Correlation Analysis of Riparian Plant Communities with Soil Ions in the Upper, Middle, and Lower Reaches of Heihe River Midstream in China
Abstract
1. Introduction
2. Materials and Methods
2.1. Study Area Description
2.2. Sample Site Selection and Vegetation Survey
2.3. Soil Sampling and Physicochemical Properties Determination
2.4. Data Analysis
3. Results
3.1. Differences in Plant Diversity and Community Composition among Different Reaches of the Heihe River Midstream
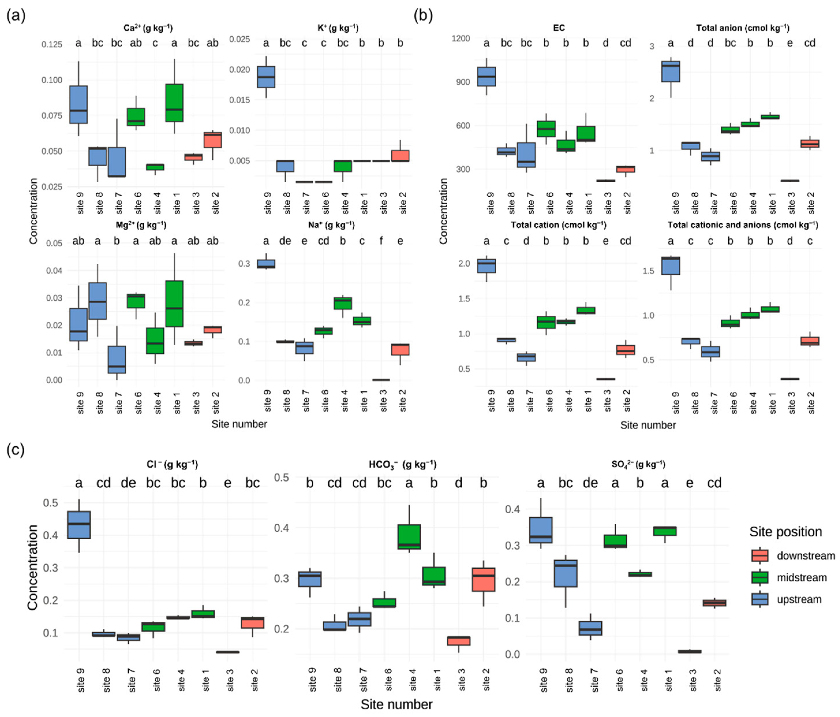
3.2. Differences in Soil Nutrient and Ion Concentrations and Physicochemical Properties among Different Locations in the Heihe River Basin
3.3. Relationships between Soil Characteristic Ions and Plant Community Composition in the Heihe River Basin
4. Discussion
5. Conclusions
Supplementary Materials
Author Contributions
Funding
Data Availability Statement
Conflicts of Interest
References
- Cole, L.J.; Stockan, J.; Helliwell, R. Managing riparian buffer strips to optimise ecosystem services: A review. Agric. Ecosyst. Environ. 2020, 296, 106891. [Google Scholar] [CrossRef]
- Stutter, M.; Baggaley, N.; Wang, C. The utility of spatial data to delineate river riparian functions and management zones: A review. Sci. Total Environ. 2021, 757, 143982. [Google Scholar] [CrossRef]
- Janssen, P.; Couloigner, C.; Piégay, H.; Evette, A. The accumulation of anthropogenic stressors induces a progressive shift in the ecological preferences and morphological traits shared by riparian plant communities. Freshw. Biol. 2023, 68, 1981–1994. [Google Scholar] [CrossRef]
- Breton, V.; Girel, J.; Janssen, P. Long-term changes in the riparian vegetation of a large, highly anthropized river: Towards less hygrophilous and more competitive communities. Ecol. Indic. 2023, 155, 111015. [Google Scholar] [CrossRef]
- Fijani, E.; Meysami, S. Assessment of hydrochemical characteristics and groundwater suitability for drinking and irrigation purposes in Garmsar Plain, Iran. Geopersia 2023, 13, 83–102. [Google Scholar]
- Abugu, H.O.; Egbueri, J.C.; Agbasi, J.C.; Ezugwu, A.L.; Omeka, M.E.; Ucheana, I.A.; Aralu, C.C. Hydrochemical characterization of ground and surface water for irrigation application in nigeria: A review of progress. Chem. Afr. 2024, 7, 3011–3036. [Google Scholar] [CrossRef]
- Arunrat, N.; Sansupa, C.; Sereenonchai, S.; Hatano, R.; Lal, R. Fire-Induced Changes in Soil Properties and Bacterial Communities in Rotational Shifting Cultivation Fields in Northern Thailand. Biology 2024, 13, 383. [Google Scholar] [CrossRef] [PubMed]
- Yang, M.; Zhou, D.; Hang, H.; Chen, S.; Liu, H.; Su, J.; Lv, H.; Jia, H.; Zhao, G. Effects of balancing exchangeable cations Ca, Mg, and K on the growth of tomato seedlings (Solanum lycopersicum L.) based on increased soil cation exchange capacity. Agronomy 2024, 14, 629. [Google Scholar] [CrossRef]
