Abstract
Codonopsis pilosula is an important medicinal plant in China. Continuous cropping of C. pilosula affects crop quality and yield. However, comprehensive research on the impacts of continuous cropping on soil properties, microbial community structures, and soil metabolites is lacking. This study involved collecting rhizosphere soil samples from C. pilosula monocropped for 1 to 4 years to analyze variations in soil properties, microbial community structure, and metabolites across different continuous-cropping years (CCYs) through metabolomic and microbiomic analyses. Significant variations in the soil properties were observed; total phosphorus (TP) and available potassium (AK) in the rhizosphere soil increased with the number of CCYs, and pH declined. The microbial community structure significantly changed with continuous cropping. Overall, the soil bacterial diversity decreased with increasing CCY. The abundances of Proteobacteria and Firmicutes significantly decreased with increasing CCY, whereas the abundance of Acidobacteria significantly increased. The fungal diversity tended to decrease, with an increase in the abundance of beneficial Basidiomycota and an increase in potentially pathogenic Rozellomycota. Metabolomic analysis revealed 101 metabolites and significant changes in lipid compounds, organic acids, phenols, and carbohydrates. Notably, autotoxic substances such as 2,6-di-tert-butylphenol accumulated with increasing CCY. The results indicated that the main factors causing continuous-cropping obstacles in C. pilosula were soil nutrient imbalance and autotoxic substance accumulation. Continuous cropping of C. pilosula significantly altered the microbial community structure and metabolomic profile of rhizosphere soils. Effective management practices are needed to mitigate soil acidification, nutrient imbalances, and autotoxic substance accumulation during continuous cropping. Future research should focus on integrated soil management strategies to maintain soil health and crop productivity in C. pilosula continuous-cropping systems.
1. Introduction
In contrast to crop rotation, continuous cropping (CC) refers to the repeated continuous cropping of monoculture plant types in the same agricultural field over many years [1]. Continuous cropping of the same crop results in reduced yield, decreased quality, and poor growth. These phenomena are defined as continuous-cropping obstacles (CCOs). Certain crops are resistant to continuous cropping, and these crops show better growth with continuous cropping; such as Achyranthes (Achyranthes aspera Linn.), in which the yield can be significantly increased through continuous cropping, resulting in the so-called “replanting benefit” [2]. However, CCOs are common in most crops. CCO leads to a decline in crop yield and quality, an increase in pests and diseases, deterioration of soil properties, changes in soil microbial communities, and slow crop growth, making them an urgent problem to be solved in agricultural production [3].
Studies have identified the main factors involved in CCOs, such as imbalances in the soil microbial community, plant autotoxicity, and variations in soil properties [4,5,6,7]. For example, a decrease in soil pH due to continuous cropping can alter soil microbial diversity, reducing the abundance of microorganisms critical for the C, N, and P cycles, thus resulting in CCOs [8]. Compared with other plants, medicinal plants are more prone to CCOs during cultivation, especially medicinal plants that have tuberous roots and tubers [9,10]. Approximately 70% of tuber/root medicinal plants (Salvia, Rehmannia glutinosa, Panax ginseng, Pinellia, Panax notoginseng, etc.) exhibit CCOs during planting [11]. For example, with increasing continuous-cropping years (CCYs), the biomass and yield of Pseudostellaria heterophylla have shown a decreasing trend [12]. However, the primary CCO factors vary among different medicinal plants. Liu et al. (2021) reported that a decrease in soil pH with increasing CCYs was the main factor causing CCOs in American ginseng [13]. For Boehmeria nivea (L.) Gaudich., an increase in the diversity of soil bacterial microorganisms and a decrease in Actinomycetes diversity with increasing CCYs are key factors driving CCOs [14]. In Atractylodes macrocephala Koidz., the accumulation of autotoxic substances such as 2,4-di-tert-butyl phenol is the main factor affecting CCOs [15].
Codonopsis Radix is a plant of the genus Codonopsis in the Campanulaceae family, also known as Dangshen in China, and is an important medicinal plant resource in China, Japan, and Korea. This genus includes over 60 species, with approximately 39 species present in China. In China, the roots of three particular Codonopsis Radix plants, Codonopsis pilosula (Franch.) Nannf., Codonopsis pilosula Nannf. var. modesta (Nannf.) L. T. Shen, and Codonopsis tangshen Oliv. are traditionally used to increase immunity in the human body, increase learning and memory capacity, and lower blood pressure [16]. Owing to increasing CCYs, there has been a notable decline in the root vitality, yield, and quality of Codonopsis Radix plants, along with an increase in the incidence of root rot.
To date, two primary factors have been identified as contributing to CCOs in Codonopsis Radix. One perspective suggests that continuous cropping of Codonopsis Radix could change the soil microbial diversity and community structure in the rhizosphere microenvironment. As the number of CCYs of Codonopsis Radix increases, the soil properties deteriorate, and the soil becomes more acidified, leading to a decline in production [17]. These changes in soil properties also result in changes in the microbial community structure. Zhang et al. (2021) reported that with increasing CCYs of C. tangshen, the abundance of beneficial soil microorganisms decreased, whereas that of harmful soil microorganisms increased, resulting in a shift in the rhizosphere microenvironment from the “bacterial type” to the “fungal type” [18]. Furthermore, the fungal/bacterial ratio in the soil increased, which led to a greater abundance of fungi in the soil, destabilizing the rhizosphere microenvironment [18,19]. Another viewpoint is that the accumulation of autotoxic allelochemicals causes CCOs in Codonopsis Radix. Studies have indicated that in continuous-cropping systems, autotoxic allelochemicals, which are major factors driving declines in crop yield and quality, are present in the soil [19,20]. Additionally, other substances such as terpenes, phenols, alkaloids, and cyanogenic glycosides have been linked to the autotoxicity of medicinal plants [20]. Xie et al. (2017) identified terpenoid esters as major contributors to CCOs in C. pilosula (Franch.) Nannf., with codonopilate-A identified as the main autotoxic substance [21]. These studies indicate that changes in the soil microbial community structure and the accumulation of autotoxic substances in the Codonopsis Radix rhizosphere might be the primary causes of CCOs. However, researchers have not yet found an efficient solution to address CCOs in Codonopsis Radix.
The application of microbiomics and metabolomics to analyze the continuous-cropping effects of crops allows for a precise understanding of the complex biological processes occurring in soils and aids in identifying biomarkers of metabolites related to specific diseases [22]. Therefore, we explored the changes in the soil bacterial community structure and the differences in soil metabolites in response to the continuous cropping of Codonopsis Radix. The objectives of this study were (1) to determine the relationships between changes in soil microbial communities and metabolites and the continuous cropping of Codonopsis Radix and (2) to identify potential biomarkers for CCOs in this medicinal plant.
2. Materials and Methods
2.1. Field Experiment and Soil Sampling
The research was carried out in Weiyuan County, Dingxi city, Gansu Province, China (one of the main production areas of Codonopsis Radix in China, 103°51′08″ N, 35°06′18″ E), which has a temperate continental climate. In the study area, the average altitude is 2321 m, the average annual temperature is 6.8 °C, and the average annual precipitation is 500 mm, which primarily occurs in July and August. The soil type is calcaric cambisols, according to the FAO classification [23].
