Biochar Increases Rice Yield in Soda Saline-Alkali Paddy Fields by Improving Saline-Alkali Stress and Phosphorus Use Efficiency
Abstract
Highlights
- Biochar and phosphate fertilizers combined to alleviate soda saline-alkali barriers.
- Addition of biochar decreased the rice Na+ concentration and Na+/K+ ratio in a soda saline-alkali paddy.
- Biochar enhances the efficiency of phosphate fertilizer utilization under soda saline-alkali stress.
Abstract
1. Introduction
2. Materials and Methods
2.1. Study Site and Experimental Soil Properties
2.2. Experimental Design and Field Management
2.3. Preparation of Biochar
2.4. Sampling and Measurements
2.4.1. Measurement of Ionic Concentration in Plant Organs
2.4.2. Measurement of Leaf Proline (Pro), Soluble Protein (SP), and Soluble Sugar (SS) Concentration
2.4.3. Measurement of Leaf Malondialdehyde (MDA), Superoxide Anion (O2−), and Hydrogen Peroxide (H2O2) Concentration
2.4.4. Measurement of Leaf Superoxide Dismutase (SOD), Peroxidase (POD), Catalase (CAT), Ascorbate Peroxidase (APX), and Acid Phosphatase (ACP) Concentration
2.4.5. Measurement of Phosphorus Concentration in Plants
2.4.6. Measurement of Rice Biomass Yield (BY), Grain Yield (GY), and Harvest Index (HI)
2.5. Data Analysis
3. Results
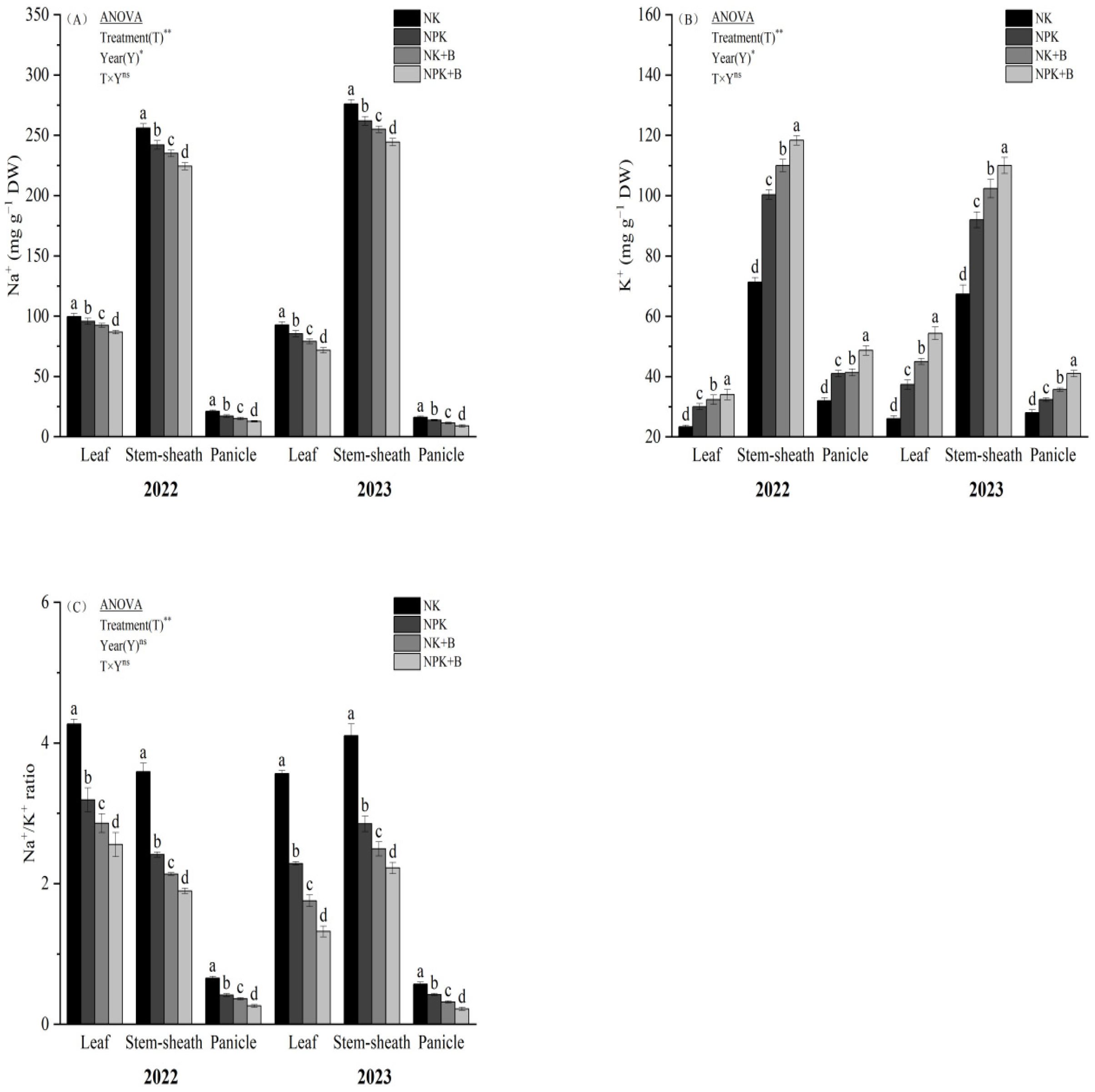
3.1. Concentrations of Sodium, Potassium Ions, and Sodium-Potassium Ratios in Leaves, Stem-Sheath, and Panicles
3.2. Leaf Pro, SP, and SS Concentration
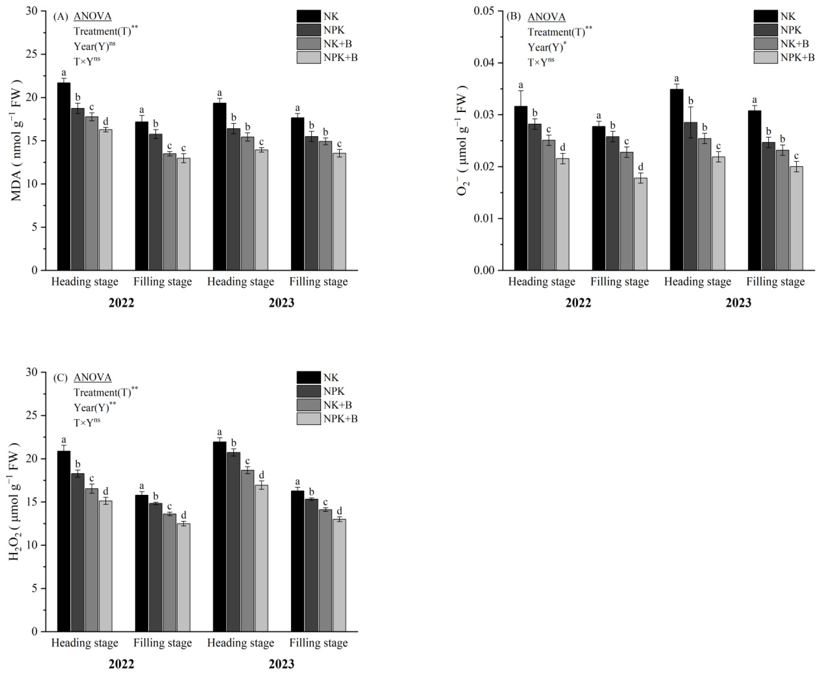
3.3. Leaf MDA, O2−, and H2O2 Concentration
3.4. Leaf SOD, POD, CAT, and APX Concentration
3.5. Leaf ACP Concentration
3.6. Plant Phosphorus Accumulation and Transport
3.7. Phosphorus Use Efficiency
3.8. Rice Biomass Yield, Grain Yield, and Harvest Index
3.9. Correlation and Principal Component Analysis of Sodium and Potassium Ions, Physiological Indexes, Phosphorus Use Efficiency, and Yield
4. Discussion
4.1. Effects of the Combined Application of Biochar and Phosphate Fertilizer on Ionic Accumulation in Rice Organs in Soda Saline-Alkali Land
4.2. Effect of Combined Application of Biochar and Phosphate Fertilizer on Physiological Indexes of Rice in Soda Saline-Alkali Land
4.3. Relationship between Biochar and Phosphate Fertilizer and Phosphorus Accumulation and Utilization Efficiency of Rice in Soda Saline-Alkali Land
4.4. Relationship between Biochar and Phosphate Fertilizer and Rice Yield in Soda Saline-Alkali Land
5. Conclusions
Author Contributions
Funding
Institutional Review Board Statement
Informed Consent Statement
Data Availability Statement
Conflicts of Interest
References
- Gong, H.Y.; Li, Y.F.; Li, S.J. Effects of the interaction between biochar and nutrients on soil organic carbon sequestration in soda saline-alkali grassland: A review. Glob. Ecol. Conserv. 2021, 26, e01449. [Google Scholar] [CrossRef]
- Yang, Y.Q.; Guo, Y. Elucidating the molecular mechanisms mediating plant salt-stress responses. New Phytol. 2018, 217, 523–539. [Google Scholar] [CrossRef] [PubMed]
- Kamran, M.; Xie, K.; Sun, J.; Wang, D.; Shi, C.H.; Lu, Y.S.; Gu, W.J.; Xu, P.Z. Modulation of growth performance and coordinated induction of ascorbate-glutathione and methylglyoxal detoxification systems by salicylic acid mitigates salt toxicity in choysum (Brassica parachinensis L.). Ecotoxicol. Environ. Saf. 2020, 188, 109877. [Google Scholar] [CrossRef] [PubMed]
