Numerical Simulation and Validation of Droplet Deposition on Tomato Leaf Surface under Air-Assisted Spraying
Abstract
1. Introduction
2. Materials and Methods
2.1. Determination of Tomato Leaf Parameters
2.1.1. Leaf Size
2.1.2. Measurement of Mechanical Properties of Tomato Leaves
2.1.3. Surface Roughness Measurement of Tomato Leaf
2.2. Geometric Modeling and Simulation Parameters
2.2.1. Geometric Modeling
2.2.2. Simulation Parameter Setting
2.3. Experimental Validation
2.3.1. Verification of Leaf Deformation
2.3.2. Leaf Surface Deposition Validation
2.4. CFD Analysis Methods
2.4.1. Deposition Volume Analysis
2.4.2. Sediment Distribution Analysis
3. Results and Discussion
3.1. ANOVA Results
3.2. Effect of Factors on the Distribution of Deposits on the Surface of the Leaf
3.2.1. Effect of Airflow Velocity on the Leaf Surface Deposition Distribution
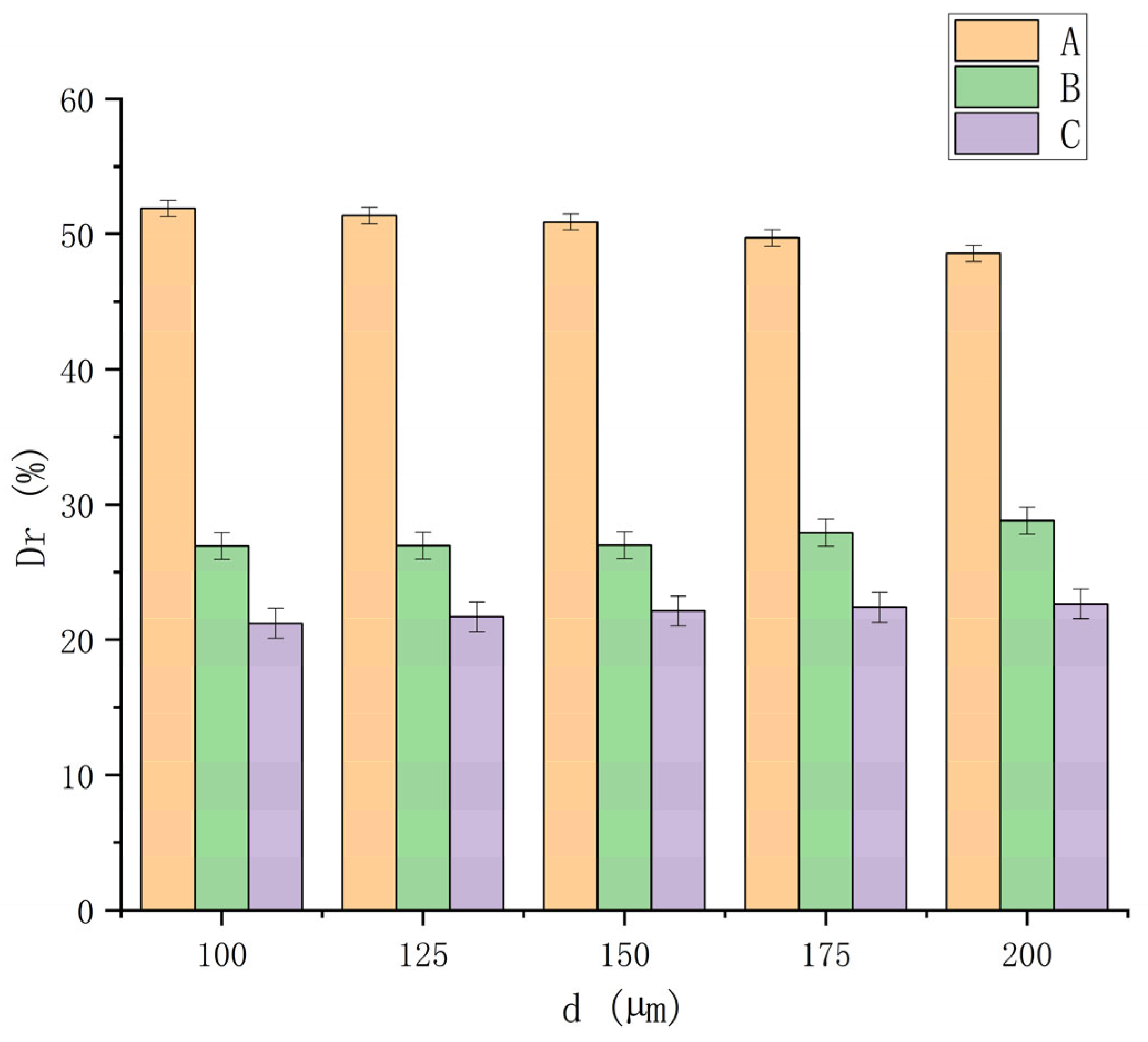
3.2.2. Effect of Droplet Particle Size on Leaf Surface Deposition Distribution
3.2.3. Effect of Initial Lobe Inclination on Sediment Distribution
4. Conclusions
Author Contributions
Funding
Data Availability Statement
Conflicts of Interest
References
- Zhai, C.Y.; Zhao, C.J.; Ning, W.; John, L.; Wang, X.; Paul, W.; Zhang, H.H. Research progress on precision control methods of air-assisted spraying in orchards. Chin. Soc. Agric. Eng. 2018, 34, 1–15. (In Chinese) [Google Scholar] [CrossRef]
- Liu, X.M.; Liu, X.H.; Cui, H.Y.; Yuan, J. Research Progress and Trend Analysis of Crop Canopy Droplet Deposition. Trans. Chin. Soc. Agric. Mach. 2021, 52, 1–20. (In Chinese) [Google Scholar] [CrossRef]
- Zwertuaegher, I.K.; Verhaeghe, M.; Brusselman, E.; Verboven, P.; Lebeau, F.; Massinon, M.; Nicolai, B.M.; Nuyttens, D. The impact and retention of spray droplets on a horizontal hydrophobic surface. Biosyst. Eng. 2014, 126, 82–91. [Google Scholar] [CrossRef]
- Li, J.; Cui, H.; Ma, Y.; Xun, L.; Li, Z.; Yang, Z.; Lu, H. Orchard Spray Study: A Prediction Model of Droplet Deposition States on Leaf Surfaces. Agronomy 2020, 10, 747. [Google Scholar] [CrossRef]
- Zhang, C.; Zhou, H.; Xu, L.; Ru, Y.; Ju, H.; Chen, Q. Measurement of morphological changes of pear leaves in airflow based on high-speed photography. Front. Plant Sci. 2022, 13, 900427. [Google Scholar] [CrossRef] [PubMed]