Codonopsis pilosula (Franch.) Nannf. (C. pilosula) is the main species planted in the study area and served as the test material. C. pilosula was planted on 11 April 2023 (with a plant spacing of 10 cm and row spacing of 15 cm) and harvested on 22 October 2023. The period of vegetative growth was from August to October, and soil samples were collected in mid-September (the farmland used in this experiment had been fallow for 4 years, and no crops had been planted). In September 2023, sample plots with different numbers of years of continuous cropping (1Y, 2Y, 3Y and 4Y) were selected for sampling. To minimize errors in the experiment, similar field management practices were employed in all the plots. Field sampling was performed via a randomized design with six replicates per plot with different years of continuous cropping, and six quadrats (5 × 5 m each) were established within each plot. Soil samples were collected via the five-point method (i.e., soil samples were collected at five random points in the nearby area within the same plot). A sampling shovel was used to completely excavate the whole root of C. pilosula, after which the rhizosphere soil was collected. Rhizosphere soil is defined as the soil that remains attached to roots after the roots are gently shaken [24]. The rhizosphere soils were collected from the same quadrat, combined, and mixed in equal amounts to form one replicate sample.
Each sample was placed in a sterile bag and stored on dry ice. The samples were quickly transported to the laboratory. A portion of the samples was used for soil microbiological and metabonomic analyses (stored at −80 °C), while the remainder was air-dried in a dark location and passed through a 0.25 mm mesh for soil physicochemical analyses. Each treatment had six replicate samples.
2.2. Analysis of Soil Properties
The soil pH was measured via a pH meter at a water/soil ratio of 5:1 (v/m) (ST-3100, Ohaus Co., Ltd., Parsippany, NJ, USA). The soil organic carbon (SOC), total nitrogen (TN), total phosphorus (TP), available phosphorus (AP), and available potassium (AK) contents were determined via standard procedures [25,26,27].
2.3. Soil Microbiome Analysis
A Power-Soil DNA Isolation Kit (ID: 47016) was used to extract total genomic DNA from the soils (Mo-Bio Laboratories Inc., Carlsbad, CA, USA). The DNA concentration and purity were evaluated on a 1% agarose gel and subsequently diluted to 1 ng/µL with sterile water according to the concentration. A spectrophotometer (NanoDrop 2000C, Thermo Scientific, Inc., Waltham, MA, USA) was used to evaluate the DNA concentration. A fungal rRNA internal transcribed spacer (ITS) sequence was amplified with the primers ITS1F and ITS4R (5′-CTTGGTCATTTAGAGGAAGTAA-3′ and 5′-TCCTCCGCTTATTGATATGC-3′). The bacterial 16S rRNA gene V3-V4 region primers used were 341F (5′-CCTAYGGGRBGCASCAG-3′) and 806R (50-GGACTACHVGGGTWTCTAAT-30). All PCRs were carried out with 15 µL of Phusion® High-Fidelity PCR Master Mix (New England Biolabs Inc., Ipswich, MA, USA), 2 µM of forward and reverse primers, and approximately 10 ng of template DNA. Thermal cycling consisted of initial denaturation at 98 °C for 1 min, followed by 30 cycles of denaturation at 98 °C for 10 s, annealing at 50 °C for 30 s, and elongation at 72 °C for 30 s. Finally, the samples were heated at 72 °C for 5 min. An equal amount of 1X TAE buffer was mixed with the PCR products, which were tested on a 2% agarose gel. The PCR products were mixed at equal density ratios. The PCR products were purified via the Qiagen Gel Extraction Kit (1.1.3) (Qiagen, Valencia, CA, USA). Sequencing libraries were generated via the TruSeq DNA PCR-Free Sample Preparation Kit (Illumina, San Diego, CA, USA), index codes were added, and quality checks were conducted on a Qubit 2.0 fluorometer (Thermo Scientific Inc., Waltham, MA, USA). The library was sequenced on an Illumina platform, and 250 bp paired-end reads were generated. All the raw sequences were deposited in the NCBI Sequence Read Archive (SRA) database (PRJNA1147451).
The raw data were imported into a format operable by the QIIME2 system via the QIIME tools importer. The sequence of each sample was quality-trimmed, and raw reads with tail-end quality scores less than 20 were removed [28]. Sequence analysis was performed via Uparse software (Uparse v7.0.1001). The sequences were categorized into different groups on the basis of their similarity. The sequences were divided into operational taxonomic units (OTUs) at a similarity threshold of ≥97% for further analysis [29]. A detailed description of the high-throughput sequencing of the microbial community is provided in the Supplementary Data (Text S1).
2.4. Soil Metabonomic Analysis
The soils were freeze-dried and then ground into powder via a grinder set to 30 Hz for 30 s. A 0.5 g soil sample was combined with 1 mL of methanol (CH3OH)/isopropanol (C3H8O)/water (H2O) at a 3:3:2 (v/v/v) ratio. The samples were homogenized with a ball mill at 45 Hz for three minutes, followed by ultrasonication for 20 min in ice water. The supernatant was carefully collected, and 0.020 mL of an internal standard (suberic acid-d4, 10 μg/mL) was added. The mixture was then evaporated under a nitrogen stream and freeze-dried via a lyophilizer. The residue was stored at −80 °C for derivatization.
For the derivatization process, the sample was mixed with 0.1 mL of methoxyamine hydrochloride in pyridine (0.015 g/mL) and incubated at 37 °C for two hours. After homogenization, 0.1 mL of bis-(trimethylsilyl)-trifluoroacetamide (with 1% chlorotrimethylsilane) was added, and the mixture was incubated at 37 °C for 30 min. A 0.2 mL aliquot of the derivatization solution was accurately pipetted, diluted to 1 mL with n-hexane, and filtered through an organic phase syringe, and the filtrate was stored at −20 °C for analysis within 24 h. Metabolites were analyzed via an Agilent 8890 gas chromatograph (GC) coupled with a 5977B mass spectrometer (MS), which was equipped with a DB-5MS column (30 × 0.25 mm, 0.25 μm coating thickness) (J&W Scientific, Inc., Folsom, CA, USA). A 1 μL sample was injected into the column at a split ratio of 5:1. The injector and detector (FID) temperatures were set to 250 °C and 290 °C, respectively. The temperature program involved increasing the temperature from 40 to 300 °C at a rate of 15 °C/min and maintaining it at 300 °C for five minutes. Helium (99%) was used as the carrier gas at a flow rate of 1.2 mL/min. All the samples were analyzed in scan mode (the mass range was from 40 to 450 amu at 0.5 s). The ion source and transfer line temperatures were 230 °C and 280 °C, respectively. The mass spectrometry data were acquired in full-scan mode with the m/z range of 50–500. The detailed determination of metabolites is shown in the Supplementary Data (Text S2).
2.5. Statistical Analyses
The core diversity plugin in QIIME2 was used to calculate diversity metrics. Alpha diversity indices, including observed OTUs, and the Chao1, Shannon, and Simpson indices, were used to estimate microbial diversity within individual samples. To reveal changes in the soil microbiota and soil metabolites among different CCYs, supervised models, including principal coordinate analysis (PCoA), orthogonal partial least squares discriminant analysis (OPLS-DA), and principal component analysis (PCA) were employed, and these analyses were executed via the “vegan” and “plsda” packages in R v4.4.1. Linear discriminant analysis effect size (LEfSe) analysis was executed via the “microeco” package in R v4.4.1.