- Wang, A.; Zhang, Y.; Wang, G.; Zhang, Z. Soil physicochemical properties and microorganisms jointly regulate the variations of soil carbon and nitrogen cycles along vegetation restoration on the Loess Plateau, China. Plant Soil 2024, 494, 413–436. [Google Scholar] [CrossRef]
- Zhao, Q.; Ding, S.; Liu, Q.; Wang, S.; Jing, Y.; Lu, M. Vegetation influences soil properties along riparian zones of the Beijiang River in Southern China. PeerJ 2020, 8, e9699. [Google Scholar] [CrossRef]
- Cheng, G.; Li, X.; Zhao, W.; Xu, Z.; Feng, Q.; Xiao, S.; Xiao, H. Integrated study of the water–ecosystem–economy in the Heihe River Basin. Natl. Sci. Rev. 2014, 1, 413–428. [Google Scholar] [CrossRef]
- Li, X.; Lu, L.; Cheng, G.; Xiao, H. Quantifying landscape structure of the Heihe River Basin, north-west China using FRAGSTATS. J. Arid. Environ. 2001, 48, 521–535. [Google Scholar] [CrossRef]
- Wang, C.; Jiang, Q.O.; Shao, Y.; Sun, S.; Xiao, L.; Guo, J. Ecological environment assessment based on land use simulation: A case study in the Heihe River Basin. Sci. Total Environ. 2019, 697, 133928. [Google Scholar] [CrossRef]
- Ding, J.; Zhao, W.; Daryanto, S.; Wang, L.; Fan, H.; Feng, Q.; Wang, Y. The spatial distribution and temporal variation of desert riparian forests and their influencing factors in the downstream Heihe River basin, China. Hydrol. Earth Syst. Sci. 2017, 21, 2405–2419. [Google Scholar] [CrossRef]
- Wu, Y.; Han, Z.; Meng, J.; Zhu, L. Circuit theory-based ecological security pattern could promote ecological protection in the Heihe River Basin of China. Environ. Sci. Pollut. Res. 2023, 30, 27340–27356. [Google Scholar] [CrossRef]
- Jiang, S.; Meng, J.; Zhu, L. Spatial and temporal analyses of potential land use conflict under the constraints of water resources in the middle reaches of the Heihe River. Land Use Policy 2020, 97, 104773. [Google Scholar] [CrossRef]
- Brach, A.R.; Song, H. eFloras: New directions for online floras exemplified by the Flora of China Project. Taxon 2006, 55, 188–192. [Google Scholar] [CrossRef]
- Li, J. Flora of China. Harv. Pap. Bot. 2007, 13, 301–302. [Google Scholar] [CrossRef]
- Jobbagy, E.G.; Jackson, R.B. The distribution of soil nutrients with depth: Global patterns and the imprint of plants. Biogeochemistry 2001, 53, 51–77. [Google Scholar] [CrossRef]
- Yang, Y.; Wang, H.; Li, C.; Liu, H.; Fang, X.; Wu, M.; Lv, J. Identification of the soil physicochemical and bacterial indicators for soil organic carbon and nitrogen transformation under the wheat straw returning. PLoS ONE 2024, 19, e0299054. [Google Scholar] [CrossRef]
- Oksanen, J.; Kindt, R.; Legendre, P.; O’Hara, B.; Stevens, M.H.H.; Oksanen, M.J.; Suggests, M. The vegan package. Community Ecol. Package 2007, 10, 631–637. [Google Scholar]
- Cleophas, T.J.; Zwinderman, A.H.; Cleophas, T.J.; Zwinderman, A.H. Bayesian Pearson correlation analysis. In Modern Bayesian Statistics in Clinical Research; Springer: Cham, Switzerland, 2018; pp. 111–118. [Google Scholar]