- Wu, S.; Liu, J.; Wang, J.; Hao, D.; Wang, R. The Motion of Strawberry Leaves in an Air-Assisted Spray Field and its Influence on Droplet Deposition. Trans. ASABE 2021, 64, 83–93. [Google Scholar] [CrossRef]
- Li, J.; Li, Z.; Ma, Y.; Cui, H.; Yang, Z.; Lu, H. Effects of leaf response velocity on spray deposition with an air-assisted orchard sprayer. Int. J. Agric. Biol. Eng. 2021, 14, 123–132. [Google Scholar] [CrossRef]
- Lee, I.-B.; Bitog, J.P.P.; Hong, S.-W.; Seo, I.-H.; Kwon, K.-S.; Bartzanas, T.; Kacira, M. The past, present and future of CFD for agro-environmental applications. Comput. Electron. Agric. 2013, 93, 168–183. [Google Scholar] [CrossRef]
- Delele, M.A.; Jaeken, P.; Debaer, C.; Baetens, K.; Endalew, A.M.; Ramon, H.; Nicolai, B.M.; Verboven, P. CFD prototyping of an air-assisted orchard sprayer aimed at drift reduction. Comput. Electron. Agric. 2007, 55, 16–27. [Google Scholar] [CrossRef]
- Qiu, W.; Guo, H.; Zheng, H.; Cao, Y.; Lv, X.; Fang, J.; Zhai, C.; Yu, H. CFD modelling to analyze the droplets deposition behavior on vibrating rice leaves. Comput. Electron. Agric. 2022, 201, 107330. [Google Scholar] [CrossRef]
- Cao, Y.; Xi, T.; Xu, L.; Qiu, W.; Guo, H.; Lv, X.; Li, C. Computational fluid dynamics simulation experimental verification and analysis of droplets deposition behaviour on vibrating pear leaves. Plant Methods 2022, 18, 80. [Google Scholar] [CrossRef] [PubMed]
- Endalew, A.M.; Debaer, C.; Rutten, N.; Vercammen, J.; Delele, M.A.; Ramon, H.; Nicolaï, B.M.; Verboven, P. Modelling pesticide flow and deposition from air-assisted orchard spraying in orchards: A new integrated CFD approach. Agric. For. Meteorol. 2010, 150, 1383–1392. [Google Scholar] [CrossRef]
- Salcedo, R.; Vallet, A.; Granell, R.; Garcera, C.; Molto, E.; Chueca, P. Eulerian-Lagrangian model of the behaviour of droplets produced by an air-assisted sprayer in a citrus orchard. Biosyst. Eng. 2017, 154, 76–91. [Google Scholar] [CrossRef]
- Hong, S.-W.; Zhao, L.; Zhu, H. CFD simulation of airflow inside tree canopies discharged from air-assisted sprayers. Comput. Electron. Agric. 2018, 149, 121–132. [Google Scholar] [CrossRef]
- Liu, X.H.; Yuan, J.; Li, Y.; Suo, J.Z.; Liu, X.M. Deformation modelling of cotton leaf under assisted airflow using bidirectional fluid-structure coupling method. Chin. Soc. Agric. Eng. 2021, 37, 68–76. (In Chinese) [Google Scholar] [CrossRef]
