Screening of Efficient Antifreeze Agents to Prevent Low-Temperature Stress in Vines
Abstract
1. Introduction
2. Materials and Methods
2.1. Overview of the Experimental Site
2.2. Experimental Design on the Effect of Different Antifreeze Agents on the Resistance of Grape Shoots to Freezing Damage
2.2.1. Cold Stress Treatment
2.2.2. Determination of Relative Electrical Conductivity (EL)
2.2.3. Determination of Malondialdehyde (MDA) Content
2.2.4. Antioxidant Enzyme Activity Assay
2.2.5. Determination of Soluble Protein Content
2.2.6. Determination of Soluble Sugar Content
2.2.7. Determination of Proline Content
2.3. Experimental Design on the Effects of Spraying Four Antifreeze Agents on Berries Set Rate and Grape Berries Quality
2.3.1. Investigation of Berries Set Rate
2.3.2. Determination of Basic Physicochemical Indices of Grape Berries
Physical Indicators
Chemical Indicators
2.3.3. Determination of Phenolic Compound Content
2.4. Data Statistical Analysis
3. Results and Discussion
3.1. Effect of Different Antifreeze Treatments on the Phenotype of ‘Chardonnay’ and ‘Cabernet Sauvignon’ Shoots Under Low-Temperature Stress
3.2. Effect of Different Antifreeze Treatments on the Relative Electrical Conductivity (EL) and Malondialdehyde (MDA) Content in the Leaves of ‘Chardonnay’ and ‘Cabernet Sauvignon’ Shoots Under Low-Temperature Stress
3.3. The Impact of Different Antifreeze Treatments on Chlorophyll Fluorescence Parameters in the Leaves of ‘Chardonnay’ and ‘Cabernet Sauvignon’ Shoots Under Low-Temperature Stress
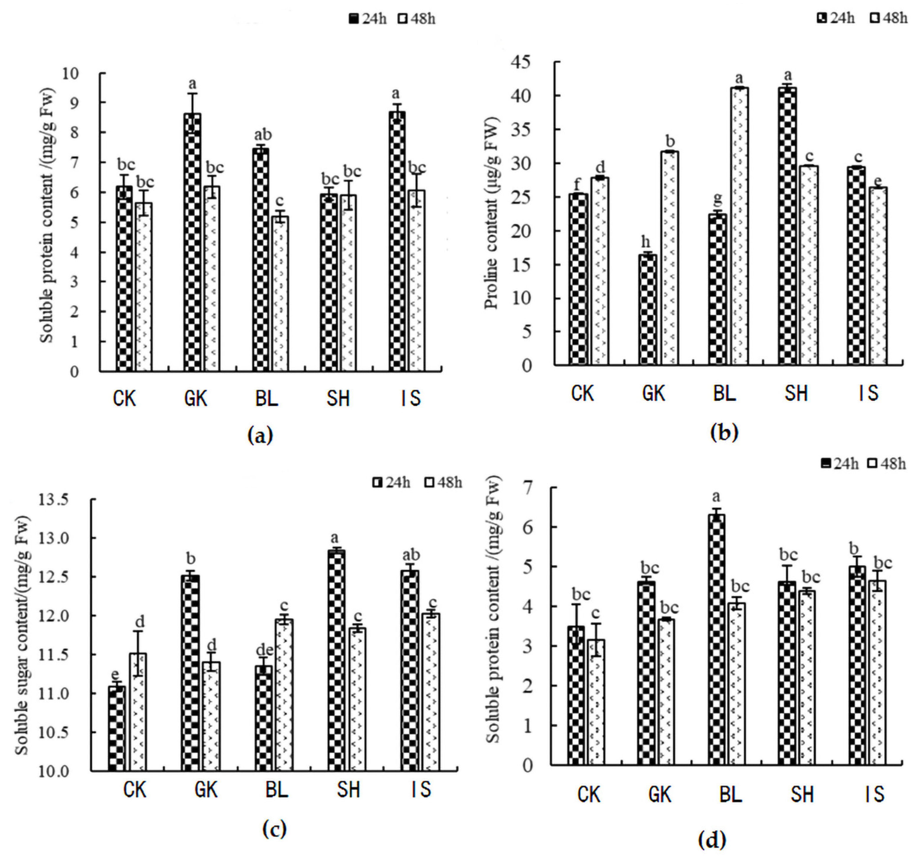
3.4. Effect of Different Antifreeze Treatments on the Content of Osmotic Regulators in the Leaves of ‘Chardonnay’ and ‘Cabernet Sauvignon’ Shoots Under Low-Temperature Stress
3.5. Principal Component Analysis of Cold Resistance Indicators in Grape Shoots After Application of Different Antifreeze Agents for 24 Hours Followed by Low-Temperature Treatment
3.5.1. Principal Component Analysis and Comprehensive Index Evaluation of Cold Resistance in ‘Chardonnay’ Shoots
Extraction of Principal Components
Principal Component Analysis
3.5.2. Principal Component Analysis and Comprehensive Index Evaluation of Cold Resistance in ‘Cabernet Sauvignon’ Shoots
Extraction of Principal Components
Principal Component Analysis
3.6. Effect of Different Antifreeze Agents on the Berries Setting Rate of ‘Chardonnay’ and ‘Cabernet Sauvignon’
3.7. Effect of Different Antifreeze Agents on the Berry Characteristics at the Harvest of ‘Chardonnay’ and ‘Cabernet Sauvignon’
3.8. Effect of Different Antifreeze Agents on the Berry Quality at the Harvest of ‘Chardonnay’ and ‘Cabernet Sauvignon’
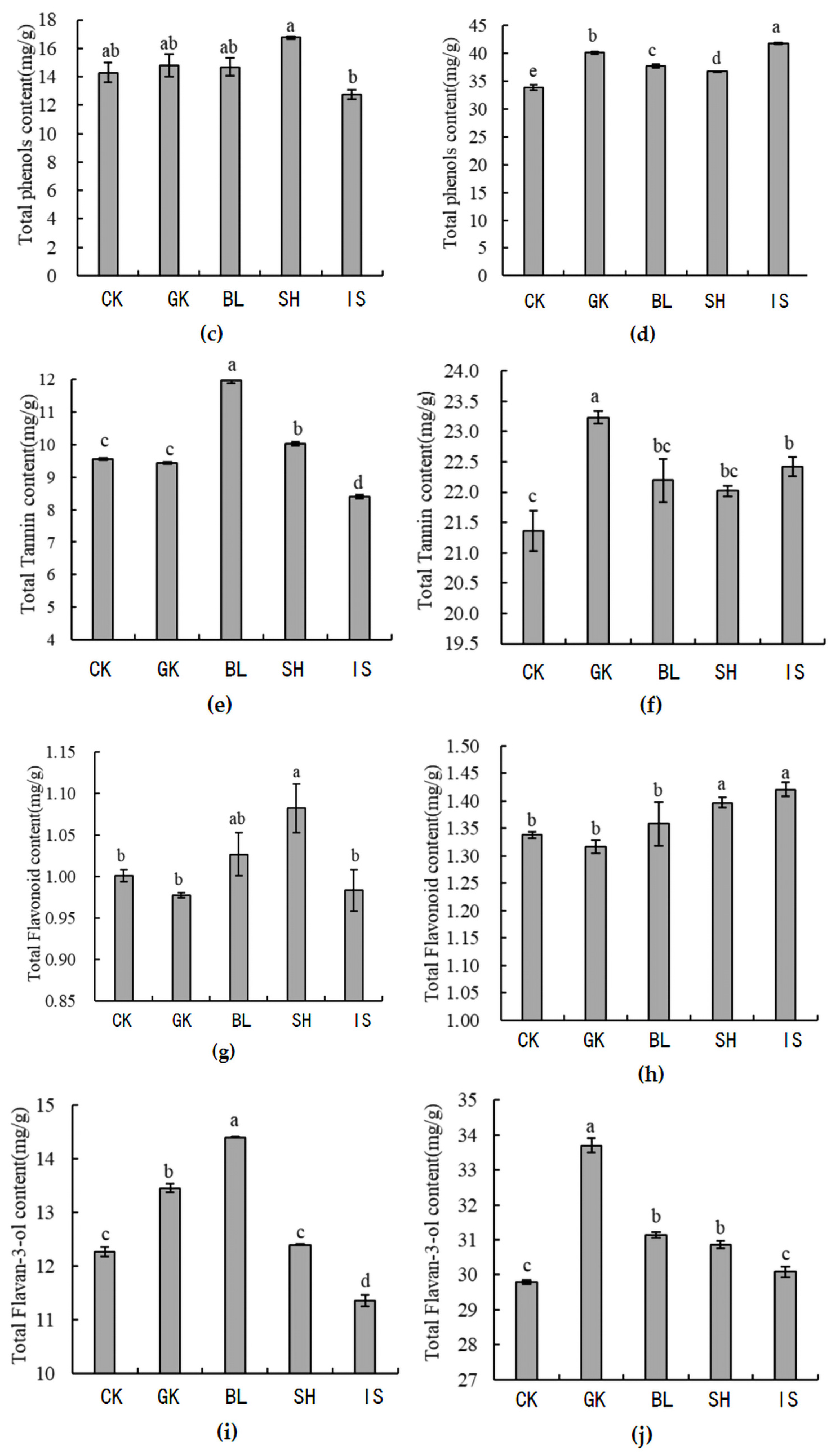
3.9. Effect of Different Antifreeze Agents on the Berries Skin Polyphenol Content at the Harvest of ‘Chardonnay’ and ‘Cabernet Sauvignon’
4. Conclusions and Prospects
Author Contributions
Funding
Data Availability Statement
Acknowledgments
Conflicts of Interest
References