Metabolites that were differentially abundant between different groups (VIP > 1, p < 0.05) were identified through a combination of univariate and multivariate analyses on the basis of the variable importance in the project (VIP) values generated by OPLS-DA. Pearson’s correlation analysis was conducted to explore the relationships between primary soil microbes and metabolites, which were visualized via the heatmap package in R v4.4.1. Piecewise structural equation modeling (piecewise SEM) was applied to evaluate the connections between continuous cropping and various factors, such as soil properties, microbial diversity, and soil metabolites. These analyses were conducted with the “piecewiseSEM”, “nlme”, and “lme4” packages in R v4.4.1. The overall model fit and goodness of fit were assessed via the chi-square test via Fisher’s C test value, where a p-value greater than 0.05 indicated that the model was reasonable. Statistical analyses were performed via SPSS 23.0 (SPSS Inc., Chicago, IL, USA), with the significance set to p < 0.05.
3. Results
3.1. Response of Soil Properties to Continuous Cropping of C. pilosula
Significant variations in the different soil physicochemical property indicators were observed among the different CCYs. Generally, with increasing CCYs of C. pilosula, the soil TP and AK contents significantly increased and peaked in the soil at 4 years of continuous cropping (p < 0.05). However, the pH values of the soils from the different CCYs exhibited the opposite trend. With increasing CCY, the soil pH significantly decreased, with the lowest pH values occurring in the soil after 2 years of continuous cropping (p < 0.05). In this study, the SOC, TN, and AP contents among the different CCYs did not clearly change with increasing years of continuous cropping of C. pilosula (Table 1).
Table 1.
Characteristics of soils from plots with different numbers of years of continuous cropping.
3.2. Response of the Soil Microbial Community Structure to Continuous Cropping of C. pilosula
3.2.1. Sequence Data and Microbial Richness and Diversity
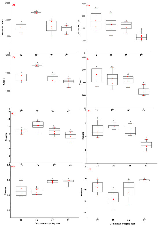
After the high-throughput sequencing analysis, the mean counts of the 16S rRNA (bacteria) and ITS (fungi) sequences were 84,659 and 84,428, respectively. After quality control (OTU clustering at the 97% level), 59,637 16S rRNA and 74,255 ITS sequences were identified (Table S1). There were significant differences in the number of observed OTUs of the 16S rRNA and ITS regions in the soils from the different CCYs. In general, the highest number of observed 16S rRNA OTUs in the soils occurred at 2 years of continuous cropping, and the lowest number was observed at 4 years. Conversely, the number of observed ITS OTUs significantly decreased with the increasing CCY (Figure 1A,B). The diversity indices (Chao1, Shannon, and Simpson indices) were calculated at the OTU level to quantify soil microbial community diversity from different CCYs (Figure 1C–H). The bacterial Chao1 and Shannon indices were highest at 2 years and lowest at 4 years. The fungal Chao1 index showed the same trend as the observed ITS OTUs and significantly decreased with increasing CCYs. The fungal Shannon index was lowest at 4 years, but it showed no clear trend with increasing CCY, and no significant differences were detected among the 1-, 2-, and 3-year soils (p > 0.05). However, the Simpson indices of bacteria and fungi tended to increase with increasing CCY and peaked at 4 years (p < 0.05).
Figure 1.
Summary of the bacterial and fungal diversity indices of soils from plots with different CCYs. (A,C,E,G) represent the diversity indices of the bacterial community, and (B,D,F,H) represent the diversity indices of the fungal community. The black lines represent median values, while the letters denote significant differences among different soil samples (p < 0.05).
3.2.2. Effects of Continuous Cropping on the Soil Microbial Community Composition
After quality control, differences in the soil microbial communities among the different CCYs were evaluated via PCoA (Figure 2). The components P1, P2, and P3 explained 74% and 89.82% of the observed differences in the bacterial and fungal communities, respectively. The continuous cropping of C. pilosula had a strong effect on the soil bacterial community characteristics. For the bacterial community, the short distances indicated that there was no obvious difference among the soils with continuous cropping for 1, 2, and 3 years. The long distances observed between the samples from the 1-, 2-, and 3-year continuous-cropping systems and those from the 4-year continuous-cropping system indicate obvious differences in the soil bacterial community between the samples from the 4th year and those from the other years (Figure 2A). However, for soil fungi, the distances were not significantly different among the soils with different CCYs (Figure 2B).
Figure 2.
PCoA of bacterial (A) and fungal (B) community structures on the basis of the species abundance at the genus level in soils from different CCYs on the basis of Bray–Curtis distances.
The bacterial sequences were distributed across 31–38 phyla, 93–108 classes, 133–158 orders, 187–200 families, and 244–302 genera, whereas the fungal sequences were distributed across 3–4 phyla, 9–11 classes, 16–19 orders, 21–26 families, and 20–24 genera. Bacteria with relative abundances greater than 0.1% were distributed across 16–18 phyla, 44–57 classes, 65–80 orders, 101–113 families, and 87–127 genera, and fungi with relative abundances greater than 0.1% were distributed across 1–2 phyla, 5–6 classes, 8–11 orders, 8–12 families, and 7–10 genera (Table S2).
At the phylum level, the soil bacterial community was dominated by Proteobacteria, followed by Firmicutes, Actinobacteria, Acidobacteria, and Bacteroidetes across soils from different CCYs, representing more than 80% of all the sequences. The relative abundance of Proteobacteria decreased with the increasing CCY, with the highest abundance occurring at 1 year (41.92%) and the lowest at 4 years (33.50%). Similarly, the relative abundances of Firmicutes, Actinobacteria, Bacteroidetes, and Chloroflexi decreased with increasing CCYs. However, the abundance of Acidobacteria significantly increased with increasing CCYs, with the lowest value occurring at 1 year (1%), and the highest value occurring at 4 years (20.2%). Similarly, the relative abundances of Nitrospirae, Planctomycetes, Crenarchaeota, and Armatimonadetes increased with increasing CCYs (Figure 3A and Table S3). At the genus level, the bacterial community structure showed noticeable variations. Symbiobacterium, Streptomyces, Pseudomonas, Bacillus, and Ralstonia were dominant across different CCYs, with the abundances of Symbiobacterium, Streptomyces, Pseudomonas, and Methyloversatilis decreasing with increasing CCYs (Figure 3B and Table S3).
Figure 3.
Relative abundances of the main bacterial phyla ((A), top 20), bacterial genera ((B), top 20), fungal phyla ((C), use all phyla) and fungal genera ((D), top 20) in the soils from different CCYs.
At the phylum level, the fungal community was dominated by Ascomycota, Basidiomycota, Rozellomycota, and Glomeromycota across all the samples. The abundance of Basidiomycota significantly decreased with increasing CCY, being highest in year 1 (15.6%) and lowest in year 4 (0.01%). In contrast, the Rozellomycota abundance increased with increasing CCY. No clear trend was observed for Ascomycota, but its highest relative abundance was detected at 2 years (88.93%), and its lowest was detected at 4 years (49.40%) (Figure 3C and Table S3). At the genus level, Discosia and Microascus were dominant across different CCYs, and their lowest relative abundances were detected at 4 years (2.98% and 1.19%, respectively) (Figure 3D and Table S3).