- Yan, C.; Niu, C.; Ma, S.; Tan, H.; Xu, L. CFD models as a tool to analyze the deformation behavior of grape leaves under an air-assisted sprayer. Comput. Electron. Agric. 2022, 198, 107112. [Google Scholar] [CrossRef]
- Cui, H.; Wang, C.; Liu, X.; Yuan, J.; Liu, Y. Dynamic simulation of fluid-structure interactions between leaves and airflow during air-assisted spraying: A case study of cotton. Comput. Electron. Agric. 2023, 209, 107817. [Google Scholar] [CrossRef]
- Chen, C.; Li, S.; Wu, X.; Wang, Y.; Kang, F. Analysis of droplet size uniformity and selection of spray parameters based on the biological optimum particle size theory. Environ. Res. 2022, 204, 112076. [Google Scholar] [CrossRef] [PubMed]
- Lan, Y.; Qian, S.; Chen, S.; Zhao, Y.; Deng, X.; Wang, G.; Zang, Y.; Wang, J.; Qiu, X. Influence of the Downwash Wind Field of Plant Protection UAV on Droplet Deposition Distribution Characteristics at Different Flight Heights. Agronomy 2021, 11, 2399. [Google Scholar] [CrossRef]
- Qiao, B.; Liu, Y.; He, X.; Wang, L.; Han, H.; Zhang, L.; Qi, P.; Liu, L.; Han, L.; Xu, S.; et al. Modeling and analysis of droplet deposition behavior: From the micro and macro perspectives. Comput. Electron. Agric. 2023, 210, 107896. [Google Scholar] [CrossRef]
- Wang, S.; Ren, L.; Liu, Y.; Han, Z.; Yang, Y. Mechanical Characteristics of Typical Plant Leaves. J. Bionic. Eng. 2010, 7, 294–300. [Google Scholar] [CrossRef]
- Kawai, K.; Okada, N.; Watling, J. How are leaf mechanical properties and water-use traits coordinated by vein traits? A case study in Fagaceae. Funct. Ecol. 2015, 30, 527–536. [Google Scholar] [CrossRef]
- Ma, L.F.; Li, L.Z. The topology optimization simulation study on the process of natural selection of leaf veins. Chin. J. Appl. Mech. 2014, 31, 132–136. (In Chinese) [Google Scholar] [CrossRef]
- Liu, Z.; Yang, P.J.; Fadiji, T.; Li, Z.; Ni, J. Biomechanical response of the above-ground organs in tomato seedling at different age levels under wind-flow disturbance. Sci. Hortic. 2023, 312, 111835. [Google Scholar] [CrossRef]
- GB/T34171—2017; Test Method for Flexural Property of Thin and Ultrathinglass—Three-Point Bending Method. China National Standard: Beijing, China, 2017. (In Chinese)