- Zhou, D.D.; Li, J.H.; Xiong, R.G.; Saimaiti, A.; Huang, S.Y.; Wu, S.X.; Yang, Z.J.; Shang, A.; Zhao, C.N.; Gan, R.Y.; et al. Bioactive Compounds, Health Benefits and Food Applications of Grape. Foods 2022, 11, 2755. [Google Scholar] [CrossRef] [PubMed]
- Wang, Z.L.; Cao, X.; Zhang, L.; Han, X.; Wang, Y.; Wang, H.; Li, H. Ecosystem Service Function and Assessment of the Value of Grape Industry in Soil-Burial Over-Wintering Areas. Horticulturae 2021, 7, 202. [Google Scholar] [CrossRef]
- Cruz, M.A.D.A.S.; Elias, M.D.B.; Calina, D.; Sharifi-Rad, J.; Teodoro, A.J. Insights into grape-derived health benefits: A comprehensive overview. Food Prod. Process. Nutr. 2024, 6, 91. [Google Scholar] [CrossRef]
- Ding, Y.; Lv, J.; Shi, Y.; Gao, J.; Hua, J.; Song, C.; Gong, Z.; Yang, S. EGR2 phosphatase regulates OST1 kinase activity and freezing tolerance in Arabidopsis. Embo J. 2019, 38, e99819. [Google Scholar] [CrossRef] [PubMed]
- Zheng, Q.; Yu, Q.; Yao, W.; Lv, K.; Zhang, N.; Xu, W. Decoding VaCOLD1 Function in Grapevines: A Membrane Protein Enhancing Cold Stress Tolerance. J. Agric. Food Chem. 2023, 71, 19357–19371. [Google Scholar] [CrossRef]
- Lindén, L. Measuring Cold Hardiness in Woody Plants; University of Helsinki: Helsinki, Finland, 2002. [Google Scholar]
- Hu, Y.F.; Zhang, H.J.; Gu, B.; Zhang, J.X. The transcription factor VaMYC2 from Chinese wild Vitis amurensis enhances cold tolerance of grape (V. vinifera) by up-regulating VaCBF1 and VaP5CS. Plant Physiol. Biochem. 2022, 192, 218–229. [Google Scholar] [CrossRef]
- Fan, Y.M.; Wang, K.; Wang, M.S.; Wang, X.D.; Li, H.; Wu, Y. Production, functions and scavenging mechanisms of reactive oxygen species in plants under low-temperature stress. Maejo Int. J. Sci. Technol. 2023, 17, 210–227. [Google Scholar]
- Zhang, X.; Wang, J.A.; Feng, S.; Yu, X.H.; Zhou, A.M. Morphological and physiological responses of Dianthus spiculifolius high wax mutant to low-temperature stress. J. Plant Physiol. 2022, 275, 153762. [Google Scholar] [CrossRef] [PubMed]
- Sharma, D.K.; Andersen, S.B.; Ottosen, C.O.; Rosenqvist, E. Wheat cultivars selected for high Fv/Fm under heat stress maintain high photosynthesis, total chlorophyll, stomatal conductance, transpiration and dry matter. Physiol. Plant. 2015, 153, 284–298. [Google Scholar] [CrossRef] [PubMed]
- Wang, Y.; Wang, J.; Sarwar, R.; Zhang, W.; Geng, R.; Zhu, K.M.; Tan, X.L. Research progress on the physiological response and molecular mechanism of cold response in plants. Front. Plant Sci. 2024, 15, 1334913. [Google Scholar] [CrossRef]
- Gu, K.Y.; Hou, S.; Chen, J.F.; Guo, J.G.; Wang, F.F.; He, C.G.; Zou, C.M.; Xie, X.Y. The physiological response of different tobacco varieties to chilling stress during the vigorous growing period. Sci. Rep. 2021, 11, 22136. [Google Scholar] [CrossRef]
- Tu, M.; Fang, J.; Zhao, R.; Liu, X.; Yin, W.; Wang, Y.; Wang, X.; Wang, X.; Fang, Y. CRISPR/Cas9-mediated mutagenesis of VvbZIP36 promotes anthocyanin accumulation in grapevine (Vitis vinifera). Hortic. Res.-Engl. 2022, 9, uhac022. [Google Scholar] [CrossRef]