3.2.3. LEfSe Analysis of the Differential Abundance Characteristics of Bacterial and Fungal Communities in Soils with Different Durations of Continuous Cropping
In this study, an LEfSe analysis was used to identify discriminative soil bacterial and fungal taxa among different CCYs. The results revealed that different bacterial taxa were enriched in each CCY (Figure 4). There were greater numbers of species enriched at the significant level (LDA > 4) in the 2-year (24) and 4-year (29) soils than in the 1-year (10) and 3-year (5) soils (Figure 4A). At the phylum level, high abundances of Symbiobacteriaceae (family), Streptomycetaceae (family), Agromyces (genus), and Pseudoxanthomonas (genus) were detected in the soil of 1 year. In the 2-year soils, Chloroflexi, including Anaerolineae (class), Ardenscatenales (order), Anaerolinaceae (family), and Anaerolinea (genus), showed a higher abundance; at the class level, Saprospirae, including Saprospirales (order), Chitinophagaceae (family), and Flavisolibacter (genus), presented relatively high abundances. Furthermore, Bacillaceae (family) and Rhodocyclales (order) presented relatively high abundances. However, in the 3-year soils, only Clostrdium (family) was present at relatively high levels. High abundances of bacteria (kingdom), including Nitrospirae (phylum), Nitrospira (class), Nitrospirales (order), Nitrospiraceae (family), and Nitrospira (genus); and Archaea, including Crenarchaeota (phylum), Thaumarchaeota (class), Nitrososphaerales (class), Nitrososphaeraceae (family), and Candidatus_Nitrososphaera (genus), were detected in the soil of 4 years; furthermore, the abundances of Micrococcaceae (family) and Sphingomonadales (order) were relatively high (Figure 4B).

Figure 4.
Relative abundance of bacterial taxa in relation to the years of continuous cropping. Indicator bacteria with LDA scores greater than 4 in the soil bacterial communities of different continuous-cropping years ((A) the significance threshold of LDA was 4, and p < 0.05). Phylogram of the phylogenetic distribution of bacterial lineages associated with the soils from different years of continuous cropping (B). Differential species are colored following the group, and nodes of different colors represent microbial taxa that play an important role in the group. Species nodes with no significant differences are shown in yellow.
In this study, LEfSe analysis was used to identify discriminative soil fungal taxa among different CCYs. The results revealed that different fungal taxa were enriched in each CCY (Figure 5). There were greater numbers of species enriched at a significant level (LDA > 4 and p < 0.05) in the soil at 4 years (24) than in those at 1 (5), 2 (1) and 3 years (4) (Figure 5A). Three groups of fungi were significantly enriched in the soil at 1 year of continuous cropping: Sporocadaceae (family), Aspergillaceae (family), and Xylariales (order). In the soil of 3 years, Microascus showed a higher abundance. In the 4-years soils, two groups at the family level were significantly enriched: Didymellaceae and Nectriaceae (especially Fusarium (genus)). However, one group of fungi was significantly enriched in the soil at 2 years: Sordariomycetes (class) (Figure 5B).

Figure 5.
Relative abundance of fungal taxa in relation to the years of continuous cropping. Indicator fungi with LDA scores greater than 4 in the soil fungal communities of different continuous-cropping years ((A) the significance threshold of LDA was 4, and p < 0.05). Phylogram of the phylogenetic distribution of fungal lineages associated with the soils from different years of continuous cropping (B). Differential species are colored following the group, and nodes of different colors represent microbial taxa that play an important role in the group. Species nodes with no significant differences are shown in yellow.
3.3. Soil Metabolic Differences across Different CCYs
3.3.1. Multivariate Analysis of Metabolite Spectra
A total of 101 known metabolites were identified from all the soil samples. The different soil samples clustered together, indicating that the method was stable and yielded high-quality data (Figure 6A). Samples with the same CCYs were clustered together, whereas samples from different CCYs were separated from each other. The P1 and P2 components explained 77.71% of the observed differences, suggesting variations among soils from different CCYs. These differences in metabolic composition between soils from different CCYs were further confirmed via heatmap analysis of all 101 metabolites (Figure S1). The PCA score plot (2PCs, R2X [1] = 0.601, R2X [2] = 0.168) indicated that the samples from the 1- to 2-years continuous-cropping soils clustered in the same region, whereas the samples from 3- to 4-years continuous-cropping soils were scattered across different regions, and no significant difference was observed between samples from 1- to 2-year continuous-cropping soils in the PCA score plot (Figure 6B).
Figure 6.
Metabonomic analysis of the soils from different CCYs: (A): PCA of the metabolites in different soil samples. (B): PCA score plot of the metabolites in different soil samples. (C): OPLS-DA score plot of the metabolites in different soil samples. (D): Permutation test of the OPLS-DA model.
The differences in metabolites within and between different groups were analyzed via the OPLS-DA model to determine the impacts of the CCY on soil metabolites. Significant variance between the 3- and 4-years samples was observed, as was a trend in profile separation among different samples (Figure 6C). Model validation confirmed that the explained variation (R2 = 0.417) and the model’s predictive ability (Q2 = −0.544) indicated that the model was reliable for explaining and predicting the variations (Figure 6D).
3.3.2. Effects of Continuous Cropping on the Soil Metabolite Composition
The main categories of metabolites included lipid compounds, organic acid compounds, ester compounds, carbohydrate compounds, phenolic compounds, alcoholic compounds, and other metabolites. Among these identified compounds, ester compounds accounted for the largest proportion of metabolites in the soil samples from all the CCYs, accounting for 41.61%, 43.11%, 39.35%, and 43.92% of all the metabolites in the soil samples from years 1, 2, 3, and 4, respectively. Carbohydrate compounds accounted for 15.66%, 17.81%, 23.89%, and 23.03% of all the metabolites in the soil samples from years 1, 2, 3, and 4, respectively. Overall, the lipid, phenolic, and alcoholic compounds accounted for a relatively small proportion of all the metabolites in all the soil samples (Figure 7A). In general, the relative abundances (peak areas) of the lipids, organic acids, and phenolic compounds in the soils significantly decreased with increasing CCY, with the highest values occurring in the 1-year sample and the lowest values occurring in the 4-years samples (Figure 7B,C,F). However, the relative abundance of carbohydrate compounds significantly increased with increasing CCY and was highest at 4 years (Figure 7E). No significant trends in the relative abundance of the ester compounds, alcohol compounds and other compounds (for example, 2-(4′-methoxyphenyl)-2-(3′-methyl-4′methoxyphenyl) propane and 4-methyl-tetradecane) were observed with the CCY. In general, the relative abundance of ester compounds was lowest at 3 years and highest at 4 years. For alcoholic compounds and other compounds, the relative abundance was lowest at 1 year and highest at 2 years (Figure 7D,G).
Figure 7.
Variations in the relative abundances of different groups of soil metabolites at different CCYs. Proportional abundance (%) of different groups of soil metabolites varied with the years of continuous cropping (A). Variations in the lipid compounds (B), organic acid compounds (C), ester compounds (D), carbohydrate compounds (E), phenolic compounds (F), alcoholic compounds (G), and other metabolites (H) in the soils of different years of continuous cropping. Each bar represents the mean ± standard deviation (n = 6). Letters indicate significant differences among the soil samples from different CCYs (p < 0.05).
On the basis of the OPLS-DA results, metabolites with VIP values > 1 and p-values < 0.05 were identified as those that were significantly influenced by continuous cropping of C. pilosula. A total of 51 differentially abundant metabolites were identified (Table S4). Specifically, octadecanoic acid, n-hexadecanoic acid, 2,4-di-tert-butyl-phenol, α-monostearin, glycerol 1-palmitate, 4-(2-methylbutanoyl) sucrose, 2,6-di-tert-butyl-phenol, glycerin, and 2-amino-N-cyclopropylacetamide were enriched in the soils from different CCYs. The results indicated that the contents of 2,4-di-tert-butyl-phenol and n-hexadecanoic acid significantly decreased with increasing CCYs and were lowest at 4 years. Conversely, 2,6-di-tert-butyl-phenol exhibited the opposite trend. In general, the contents of most lipid compounds, such as 4,8-dimethyl-undecane, 3,4-dimethyl-undecane, 3-ethyl-3-methyl-decane, 5,7-dimethyl-undecane, 2,7-dimethyl-undecane, 5-methyl-5-propyl-nonane, 2,3-dimethyldodecane, 4,7-dimethyl-undecane, pentadecane, 2,5-dimethyl-nonane, 4-methyl-nonane, and dodecane, decreased with increasing CCYs. Conversely, the contents of hexacosane, 2,3-dihydroxypropyl dihydrogen phosphate, 4-hydroxyanthraquinone-2-carboxylic acid, 2-hexadecanoyl glycerol, D-mannitol, and glucose increased with increasing CCYs (Figure 8 and Table S4).
