Comparative Transcriptomic Analysis Reveals Transcriptional Differences in the Response of Quinoa to Salt and Alkali Stress Responses
Abstract
1. Introduction
2. Materials and Methods
2.1. Plant Materials
2.2. RNA Extraction and Sequencing
2.3. Quantitative Real Time PCR Analysis
2.4. Statistical Analysis
3. Results
3.1. Phenotype and Growth Parameters
3.2. Evaluation and Bioinformatics Analysis of DEGs in Salt and Alkali Stress Treatments
3.3. Evaluation and Bioinformatics Analysis of Differentially Expressed Genes (DEGs) in Response to Salt Stress
3.4. Evaluation and Bioinformatics Analysis of Differentially Expressed Genes (DEGs) in Response to Alkali Stress
3.5. Evaluation and Bioinformatics Analysis of DEGs Response to Salt and Alkali Stress
3.6. PPI Analysis of DEGs Response to Salt and Alkali Stress
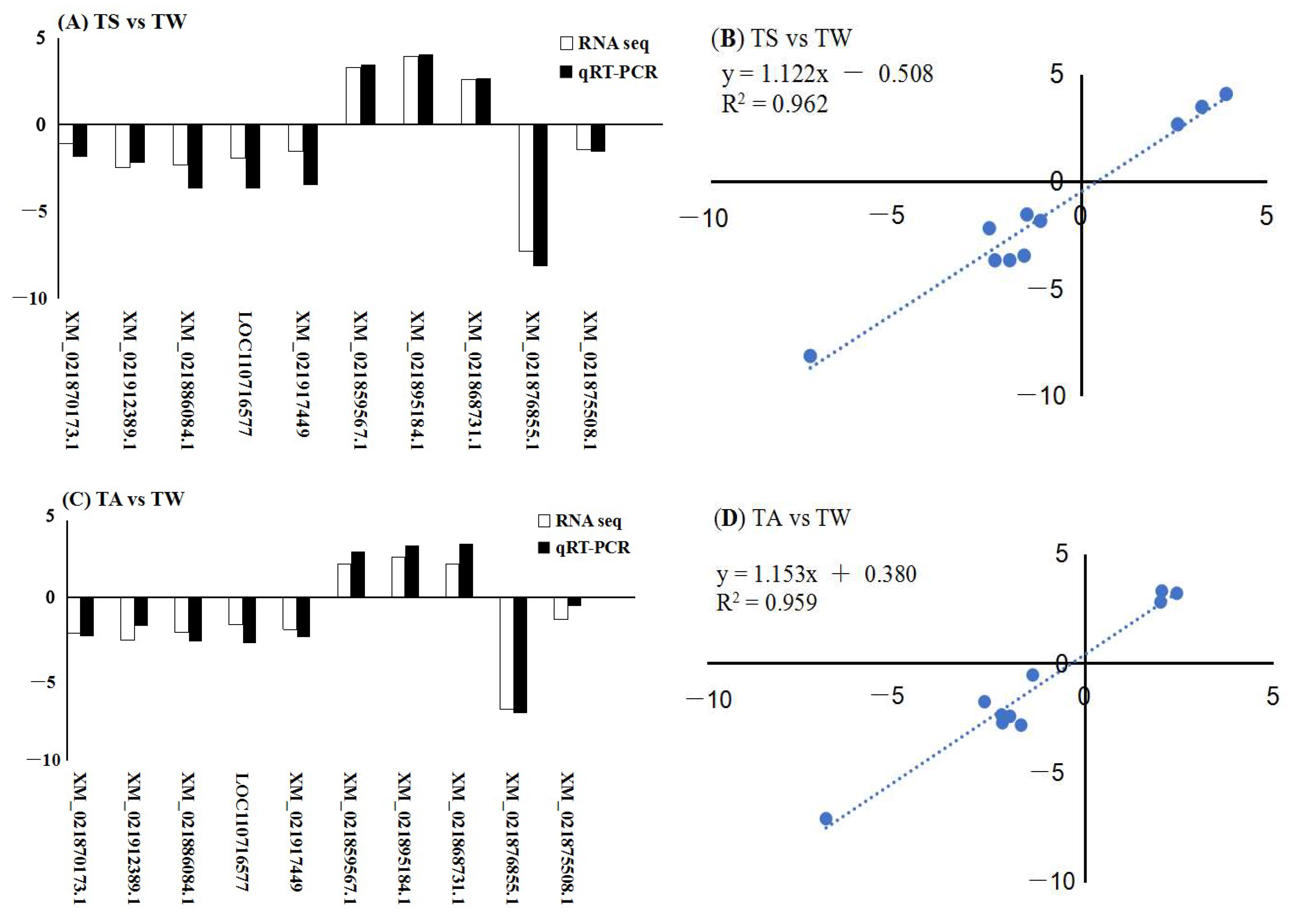
3.7. Validation of RNA-Seq Data by RT-PCRss
4. Discussion
4.1. Carbohydrate Metabolism
4.2. Hormone Signaling
4.3. γ-Aminobutyric Acid Branch
5. Conclusions
Supplementary Materials
Author Contributions
Funding
Institutional Review Board Statement
Informed Consent Statement
Data Availability Statement
Conflicts of Interest
References
- Xie, F.; Wang, Q.; Sun, R.; Zhang, B. Deep sequencing reveals important roles of microRNAs in response to drought and salinity stress in cotton. J. Exp. Bot. 2015, 66, 789–804. [Google Scholar] [CrossRef] [PubMed]
- Ivushkin, K.; Bartholomeus, H.; Bregt, A.K.; Pulatov, A.; Kempen, B.; de Sousa, L. Global mapping of soil salinity change. Remote Sens. Environ. 2019, 231, 111260. [Google Scholar] [CrossRef]
- Srivastava, P. Microorganisms in Saline Environments: Strategies and Functions; Springer International Publishing: Beilin, Germany, 2019. [Google Scholar]
- Wang, Z.; Li, Q.; Li, X.; Song, C.; Zhang, G. Sustainable agriculture development in saline-alkal soil area of Song Nen plain, northeast China. Chin. Geogr. Sci. 2003, 13, 171–174. [Google Scholar] [CrossRef]
- Yu, R.; Chen, D. The resource of saline soil and its exploitation and utilization in China. Chin. J. Soil Sci. 1999, 30, 158–159. [Google Scholar] [CrossRef]
- Rengasamy, P. World salinization with emphasis on Australia. J. Exp. Bot. 2006, 57, 1017–1023. [Google Scholar] [CrossRef] [PubMed]
- Yuan, Y.; Liu, L.; Gao, Y.; Yang, Q.; Dong, K.; Liu, T.; Feng, B. Comparative analysis of drought-responsive physiological and transcriptome in broomcorn millet (Panicum miliaceum L.) genotypes with contrasting drought tolerance. Ind. Crops Prod. 2022, 177, 114498. [Google Scholar] [CrossRef]
- Rana, M. Genes and salt tolerance: Bringing them together. New Phytol. 2005, 167, 645–663. [Google Scholar] [CrossRef]