- Ling, F.L.; Su, Q.W.; Jiang, H.; Cui, J.J.; He, X.L.; Wu, Z.H.; Zhang, Z.A.; Liu, J.; Zhao, Y.J. Effects of strigolactone on photosynthetic and physiological characteristics in salt-stressed rice seedlings. Sci. Rep. 2020, 10, 6183. [Google Scholar] [CrossRef]
- Wong, V.N.L.; Greene, R.S.B.; Dalal, R.C.; Murphy, B.W. Soil carbon dynamics in saline and sodic soils: A review. Soil Use Manag. 2010, 26, 2–11. [Google Scholar] [CrossRef]
- Santos, W.M.; Gonzaga, M.I.S.; Silva, J.A.; Almeida, A.Q.; Santos, J.C.J.; Gonzaga, T.A.S.; Lima, I.S.; Araújo, E.M. Effectiveness of different biochars in remediating a salt affected Luvisol in Northeast Brazil. Biochar 2021, 3, 149–159. [Google Scholar] [CrossRef]
- Choudhury, F.K.; Rivero, R.M.; Blumwald, E.; Mittler, R. Reactive oxygen species, abiotic stress and stress combination. Plant J. 2016, 90, 856–867. [Google Scholar] [CrossRef]
- Munns, R.; Tester, M. Mechanisms of Salinity Tolerance. Annu. Rev. Plant Biol. 2008, 59, 651–681. [Google Scholar] [CrossRef]
- Guan, B.; Zhou, D.; Zhang, H.; Tian, Y.; Japhet, W.; Wang, P. Germination responses of Medicago ruthenica seeds to salinity, alkalinity, and temperature. J. Arid. Environ. 2009, 73, 135–138. [Google Scholar] [CrossRef]
- Camenzind, T.; Hättenschwiler, S.; Treseder, K.K.; Lehmann, A.; Rillig, M.C. Nutrient limitation of soil microbial processes in tropical forests. Ecol. Monogr. 2018, 88, 4–21. [Google Scholar] [CrossRef]
- Papadopoulos, I.; Rendig, V.V. Interactive effects of salinity and nitrogen on growth and yield of tomato plants. Plant Soil 1983, 73, 47–57. [Google Scholar] [CrossRef]
- Long, R.C.; Sun, H.; Cao, C.Y.; Zhang, T.J.; Kang, J.M.; Wang, Z.; Li, M.N.; Gao, Y.L.; Li, X.; Yang, Q.C. Identification of alkali-responsive proteins from early seedling stage of two contrasting Medicago species by iTRAQ-based quantitative proteomic analysis. Environ. Exp. Bot. 2019, 157, 26–34. [Google Scholar] [CrossRef]
- Wang, J.L.; Shuman, L.M. Transformation of phosphate in rice (Oryza sativa L.) rhizosphere and its influence on phosphorus-nutrition of rice. J. Plant Nutr. 1994, 17, 1803–1815. [Google Scholar] [CrossRef]
- Ullah, S.; Dahlawi, S.; Naeem, A.; Rengel, Z.; Naidu, R. Biochar application for the remediation of salt-affected soils: Challenges and opportunities. Sci. Total Environ. 2017, 625, 320. [Google Scholar] [CrossRef]
- Wan, W.J.; Qin, Y.; Wu, H.Q.; Zuo, W.L.; He, H.M.; Tan, J.D.; Wang, Y.; He, D.L. Isolation and characterization of phosphorus solubilizing bacteria with multiple phosphorus sources utilizing capability and their potential for lead immobilization in soil. Front. Microbiol. 2020, 11, 752. [Google Scholar] [CrossRef]
- Gao, M.H.; Li, N.; Peng, J.; Chen, K.; Gao, T.Y.; Han, X.R. Effects of straw and biochar returning on soil aggregates distribution and organic carbon content in brown soil. J. Plant Nutr. Fertil. 2020, 26, 1978–1986. [Google Scholar] [CrossRef]
- Nublat, A.; Desplans, J.; Casse, F.; Berthomieu, P. sas1, an Arabidopsis mutant overaccumulating sodium in the shoot, shows deficiency in the control of the root radial transport of sodium. Plant Cell 2001, 13, 125–137. [Google Scholar] [CrossRef]
- Fageria, N.K.; Gheyi, H.R.; Moreira, A. Nutrient bioavailability in salt affected soils. J. Plant Nutr. 2011, 34, 945–962. [Google Scholar] [CrossRef]
- Tian, Z.J.; Li, J.P.; Jia, X.Y.; Yang, F.; Wang, Z.C. Assimilation and Translocation of Dry Matter and Phosphorus in Rice Genotypes Affected by Salt-Alkaline Stress. Sustainability 2016, 8, 568. [Google Scholar] [CrossRef]