Figure 8.
Heatmap of the main soil metabolites (VIP greater than 1, p < 0.05) in different years of continuous cropping. S_TMSMW0386: 2-propenoic acid, 3-[4-[bis(4-methylphenyl)amino]phenyl]-2-cyano-, ethyl ester; S_TMSMW0804: 2,3-dihydroxypropyl, 12-methyltridecanoate; S_TMSMW0628: 3-(3,5-ditert-butyl-4-hydroxyphenyl) propanoate, methyl; S_TMSMW0372: 2,3-dihydroxypropyl dihydrogen phosphate; S_TMSMW0587: 4-hydroxyanthraquinone-2-carboxylic acid; S_TMSMW0189: 2-(4′-methoxyphenyl)-2-(3′-methyl-4′methoxyphenyl) propane; S_TMSMW0164: 6-(3-methyl)butoxytetrahydro-2H-pyran.
3.4. Relationships between Soil Microbial Diversity and Major Soil Metabolites
We analyzed the correlations between major microorganisms (bacteria with the abundance values in the top 20 at the phylum level, and fungi with the highest abundance values at all phylum levels) and major soil metabolites (Figure 9A,B). Significant correlations were detected between bacteria and carbohydrate and ester substances (Figure 9A). In general, carbohydrate and ester substances were significantly positively correlated with the bacteria Cyanobacteria, Acidobacteria, Gemmatimonadetes, Nitrospirae, Planctomycetes, Crenarchaeota, and Armatimonadetes; however, phenol, organic acid, and lipid substances were significantly negatively correlated with these bacteria. The metabolites 4-hydroxyanthraquinone-2-carboxylic acid, 4-(2-methylbutanoyl) sucrose, hexacosane, glycerol 1-palmitate, octadecanoic acid, 2,3-dihydroxypropyl ester, 2-(4′-methoxyphenyl)-2-(3′-methyl-4′-methoxyphenyl) propane, maltitol, D-mannitol, 2-hexadecanoyl glycerol, and 2,3-dihydroxypropyl dihydrogen phosphate were significantly positively correlated with Acidobacteria, Gemmatimonadetes, Nitrospirae, Planctomycetes, Crenarchaeota, and Armatimonadetes, and significantly negatively correlated with Actinobacteria and Bacteroidetes.
Figure 9.
Correlations on the basis of relative abundance of bacterial ((A), top 20) and fungal phyla ((B), all phyla of fungi) with primary soil metabolites. The vertical axis represents the differential genera of both bacteria and fungi. The horizontal axis represents differential metabolites. Red represents a positive correlation, whereas blue represents a negative correlation. Significance is indicated at p < 0.05: * and high significance at p < 0.01: **.
In general, carbohydrate and ester substances were significantly positively correlated with Rozellomycota (r = 0.80, p < 0.01 and r = 0.58, p = 0.003), whereas carbohydrate substances were significantly negatively correlated with Ascomycota (r = −0.64, p = 0.001) and Basidiomycota (r = −0.60, p = 0.002). Phenols (r = −0.57, p = 0.004), organic acids (r = −0.61, p = 0.002), and lipids (r = −0.53, p = 0.008) were significantly positively correlated with Basidiomycota (r= 0.63, p = 0.001; r= 0.65, p= 0.001; and r = 0.63, p = 0.001), whereas the substances were significantly negatively correlated with Rozellomycota. In general, metabolites such as 4-methyl-tetradecane, 2,3,7-trimethyl-decane, N,N-dimethyl-carbamic acid, 2-methyl-nonane, dodecane, octadecanoic acid, 4-methyl-nonane, palmitoleic acid, 2,6-dimethyl-undecane, sucrose, 4-methyl-decane, 2,7,10-trimethyl-dodecane, 6-methyl-dodecane, 2,4-di-tert-butyl phenol, 4,6-dimethyl-dodecane, 2,5-dimethyl-nonane, 6-(3-methyl) butoxytetrahydro-2H-pyran, pentadecane, 4,7-dimethyl-undecane, 2,3-dimethyldodecane, 6-methyl-5-propyl-nonane, 2,7-dimethyl-undecane, 5,7-dimethyl-undecane, 3,4-dimethyl-undecane, and 4,8-dimethyl-undecane were significantly positively correlated with Basidiomycota but were negatively correlated with Rozellomycota (Figure 9B).
Figure 10 illustrates the relationships among continuous cropping of C. pilosula, considering the soil properties, bacterial diversity, fungal diversity, and dominant soil metabolites. In general, continuous cropping of C. pilosula had a direct influence on the soil properties (p < 0.001) and soil metabolites (p < 0.001), whereas it had no direct influence on the bacterial or fungal diversity (p > 0.05). Significant effects of continuous cropping of C. pilosula were observed for TN (p < 0.01), SOC (p < 0.001), AK (p < 0.001), TP (p < 0.001) and AP (p < 0.05); however, there was no significant effect on soil pH (p > 0.05). Soil metabolites, such as carbohydrates (p < 0.001) and alcohols (p < 0.001), were extremely sensitive to continuous cropping of C. pilosula, whereas lipids (p > 0.05) and phenols were strongly sensitive. Furthermore, the organic acid (p > 0.05) and ester (p > 0.05) contents were not significantly sensitive to continuous cropping. Continuous cropping of C. pilosula indirectly influences soil bacterial diversity by directly affecting soil properties and soil metabolites, but the soil properties and metabolites do not significantly affect fungal diversity (p > 0.05).
Figure 10.
Piecewise SEM showing the effects of continuous cropping of C. pilosula on soil properties, soil microbial diversity, and soil metabolites. Piecewise SEM accounted for the effects of soil properties, soil microbial diversity, and soil metabolites diversity on the response of C. pilosula continuous cropping. These elements were divided into composite variables. Coefficients related to measured variables are shown adjacent to the variables. Significant relationships are indicated by red arrows, whereas nonsignificant relationships are indicated by blue arrows. The numbers above the arrows represent standardized path coefficients. R² indicates the proportion of variance explained by the model. The significance of each predictor is marked as follows: *: p ≤ 0.05, **: p ≤ 0.01, and ***: p ≤ 0.001.
4. Discussion
Multiple factors contribute to CCOs, including variations in soil properties, soil microbial community structures, and the accumulation of autotoxic substances. This study revealed that the continuous cropping of C. pilosula significantly affects soil properties, with notable changes in soil pH, total phosphorus (TP), and available potassium (AK) across different CCYs. Specifically, the soil pH decreased with increasing CCY and was lowest at 4 years. Research has demonstrated that continuous cropping results in soil acidification, nutrient imbalances, and deterioration of the soil structure. Soil acidification is a critical factor influencing various soil processes and microbial activities. Low pH can adversely affect the microbial community structure by reducing the abundance of beneficial microbes and increasing the abundance of acid-tolerant, potentially harmful microorganisms such as Acidobacteria. Furthermore, decreased pH promotes the proliferation of acidophilic microorganisms while inhibiting those that thrive under neutral to alkaline conditions, thus altering the microbial community structure. Additionally, soil acidification can lead to the solubilization of toxic metals, reduced availability of essential nutrients, and overall soil degradation [30]; these changes disrupt nutrient cycling and reduce soil fertility, contributing to CCOs [13].
