Agronomic and Nutritional Evaluation of INIA 910—Kumymarca Ryegrass (Lolium multiflorum Lam.): An Alternative for Sustainable Forage Production in Department of Amazonas (NW Peru)
Abstract
1. Introduction
2. Materials and Methods
2.1. Location of the Experimental Area
2.2. Biological Material
2.3. Management and Experimental Design
2.4. Agronomic Parameters
2.4.1. Plant Height
2.4.2. Stem Diameter
2.4.3. Number of Leaves
2.4.4. Leaf Length
2.4.5. Leaf Width
2.4.6. Number of Tillers
2.4.7. Fresh and Dry Matter
2.4.8. Nutritional Parameters
2.5. Data Analysis
3. Results
3.1. Agronomic Parameters of Ryegrass INIA 910—Kumymarca
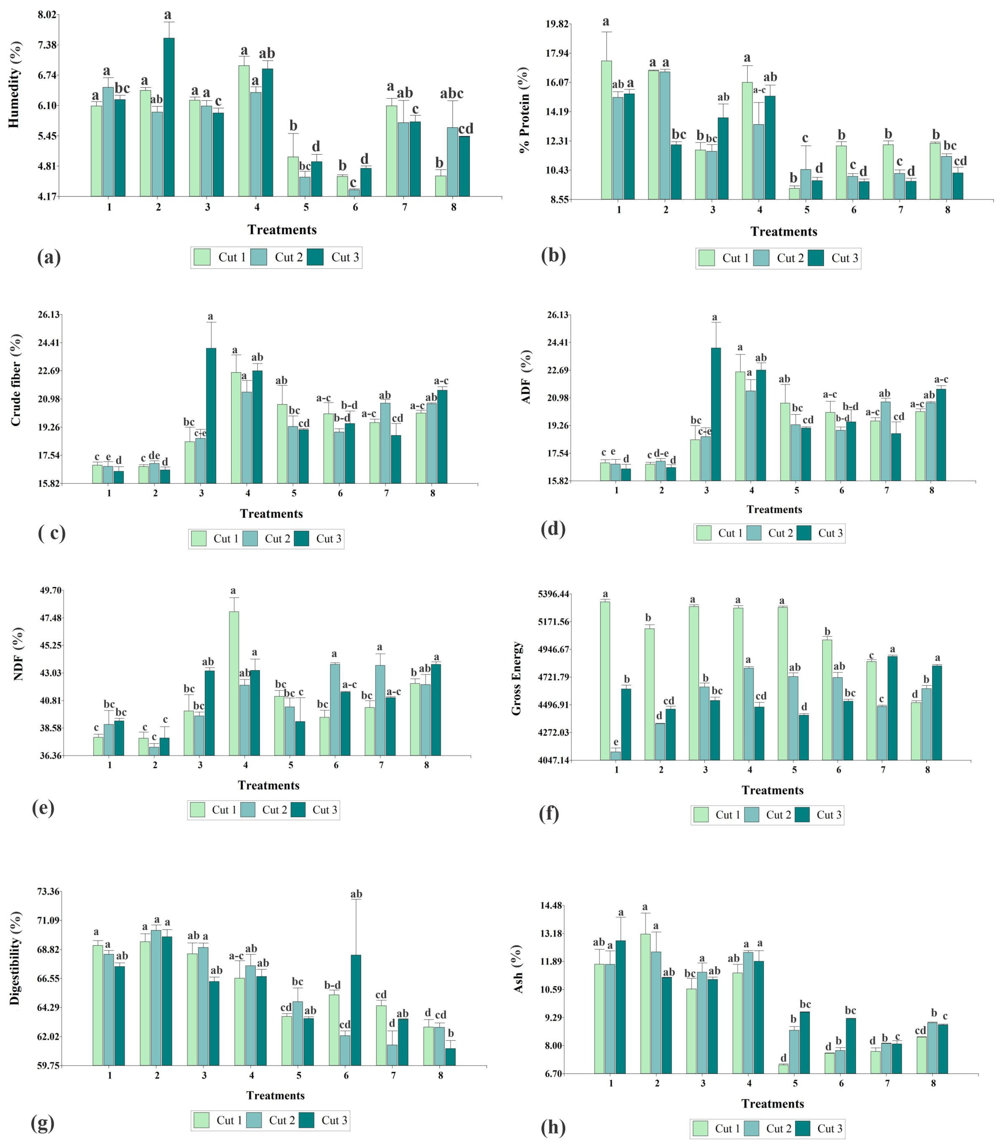
3.2. Nutritional Parameters of Ryegrass INIA 910—Kumymarca
3.3. Optimal Cutting Time
4. Discussion
5. Conclusions
Author Contributions
Funding
Data Availability Statement
Acknowledgments
Conflicts of Interest
References
- Sühs, R.B.; Giehl, E.L.H.; Peroni, N. Preventing Traditional Management Can Cause Grassland Loss within 30 Years in Southern Brazil. Sci. Rep. 2020, 10, 783. [Google Scholar] [CrossRef] [PubMed]
- Follett, R.F.; Reed, D.A. Soil Carbon Sequestration in Grazing Lands: Societal Benefits and Policy Implications. Rangel. Ecol. Manag. 2010, 63, 4–15. [Google Scholar] [CrossRef]
- Wang, L.; Huang, L.; Cao, W.; Zhai, J.; Fan, J. Assessing Grassland Cultural Ecosystem Services Supply and Demand for Promoting the Sustainable Realization of Grassland Cultural Values. Sci. Total Environ. 2024, 912, 169255. [Google Scholar] [CrossRef] [PubMed]
- Montenegro-Díaz, P.; Alvear, R.C.; Wilcox, B.P.; Carrillo-Rojas, G. Effects of Heavy Grazing on the Microclimate of a Humid Grassland Mountain Ecosystem: Insights from a Biomass Removal Experiment. Sci. Total Environ. 2022, 832, 155010. [Google Scholar] [CrossRef] [PubMed]
- Zetina-Córdoba, P.; Ortega-Cerrilla, M.E.; Ortega-Jiménez, E.; Herrera-Haro, J.G.; Sánchez-Torres-Esqueda, M.T.; Reta-Mendiola, J.L.; Vilaboa-Arroniz, J.; Munguía-Ameca, G. Effect of Cutting Interval of Taiwan Grass (Pennisetum purpureum) and Partial Substitution with Duckweed (Lemna sp. and Spirodela sp.) on Intake, Digestibility and Ruminal Fermentation of Pelibuey Lambs. Livest. Sci. 2013, 157, 471–477. [Google Scholar] [CrossRef]