- Liu, X.Y.; Yang, J.S.; Tao, J.Y.; Yao, R.J. Integrated application of inorganic fertilizer with fulvic acid for improving soil nutrient supply and nutrient use efficiency of winter wheat in a salt-affected soil. Appl. Soil Ecol. 2022, 170, 104255. [Google Scholar] [CrossRef]
- Li, H.B.; Dong, X.L.; Da Silva, E.B.; De Oliveira, L.M.; Chen, Y.S.; Ma, L.Q. Mechanisms of metal sorption by biochars: Biochar characteristics and modifications. Chemosphere 2017, 178, 466–478. [Google Scholar] [CrossRef] [PubMed]
- Yan, T.T.; Xue, J.H.; Zhou, Z.D.; Wu, Y.B. The Trends in research on the effects of biochar on soil. Sustainability 2020, 12, 7810. [Google Scholar] [CrossRef]
- Duan, M.; Liu, G.H.; Zhou, B.B.; Chen, X.P.; Wang, Q.J.; Zhu, H.Y.; Li, Z.J. Effects of modified biochar on water and salt distribution and water-stable macro-aggregates in saline alkaline soil. J. Soils Sediments 2021, 21, 2192–2202. [Google Scholar] [CrossRef]
- Strelko, V.J.; Malik, D.J.; Streat, M. Characterisation of the surface of oxidised carbon adsorbents. Carbon 2002, 40, 95–104. [Google Scholar] [CrossRef]
- Chintala, R.; Schumacher, T.E.; Mcdonald, L.M.; Clay, D.E.; Malo, D.D.; Papiernik, S.K.; Clay, S.A.; Julson, J.L. Phosphorus sorption and availability from biochars and soil/biochar mixtures. CLEAN Soil Air Water 2014, 42, 626–634. [Google Scholar] [CrossRef]
- Lashari, M.S.; Liu, Y.M.; Li, L.Q.; Pan, W.N.; Fu, J.Y.; Pan, G.X.; Zheng, J.F.; Zheng, J.W.; Zhang, X.H.; Yu, X.Y. Effects of amendment of biochar-manure compost in conjunction with pyroligneous solution on soil quality and wheat yield of a salt-stressed cropland from Central China Great Plain. Field Crops Res. 2013, 144, 113–118. [Google Scholar] [CrossRef]
- Tang, J.W.; Zhang, S.D.; Zhang, X.T.; Chen, J.H.; He, X.Y.; Zhang, Q.Z. Effects of pyrolysis temperature on soil-plant-microbe responses to Solidago canadensis L.-derived biochar in coastal saline-alkali soil. Sci. Total Environ. 2020, 731, 138938. [Google Scholar] [CrossRef]
- Liu, L.; Zhang, S.R.; Chen, M.M.; Fei, C.; Zhang, W.J.; Li, Y.Y.; Ding, X.D. Fe-modified biochar combined with mineral fertilization promotes soil organic phosphorus mineralization by shifting the diversity of phoD-harboring bacteria within soil aggregates in saline-alkaline paddy soil. J. Soils Sediments 2022, 23, 619–633. [Google Scholar] [CrossRef]
- Chaganti, V.N.; Crohn, D.M. Evaluating the relative contribution of physiochemical and biological factors in ameliorating a saline–sodic soil amended with composts and biochar and leached with reclaimed water. Geoderma 2015, 259–260, 45–55. [Google Scholar] [CrossRef]
- Li, X.; Yao, T.X.; Huang, X.X.; Li, X.B.; Li, P.Y.; Du, S.; Wang, W.; Miao, S.H.; Wang, D.; Jin, F.; et al. Biochar increases rice yield by improving root morphological and root physiological functions in heavily saline-sodic paddy soil of northeast China. BioResources 2022, 17, 1421–1456. [Google Scholar] [CrossRef]
- Farhangi-Abriz, S.; Torabian, S. Antioxidant enzyme and osmotic adjustment changes in bean seedlings as affected by biochar under salt stress. Ecotoxicol. Environ. Saf. 2017, 137, 64–70. [Google Scholar] [CrossRef] [PubMed]
- Yao, T.X.; Zhang, W.T.; Gulaqa, A.; Cui, Y.F.; Zhou, Y.M.; Weng, W.A.; Wang, X.; Jin, F. Effects of peanut shell biochar on soil nutrients, soil enzyme activity, and rice yield in heavily saline-sodic paddy field. J. Soil Sci. Plant Nutr. 2021, 21, 655–664. [Google Scholar] [CrossRef]