- Appah, S.; Jia, W.; Ou, M.; Wang, P.; Asante, E.A. Analysis of potential impaction and phytotoxicity of surfactant-plant surface interaction in pesticide application. Crop. Prot. 2020, 127, 104961. [Google Scholar] [CrossRef]
- Ma, J.; Liu, K.; Dong, X.; Chen, C.; Qiu, B.; Zhang, S. Effects of Leaf Surface Roughness and Contact Angle on In Vivo Measurement of Droplet Retention. Agronomy 2022, 12, 2228. [Google Scholar] [CrossRef]
- Shi, Q.; Mao, H.; Guan, X. Numerical Simulation and Experimental Verification of the Deposition Concentration of an Unmanned Aerial Vehicle. Appl. Eng. Agric. 2019, 35, 367–376. [Google Scholar] [CrossRef]
- Dai, F.F. Selection and calculation of the blowing rate of air-assisted sprayers. Plant Prot. 2008, 34, 124–127. [Google Scholar]
- Ma, J.; Liu, K.; Dong, X.; Huang, X.; Ahmad, F.; Qiu, B. Force and motion behaviour of crop leaves during spraying. Biosyst. Eng. 2023, 235, 83–99. [Google Scholar] [CrossRef]
- Shivalika, S. Video Based Analysis Using Tracker Software for Solving Problems in Mechanics. Resonance 2022, 27, 1645–1660. [Google Scholar]
- Martin, T.N.; Fipke, G.M.; Minussi Winck, J.E.; Márchese, J.A. ImageJ software as an alternative method for estimating leaf area in oats [Software ImageJ como método alternativo para estimar área foliar en avena]. Acta Agronómica 2020, 69, 162–169. [Google Scholar] [CrossRef]
- Wang, Z.; Zheng, C.; Li, T.; He, X. Analysing the preference for pesticide spray to be deposited at leaf-tips. Biosyst. Eng. 2021, 204, 247–256. [Google Scholar] [CrossRef]















| Levels | Considerations | ||
|---|---|---|---|
| Airflow Velocity (m·s−1) | Droplet Size (µm) | Initial Leaf Inclination Angle (°) | |
| 1 | 2 | 100 | 15 |
| 2 | 3 | 125 | 30 |
| 3 | 4 | 150 | 45 |
| 4 | 5 | 175 | 60 |
| 5 | 6 | 200 | 75 |
| No. | Initial Leaf Inclination Angle (°) | Airflow Velocity (m·s−1) | Petiole Tip (mm) | Leaf Centroid (mm) | Leaf Tip (mm) | Error Extremum (%) |
|---|---|---|---|---|---|---|
| Verification /Simulation | Verification /Simulation | Verification /Simulation | ||||
| 1 | 15 | 2 | 2.59/2.65 | 46.34/48.56 | 81.79/87.34 | 6.79 |
| 2 | 30 | 5 | 9.67/10.02 | 70.84/75.41 | 119.29/129.53 | 7.95 |
| 3 | 45 | 6 | 12.44/12.89 | 62.26/64.89 | 113.33/123.27 | 8.77 |