- Wang, X.; Tu, M.; Wang, Y.; Zhang, Y.; Yin, W.; Fang, J.; Gao, M.; Li, Z.; Zhan, W.; Fang, Y.; et al. Telomere-to-telomere and gap-free genome assembly of a susceptible grapevine species (Thompson Seedless) to facilitate grape functional genomics. Hortic. Res.-Engl. 2024, 11, uhad260. [Google Scholar] [CrossRef]
- Gupta, R.; Deswal, R. Antifreeze proteins enable plants to survive in freezing conditions. J. Biosci. 2014, 39, 931–944. [Google Scholar] [CrossRef] [PubMed]
- Figueroa, M.; Ortiz, D.; Henningsen, E.C. Tactics of host manipulation by intracellular effectors from plant pathogenic fungi. Curr. Opin. Plant Biol. 2021, 62, 102054. [Google Scholar] [CrossRef]
- Smith, E.D. Cold Hardiness and Options for the Freeze Protection of Southern Highbush Blueberry. Agriculture 2019, 9, 9. [Google Scholar] [CrossRef]
- Scagel, C.F.; Regan, R.P.; Hummel, R.; Bi, G.H. Cold Tolerance of Container-grown Green Ash Trees Is Influenced by Nitrogen Fertilizer Type and Rate. Horttechnology 2010, 20, 292–303. [Google Scholar] [CrossRef]
- Toca, A.; Oliet, J.A.; Villar-Salvador, P.; Maroto, J.; Jacobs, D.F. Species ecology determines the role of nitrogen nutrition in the frost tolerance of pine seedlings. Tree Physiol. 2018, 38, 96–108. [Google Scholar] [CrossRef]
- Centinari, M.; Smith, M.S.; Londo, J.P. Assessment of Freeze Injury of Grapevine Green Tissues in Response to Cultivars and a Cryoprotectant Product. Hortscience 2016, 51, 856–860. [Google Scholar] [CrossRef]
- Ma, Q.F.; Bell, R.; Biddulph, B. Potassium application alleviates grain sterility and increases yield of wheat (Triticum aestivum) in frost-prone Mediterranean-type climate. Plant Soil 2019, 434, 203–216. [Google Scholar] [CrossRef]
- Marosz, A.; Nogowska, A. Effect of calcium nitrate foliar spray on the calcium content, growth and freezing tolerance of Forsythia × Intermedia cultivars. J. Plant Nutr. 2018, 41, 2606–2614. [Google Scholar] [CrossRef]
- Vega, S.E.; Bamberg, J.B.; Palta, J.P. Potential for improving freezing stress tolerance of wild potato germplasm by supplemental calcium fertilization. Am. Potato J. 1996, 73, 397–409. [Google Scholar] [CrossRef]
- Tsipouridis, C.; Thomidis, T.; Xatzicharisis, I. Effect of sprinkler irrigation system on air temperatures and use of chemicals to protect cherry and peach trees from early spring frost. Aust. J. Exp. Agric. 2006, 46, 697–700. [Google Scholar] [CrossRef]
- Yang, Y.; Zhang, R.F.; Duan, X.J.; Hu, Z.H.; Shen, M.; Leng, P.S. Natural cold acclimation of Ligustrum lucidum in response to exogenous application of paclobutrazol in Beijing. Acta Physiol. Plant. 2019, 41, 15. [Google Scholar] [CrossRef]
- Verslues, P.E.; Agarwal, M.; Katiyar-Agarwal, S.; Zhu, J.H.; Zhu, J.K. Methods and concepts in quantifying resistance to drought, salt and freezing, abiotic stresses that affect plant water status. Plant J. 2006, 45, 523–539. [Google Scholar] [CrossRef] [PubMed]