- de Micheaux, P.L.; Drouilhet, R.; Liquet, B. The R software. In Fundamentals of Programming and Statistical Analysis; Springer: New York, NY, USA, 2013; pp. 971–978. [Google Scholar]
- Dixon, P. VEGAN, a package of R functions for community ecology. J. Veg. Sci. 2003, 14, 927–930. [Google Scholar] [CrossRef]
- Villanueva, R.A.M.; Chen, Z.J. ggplot2: Elegant graphics for data analysis. Meas. Interdiscip. Res. Perspect. 2019, 17, 160–167. [Google Scholar] [CrossRef]
- Liu, Q.; Niu, J.; Wood, J.D.; Kang, S. Spatial optimization of cropping pattern in the upper-middle reaches of the Heihe River basin, Northwest China. Agric. Water Manag. 2022, 264, 107479. [Google Scholar] [CrossRef]
- Han, M. Mutual Interactions between Geomorphology and Riparian Vegetation along Four Anabranching Reaches of the Upper Yellow River. Ph.D. Thesis, The University of Auckland, Auckland, New Zealand, 2020. [Google Scholar]
- Khurram, D.; Tang, Q.; Bao, Y.; He, X.; Li, J. Flow regulation controls sediment, carbon, and nutrient dynamics across the elevation gradient in the water level fluctuation zone of the Three Gorges Reservoir, China. J. Soils Sediments 2023, 23, 3201–3218. [Google Scholar] [CrossRef]
- Zhang, D.; Heng, W.; Chu, L.; Xu, D.; Kang, B.; Yan, Y. Taxonomic and functional diversity in a subtropical stream: A longitudinal pattern analysis. Ecol. Freshw. Fish 2020, 29, 752–763. [Google Scholar] [CrossRef]
- Wang, Y.; Li, B.-L.; Zhu, J.-L.; Feng, Q.; Liu, W.; He, Y.-H.; Wang, X. Assessment of heavy metals in surface water, sediment and macrozoobenthos in inland rivers: A case study of the Heihe River, Northwest China. Environ. Sci. Pollut. Res. 2022, 29, 35253–35268. [Google Scholar] [CrossRef] [PubMed]
- Wang, Y.; Liu, J.-J.; Liu, W.; Feng, Q.; Li, B.-L.; Lu, H.; Wang, S. Spatial variation in macrobenthic assemblages and their relationship with environmental factors in the upstream and midstream regions of the Heihe River Basin, China. Environ. Monit. Assess. 2021, 193, 1–22. [Google Scholar] [CrossRef]
- Wang, Y.; Liu, J.-J.; Li, B.-L.; Liu, W.; Zuo, Y.-F.; Kong, D.-X.; Zhu, J.-L. Relationships between characteristics of macrobenthic assemblages and environmental variables in the Heihe River Basin, China. AQUA Water Infrastruct. Ecosyst. Soc. 2021, 70, 710–730. [Google Scholar] [CrossRef]
- Liu, X.-H.; Zhang, Q.-Q.; Zhang, G.-P.; Li, H. Analysis of spatial distribution and influencing factors of plant communities in the lower reaches of Tarim river. J. Agric. Sci. Technol. 2021, 23, 131–144. [Google Scholar]
- Coles, Z.S.; Lall, N. Sustainable production of aquatic and wetland plants. In Aquatic Plants; CRC Press: Boca Raton, FL, USA, 2020; pp. 291–329. [Google Scholar]