- Bardgett, R.D.; Bullock, J.M.; Lavorel, S.; Manning, P.; Schaffner, U.; Ostle, N.; Chomel, M.; Durigan, G.; Fry, E.L.; Johnson, D.; et al. Combatting Global Grassland Degradation. Nat. Rev. Earth Environ. 2021, 2, 720–735. [Google Scholar] [CrossRef]
- Gang, C.; Zhou, W.; Chen, Y.; Wang, Z.; Sun, Z.; Li, J.; Qi, J.; Odeh, I. Quantitative Assessment of the Contributions of Climate Change and Human Activities on Global Grassland Degradation. Environ. Earth Sci. 2014, 72, 4273–4282. [Google Scholar] [CrossRef]
- Gibbs, H.K.; Salmon, J.M. Mapping the World’s Degraded Lands. Appl. Geogr. 2015, 57, 12–21. [Google Scholar] [CrossRef]
- Beckmann, M.; Gerstner, K.; Akin-Fajiye, M.; Ceaușu, S.; Kambach, S.; Kinlock, N.L.; Phillips, H.R.P.; Verhagen, W.; Gurevitch, J.; Klotz, S.; et al. Conventional Land-Use Intensification Reduces Species Richness and Increases Production: A Global Meta-Analysis. Glob. Change Biol. 2019, 25, 1941–1956. [Google Scholar] [CrossRef] [PubMed]
- Guo, Y.; Boughton, E.H.; Bohlman, S.; Bernacchi, C.; Bohlen, P.J.; Boughton, R.; DeLucia, E.; Fauth, J.E.; Gomez-Casanovas, N.; Jenkins, D.G.; et al. Grassland Intensification Effects Cascade to Alter Multifunctionality of Wetlands Within Metaecosystems. Nat. Commun. 2023, 14, 8267. [Google Scholar] [CrossRef] [PubMed]
- Oliva, M.; Oliva, C.; Rojas, D.; Oliva, M.; Morales, A. Botanical Identification of Native Species Most Important of Dairy Basins Molinopampa, Pomacochas and Leymebamba, Amazonas, Peru. Sci. Agropecu. 2015, 6, 125–129. [Google Scholar] [CrossRef]
- Sánchez, T.; Orskov, E.; Lamela, L.; Pedraza, R.; López, O. Valor Nutritivo de Los Componentes Forrajeros de Una Asociación de Gramíneas Mejoradas y Leucaena Leucocephala. Pastos y Forrajes. 2008, 31, 1. [Google Scholar]
- Cepeda, E. Efectos Del Cultivo Mixto de Bacterias y Levaduras Sobre Las Caracteristicas Físicas y Biomasa de Ray Grass (Lolium multiflorum) En Andisoles, Parroquia Columbe Cantón Colta; ESPOCH: Riobamba, Ecuador, 2022. [Google Scholar]
- Mamani, G.; Villantoy, A.; Parian, A. Producción de Pasturas En Los Valles Interandinos, Lima, Perú, 2011. Available online: https://repositorio.inia.gob.pe/items/5bffb2f2-32ed-4db6-baac-886e364781d5 (accessed on 20 April 2024).