- Heath, R.L.; Packer, L. Photoperoxidation in isolated chloroplasts. I. Kinetics and stoichiometry of fatty acid peroxidation. Arch. Biochem. Biophys. 1968, 125, 189–198. [Google Scholar] [CrossRef]
- Wang, L.J.; Li, S.H. Thermotolerance and related antioxidant enzyme activities induced by heat acclimation and salicylic acid in grape (Vitis vinifera L.) leaves. Plant Growth Regul. 2006, 48, 137–144. [Google Scholar] [CrossRef]
- Bradford, M.M. A rapid and sensitive method for the quantitation of microgram quantities of protein utilizing the principle of protein-dye binding. Anal. Biochem. 1976, 72, 248–254. [Google Scholar] [CrossRef] [PubMed]
- Maness, N. Extraction and analysis of soluble carbohydrates. Methods Mol. Biol. 2010, 639, 341–370. [Google Scholar] [CrossRef]
- Bates, L.S.; Waldren, R.P.; Teare, I.D. Rapid Determination of Free Proline for Water-Stress Studies. Plant Soil 1973, 39, 205–207. [Google Scholar] [CrossRef]
- Lee, J.; Durst, R.W.; Wrolstad, R.E. Determination of total monomeric anthocyanin pigment content of fruit juices, beverages, natural colorants, and wines by the pH differential method: Collaborative study. J. Aoac Int. 2005, 88, 1269–1278. [Google Scholar] [CrossRef] [PubMed]
- Jara-Palacios, M.J.; Hernanz, D.; Escudero-Gilete, M.L.; Heredia, F.J. Antioxidant potential of white grape pomaces: Phenolic composition and antioxidant capacity measured by spectrophotometric and cyclic voltammetry methods. Food Res. Int. 2014, 66, 150–157. [Google Scholar] [CrossRef]
- Aleixandre-Tudo, J.L.; Buica, A.; Nieuwoudt, H.; Aleixandre, J.L.; du Toit, W. Spectrophotometric Analysis of Phenolic Compounds in Grapes and Wines. J. Agric. Food Chem. 2017, 65, 4009–4026. [Google Scholar] [CrossRef]
- Peinado, J.; de Lerma, N.L.; Moreno, J.; Peinado, R.A. Antioxidant activity of different phenolics fractions isolated in must from Pedro Ximenez grapes at different stages of the off-vine drying process. Food Chem. 2009, 114, 1050–1055. [Google Scholar] [CrossRef]
- Li, Y.G.; Tanner, G.; Larkin, P. The DMACA-HCl protocol and the threshold proanthocyanidin content for bloat safety in forage legumes. J. Sci. Food Agric. 1996, 70, 89–101. [Google Scholar] [CrossRef]
- Qian, Z.F.; He, L.L.; Li, F.S. Understanding cold stress response mechanisms in plants: An overview. Front. Plant Sci. 2024, 15, 1443317. [Google Scholar] [CrossRef]
- Han, X.; Li, Y.H.; Yao, M.H.; Yao, F.; Wang, Z.L.; Wang, H.; Li, H. Transcriptomics Reveals the Effect of Short-Term Freezing on the Signal Transduction and Metabolism of Grapevine. Int. J. Mol. Sci. 2023, 24, 3884. [Google Scholar] [CrossRef]
- Soureshjani, H.K.; Nezami, A.; Nabati, J.; Oskueian, E.; Ahmadi-Lahijani, M.J. Genetic variations in antioxidant content and chlorophyll fluorescence of chickpea (Cicer arietinum L.) genotypes exposed to freezing temperatures. Acta Physiol. Plant. 2022, 44, 138. [Google Scholar] [CrossRef]
- Lin, Y.Z.; Lin, S.Z.; Guo, H.; Zhang, Z.Y.; Chen, X.Y. Functional analysis of PsG6PDH, a cytosolic glucose-6-phosphate dehydrogenase gene from Populus suaveolens, and its contribution to cold tolerance improvement in tobacco plants. Biotechnol. Lett. 2013, 35, 1509–1518. [Google Scholar] [CrossRef]