The significant increase in TP and AK observed with increasing CCYs can be attributed to the accumulation of fertilizers and the decomposition of organic matter. Phosphorus and potassium are essential nutrients for plant growth, and an increase in the availability of these nutrients might initially support plant health. The accumulation of the nutrients can lead to nutrient imbalances and exacerbate CCOs [13]. Generally, the SOC and TN contents decrease with increasing CCY [31]. However, in this study, the contents of SOC and TN did not exhibit clear trends with increasing CCY, suggesting that other factors, such as microbial activity and crop uptake, might influence these parameters. In contrast, compared with continuous cropping for 1 year, continuous cropping for 2 years resulted in greater increases in SOC and TN. SOC influences soil structure and microbial activity, both of which are crucial for maintaining soil fertility under continuous-cropping systems. Additionally, high SOC levels can improve soil aggregation and porosity, promoting better root growth and providing more microbial habitat; however, nitrogen can sometimes become immobilized at high SOC levels, making it temporarily unavailable to plants [32]. Continuous cropping also affects N-cycling processes such as mineralization, nitrification, and denitrification. Generally, continuous cropping can lead to decreases in soil TN, and nitrogen deficiencies can lead to reduced crop yields and increased crop susceptibility to pests and diseases [32]. In this study, the increase in the soil TN content might have been beneficial for crop growth, but it may also have had some negative effects on the soil health in the long term, e.g., nutrient imbalances, variations in the soil microbial community structure and soil acidification [33]. Our results are consistent with those of previous studies, indicating that continuous cropping significantly alters soil properties, potentially leading to CCOs [3]. In this study, the observed trends in soil acidification and nutrient accumulation indicate the need for careful management of soil pH and nutrient levels in continuous-cropping systems to maintain soil health and productivity.
Continuous cropping of C. pilosula significantly alters soil microbial diversity and community structure, impacting both bacterial and fungal communities. The abundance of beneficial microbial populations, such as those involved in nutrient cycling and disease suppression, decreases, whereas that of harmful microbes increases, and this shift from bacteria-dominated to fungus-dominated communities destabilizes the soil ecosystem [7,18]. In the present study, continuous cropping significantly affected soil microbial community structure, impacting both the bacterial and fungal communities. The alpha diversity metrics indicated a peak in bacterial diversity at two years of continuous cropping, followed by a significant decline by the fourth year. This decline in microbial diversity can reduce the resilience and functional capacity of soil ecosystems, increasing the susceptibility of crops to diseases and decreasing the efficiency of nutrient cycling in the soil [7].
A reduction in soil microbial diversity is a key characteristic of continuously cropped systems, and diverse microbial communities are important for maintaining soil health, supporting plant growth, and preventing pathogen outbreaks [3]. The results demonstrated distinct separations in microbial community structures between different CCYs. The relative abundances of major bacterial phyla such as Proteobacteria, Firmicutes, and Actinobacteria decreased with increasing CCY, whereas those of Acidobacteria increased. This shift suggests that continuous cropping favors the growth of acidophilic bacteria due to the decrease in soil pH. Proteobacteria and actinomycetes are beneficial bacteria for soil health and play important roles in soil N-cycling and disease suppression [34]. At the genus level, the present study revealed a decrease in beneficial genera, such as Pseudomonas and Bacillus, which are known for their roles in promoting plant growth and suppressing pathogens. Conversely, the increased abundance of potential pathogenic genera such as Fusarium indicates a shift toward a more disease-prone microbial community. This shift is consistent with the findings of Zhang et al. (2021), who reported similar trends in C. tangshen under a continuous-cropping system [18]. In terms of fungal communities, the study revealed a significant decrease in Basidiomycota and an increase in Rozellomycota with increasing CCY. The decline in Basidiomycota, which includes many beneficial fungi, and the increase in Rozellomycota, which may include opportunistic pathogens, further highlight the negative impact of continuous cropping on soil health. This shift toward a fungus-dominated community can destabilize the rhizosphere environment, contributing to CCOs [35].
Metabolomic analysis revealed significant changes in the soil metabolite profile with continuous cropping, indicating alterations in soil nutrient cycling and microbial metabolism. A total of 101 known metabolites were identified, with distinct variations were observed across different CCYs. The relative abundances of lipid compounds, organic acids, and phenols decreased, whereas those of carbohydrate compounds increased with increasing CCY. These shifts suggest changes in soil microbial activity and nutrient cycling processes [22]. Lipid compounds and organic acids are crucial for microbial membrane integrity and metabolic functions, and a reduction in their abundance can indicate a decline in microbial health and activity. The accumulation of carbohydrate compounds, such as glucose and mannitol, might be linked to changes in microbial activity and carbon cycling. An increase in carbohydrate content could result from reduced microbial utilization of carbohydrates due to low microbial diversity and activity, as indicated by the decline in the abundance of beneficial bacteria and fungi [24]. Specifically, a decrease in metabolites such as octadecanoic acid and n-hexadecanoic acid, which are essential for soil health and plant growth, indicates a decline in soil quality. The increase in autotoxicants, such as 2,6-di-tert-butylphenol, indicates that autotoxicity plays an important role in CCOs during C. pilosula cultivation in the study area. The observed metabolomic changes are consistent with previous studies showing that continuous cropping can lead to the accumulation of autotoxic substances and changes in soil metabolite profiles [36]. Notably, even for the same plant, the main factors causing continuous-cropping problems can vary greatly due to differences in climatic conditions, soil characteristics, environmental factors, etc., in the growing areas. For example, in this study, the autotoxic substance that potentially caused CCOs in C. pilosula in the study area was 2,6-di-tert-butylphenol, whereas other studies have reported that 2,4-di-tert-butylphenol is an autotoxic substance that causes CCOs [21].
This study revealed that continuous cropping of C. pilosula significantly affected the soil microbial community structure by altering the soil properties and metabolite composition. A previous study revealed that soil properties significantly impact microbial diversity and metabolite composition [37]. Soil properties (total nitrogen (TN), total organic carbon (SOC), total phosphorus (TP), etc.) are important environmental factors that drive microbial community structure [38]. For example, soil pH, a critical soil property, directly influences microbial community composition. In this study, the soil pH decreased with increasing CCY, which was conducive to the growth of acidophilic microorganisms and led to a decrease in microbial diversity [13]. This shift impacts soil functions such as nutrient cycling and disease suppression. The availability of nutrients, as indicated by TN, TP, and AK, also influences microbial activity and diversity. High contents of P and K can alter microbial community structures by promoting or inhibiting the growth of specific microbial groups. For example, excessive phosphorus could lead to eutrophication and alter the balance of microbial communities, potentially promoting pathogenic microbes [27]. Soil metabolites are derived mainly from microbial metabolites and root exudates [39], and soil properties also affect metabolite profiles. A low pH can lead to changes in microbial metabolism, and research has indicated that at low pH, the production of essential metabolites such as organic acids and lipids, which are crucial for microbial health and activity, is inhibited [22].