- Li, X.B.; Che, W.K.; Piao, J.L.; Li, X.; Jin, F.; Yao, T.X.; Li, P.Y.; Wang, W.; Tan, T.; Shao, X.W. Peanut Shell Biochar’s Effect on Soil Physicochemical Properties and Salt Concentration in Highly Saline-Sodic Paddy Fields in Northeast China. BioResources 2022, 17, 5936–5957. [Google Scholar] [CrossRef]
- Jin, F.; Piao, J.L.; Miao, S.H.; Che, W.K.; Li, X.; Li, X.B.; Shiraiwa, T.; Tanaka, T.; Taniyoshi, K.; Hua, S.; et al. Long-term effects of biochar one-off application on soil physicochemical properties, salt concentration, nutrient availability, enzyme activity, and rice yield of highly saline-alkali paddy soils: Based on a 6-year field experiment. Biochar 2024, 6, 40. [Google Scholar] [CrossRef]
- Piao, J.L.; Che, W.K.; Li, X.; Li, X.B.; Zhang, C.B.; Wang, Q.S.; Jin, F.; Hua, S. Application of peanut shell biochar increases rice yield in saline-alkali paddy fields by regulating leaf ion concentrations and photosynthesis rate. Plant Soil 2022, 483, 589–606. [Google Scholar] [CrossRef]
- Ran, C.; Gulaqa, A.; Zhu, J.; Wang, X.W.; Zhang, S.Q.; Geng, Y.Q.; Guo, L.Y.; Jin, F.; Shao, X.W. Benefits of biochar for improving ion contents, cell membrane permeability, leaf water status and yield of rice under saline–sodic paddy field condition. J. Plant Growth Regul. 2022, 39, 370–377. [Google Scholar] [CrossRef]
- Bastías, E.I.; González-Moro, M.B.; González-Murua, C. Zea mays L. amylacea from the Lluta Valley (Arica-Chile) tolerates salinity stress when high levels of boron are available. Plant Soil 2004, 267, 73–84. [Google Scholar] [CrossRef]
- Bates, L.S.; Waldren, R.P.; Teare, I.D. Rapid Determination of Free Proline for Water-Stress Studies. Plant Soil. 1973, 39, 205–207. [Google Scholar] [CrossRef]
- Bradford, M.M. Rapid and sensitive method for quantitation of microgram quantities of protein utilizing principle of protein-dye binding. Anal. Biochem. 1976, 72, 248–254. [Google Scholar] [CrossRef]
- Du, Y.L.; Zhao, Q.; Chen, L.R.; Yao, X.D.; Xie, F.T. Effect of Drought Stress at Reproductive Stages on Growth and Nitrogen Metabolism in Soybean. Agronomy 2020, 10, 302. [Google Scholar] [CrossRef]
- Stewart, R.R.C.; Bewley, J.D. Lipid Peroxidation Associated with Accelerated Aging of Soybean Axes1. Plant Physiol. 1980, 65, 245–248. [Google Scholar] [CrossRef]
- Wang, S.Y.; Jiao, H. Scavenging capacity of berry crops on superoxide radicals, hydrogen peroxide, hydroxyl radicals, and singlet oxygen. J. Agric. Food Chem. 2000, 48, 5677–5684. [Google Scholar] [CrossRef] [PubMed]
- Velikova, V.; Yordanov, I.; Edreva, A. Oxidative stress and some antioxidant systems in acid rain-treated bean plants. Plant Sci. 2000, 151, 59–66. [Google Scholar] [CrossRef]
- Omran, R.G. Peroxide Levels and the Activities of Catalase, Peroxidase, and Indoleacetic Acid Oxidase during and after Chilling Cucumber Seedlings. Plant Physiol. 1980, 65, 407–408. [Google Scholar] [CrossRef] [PubMed]
- Nakano, Y.; Asada, K. Hydrogen peroxide is scavenged by ascorbate-specific peroxidase in spinach chloroplasts. Plant Cell Physiol. 1981, 22, 867–880. [Google Scholar] [CrossRef]
- Qadir, M.; Ghafoor, A.; Murtaza, G. Use of saline–sodic waters through phytoremediation of calcareous saline–sodic soils. Agric. Water Manag. 2001, 50, 197–210. [Google Scholar] [CrossRef]
- Wang, Y.; Lin, Q.M.; Liu, Z.Z.; Liu, K.S.; Wang, X.; Shang, J.Y. Salt-affected marginal lands: A solution for biochar production. Biochar 2023, 5, 21. [Google Scholar] [CrossRef]