- Carrasco-Chilón, W.; Cervantes-Peralta, M.; Mendoza, L.; Muñoz-Vílchez, Y.; Quilcate, C.; Nuñez-Melgar, D.C.; Vásquez, H.; Alvarez-García, W.Y. Morphological Differentiation, Yield, and Cutting Time of Lolium Multiflorum L. under Acid Soil Conditions in Highlands. Plants 2024, 13, 2331. [Google Scholar] [CrossRef] [PubMed]
- MINAM. Geobosque Bosque y Pérdida de Bosque. Lima, Perú. Available online: https://geobosques.minam.gob.pe/geobosque/view/perdida.php (accessed on 1 April 2024).
- Barboza, E.; Turpo Cayo, E.Y.; De Almeida, C.M.; López, R.S.; Rojas Briceño, N.B.; Silva López, J.O.; Gurbillón, M.Á.B.; Oliva, M.; Espinoza-Villar, R. Monitoring Wildfires in the Northeastern Peruvian Amazon Using Landsat-8 and Sentinel-2 Imagery in the GEE Platform. ISPRS Int. J. Geo-Inf. 2020, 9, 564. [Google Scholar] [CrossRef]
- MIDAGRI. Boletines Anuales Agrícolas 2022. Available online: https://siea.midagri.gob.pe/portal/publicacion/boletines-anuales/4-agricola (accessed on 11 November 2024).
- MIDAGRI. Los Pastos Naturales Altoandinos. Available online: https://www.midagri.gob.pe/portal/datero/40-sector-agrario/situacion-de-las-actividades-de-crianza-y-producci/306-pastos-naturales?start=2 (accessed on 11 November 2024).
- Gutiérrez, J.; Pérez, M.; Jiménez, F. Evaluación Agronómica de Variedades de Lolium Multiflorum En La Región Centro-Sur de Chile. Cienc. e Investig. Agrar. 2019, 46, 45–54. [Google Scholar]
- Caballero, R.; López, E. Efecto de La Fertilización Nitrogenada Sobre Los Rendimientos, Composición y Valor Nutritivo Del Ray-Grass Italiano (Lolium Multiflorum, Variedad Westerwoldicum). Pastos 2011, 10, 114–124. [Google Scholar]
- Fernández, A.; Gómez, L.; Sánchez, R. Respuesta Morfológica y Fisiológica de Lolium Multiflorum Bajo Diferentes Regímenes Hídricos. Rev. Pastos y Forrajes 2018, 43, 105–115. [Google Scholar] [CrossRef]
- AOAC. Official Methods of Analysis, 15th ed.; Association of Official Analytical Chemist: Washington, DC, USA, 1990. [Google Scholar]
- R Core Team. R: A Language and Environment for Statistical Computing; R Foundation for Statistical Computing: Vienna, Austria, 2021; Available online: https://www.r-project.org/ (accessed on 12 November 2024).
- Team, P. RStudio: Integrated Development Environment for R. Available online: https://www.r-project.org/conferences/useR-2011/abstracts/180111-allairejj.pdf (accessed on 20 November 2024).
