T-GW 2024 (g) |
|---|---|---|---|---|---|---|
| CF | 45 | GM | 0.90 ± 0.00 Ca | 0.84 ± 0.01 Ca | 25.69 ± 0.16 Aa | 25.25 ± 0.08 Ba |
| CF | 45 | UR | 0.90 ± 0.01 Ca | 0.84 ± 0.03 Ba | 24.79 ± 0.18 Bb | 25.01 ± 0.07 Ab |
| CF | 45 | CK | 0.90 ± 0.00 Ca | 0.84 ± 0.02 Ba | 24.59 ± 0.18 Ab | 24.50 ± 0.08 Ac |
| CF | 30 | GM | 0.92 ± 0.01 Ba | 0.87 ± 0.00 Ba | 25.56 ± 0.13 Aa | 25.46 ± 0.06 Ba |
| CF | 30 | UR | 0.91 ± 0.01 Ba | 0.88 ± 0.02 ABa | 25.37 ± 0.10 ABb | 25.01 ± 0.10 Ab |
| CF | 30 | CK | 0.92 ± 0.01 Ba | 0.87 ± 0.02 Ba | 24.60 ± 0.11 Ac | 24.69 ± 0.07 ABc |
| CF | 15 | GM | 0.94 ± 0.01 Aa | 0.92 ± 0.02 Aa | 25.77 ± 0.12 Aa | 25.83 ± 0.06 Aa |
| CF | 15 | UR | 0.95 ± 0.00 Aa | 0.92 ± 0.02 Aa | 25.50 ± 0.12 Aa | 25.16 ± 0.05 Ab |
| CF | 15 | CK | 0.95 ± 0.01 Aa | 0.93 ± 0.01 Aa | 24.82 ± 0.14 Ab | 24.88 ± 0.07 Ac |
| IF | 45 | GM | 0.89 ± 0.01 Ca | 0.85 ± 0.02 Ba | 24.94 ± 0.11 Ba | 25.35 ± 0.04 Ba |
| IF | 45 | UR | 0.92 ± 0.01 Ba | 0.85 ± 0.02 Ba | 24.76 ± 0.27 Ba | 24.77 ± 0.05 Bb |
| IF | 45 | CK | 0.89 ± 0.01 Ca | 0.84 ± 0.01 Ba | 24.52 ± 0.19 Bb | 24.57 ± 0.08 Bc |
| IF | 30 | GM | 0.92 ± 0.01 Ba | 0.87 ± 0.02 Ba | 25.07 ± 0.19 Ba | 25.53 ± 0.02 ABa |
| IF | 30 | UR | 0.92 ± 0.01 Ba | 0.88 ± 0.01 Ba | 24.60 ± 0.25 Ba | 24.99 ± 2.19 ABb |
| IF | 30 | CK | 0.92 ± 0.01 Ba | 0.86 ± 0.02 Ba | 24.58 ± 0.27 ABb | 24.76 ± 0.10 ABb |
| IF | 15 | GM | 0.96 ± 0.01 Aa | 0.94 ± 0.01 Aa | 25.56 ± 0.09 Aa | 25.57 ± 0.08 Aa |
| IF | 15 | UR | 0.95 ± 0.00 Aab | 0.93 ± 0.01 Aa | 25.48 ± 0.18 Aa | 25.44 ± 0.05 Aa |
| IF | 15 | CK | 0.95 ± 0.01 Ab | 0.93 ± 0.02 Aa | 25.07 ± 0.29 Ab | 24.93 ± 2.66 Ab |
| NF | 45 | GM | 0.90 ± 0.00 Cb | 0.84 ± 0.04 Ba | 25.29 ± 0.22 Ba | 25.32 ± 0.08 Ba |
| NF | 45 | UR | 0.91 ± 0.00 Ba | 0.84 ± 0.02 Ba | 24.91 ± 0.06 Bb | 25.02 ± 0.08 Bb |
| NF | 45 | CK | 0.89 ± 0.01 Bb | 0.85 ± 0.02 Ba | 24.51 ± 0.27 Bc | 24.72 ± 0.09 Ac |
| NF | 30 | GM | 0.95 ± 0.00 Ba | 0.88 ± 0.03 ABa | 25.71 ± 0.13 Aa | 25.20 ± 0.05 Ba |
| NF | 30 | UR | 0.95 ± 0.01 Aa | 0.87 ± 0.01 Ba | 25.33 ± 0.06 ABb | 25.14 ± 0.07 Ba |
| NF | 30 | CK | 0.96 ± 0.01 Aa | 0.87 ± 0.01 Ba | 24.89 ± 0.07 Bc | 24.74 ± 0.07 Ab |
| NF | 15 | GM | 0.97 ± 0.00 Aa | 0.92 ± 0.01 Aa | 25.74 ± 0.19 Aba | 25.65 ± 0.03 Aa |
| NF | 15 | UR | 0.95 ± 0.00 Ab | 0.93 ± 0.01 Aa | 25.55 ± 0.28 Aa | 25.39 ± 0.07 Ab |
| NF | 15 | CK | 0.95 ± 0.01 Ab | 0.92 ± 0.01 Aa | 25.20 ± 0.07 Ab | 24.91 ± 0.08 Ac |
Disclaimer/Publisher’s Note: The statements, opinions and data contained in all publications are solely those of the individual author(s) and contributor(s) and not of MDPI and/or the editor(s). MDPI and/or the editor(s) disclaim responsibility for any injury to people or property resulting from any ideas, methods, instructions or products referred to in the content. |
© 2025 by the authors. Licensee MDPI, Basel, Switzerland. This article is an open access article distributed under the terms and conditions of the Creative Commons Attribution (CC BY) license (https://creativecommons.org/licenses/by/4.0/).
Share and Cite
Gao, P.; Diao, L.; Zheng, F.; Ji, Z.; Sun, G.; Ding, Y.; Wang, H.; Deng, S.; Dai, Q. Later Incorporation of Astragalus sinicus with Flooding Reduces Rice-Associated Weed Infestation and Increases Rice Yield in the Green Manure–Rice Rotation System. Agronomy 2025, 15, 2291. https://doi.org/10.3390/agronomy15102291
Gao P, Diao L, Zheng F, Ji Z, Sun G, Ding Y, Wang H, Deng S, Dai Q. Later Incorporation of Astragalus sinicus with Flooding Reduces Rice-Associated Weed Infestation and Increases Rice Yield in the Green Manure–Rice Rotation System. Agronomy. 2025; 15(10):2291. https://doi.org/10.3390/agronomy15102291
Chicago/Turabian StyleGao, Pinglei, Liuyun Diao, Fei Zheng, Zhong Ji, Guojun Sun, Yuhua Ding, Haoyu Wang, Shiwen Deng, and Qigen Dai. 2025. "Later Incorporation of Astragalus sinicus with Flooding Reduces Rice-Associated Weed Infestation and Increases Rice Yield in the Green Manure–Rice Rotation System" Agronomy 15, no. 10: 2291. https://doi.org/10.3390/agronomy15102291
APA StyleGao, P., Diao, L., Zheng, F., Ji, Z., Sun, G., Ding, Y., Wang, H., Deng, S., & Dai, Q. (2025). Later Incorporation of Astragalus sinicus with Flooding Reduces Rice-Associated Weed Infestation and Increases Rice Yield in the Green Manure–Rice Rotation System. Agronomy, 15(10), 2291. https://doi.org/10.3390/agronomy15102291