- Mega, R.; Meguro-Maoka, A.; Endo, A.; Shimosaka, E.; Murayama, S.; Nambara, E.; Seo, M.; Kanno, Y.; Abrams, S.R.; Sato, Y. Sustained low abscisic acid levels increase seedling vigor under cold stress in rice (Oryza sativa L.). Sci. Rep. 2015, 5, 13819. [Google Scholar] [CrossRef]
- Liu, X.; Lu, X.; Yang, S.; Liu, Y.; Wang, W.; Wei, X.; Ji, H.; Zhang, B.; Xin, W.; Wen, J. Role of exogenous abscisic acid in freezing tolerance of mangrove Kandelia obovata under natural frost condition at near 32°N. BMC Plant Biol. 2022, 22, 593. [Google Scholar] [CrossRef] [PubMed]
- Chen, Q.-j.; Zhang, L.-p.; Song, S.-r.; Wang, L.; Xu, W.-p.; Zhang, C.-x.; Wang, S.-p.; Liu, H.-f.; Ma, C. vvi-miPEP172b and vvi-miPEP3635b increase cold tolerance of grapevine by regulating the corresponding MIRNA genes. Plant Sci. 2022, 325, 111450. [Google Scholar] [CrossRef]
- Wei, T.-L.; Wang, Z.-X.; He, Y.-F.; Xue, S.; Zhang, S.-Q.; Pei, M.-S.; Liu, H.-N.; Yu, Y.-H.; Guo, D.-L. Proline synthesis and catabolism-related genes synergistically regulate proline accumulation in response to abiotic stresses in grapevines. Sci. Hortic. 2022, 305, 111373. [Google Scholar] [CrossRef]
- Kita, Y.; Suzuki, T.; Jitsuyama, Y. Relationships between freezing resistance and biochemicals in grapevine buds and canes: Different soluble carbohydrates accumulate in several cultivars during cold acclimation. Plant Stress 2024, 14, 100639. [Google Scholar] [CrossRef]
- Cao, X.H.; Zhang, F.F.; Zhu, D.S.; Zhao, D.Y.; Liu, L.P. Effect of different sugars on the freezing characteristics of Kyoho grape. J. Texture Stud. 2018, 49, 604–611. [Google Scholar] [CrossRef]
- Zhang, Y.; Dami, I.E. Foliar Application of Abscisic Acid Increases Freezing Tolerance of Field-Grown Vitis vinifera Cabernet franc Grapevines. Am. J. Enol. Vitic. 2012, 63, 377–384. [Google Scholar] [CrossRef]
- Champa, W.A.H.; Gill, M.I.S.; Mahajan, B.V.C.; Arora, N.K. Preharvest salicylic acid treatments to improve quality and postharvest life of table grapes (Vitis vinifera L.) cv. Flame Seedless. J. Food Sci. Technol. 2015, 52, 3607–3616. [Google Scholar] [CrossRef]
- Yang, K.; Liu, D.; Feng, L.; Xu, L.G.; Jiang, Y.G.; Shen, X.R.; Ali, A.; Lu, J.W.; Guo, L. Preparation of Peptoid Antifreeze Agents and Their Structure-Property Relationship. Polymers 2024, 16, 990. [Google Scholar] [CrossRef]
- Fu, Z.W.; Li, D.L.; Liu, H.; Liu, R.N.; Lyu, Q.; Han, Y.X.; Wang, Y.P.; Zhang, K.; Chen, G.L.; Tian, Y. Antifreeze protein-based ultrastretchable and highly sensitive hydrogel for human-machine interaction. Chem. Eng. J. 2024, 488, 150775. [Google Scholar] [CrossRef]
- Alenazi, M.M.; Shafiq, M.; Alobeed, R.S.; Alsdon, A.A.; Abbasi, N.A.; Ali, I.; Mubushar, M.; Javed, I. Application of abscisic acid at veraison improves red pigmentation and accumulation of dietary antioxidants in red table grapes cv. Red Globe at harvest. Sci. Hortic. 2019, 257, 108672. [Google Scholar] [CrossRef]