- Schloerke, B.; Cook, D.; Larmarange, J.; Briatte, F.; Marbach, M.; Thoen, E.; Elberg, A.; Crowley, J. GGally: Extension to ’ggplot2’_. R Package Version 2.1.2. Available online: https://cran.r-project.org/web/packages/GGally/index.html (accessed on 12 November 2024).
- de Mendiburu, F. Package ‘Agricolae’: Statistical Procedures for Agricultural Research. Available online: https://cran.r-project.org/web/packages/agricolae/agricolae.pdf (accessed on 26 November 2024).
- Lozano-Isla, F. Inti: Tools and Statistical Procedures in Plant Science. R Package Version 0.6.6. 2024. Available online: https://CRAN.R-project.org/package=inti (accessed on 26 November 2024).
- Halekoh, U.; Højsgaard, S. Package “DoBy”. Available online: https://github.com/hojsgaard/doBy (accessed on 26 November 2024).
- Liaw, A.; Wiener, M. Classification and Regression by RandomForest. R News 2002, 2, 18–22. [Google Scholar]
- Cassol, L.C.; Piva, J.T.; Soares, A.B.; Assmann, A.L. Produtividade e Composição Estrutural de Aveia e Azevém Submetidos a Épocas de Corte e Adubação Nitrogenada. Rev. Ceres 2011, 58, 438–443. [Google Scholar] [CrossRef][Green Version]
- Jungers, J.M.; DeHaan, L.R.; Betts, K.J.; Sheaffer, C.C.; Wyse, D.L. Intermediate Wheatgrass Grain and Forage Yield Responses to Nitrogen Fertilization. Agron. J. 2017, 109, 462–472. [Google Scholar] [CrossRef]
- Peters, T.; Taube, F.; Kluß, C.; Reinsch, T.; Loges, R.; Fenger, F. How Does Nitrogen Application Rate Affect Plant Functional Traits and Crop Growth Rate of Perennial Ryegrass-Dominated Permanent Pastures? Agronomy 2021, 11, 2499. [Google Scholar] [CrossRef]
- Kang, M.W.; Yibeltal, M.; Kim, Y.H.; Oh, S.J.; Lee, J.C.; Kwon, E.E.; Lee, S.S. Enhancement of Soil Physical Properties and Soil Water Retention with Biochar-Based Soil Amendments. Sci. Total Environ. 2022, 836, 155746. [Google Scholar] [CrossRef] [PubMed]
- Li, R.; Zhang, S.; Li, F.; Lin, X.; Luo, M.; Wang, S.; Yang, L.; Zhao, X. Impact of Time-Lagging and Time-Preceding Environmental Variables on Top Layer Soil Moisture in Semiarid Grasslands. Sci. Total Environ. 2024, 912, 169406. [Google Scholar] [CrossRef] [PubMed]
- Węgrzyn, A.; Klimek-Kopyra, A.; Dacewicz, E.; Skowera, B.; Grygierzec, W.; Kulig, B.; Flis-Olszewska, E. Effect of Selected Meteorological Factors on the Growth Rate and Seed Yield of Winter Wheat—A Case Study. Agronomy 2022, 12, 2924. [Google Scholar] [CrossRef]
- Villalobos-González, A.; López-Castañeda, C.; Miranda-Colín, S.; Aguilar-Rincón, V.H.; López-Hernández, M.B. Relaciones Hídricas En Maíces de Valles Altos de La Mesa Central de México En Condiciones de Sequía y Fertilización Nitrogenada. Rev. Mex. Ciencias Agrícolas 2017, 7, 1651–1665. [Google Scholar] [CrossRef][Green Version]
- Glass, A.D.M. Nitrogen Use Efficiency of Crop Plants: Physiological Constraints upon Nitrogen Absorption. CRC Crit. Rev. Plant Sci. 2003, 22, 453–470. [Google Scholar] [CrossRef]
- Akdeniz, H.; Hosaflıoğlu, İ. Effects of Nitrogen Fertilization on Some Turfgrass Characteristics of Perennial Ryegrass (Lolium perenne L.). J. Agric. Sci. Technol. B 2016, 6, 226–237. [Google Scholar] [CrossRef][Green Version]