- Torabian, S.; Farhangi-Abriz, S.; Rathjen, J. Biochar and lignite affect H+-ATPase and H+-PPase activities in root tonoplast and nutrient contents of mung bean under salt stress. Plant Physiol. Biochem. 2018, 129, 141–149. [Google Scholar] [CrossRef]
- Song, X.L.; Li, H.B.; Song, J.X.; Chen, W.F.; Shi, L.H. Biochar/vermicompost promotes Hybrid Pennisetum plant growth and soil enzyme activity in saline soils. Plant Physiol. Biochem. 2022, 183, 96–110. [Google Scholar] [CrossRef]
- Zheng, H.; Wang, X.; Chen, L.; Wang, Z.Y.; Xia, Y.; Zhang, Y.P.; Wang, H.F.; Luo, X.X.; Xing, B.S. Enhanced growth of halophyte plants in biochar-amended coastal soil: Roles of nutrient availability and rhizosphere microbial modulation. Plant Cell Environ. 2018, 41, 517–532. [Google Scholar] [CrossRef]
- Talbi, Z.O.; Slama, I.; Trabelsi, N.; Hamdi, A.; Smaoui, A.; Abdelly, C. Combined effects of salinity and phosphorus availability on growth, gas exchange, and nutrient status of Catapodium rigidum. Arid. Land Res. Manag. 2018, 32, 277–290. [Google Scholar] [CrossRef]
- Hasanuzzaman, M.; Bhuyan, M.H.M.B.; Anee, T.I.; Parvin, K.; Nahar, K.; Mahmud, J.A.; Fujita, M. Regulation of Ascorbate-Glutathione Pathway in Mitigating Oxidative Damage in Plants under Abiotic Stress. Antioxidants 2019, 8, 384. [Google Scholar] [CrossRef] [PubMed]
- Maurya, A.K. Oxidative Stress in Crop Plants. Agron. Crops 2020, 3, 349–380. [Google Scholar] [CrossRef]
- Nadarajah, K.K. ROS Homeostasis in Abiotic Stress Tolerance in Plants. Int. J. Mol. Sci. 2020, 21, 5208. [Google Scholar] [CrossRef]
- Zhao, M.; Liu, Q.; Zhang, Y.; Yang, N.; Wu, G.F.; Wang, W. Alleviation of osmotic stress by H2S is related to regulated PLDα1 and suppressed ROS in Arabidopsis thaliana. J. Plant Res. 2020, 133, 393–407. [Google Scholar] [CrossRef]
- Tran, H.T.; Hurley, B.A.; Plaxton, W.C. Feeding hungry plants: The role of purple acid phosphatases in phosphate nutrition. Plant Sci. 2010, 179, 14–27. [Google Scholar] [CrossRef]
- He, K.; He, G.; Wang, C.P.; Zhang, H.P.; Xu, Y.; Wang, S.M.; Kong, Y.Z.; Zhou, G.K.; Hu, R.B. Biochar amendment ameliorates soil properties and promotes Miscanthus growth in a coastal saline alkali soil. Appl. Soil Ecol. 2020, 155, 103674. [Google Scholar] [CrossRef]
- Huang, M.Y.; Zhang, Z.Y.; Zhu, C.L.; Zhai, Y.M.; Lu, P.R. Effect of biochar on sweet corn and soil salinity under conjunctive irrigation with brackish water in coastal saline soil. Sci. Hortic. 2019, 250, 405–413. [Google Scholar] [CrossRef]
- Zhang, M.; Liu, Y.; Wei, Q.; Liu, L.; Gu, X.; Gou, J. Biochar-Based Fertilizer Enhances the Production Capacity and Economic Benefit of Open-Field Eggplant in the Karst Region of Southwest China. Agriculture 2022, 12, 1388. [Google Scholar] [CrossRef]
- Obadi, A.; Alharbi, A.; Alomran, A.; Alghamdi, A.G.; Louki, I.; Alkhasha, A. Effect of Biochar Application on Morpho-Physiological Traits, Yield, and Water Use Efficiency of Tomato Crop under Water Quality and Drought Stress. Plants 2023, 12, 2355. [Google Scholar] [CrossRef]
- Mehmood, S.; Ahmed, W.; Ikram, M.; Imtiaz, M.; Mahmood, S.; Tu, S.; Chen, D. Chitosan Modified Biochar Increases Soybean (Glycine max L.) Resistance to Salt-Stress by Augmenting Root Morphology, Antioxidant Defense Mechanisms and the Expression of Stress-Responsive Genes. Plants 2020, 9, 1173. [Google Scholar] [CrossRef] [PubMed]