- Baek, M.W.; Choi, H.R.; Jae, L.Y.; Kang, H.M.; Lee, O.H.; Jeong, C.S.; Tilahun, S. Preharvest Treatment of Methyl Jasmonate and Salicylic Acid Increase the Yield, Antioxidant Activity and GABA Content of Tomato. Agronomy 2021, 11, 2293. [Google Scholar] [CrossRef]
- Marzouk, H.A.; Kassem, H.A. Improving yield, quality, and shelf life of Thompson seedless grapevine by preharvest foliar applications. Sci. Hortic. 2011, 130, 425–430. [Google Scholar] [CrossRef]
- Oraei, M.; Panahirad, S.; Zaare-Nahandi, F.; Gohari, G. Pre-veraison treatment of salicylic acid to enhance anthocyanin content of grape (Vitis vinifera L.) berries. J. Sci. Food Agric. 2019, 99, 5946–5952. [Google Scholar] [CrossRef]
- Jalili, I.; Ebadi, A.; Askari, M.A.; KalatehJari, S.; Aazami, M.A. Foliar application of putrescine, salicylic acid, and ascorbic acid mitigates frost stress damage in Vitis vinifera cv. ‘Giziluzum’. BMC Plant Biol. 2023, 23, 135. [Google Scholar] [CrossRef]
- Popescu, G.C.; Popescu, M. Yield, berry quality and physiological response of grapevine to foliar humic acid application. Bragantia 2018, 77, 273–282. [Google Scholar] [CrossRef]
- Krol, A.; Amarowicz, R.; Weidner, S. The effects of cold stress on the phenolic compounds and antioxidant capacity of grapevine (Vitis vinifera L.) leaves. J. Plant Physiol. 2015, 189, 97–104. [Google Scholar] [CrossRef] [PubMed]
- Ding, M.L.; Xie, Y.F.; Zhang, Y.H.; Cai, X.N.; Zhang, B.; Ma, P.D.; Dong, J.E. Salicylic acid regulates phenolic acid biosynthesis via SmNPR1-SmTGA2/SmNPR4 modules in Salvia miltiorrhiza. J. Exp. Bot. 2023, 74, 5736–5751. [Google Scholar] [CrossRef]
- Yang, W.; Zhou, Z.; Chu, Z.H. Emerging Roles of Salicylic Acid in Plant Saline Stress Tolerance. Int. J. Mol. Sci. 2023, 24, 3388. [Google Scholar] [CrossRef]
- Gu, X.Y.; Liu, Y.; Liu, L.J. Progress on the biosynthesis and signal transduction of phytohormone salicylic acid. Yi Chuan Hered. 2020, 42, 858–869. [Google Scholar] [CrossRef]
- Zhu, L.; Zhang, Y.L.; Zhang, W.; Lu, J. Effects of Exogenous Abscisic Acid on Phenolic Characteristics of Red Vitis vinifera Grapes and Wines. Food Sci. Biotechnol. 2016, 25, 361–370. [Google Scholar] [CrossRef]
- Jing, J.Y.; Zhang, S.Q.; Yuan, L.; Li, Y.T.; Lin, Z.A.; Xiong, Q.Z.; Zhao, B.Q. Combining humic acid with phosphate fertilizer affects humic acid structure and its stimulating efficacy on the growth and nutrient uptake of maize seedlings. Sci. Rep. 2020, 10, 17502. [Google Scholar] [CrossRef] [PubMed]
- Rui, R.; Hei, J.Y.; Li, Y.; Al Farraj, D.A.; Noor, F.; Wang, S.; He, X.H. Effects of humic acid fertilizer on the growth and microbial network stability of Panax notoginseng from the forest understorey. Sci. Rep. 2024, 14, 17816. [Google Scholar] [CrossRef]









| Treatment | Application Concentration | Main Components | Reagent Company |
|---|---|---|---|
| Water (CK) | |||
| Guoguang Kangxiu (GK) | 350 times | 0.1% S-Abscisic Acid | Sichuan Runer Technology Co., Ltd. (Chengdu, China) |