Changes in the soil microbial community structure can also influence soil metabolite profiles. For example, beneficial microbes such as Pseudomonas and Bacillus produce metabolites that promote plant growth and suppress pathogens, and a decrease in their abundance in soil results in a reduction in the production of beneficial metabolites and increased accumulation of autotoxic substances, further exacerbating CCOs [18]. Soil metabolites are both products of microbial activity and important factors affecting soil health and microbial diversity. In this study, some beneficial metabolites, such as organic acids and lipids, contributed to nutrient availability and microbial activity; however, the observed decrease in their content indicates a decline in microbial activity and soil health with increasing CCY [24]. Furthermore, some autotoxic substances, such as 2,4-di-tert-butyl-phenol, that accumulate in the soil under continuous cropping inhibit microbial activity and root growth, and the accumulation of these autotoxic substances creates a feedback loop in which reduced microbial activity leads to a decrease in the production of beneficial metabolites and further accumulation of allelopathic substances, exacerbating soil health deterioration and continuous-cropping obstacles [3,13,21].
5. Conclusions
The results of this study demonstrated that continuous cropping of C. pilosula negatively impacted soil health, particularly by altering the soil microbial community structure and metabolomic characteristics. A holistic approach that considers soil pH management, the enhancement of microbial communities, and the alleviation of autotoxins is needed to address CCOs in C. pilosula. Future research should focus on developing integrated soil management practices to maintain the productivity and quality of medicinal plants under continuous-cropping systems.
Supplementary Materials
The following supporting information can be downloaded at: https://www.mdpi.com/article/10.3390/agronomy14092014/s1, Table S1: Effective tags obtained after quality control. Table S2: Information on the different microbial groups obtained from the soil samples after varying years of continuous cropping. Table S3: Changing trends in the relative abundances of the main soil microbes with increasing years of continuous cropping. Table S4: Differentially abundant metabolites among different groups based on OPLS-DA. Figure S1: Heatmap of metabolites identified in soils from different continuous-cropping years. Text S1: Method of high-throughput sequencing of the microbial community. Text S2: Method of extraction and detection of soil metabolites.
Author Contributions
H.L. and Y.Y.: conceptualization, investigation, methodology, software, visualization, data curation, formal analysis, writing—review and editing, writing—original draft. M.J.C.C.: writing—review and editing, writing—original draft, supervision. J.L. and W.G.: investigation, resources, validation. P.Q.: data curation, funding acquisition, supervision. All authors have read and agreed to the published version of the manuscript.
Funding
This research was supported by the Scientific Research Start-up Funds for Openly Recruited Doctors of Gansu Agricultural University (Grant No. GAU-KYQD-2018-18), National Natural Science Foundation of China (Grant No. 32160583), Qualified Technical Personnel Plan-the Light of Western China ‘Western Young Scholars’ (Grant No. 23JR6KA028) and Gansu Provincial Major Project for Science and Technology Development (Grant No. 23ZDFA009).
Data Availability Statement
Data are contained within the article and Supplementary Materials.
Conflicts of Interest
The authors declare that there are no conflicts of interest.
References
- Murphy, C.E.; Lemerle, D. Continuous cropping systems and weed selection. Euphytica 2006, 148, 61–73. [Google Scholar] [CrossRef]
- Yang, Y.; Li, M.; Yi, Y.; Li, R.; Dong, C.; Zhang, Z. The root transcriptome of Achyranthes bidentata and the identification of the genes involved in the replanting benefit. Plant Cell Rep. 2018, 37, 611–625. [Google Scholar] [CrossRef] [PubMed]
- Zhao, Y.; Yao, Y.; Xu, H.; Xie, Z.; Guo, J.; Qi, Z.; Jiang, H. Soil metabolomics and bacterial functional traits revealed the responses of rhizosphere soil bacterial community to long-term continuous cropping of Tibetan barley. PeerJ 2022, 10, e13254. [Google Scholar] [CrossRef]
- Munns, R.; James, R.A.; Läuchli, A. Approaches to increasing the salt tolerance of wheat and other cereals. J. Exp. Bot. 2006, 57, 1025–1043. [Google Scholar] [CrossRef]
- Jian, S.; Li, J.; Chen, J.; Wang, G.; Mayes, M.A.; Dzantor, K.E.; Hui, D.; Luo, Y. Soil extracellular enzyme activities, soil carbon and nitrogen storage under nitrogen fertilization: A meta-analysis. Soil Biol. Biochem. 2016, 101, 32–43. [Google Scholar] [CrossRef]
- Zhang, S.; Jin, Y.; Zhu, W.; Tang, J.; Hu, S.; Zhou, T.; Chen, X. Baicalin released from Scutellaria baicalensis induces autotoxicity and promotes soilborn pathogens. J. Chem. Ecol. 2010, 36, 329–338. [Google Scholar] [CrossRef] [PubMed]
- Nannipieri, P.; Ascher, J.; Ceccherini, M.; Landi, L.; Pietramellara, G.; Renella, G. Microbial diversity and soil functions. Eur. J. Soil Sci. 2003, 54, 655–670. [Google Scholar] [CrossRef]
- Alewell, C. Acid inputs into the soils from acid rain. In Handbook of Soil Acidity; CRC Press: Boca Raton, FL, USA, 2003; pp. 97–130. [Google Scholar]
- Wu, H.; Lin, W. A commentary and development perspective on the consecutive monoculture problems of medicinal plants. Chin. J. Eco Agric. 2020, 28, 775–793. [Google Scholar]
- Zeeshan Ul Haq, M.; Yu, J.; Yao, G.; Yang, H.; Iqbal, H.A.; Tahir, H.; Cui, H.; Liu, Y.; Wu, Y. A systematic review on the continuous cropping obstacles and control strategies in medicinal plants. Int. J. Mol. Sci. 2023, 24, 12470. [Google Scholar] [CrossRef]
- Tan, G.; Yang, Z.; Yuan, Z.; Yang, X. Research advances in continuous-cropping obstacle in medicinal plants and its management. J. Northwest A F Univ. Nat. Sci. Ed. 2012, 40, 197–204. [Google Scholar]
- Wu, L.; Chen, J.; Wu, H.; Wang, J.; Wu, Y.; Lin, S.; Khan, M.U.; Zhang, Z.; Lin, W. Effects of consecutive monoculture of Pseudostellaria heterophylla on soil fungal community as determined by pyrosequencing. Sci. Rep. 2016, 6, 26601. [Google Scholar] [CrossRef] [PubMed]
- Liu, S.; Wang, Z.; Niu, J.; Dang, K.; Zhang, S.; Wang, S.; Wang, Z. Changes in physicochemical properties, enzymatic activities, and the microbial community of soil significantly influence the continuous cropping of Panax quinquefolius L. (American ginseng). Plant Soil 2021, 463, 427–446. [Google Scholar] [CrossRef]