- Wolski, K.; Tymiński, T. Studies on the threshold density of Phragmites australis plant concentration as a factor of hydraulic interactions in the riverbed. Ecol. Eng. 2020, 151, 105822. [Google Scholar] [CrossRef]
- Husby, C.E.; Delatorre, J.; Oreste, V.; Oberbauer, S.F.; Palow, D.T.; Novara, L.; Grau, A. Salinity tolerance ecophysiology of Equisetum giganteum in South America: A study of 11 sites providing a natural gradient of salinity stress. AoB Plants 2011, 2011, plr022. [Google Scholar] [CrossRef] [PubMed]
- Wei, L.; Zongjie, L.; Lingling, S. The evolution of hydrochemistry at a cold alpine basin in the Qilian Mountains. Arab. J. Geosci. 2016, 9, 306. [Google Scholar] [CrossRef]
- Gaofeng, Z.; Yonghong, S.; Chunlin, H.; Qi, F.; Zhiguang, L. Hydrogeochemical processes in the groundwater environment of Heihe River Basin, northwest China. Environ. Earth Sci. 2010, 60, 139–153. [Google Scholar] [CrossRef]
- Zhao, Y.; Feng, Q.; Lu, A.; Deo, R.C. Assessment of soil salinisation in the Ejina Oasis located in the lower reaches of Heihe River, Northwestern China. Chem. Ecol. 2019, 35, 330–343. [Google Scholar] [CrossRef]
- Zhao, Y.; Feng, Q.; Yang, H. Soil salinity distribution and its relationship with soil particle size in the lower reaches of Heihe River, Northwestern China. Environ. Earth Sci. 2016, 75, 1–18. [Google Scholar] [CrossRef]
- Wang, Y.; Li, J.; Qian, K.; Ye, M. Response of plant species diversity to flood irrigation in the Tarim River Basin, Northwest China. Sustainability 2023, 15, 1243. [Google Scholar] [CrossRef]
- Yang, H.; Xia, J.; Cui, Q.; Liu, J.; Wei, S.; Feng, L.; Dong, K. Effects of different Tamarix chinensis-grass patterns on the soil quality of coastal saline soil in the Yellow River Delta, China. Sci. Total Environ. 2021, 772, 145501. [Google Scholar] [CrossRef]
- Li, Z.; Peng, D.; Zhang, X.; Peng, Y.; Chen, M.; Ma, X.; Huang, L.; Yan, Y. Na+ induces the tolerance to water stress in white clover associated with osmotic adjustment and aquaporins-mediated water transport and balance in root and leaf. Environ. Exp. Bot. 2017, 144, 11–24. [Google Scholar] [CrossRef]
- Xie, E.; Wei, X.; Ding, A.; Zheng, L.; Wu, X.; Anderson, B. Short-term effects of salt stress on the amino acids of Phragmites australis root exudates in constructed wetlands. Water 2020, 12, 569. [Google Scholar] [CrossRef]
- Xia, F.; Hao, H.; Qi, Y.; Bai, H.; Li, H.; Shi, Z.; Shi, L. Effect of salt stress on microbiome structure and diversity in chamomile (Matricaria chamomilla L.) rhizosphere soil. Agronomy 2023, 13, 1444. [Google Scholar] [CrossRef]
- Yan, G.; Shi, Y.; Chen, F.; Mu, C.; Wang, J. Physiological and metabolic responses of Leymus chinensis seedlings to alkali stress. Plants 2022, 11, 1494. [Google Scholar] [CrossRef] [PubMed]
- Tong, S.; Cao, G.; Zhang, Z.; Zhang, J. The spatial variation and driving factors of soil total carbon and nitrogen in the Heihe River source region. Environ. Monit. Assess. 2023, 195, 724. [Google Scholar] [CrossRef]