- Cuevas, J.; Daliakopoulos, I.N.; del Moral, F.; Hueso, J.J.; Tsanis, I.K. A Review of Soil-Improving Cropping Systems for Soil Salinization. Agronomy 2019, 9, 295. [Google Scholar] [CrossRef]
- Su, R.; Zhang, Z.K.; Chang, C.; Peng, Q.; Cheng, X.; Pang, J.Y.; He, H.H.; Lambers, H. Interactive effects of phosphorus fertilization and salinity on plant growth, phosphorus and sodium status, and tartrate exudation by roots of two alfalfa cultivars. Ann. Bot. 2022, 129, 53–64. [Google Scholar] [CrossRef] [PubMed]
- Li, Y.F.; Li, G.H. Mechanisms of straw biochar’s improvement of phosphorus bioavailability in soda saline-alkali soil. Environ. Sci. Pollut. Res. 2022, 29, 47867–47872. [Google Scholar] [CrossRef]
- Zhang, P.; Bing, X.; Jiao, L.; Xiao, H.; Li, B.X.; Sun, H.W. Amelioration effects of coastal saline-alkali soil by ball-milled red phosphorus-loaded biochar. Chem. Eng. J. 2022, 431, 133904. [Google Scholar] [CrossRef]
- Yang, L.; Wu, Y.C.; Wang, Y.C.; An, W.Q.; Jin, J.; Sun, K.; Wang, X.K. Effects of biochar addition on the abundance, speciation, availability, and leaching loss of soil phosphorus. Sci. Total Environ. 2020, 758, 143657. [Google Scholar] [CrossRef]
- Elgharably, A. Wheat response to combined application of nitrogen and phosphorus in a saline sandy loam soil. Soil Sci. Plant Nutr. 2011, 57, 396–402. [Google Scholar] [CrossRef]
- Abbasi, G.H.; Akhtar, J.; Ahmad, R.; Jamil, M.; Anwar-ul-Haq, M.; Ali, S.; Ijaz, M. Potassium application mitigates salt stress differentially at different growth stages in tolerant and sensitive maize hybrids. Plant Growth Regul. 2015, 76, 111–125. [Google Scholar] [CrossRef]
- Thomas, S.C.; Frye, S.; Gale, N.; Garmon, M.; Launchbury, R.; Machado, N.; Melamed, S.; Murray, J.; Petroff, A.; Winsborough, C. Biochar mitigates negative effects of salt additions on two herbaceous plant species. J. Environ. Manag. 2013, 129, 62–68. [Google Scholar] [CrossRef]
- Usman, K. Effect of phosphorus and irrigation levels on yield, water productivity, phosphorus use efficiency and income of lowland rice in northwest Pakistan. Rice Sci. 2013, 20, 61–72. [Google Scholar] [CrossRef]
- Xu, G.; Zhang, Y.; Sun, J.N.; Shao, H.B. Negative interactive effects between biochar and phosphorus fertilization on phosphorus availability and plant yield in saline sodic soil. Sci. Total Environ. 2016, 568, 910–915. [Google Scholar] [CrossRef] [PubMed]
- Huang, M.; Zhang, Z.; Zhai, Y.; Lu, P.; Zhu, C. Effect of Straw Biochar on Soil Properties and Wheat Production under Saline Water Irrigation. Agronomy 2019, 9, 457. [Google Scholar] [CrossRef]
- Mahmoud, E.; Ibrahim, M.; Abd El-Rahman, L.; Khader, A. Effects of Biochar and Phosphorus Fertilizers on Phosphorus Fractions, Wheat Yield and Microbial Biomass Carbon in Vertic Torrifluvents. Commun. Soil Sci. Plant Anal. 2018, 50, 362–372. [Google Scholar] [CrossRef]
- Cao, N.; Zhi, M.L.; Zhao, W.Q.; Pang, J.Y.; Hu, W.; Zhou, Z.G.; Meng, Y.L. Straw retention combined with phosphorus fertilizer promotes soil phosphorus availability by enhancing soil P-related enzymes and the abundance of phoC and phoD genes. Soil Tillage Res. 2022, 220, 106390. [Google Scholar] [CrossRef]
- Shi, W.; Ju, Y.Y.; Bian, R.J.; Li, L.Q.; Joseph, S.; Mitchell, R.G.D.; Munroe, P.; Taherymoosavi, S.; Pan, G.X. Biochar bound urea boosts plant growth and reduces nitrogen leaching. Sci. Total Environ. 2020, 701, 134424. [Google Scholar] [CrossRef]