- Zhu, S.; Wang, Y.; Xu, X.; Liu, T.; Wu, D.; Zheng, X.; Tang, S.; Dai, Q. Potential use of high-throughput sequencing of soil microbial communities for estimating the adverse effects of continuous cropping on ramie (Boehmeria nivea L. Gaud). PLoS ONE 2018, 13, e0197095. [Google Scholar] [CrossRef] [PubMed]
- Zheng, F.; Chen, L.; Gao, J.; Niu, F.; Duan, X.; Yin, L.; Tian, W. Identification of autotoxic compounds from Atractylodes macrocephala Koidz and preliminary investigations of their influences on immune system. J. Plant Physiol. 2018, 230, 33–39. [Google Scholar] [CrossRef]
- Yang, F.; Lin, H.; Ding, R. Determination of microelements in Codonopsis Radix by inductively coupled plasma-mass spectrometry. J. Med. Plants Res. 2013, 7, 3432–3437. [Google Scholar] [CrossRef]
- He, Y.; Zhang, M.; Zhou, W.; Ai, L.; You, J.; Liu, H.; You, J.; Wang, H.; Wassie, M.; Wang, M. Transcriptome analysis reveals novel insights into the continuous cropping induced response in Codonopsis tangshen, a medicinal herb. Plant Physiol. Biochem. 2019, 141, 279–290. [Google Scholar] [CrossRef]
- Zhang, M.; He, Y.; Zhou, W.; Ai, L.; Liu, H.; Chen, L.; Xie, Y. Effects of continuous cropping of Codonopsis tangshen on rhizospheric soil bacterial community as determined by pyrosequencing. Diversity 2021, 13, 317. [Google Scholar] [CrossRef]
- Wu, L.; Wang, H.; Zhang, Z.; Lin, R.; Zhang, Z.; Lin, W. Comparative metaproteomic analysis on consecutively Rehmannia glutinosa-monocultured rhizosphere soil. PLoS ONE 2011, 6, e20611. [Google Scholar] [CrossRef]
- Huang, L.; Song, L.; Xia, X.; Mao, W.; Shi, K.; Zhou, Y.; Yu, J. Plant-soil feedbacks and soil sickness: From mechanisms to application in agriculture. J. Chem. Ecol. 2013, 39, 232–242. [Google Scholar] [CrossRef]
- Xie, M.; Yan, Z.; Ren, X.; Li, X.; Qin, B. Codonopilate A, a triterpenyl ester as main autotoxin in cultivated soil of Codonopsis pilosula (Franch.) Nannf. J. Agric. Food Chem. 2017, 65, 2032–2038. [Google Scholar] [CrossRef]
- Castro-Moretti, F.R.; Gentzel, I.N.; Mackey, D.; Alonso, A.P. Metabolomics as an emerging tool for the study of plant–pathogen interactions. Metabolites 2020, 10, 52. [Google Scholar] [CrossRef]
- Michéli, E.; Schad, P.; Spaargaren, O.; Dent, D.; Nachtergaele, F. World Reference Base for Soil Resources: A Framework for International Classification, Correlation and Communication; FAO: Rome, Italy, 2006. [Google Scholar]
- Song, Y.; Li, X.; Yao, S.; Yang, X.; Jiang, X. Correlations between soil metabolomics and bacterial community structures in the pepper rhizosphere under plastic greenhouse cultivation. Sci. Total Environ. 2020, 728, 138439. [Google Scholar] [CrossRef] [PubMed]
- Yeomans, J.C.; Bremner, J.M. A rapid and precise method for routine determination of organic carbon in soil. Commun. Soil Sci. Plant Anal. 1988, 19, 1467–1476. [Google Scholar] [CrossRef]
- Bremmer, J.; Mulvaney, C. Methods of Soil Analysis. Nitrogen-Total. Part 2. Chemical and Microbiollogical Properties; American Society of Agronomy Inc.: Madison, WI, USA, 1982; pp. 295–624. [Google Scholar]
- Hedlund, A.; Witter, E.; An, B.X. Assessment of N, P and K management by nutrient balances and flows on peri-urban smallholder farms in southern Vietnam. Eur. J. Agron. 2003, 20, 71–87. [Google Scholar] [CrossRef]
- Callahan, B.J.; McMurdie, P.J.; Rosen, M.J.; Han, A.W.; Johnson, A.J.A.; Holmes, S.P. DADA2: High-resolution sample inference from Illumina amplicon data. Nat. Methods 2016, 13, 581–583. [Google Scholar] [CrossRef]
- Edgar, R.C. UPARSE: Highly accurate OTU sequences from microbial amplicon reads. Nat. Methods 2013, 10, 996–998. [Google Scholar] [CrossRef]
- Gondal, A.H.; Hussain, I.; Ijaz, A.B.; Zafar, A.; Ch, B.I.; Zafar, H.; Sohail, M.D.; Niazi, H.; Touseef, M.; Khan, A.A. Influence of soil pH and microbes on mineral solubility and plant nutrition: A review. Int. J. Agric. Biol. Sci. 2021, 5, 71–81. [Google Scholar]
- Lv, H.; He, P.; Zhao, S. Optimized nitrogen fertilization promoted soil organic carbon accumulation by increasing microbial necromass carbon in Potato continuous cropping field. Agronomy 2024, 14, 307. [Google Scholar] [CrossRef]
- Yang, T.; Siddique, K.H.; Liu, K. Cropping systems in agriculture and their impact on soil health—A review. Glob. Ecol. Conserv. 2020, 23, e01118. [Google Scholar] [CrossRef]
- Liu, Z.; Zhuang, J.; Zheng, K.; Luo, C. Differential response of the soil nutrients, soil bacterial community structure and metabolic functions to different risk areas in Lead-Zine tailings. Front. Microbiol. 2023, 14, 1131770. [Google Scholar] [CrossRef]
- Zhou, X.; Chen, X.; Qi, X.; Zeng, Y.; Guo, X.; Zhuang, G.; Ma, A. Soil bacterial communities associated with multi-nutrient cycling under long-term warming in the alpine meadow. Front. Microbiol. 2023, 14, 1136187. [Google Scholar] [CrossRef] [PubMed]
- Zhao, X.; Elcin, E.; He, L.; Vithanage, M.; Zhang, X.; Wang, J.; Wang, S.; Deng, Y.; Niazi, N.K.; Shaheen, S.M.; et al. Using biochar for the treatment of continuous cropping obstacle of herbal remedies: A review. Appl. Soil Ecol. 2023, 193, 105127. [Google Scholar] [CrossRef]
- Bennett, J.A.; Klironomos, J. Mechanisms of plant–soil feedback: Interactions among biotic and abiotic drivers. New Phytol. 2019, 222, 91–96. [Google Scholar] [CrossRef]
- Cheng, H.; Yuan, M.; Tang, L.; Shen, Y.; Yu, Q.; Li, S. Integrated microbiology and metabolomics analysis reveal responses of soil microorganisms and metabolic functions to phosphorus fertilizer on semiarid farm. Sci. Total Environ. 2022, 817, 152878. [Google Scholar] [CrossRef] [PubMed]
- Zheng, J.; Chen, J.; Pan, G.; Liu, X.; Zhang, X.; Li, L.; Bian, R.; Cheng, K.; Jinwei, Z. Biochar decreased microbial metabolic quotient and shifted community composition four years after a single incorporation in a slightly acid rice paddy from southwest China. Sci. Total Environ. 2016, 571, 206–217. [Google Scholar] [CrossRef]
- Cheng, N.; Peng, Y.; Kong, Y.; Li, J.; Sun, C. Combined effects of biochar addition and nitrogen fertilizer reduction on the rhizosphere metabolomics of maize (Zea mays L.) seedlings. Plant Soil 2018, 433, 19–35. [Google Scholar] [CrossRef]
Disclaimer/Publisher’s Note: The statements, opinions and data contained in all publications are solely those of the individual author(s) and contributor(s) and not of MDPI and/or the editor(s). MDPI and/or the editor(s) disclaim responsibility for any injury to people or property resulting from any ideas, methods, instructions or products referred to in the content. |
© 2024 by the authors. Licensee MDPI, Basel, Switzerland. This article is an open access article distributed under the terms and conditions of the Creative Commons Attribution (CC BY) license (https://creativecommons.org/licenses/by/4.0/).