| 4 | 60 | 3 | 6.63/6.28 | 52.79/50.37 | 96.46/93.49 | 4.80 |
| 5 | 75 | 4 | 7.62/7.46 | 89.38/84.49 | 48.03/46.17 | 5.12 |
| Spray Pressure (MPa) | Flow Rate (L·min−1) | VDM (μm) |
|---|---|---|
| 0.1 | 0.26 | 169.70 |
| 0.2 | 0.33 | 144.28 |
| 0.3 | 0.40 | 126.86 |
| 0.4 | 0.46 | 117.48 |
| 0.5 | 0.52 | 111.23 |
| No. | Air Velocity (m·s−1) | Spray Pressure (MPa) | Initial Leaf Inclination Angle (°) | Spray Time (s) |
|---|---|---|---|---|
| 1 | 2 | 0.5 | 45 | 1.5 |
| 2 | 3 | 0.4 | 30 | 1.2 |
| 3 | 4 | 0.3 | 15 | 1 |
| 4 | 5 | 0.2 | 60 | 0.9 |
| 5 | 6 | 0.1 | 75 | 0.8 |
| No. | Sedimentation (μL·cm−2) | Inaccuracies/% | |
|---|---|---|---|
| Verification | Simulation | ||
| 1 | 4.50 | 4.02 | 11.94 |
| 2 | 3.84 | 3.57 | 7.56 |
| 3 | 3.30 | 2.81 | 17.44 |
| 4 | 2.11 | 1.79 | 17.88 |
| 5 | 1.71 | 1.52 | 12.50 |
| No. | Air Velocity (m·s−1) | Droplet Size (µm) | Initial Leaf Inclination Angle (°) |
|---|---|---|---|
| 1 | 5 | 175 | 30 |
| 2 | 5 | 175 | 60 |
| 3 | 5 | 125 | 30 |
| 4 | 4 | 150 | 75 |
| 5 | 3 | 125 | 30 |
| 6 | 4 | 150 | 45 |
| 7 | 4 | 100 | 45 |
| 8 | 3 | 125 | 60 |
| 9 | 4 | 150 | 45 |
| 10 | 6 | 150 | 45 |
| 11 | 4 | 150 | 45 |
| 12 | 4 | 150 | 45 |
| 13 | 3 | 175 | 30 |
| 14 | 4 | 150 | 15 |
| 15 | 3 | 175 | 60 |
| 16 | 4 | 200 | 45 |
| 17 | 5 | 125 | 60 |
| 18 | 4 | 150 | 45 |
| 19 | 2 | 150 | 45 |
| 20 | 4 | 150 | 45 |
| No. | Air Velocity (m·s−1) | Droplet Size (µm) | Initial Leaf Inclination Angle (°) |
|---|---|---|---|
| 1 | 2 | 150 | 45 |
| 2 | 3 | 150 | 45 |
| 3 | 4 | 150 | 45 |
| 4 | 5 | 150 | 45 |
| 5 | 6 | 150 | 45 |
| 6 | 4 | 100 | 45 |
| 7 | 4 | 125 | 45 |
| 8 | 4 | 175 | 45 |
| 9 | 4 | 200 | 45 |
| 10 | 4 | 150 | 15 |
| 11 | 4 | 150 | 30 |
| 12 | 4 | 150 | 60 |
| 13 | 4 | 150 | 75 |
| Variation Source | Sum of Square | Degree of Freedom | F Value | p Value |
|---|---|---|---|---|
| Model | 6.730 | 9 | 354.940 | <0.001 ** |
| v | 5.750 | 1 | 2727.180 | <0.001 ** |
| d | 0.098 | 1 | 46.330 | <0.001 ** |
| β | 0.668 | 1 | 317.080 | <0.001 ** |
| vd | 0.002 | 1 | 1.000 | 0.340 |
| vβ | 0.019 | 1 | 9.020 | 0.013 * |
| dβ | 0.003 | 1 | 0.148 | 0.708 |
| v2 | 0.121 | 1 | 57.510 | <0.001 ** |
| d2 | 0.032 | 1 | 15.090 | 0.003 * |
| β2 | 0.015 | 1 | 7.120 | 0.024 * |
| Residual | 0.021 | 10 | ||
| Lack of fit | 0.015 | 5 | 2.320 | 0.189 |