| Soil Properties (0 to 20 cm Soil Layers) | Value |
|---|---|
| Sand content (%) | 23.13 ± 1.11 |
| Silt content (%) | 38.14 ± 1.31 |
| Clay content (%) | 37.60 ± 2.09 |
| Bulk density (g cm−3) | 1.61 ± 0.02 |
| ECe (μs m−1) | 24.08 ± 0.71 |
| pH | 10.10 ± 0.24 |
| SARe (mmolc L−1)1/2 | 368.11 ± 14.03 |
| CEC (cmolkg−1) | 10.99 ± 0.34 |
| ESP (%) | 71.11 ± 2.17 |
| Organic matter (g kg−1) | 0.64 ± 0.04 |
| Total N (g kg−1) | 0.27 ± 0.11 |
| Alkali-hydrolyzable N (mg kg−1) | 16.30 ± 1.11 |
| Available P (mg kg−1) | 9.13 ± 0.68 |
| Available K (mg kg−1) | 107.25 ± 5.68 |
| pH and Elemental Component | Peanut Shell | |
|---|---|---|
| Raw Material | Biochar | |
| pH | 5.56 ± 0.11 | 7.94 ± 0.32 |
| CEC (cmol kg−1) | - | 78.69 ± 11.32 |
| EC (dS m−1) | - | 7.88 ± 0.59 |
| C (mg g−1) | 429.19 ± 13.05 | 540.64 ± 26.58 |
| N (mg g−1) | 10.85 ± 0.61 | 15.93 ± 1.01 |
| S (mg g−1) | 2.58 ± 0.05 | 6.85 ± 0.34 |
| P (mg g−1) | 0.29 ± 0.00 | 0.74 ± 0.03 |
| Mg (mg g−1) | 1.46 ± 0.01 | 0.25 ± 0.00 |
| K (mg g−1) | 5.51 ± 0.21 | 12.53 ± 0.51 |
| Ca (mg g−1) | 6.32 ± 0.43 | 2.01 ± 0.02 |
| Na (mg g−1) | 1.79 ± 0.39 | 1.17 ± 0.21 |
| Year | Treatment | Tillering Stage (kg ha−1) | Jointing Stage (kg ha−1) | Heading Stage (kg ha−1) | Filling Stage (kg ha−1) | Maturity Stage (kg ha−1) |
|---|---|---|---|---|---|---|
| 2022 | NK | 4.53 ± 0.07 d | 10.92 ± 0.50 d | 13.74 ± 0.12 c | 23.78 ± 0.35 d | 31.22 ± 0.47 d |
| NPK | 6.13 ± 0.06 b | 15.36 ± 0.27 b | 17.32 ± 0.12 b | 28.79 ± 0.54 c | 35.53 ± 0.48 b | |
| NK + B | 5.70 ± 0.04 c | 14.38 ± 0.31 c | 17.14 ± 0.23 b | 29.74 ± 0.64 b | 34.81 ± 0.26 c | |
| NPK + B | 7.41 ± 0.06 a | 15.81 ± 0.54 a | 19.43 ± 0.21 a | 33.07 ± 0.36 a | 37.94 ± 0.19 a | |
| 2023 | NK | 3.37 ± 0.05 d | 12.75 ± 0.51 c | 14.76 ± 0.11 c | 23.59 ± 0.36 d | 32.66 ± 0.47 d |
| NPK | 4.77 ± 0.06 b | 15.23 ± 0.71 b | 18.42 ± 0.12 b | 28.54 ± 0.54 c | 37.10 ± 0.48 b | |
| NK + B | 4.39 ± 0.04 c | 14.79 ± 0.34 b | 18.21 ± 0.22 b | 29.47 ± 0.62 b | 36.37 ± 0.27 c | |
| NPK + B | 5.84 ± 0.06 a | 16.63 ± 0.23 a | 20.57 ± 0.20 a | 32.76 ± 0.35 a | 39.60 ± 0.20 a | |
| Source of variation | ||||||
| Treatment (T) | * | * | ** | ** | ** | |
| Year (Y) | * | * | * | ** | ** | |
| T × Y | ns | ns | ns | ns | ns | |
| Year | Treatment | P Transportation Amount in Stem-Sheath (kg ha−1) | P Transportation of Stem-Sheath Efficiency (%) | P Transportation Amount in Leaf (kg ha−1) | P Transportation of Leaf Efficiency (%) | P Increment Amount in Panicle (kg ha−1) |
|---|---|---|---|---|---|---|
| 2022 | NK | 1.64 ± 0.06 c | 25.67 ± 1.04 c | 1.30 ± 0.05 c | 55.38 ± 1.14 c | 20.42 ± 0.63 c |
| NPK | 2.72 ± 0.03 b | 34.02 ± 0.31 b | 2.07 ± 0.03 b | 63.42 ± 0.89 b | 23.00 ± 0.55 b | |
| NK + B | 2.79 ± 0.07 b | 35.05 ± 0.43 b | 2.14 ± 0.01 b | 63.16 ± 0.64 b | 22.60 ± 0.33 b | |
| NPK + B | 3.32 ± 0.08 a | 37.45 ± 0.60 a | 2.78 ± 0.06 a | 68.59 ± 0.99 a | 24.61 ± 0.26 a | |
| 2023 | NK | 1.85 ± 0.06 c | 26.11 ± 0.92 c | 1.37 ± 0.05 c | 55.09 ± 1.02 c | 21.13 ± 0.63 c |
| NPK | 2.94 ± 0.03 b | 33.75 ± 0.25 b | 2.15 ± 0.03 b | 62.93 ± 0.86 b | 23.77 ± 0.55 b | |
| NK + B | 3.00 ± 0.07 b | 34.65 ± 0.41 b | 2.22 ± 0.01 b | 62.83 ± 0.54 b | 23.38 ± 0.33 b | |
| NPK + B | 3.55 ± 0.07 a | 36.90 ± 0.54 a | 2.85 ± 0.06 a | 67.93 ± 0.93 a | 25.43 ± 0.26 a | |
| Source of variation | ||||||
| Treatment (T) | ** | ** | ** | ** | * | |
| Year (Y) | ** | ** | ** | ** | * | |
| T × Y | ns | ns | ns | ns | ns | |