| Biogas Liquid (BL) | 6 times | Nitrogen, Phosphorus, Potassium, Humic Acid, Amino Acids, and Trace Elements | Shandong Jining Green Agriculture Liquid Fertilizer (Jining, China) |
| SenHuo (SH) | 300 times | Humic Acid, Nitrogen, Phosphorus, and Potassium | Zhengzhou Zhengshi Chemical Co., Ltd. (Zhengzhou, China) |
| Ice Shield (IS) | 600 times | Trehalose, Salicylic Acid, Nitrogen, Phosphorus, Potassium, Calcium, Beneficial Microorganisms, and Active Enzymes | Shanghai Hanhe Agricultural Production Materials Co., Ltd. (Shanghai, China) |
| Principal Component | Characteristic Values | Variance Contribution Rates % | Cumulative Contribution Rates % |
|---|---|---|---|
| 1 | 5.96 | 59.602 | 59.602 |
| 2 | 2.278 | 22.777 | 82.379 |
| 3 | 1.63 | 16.299 | 98.678 |
| Factor | Principal Component 1 | Principal Component 2 | Principal Component 3 |
|---|---|---|---|
| EL | −0.4 | 0.13 | −0.04 |
| MDA | −0.39 | 0.01 | 0.23 |
| Fv/Fm | 0.4 | −0.13 | 0.06 |
| POD | 0.15 | 0.48 | 0.46 |
| CAT | 0.39 | −0.20 | 0.02 |
| APX | 0.26 | 0.11 | −0.6 |
| SOD | 0.4 | 0.06 | −0.16 |
| SP | 0.12 | −0.54 | 0.37 |
| Proline | 0.14 | 0.60 | 0 |
| SS | 0.31 | 0.15 | 0.47 |
| Treatment | Principal Component 1 | Principal Component 2 | Principal Component 3 | Comprehensive Score | Indicator |
|---|---|---|---|---|---|
| CK | −4.23 | 0.7 | −0.08 | −2.37 | 5 |
| GK | 0.55 | −1.5 | 0.91 | 0.14 | 3 |
| BL | 0.74 | −1.14 | −1.98 | −0.14 | 4 |
| SH | 2.16 | 2.23 | −0.2 | 1.76 | 1 |
| IS | 0.78 | −0.29 | 1.34 | 0.62 | 2 |
| Principal Component | Characteristic Values | Variance Contribution Rates % | Cumulative Contribution Rates % |
|---|---|---|---|
| 1 | 6.896 | 68.959 | 68.959 |
| 2 | 1.98 | 19.804 | 88.763 |
| Factor | Principal Component 1 | Principal Component 2 |
|---|---|---|
| EL | −0.37 | −0.12 |
| MDA | −0.38 | 0.01 |
| Fv/Fm | 0.37 | 0.15 |
| POD | 0.38 | 0.1 |
| CAT | 0.37 | −0.05 |
| APX | −0.1 | 0.65 |
| SOD | 0.37 | 0.05 |
| SP | 0.16 | 0.34 |
| Proline | −0.16 | 0.64 |
| SS | 0.33 | −0.06 |
| Treatment | Principal Component 1 | Principal Component 2 | Comprehensive Score | Indicator |
|---|---|---|---|---|
| CK | −4.36 | −0.43 | −3.09 | 5 |
| GK | 2.48 | −0.95 | 1.52 | 1 |
| BL | 1.39 | −0.97 | 0.76 | 3 |
| SH | 0.75 | 2.42 | 1 | 2 |
| IS | −0.25 | −0.06 | −0.19 | 4 |
| Treatments | Cluster Weight (g) | Berry Weight (g) | Berry Width (g) | Berry Longitudinal Diameter (mm) | Shape Index |
|---|---|---|---|---|---|
| CK | 191.23 ± 6.67 a | 1.53 ± 2.18 a | 12.84 ± 0.34 a | 13.75 ± 0.31 a | 0.93 ± 0.32 b |
| GK | 207.90 ± 10.65 a | 1.57 ± 2.35 a | 12.59 ± 0.22 a | 13.25 ± 0.20 a | 0.96 ± 0.13 b |
| BL | 183.25 ± 12.60 a | 1.60 ± 1.62 a | 12.93 ± 0.23 a | 13.49 ± 0.23 a | 0.96 ± 0.20 ab |
| SH | 200.46 ± 4.42 a | 1.53 ± 3.55 a | 13.00 ± 0.26 a | 13.11 ± 0.28 a | 0.99 ± 0.19 a |
| IS | 113.77 ± 29.98 b | 1.48 ± 5.88 a | 12.79 ± 0.21 a | 13.42 ± 0.24 a | 0.95 ± 0.27 ab |
| Treatments | Cluster Weight (g) | Berry Weight (g) | Berry Width (g) | Berry Length (mm) | Shape Index |
|---|---|---|---|---|---|