| Pure error | 0.006 | 5 | ||
| Total value | 6.750 | 19 |
| Air Velocity (m·s−1) | Sedimentation (μL·cm−2) | ||
|---|---|---|---|
| A | B | C | |
| 2 | 4.45 | 4.87 | 4.36 |
| 3 | 4.23 | 2.79 | 2.43 |
| 4 | 3.95 | 2.09 | 1.72 |
| 5 | 3.03 | 1.54 | 1.22 |
| 6 | 2.59 | 1.28 | 1.01 |
| Droplet Size (µm) | Sedimentation (μL·cm−2) | ||
|---|---|---|---|
| A | B | C | |
| 100 | 3.90 | 2.02 | 1.60 |
| 125 | 3.94 | 2.07 | 1.67 |
| 150 | 3.95 | 2.09 | 1.72 |
| 175 | 3.98 | 2.23 | 1.79 |
| 200 | 4.09 | 2.43 | 1.91 |
| Initial Leaf Inclination Angle (°) | Sedimentation (μL·cm−2) | ||
|---|---|---|---|
| A | B | C | |
| 15 | 4.68 | 2.37 | 2.09 |
| 30 | 4.44 | 2.14 | 1.79 |
| 45 | 3.95 | 2.09 | 1.72 |
| 60 | 3.33 | 2.07 | 1.71 |
| 75 | 3.05 | 2.06 | 1.70 |
Disclaimer/Publisher’s Note: The statements, opinions and data contained in all publications are solely those of the individual author(s) and contributor(s) and not of MDPI and/or the editor(s). MDPI and/or the editor(s) disclaim responsibility for any injury to people or property resulting from any ideas, methods, instructions or products referred to in the content. |
© 2024 by the authors. Licensee MDPI, Basel, Switzerland. This article is an open access article distributed under the terms and conditions of the Creative Commons Attribution (CC BY) license (https://creativecommons.org/licenses/by/4.0/).
Share and Cite
Liu, Z.; Chen, J.; Guo, J.; Qiu, B. Numerical Simulation and Validation of Droplet Deposition on Tomato Leaf Surface under Air-Assisted Spraying. Agronomy 2024, 14, 1661. https://doi.org/10.3390/agronomy14081661
Liu Z, Chen J, Guo J, Qiu B. Numerical Simulation and Validation of Droplet Deposition on Tomato Leaf Surface under Air-Assisted Spraying. Agronomy. 2024; 14(8):1661. https://doi.org/10.3390/agronomy14081661
Chicago/Turabian StyleLiu, Ze, Jian Chen, Jili Guo, and Baijing Qiu. 2024. "Numerical Simulation and Validation of Droplet Deposition on Tomato Leaf Surface under Air-Assisted Spraying" Agronomy 14, no. 8: 1661. https://doi.org/10.3390/agronomy14081661
APA StyleLiu, Z., Chen, J., Guo, J., & Qiu, B. (2024). Numerical Simulation and Validation of Droplet Deposition on Tomato Leaf Surface under Air-Assisted Spraying. Agronomy, 14(8), 1661. https://doi.org/10.3390/agronomy14081661