- Türk, M.; Pak, M.; Biçakçi, E. Farklı Azotlu Gübre Dozlarının Bazı Tek Yıllık Çim (Lolium multiflorum L.) Çeşitlerinin Ot Verimi ve Kalitesi Üzerine Etkileri. Ziraat Fakültesi Derg. 2019, 14, 219–2253. [Google Scholar]
- Miranda, F.; Terrones, J. Conservación de Pastos y Forrajes Cultivados En El Altiplano; INIA: Lima, Perú, 2002; Volume 1. [Google Scholar]
- Benalcazar-Carranza, B.P.; Lopez-Caiza, V.C.; Gutierrez-Leon, A.; Alvarado-Ochoa, S.; Portilla-Narvaez, R. Effect of Nitrogen Fertilization on the Growth of Five Perennial Pastures in Ecuador. Pastos y Forrajes 2021, 44, 1–9. [Google Scholar]
- Vallejos-Fernández, L.A.; Alvarez, W.Y.; Paredes-Arana, M.E.; Pinares-Patiño, C.; Bustíos-Valdivia, J.C.; Vásquez, H.; García-Ticllacuri, R. Productive Behavior and Nutritional Value of 22 Genotypes of Ryegrass (Lolium spp.) on Three High Andean Floors of Northern Peru. Sci. Agropecu. 2020, 11, 537–545. [Google Scholar] [CrossRef]
- Chuquicahua, E. Dosis de nitrógeno al segundo corte en rye grass ecotipo Cajamarca y Nueva Zelanda, Cutervo, Universidad Nacional pedro Ruiz Gallo, 2022. Available online: https://repositorio.unprg.edu.pe/handle/20.500.12893/11460 (accessed on 28 April 2024).
- Ramírez de la Ribera, J.L.; Zambrano, D.A.; Campuzano, J.; Verdecia, D.M.; Chacón, E.; Arceo, Y.; Labrada, J.; Uvidia, H. El Clima y Su Influencia En La Producción de Los Pastos. Rev. Electrónica Vet. 2017, 18, 1–12. [Google Scholar]
- Dindová, A.; Hakl, J.; Hrevušová, Z.; Nerušil, P. Relationships between Long-Term Fertilization Management and Forage Nutritive Value in Grasslands. Agric. Ecosyst. Environ. 2019, 279, 139–148. [Google Scholar] [CrossRef]
- Sierra-Alarcón, A.; Moreno-Oviedo, Y.; Mancipe-Muñoz, E.A.; Avellaneda-Avellaneda, Y.; Vargas-Martínez, J.D.J. Effect of Nitrogen and Phosphate Fertilization on Perennial Ryegrasses and Red Clovers. Agron. Mesoam. 2019, 30, 841–854. [Google Scholar] [CrossRef]
- Castro-rincón, E.; Cardona-iglesias, J.L.; Hernández-oviedo, F.; Avellaneda-avellaneda, V.Y. Evaluación de Tres Cultivares de Lolium perenne L. Con Vacas Lecheras, En El Trópico Alto de Nariño-Colombia Evaluation of Three Lolium perenne L. Cultivars with Dairy Cows, in the High Tropic of Nariño-Colombia. Pastos Forrajes 2019, 42, 152–161. [Google Scholar]
- Sigala Rodríguez, J.; González Tagle, M.A.; Prieto Ruíz, J.; Basave Villalobos, E.; Jiménez Pérez, J. Relaciones Alométricas Para Predecir Biomasa En Plantas de Pinus pseudostrobus Cultivadas En Diferentes Sistemas de Producción En Vivero. Bosque 2016, 37, 369–378. [Google Scholar] [CrossRef][Green Version]
- Gastal, F.; Lemaire, G. N Uptake and Distribution in Crops: An Agronomical and Ecophysiological Perspective. J. Exp. Bot. 2002, 53, 789–799. [Google Scholar] [CrossRef]
- Mejia, E.; Mahecha, L.; Angulo, J. Consumo de Materia Seca En Un Sistema Silvopastoril de Tithonia Diversifolia En Trópico Alto. Agron. Mesoam. 2017, 28, 389. [Google Scholar] [CrossRef]
- Granja, Y.T.; Gabriel, H.L.; Stefenson, J.C.; Maryuri, C.D.; Machado, M. Generalidades e Implicaciones de La Fibra En La Alimentacion de Bovinos; Enciclopedia Biosfera: Lima, Peru, 2011; Volume 7. [Google Scholar]
- Fernández, M. Función de la fibra en la alimentación. Available online: https://www.mapa.gob.es/ministerio/pags/Biblioteca/Revistas/pdf_MG%2FMG_2012_245_60_64.pdf. (accessed on 1 April 2024).