| CK | 183.77 ± 14.33 b | 1.21 ± 1.52 a | 12.21 ± 0.23 a | 12.48 ± 0.24 a | 0.98 ± 0.01 a |
| GK | 194.30 ± 8.25 b | 1.25 ± 2.14 a | 11.02 ± 0.23 b | 11.45 ± 0.22 b | 0.96 ± 0.02 b |
| BL | 218.36 ± 11.47 ab | 1.26 ± 3.57 a | 11.85 ± 0.24 ab | 12.25 ± 0.23 a | 0.97 ± 0.02 ab |
| SH | 182.72 ± 48.79 b | 1.20 ± 1.19 a | 11.73 ± 0.18 ab | 12.14 ± 0.20 a | 0.97 ± 0.02 ab |
| IS | 233.95 ± 12.33 a | 1.28 ± 2.53 a | 11.82 ± 0.24 ab | 12.37 ± 0.22 a | 0.96 ± 0.02 b |
| Treatments | Soluble Solid Content (%) | Reducing Sugar Content (g/L) | Titratable Acid Content (g/L) | pH |
|---|---|---|---|---|
| CK | 19.82 ± 0.01 c | 184.07 ± 0.09 c | 4.82 ± 0.02 b | 3.91 ± 0.01 c |
| GK | 21.70 ± 0.01 a | 200.37 ± 0.03 a | 4.48 ± 0.01 d | 4.03 ± 0.01 a |
| BL | 20.37 ± 0.02 b | 188.50 ± 0.06 b | 4.70 ± 0.02 c | 4.04 ± 0.01 a |
| SH | 20.37 ± 0.01 b | 189.03 ± 0.12 b | 4.65 ± 0.03 c | 3.98 ± 0.01 b |
| IS | 21.82 ± 0.22 a | 200.70 ± 1.95 a | 4.96 ± 0.04 a | 3.98 ± 0.01 b |
| Treatments | Soluble Solid Content (%) | Reducing Sugar Content (g/L) | Titratable Acid Content (g/L) | pH |
|---|---|---|---|---|
| CK | 20.44 ± 0.01 d | 192.47 ± 0.15 e | 5.21 ± 0.01 b | 3.67 ± 0.01 a |
| GK | 22.02 ± 0.01 a | 206.10 ± 0.15 a | 5.16 ± 0.02 b | 3.67 ± 0.01 ab |
| BL | 20.85 ± 0.01 c | 195.67 ± 0.07 c | 5.75 ± 0.01 a | 3.61 ± 0.01 c |
| SH | 20.89 ± 0.01 b | 196.37 ± 0.13 b | 5.18 ± 0.02 b | 3.66 ± 0.01 ab |
| IS | 20.90 ± 0.01 b | 193.63 ± 0.12 d | 5.08 ± 0.01 c | 3.65 ± 0.01 b |
Disclaimer/Publisher’s Note: The statements, opinions and data contained in all publications are solely those of the individual author(s) and contributor(s) and not of MDPI and/or the editor(s). MDPI and/or the editor(s) disclaim responsibility for any injury to people or property resulting from any ideas, methods, instructions or products referred to in the content. |
© 2024 by the authors. Licensee MDPI, Basel, Switzerland. This article is an open access article distributed under the terms and conditions of the Creative Commons Attribution (CC BY) license (https://creativecommons.org/licenses/by/4.0/).
Share and Cite
Zhang, Y.; Han, M.; Wu, L.; Wang, H.; Liang, Y.; Wang, X.; Xi, Z. Screening of Efficient Antifreeze Agents to Prevent Low-Temperature Stress in Vines. Agronomy 2025, 15, 48. https://doi.org/10.3390/agronomy15010048
Zhang Y, Han M, Wu L, Wang H, Liang Y, Wang X, Xi Z. Screening of Efficient Antifreeze Agents to Prevent Low-Temperature Stress in Vines. Agronomy. 2025; 15(1):48. https://doi.org/10.3390/agronomy15010048
Chicago/Turabian StyleZhang, Yali, Mengyao Han, Langjie Wu, Haoyu Wang, Yanying Liang, Xianhang Wang, and Zhumei Xi. 2025. "Screening of Efficient Antifreeze Agents to Prevent Low-Temperature Stress in Vines" Agronomy 15, no. 1: 48. https://doi.org/10.3390/agronomy15010048
APA StyleZhang, Y., Han, M., Wu, L., Wang, H., Liang, Y., Wang, X., & Xi, Z. (2025). Screening of Efficient Antifreeze Agents to Prevent Low-Temperature Stress in Vines. Agronomy, 15(1), 48. https://doi.org/10.3390/agronomy15010048