| Year | Treatment | Phosphorus Harvest Index (%) | Phosphorus Fertilizer Use Efficiency (%) | Phosphorus Absorption Efficiency (%) | PFP (kg kg) | PAE (kg kg) |
|---|---|---|---|---|---|---|
| 2022 | NK | 80.55 ± 0.58 b | ||||
| NPK | 81.03 ± 0.19 ab | 6.33 ± 1.31 b | 52.99 ± 0.69 b | 102.44 ± 1.55 b | 14.58 ± 0.95 b | |
| NK + B | 80.82 ± 0.33 ab | |||||
| NPK + B | 81.27 ± 0.14 a | 9.91 ± 0.93 a | 56.57 ± 0.29 a | 120.60 ± 3.07 a | 32.74 ± 2.18 a | |
| 2023 | NK | 81.41 ± 0.61 a | ||||
| NPK | 81.76 ± 0.19 a | 6.16 ± 1.30 b | 50.76 ± 0.69 b | 116.57 ± 1.66 b | 15.81 ± 0.96 b | |
| NK + B | 81.56 ± 0.34 a | |||||
| NPK + B | 82.02 ± 0.15 a | 9.59 ± 0.90 a | 54.19 ± 0.27 a | 136.09 ± 3.28 a | 35.32 ± 2.39 a | |
| Source of variation | ||||||
| Treatment (T) | ns | * | * | * | ns | |
| Year (Y) | ns | ns | ns | ns | ns | |
| T × Y | ns | ns | ns | ns | ns | |
| Year | Treatment | Biomass Yield (t ha−1) | Grain Yield (t ha−1) | Harvested Index |
|---|---|---|---|---|
| 2022 | NK | 13.16 ± 0.07 c | 4.39 ± 0.09 c | 0.33 ± 0.01 c |
| NPK | 13.92 ± 0.04 b | 5.27 ± 0.08 b | 0.37 ± 0.00 b | |
| NK + B | 13.92 ± 0.07 b | 5.40 ± 0.08 b | 0.38 ± 0.01 b | |
| NPK + B | 14.67 ± 0.11 a | 6.23 ± 0.10 a | 0.41 ± 0.01 a | |
| 2023 | NK | 13.13 ± 0.07 c | 4.70 ± 0.09 c | 0.36 ± 0.01 c |
| NPK | 14.09 ± 0.04 b | 5.62 ± 0.09 b | 0.40 ± 0.01 b | |
| NK + B | 14.02 ± 0.06 b | 5.76 ± 0.10 b | 0.41 ± 0.01 b | |
| NPK + B | 14.84 ± 0.11 a | 6.69 ± 0.10 a | 0.45 ± 0.01 a | |
| Source of variation | ||||
| Treatment (T) | ** | ** | * | |
| Year (Y) | * | ** | * | |
| T × Y | * | * | * | |
Disclaimer/Publisher’s Note: The statements, opinions and data contained in all publications are solely those of the individual author(s) and contributor(s) and not of MDPI and/or the editor(s). MDPI and/or the editor(s) disclaim responsibility for any injury to people or property resulting from any ideas, methods, instructions or products referred to in the content. |
© 2024 by the authors. Licensee MDPI, Basel, Switzerland. This article is an open access article distributed under the terms and conditions of the Creative Commons Attribution (CC BY) license (https://creativecommons.org/licenses/by/4.0/).
Share and Cite
Li, X.; Che, W.; Piao, J.; Song, Y.; Wang, X.; Zhang, Y.; Miao, S.; Wang, H.; Xie, L.; Sun, J.; et al. Biochar Increases Rice Yield in Soda Saline-Alkali Paddy Fields by Improving Saline-Alkali Stress and Phosphorus Use Efficiency. Agronomy 2024, 14, 2159. https://doi.org/10.3390/agronomy14092159
Li X, Che W, Piao J, Song Y, Wang X, Zhang Y, Miao S, Wang H, Xie L, Sun J, et al. Biochar Increases Rice Yield in Soda Saline-Alkali Paddy Fields by Improving Saline-Alkali Stress and Phosphorus Use Efficiency. Agronomy. 2024; 14(9):2159. https://doi.org/10.3390/agronomy14092159
Chicago/Turabian StyleLi, Xuebin, Weikang Che, Junlong Piao, Yang Song, Xudong Wang, Yue Zhang, Shihao Miao, Hongyue Wang, Liming Xie, Jiayi Sun, and et al. 2024. "Biochar Increases Rice Yield in Soda Saline-Alkali Paddy Fields by Improving Saline-Alkali Stress and Phosphorus Use Efficiency" Agronomy 14, no. 9: 2159. https://doi.org/10.3390/agronomy14092159
APA StyleLi, X., Che, W., Piao, J., Song, Y., Wang, X., Zhang, Y., Miao, S., Wang, H., Xie, L., Sun, J., & Jin, F. (2024). Biochar Increases Rice Yield in Soda Saline-Alkali Paddy Fields by Improving Saline-Alkali Stress and Phosphorus Use Efficiency. Agronomy, 14(9), 2159. https://doi.org/10.3390/agronomy14092159