- Bumbieris, V.H.; Emile, J.C.; Jobim, C.C.; Rossi, R.M.; Horst, E.H.; Novak, S. Performance and Milk Quality of Cows Fed Triticale Silage or Intercropped with Oats or Legumes. Sci. Agric. 2020, 78, e20190124. [Google Scholar] [CrossRef]
- Apráez-Guerrero, J.E.; Zambrano-Burbano, G.L.; Navia-Estrada, J.F. Evaluación de La Relación Suelo-Planta En Un Sistema Productivo de Leche Del Altiplano Nariño, Colombia. Vet. Zootec. 2014, 8, 66–84. [Google Scholar] [CrossRef]
- Balarezo, L.; García, J.; Noval, E.; Benavides, H.; Mora, S.; Vargas, S. Contenido Mineral En Suelo y Pastos En Rebaños Bovinos Lecheros de La Región Andina de Ecuador. Cent. Agrícola 2017, 44, 56–64. [Google Scholar]







| Rye Grass | Nitrogen (as Urea) kg/ha | Mowing Frequency (Days) | 
|---|---|---|
| T1 | 0 | 30 | 
| T2 | 0 | 45 | 
| T3 | 60 | 30 | 
| T4 | 60 | 45 | 
| T5 | 120 | 30 | 
| T6 | 120 | 45 | 
| T7 | 180 | 30 | 
| T8 | 180 | 45 | 
| Disclaimer/Publisher’s Note: The statements, opinions and data contained in all publications are solely those of the individual author(s) and contributor(s) and not of MDPI and/or the editor(s). MDPI and/or the editor(s) disclaim responsibility for any injury to people or property resulting from any ideas, methods, instructions or products referred to in the content. | 
© 2025 by the authors. Licensee MDPI, Basel, Switzerland. This article is an open access article distributed under the terms and conditions of the Creative Commons Attribution (CC BY) license (https://creativecommons.org/licenses/by/4.0/).
Share and Cite
Vásquez, H.V.; Valqui, L.; Bobadilla, L.G.; Meseth, E.; Trigoso, M.J.; Zagaceta, L.H.; Valqui-Valqui, L.; Saravia-Navarro, D.; Barboza, E.; Maicelo, J.L. Agronomic and Nutritional Evaluation of INIA 910—Kumymarca Ryegrass (Lolium multiflorum Lam.): An Alternative for Sustainable Forage Production in Department of Amazonas (NW Peru). Agronomy 2025, 15, 100. https://doi.org/10.3390/agronomy15010100
Vásquez HV, Valqui L, Bobadilla LG, Meseth E, Trigoso MJ, Zagaceta LH, Valqui-Valqui L, Saravia-Navarro D, Barboza E, Maicelo JL. Agronomic and Nutritional Evaluation of INIA 910—Kumymarca Ryegrass (Lolium multiflorum Lam.): An Alternative for Sustainable Forage Production in Department of Amazonas (NW Peru). Agronomy. 2025; 15(1):100. https://doi.org/10.3390/agronomy15010100
Chicago/Turabian StyleVásquez, Héctor V., Leandro Valqui, Leidy G. Bobadilla, Enrique Meseth, Milton J. Trigoso, Luis H. Zagaceta, Lamberto Valqui-Valqui, David Saravia-Navarro, Elgar Barboza, and Jorge L. Maicelo. 2025. "Agronomic and Nutritional Evaluation of INIA 910—Kumymarca Ryegrass (Lolium multiflorum Lam.): An Alternative for Sustainable Forage Production in Department of Amazonas (NW Peru)" Agronomy 15, no. 1: 100. https://doi.org/10.3390/agronomy15010100
APA StyleVásquez, H. V., Valqui, L., Bobadilla, L. G., Meseth, E., Trigoso, M. J., Zagaceta, L. H., Valqui-Valqui, L., Saravia-Navarro, D., Barboza, E., & Maicelo, J. L. (2025). Agronomic and Nutritional Evaluation of INIA 910—Kumymarca Ryegrass (Lolium multiflorum Lam.): An Alternative for Sustainable Forage Production in Department of Amazonas (NW Peru). Agronomy, 15(1), 100. https://doi.org/10.3390/agronomy15010100
 
        





 
       