- Yu, L.; Dong, H.; Li, Z.; Han, Z.; Korpelainen, H.; Li, C. Species-specific responses to drought, salinity and their interactions in Populus euphratica and P. pruinosa seedlings. J. Plant Ecol. 2020, 13, 563–573. [Google Scholar] [CrossRef]
- Zou, H.; Wang, W.; Huang, J.; Li, X.; Ma, M.; Wu, S.; Zhao, C. Soil nitrogen and flooding intensity determine the trade-off between leaf and root traits of riparian plant species. Plants 2024, 13, 978. [Google Scholar] [CrossRef] [PubMed]






| Site Position | Site Number | Richness | Menhinick Index | Margalef Index | Shannon–Wiener Index | Simpson’s Index of Diversity | Pielou Evenness Index |
|---|---|---|---|---|---|---|---|
| Upstream | Site 7 | 8.00 | 0.18 | 0.82 | 1.52 | 0.73 | 0.73 |
| Site 8 | 7.00 | 0.47 | 0.99 | 1.33 | 0.62 | 0.69 | |
| Site 9 | 5.00 | 0.11 | 0.53 | 0.98 | 0.57 | 0.61 | |
| Midstream | Site 1 | 13.00 | 0.28 | 1.47 | 1.52 | 0.69 | 0.59 |
| Site 4 | 4.00 | 0.58 | 0.77 | 1.24 | 0.69 | 0.89 | |
| Site 6 | 4.00 | 0.22 | 0.52 | 0.64 | 0.42 | 0.46 | |
| Downstream | Site 2 | 11.00 | 0.27 | 1.24 | 1.94 | 0.82 | 0.81 |
| Site 3 | 10.00 | 0.24 | 1.10 | 2.12 | 0.87 | 0.92 |
Disclaimer/Publisher’s Note: The statements, opinions and data contained in all publications are solely those of the individual author(s) and contributor(s) and not of MDPI and/or the editor(s). MDPI and/or the editor(s) disclaim responsibility for any injury to people or property resulting from any ideas, methods, instructions or products referred to in the content. |
© 2024 by the authors. Licensee MDPI, Basel, Switzerland. This article is an open access article distributed under the terms and conditions of the Creative Commons Attribution (CC BY) license (https://creativecommons.org/licenses/by/4.0/).
Share and Cite
Wang, Z.; Chen, G.; Li, J.; Jiao, J. Correlation Analysis of Riparian Plant Communities with Soil Ions in the Upper, Middle, and Lower Reaches of Heihe River Midstream in China. Agronomy 2024, 14, 1868. https://doi.org/10.3390/agronomy14081868
Wang Z, Chen G, Li J, Jiao J. Correlation Analysis of Riparian Plant Communities with Soil Ions in the Upper, Middle, and Lower Reaches of Heihe River Midstream in China. Agronomy. 2024; 14(8):1868. https://doi.org/10.3390/agronomy14081868
Chicago/Turabian StyleWang, Zhikai, Guopeng Chen, Jie Li, and Jian Jiao. 2024. "Correlation Analysis of Riparian Plant Communities with Soil Ions in the Upper, Middle, and Lower Reaches of Heihe River Midstream in China" Agronomy 14, no. 8: 1868. https://doi.org/10.3390/agronomy14081868
APA StyleWang, Z., Chen, G., Li, J., & Jiao, J. (2024). Correlation Analysis of Riparian Plant Communities with Soil Ions in the Upper, Middle, and Lower Reaches of Heihe River Midstream in China. Agronomy, 14(8), 1868. https://doi.org/10.3390/agronomy14081868