- Hu, H.; Liu, H.; Du, G.; Fei, Y.; Deng, G.; Yang, Y.; Feihu, L. Fiber and seed type of hemp (Cannabis sativa L.) responded differently to salt-alkali stress in seedling growth and physiological indices. Ind. Crops Prod. 2019, 129, 624–630. [Google Scholar] [CrossRef]
- Zhang, J.-T.; Mu, C.-S. Effects of saline and alkaline stresses on the germination, growth, photosynthesis, ionic balance and anti-oxidant system in an alkali-tolerant leguminous forage Lathyrus quinquenervius. Soil Sci. Plant Nutr. 2009, 55, 685–697. [Google Scholar] [CrossRef]
- Karyotis, T.; Iliadis, C.; Noulas, C.; Mitsibonas, T. Preliminary research on seed production and nutrient content for certain quinoa varieties in a saline–sodic soil. J. Agron. Crop Sci. 2003, 189, 402–408. [Google Scholar] [CrossRef]
- Uga, Y.; Sugimoto, K.; Ogawa, S.; Rane, J.; Ishitani, M.; Hara, N.; Kitomi, Y.; Inukai, Y.; Ono, K.; Kanno, N.; et al. Control of root system architecture by DEEPER ROOTING 1 increases rice yield under drought conditions. Nat. Genet. 2013, 45, 1097–1102. [Google Scholar] [CrossRef] [PubMed]
- Ma, Y.; Zhang, H.; Kudusi, A.-D.; Geng, S.-J.; Xue, A.-R.; Zhao, H.-W.; Jian, B.-H. Effects of salt and alkali stress on the growth, accumulation of organic acids and other solutes and their physiological functions of Suaeda salsa. Acta Agrestia Sin. 2021, 29, 1934–1940. [Google Scholar] [CrossRef]
- Slama, I.; Abdelly, C.; Bouchereau, A.; Flowers, T.; Savouré, A. Diversity, distribution and roles of osmoprotective compounds accumulated in halophytes under abiotic stress. Ann. Bot. 2015, 115, 433–447. [Google Scholar] [CrossRef] [PubMed]
- Flowers, T.J.; Munns, R.; Colmer, T.D. Sodium chloride toxicity and the cellular basis of salt tolerance in halophytes. Ann. Bot. 2015, 115, 419–431. [Google Scholar] [CrossRef] [PubMed]
- Ahanger, M.A.; Aziz, U.; Alsahli, A.A.; Alyemeni, M.N.; Ahmad, P. Influence of exogenous salicylic acid and nitric oxide on growth, photosynthesis, and ascorbate-glutathione cycle in salt stressed Vigna angularis. Biomolecules 2020, 10, 42. [Google Scholar] [CrossRef] [PubMed]
- Das, P.; Manna, I.; Biswas, A.K.; Bandyopadhyay, M. Exogenous silicon alters ascorbate-glutathione cycle in two salt-stressed indica rice cultivars (MTU 1010 and Nonabokra). Environ. Sci. Pollut. Res. 2018, 25, 26625–26642. [Google Scholar] [CrossRef] [PubMed]
- Jiang, D.; Xia, M.; Xing, H.; Gong, M.; Jiang, Y.; Liu, H.; Li, H.-L. Exploring the heat shock transcription factor (HSF) gene family in ginger: A genome-wide investigation on evolution, expression profiling, and response to developmental and abiotic stresses. Plants 2023, 12, 2999. [Google Scholar] [CrossRef] [PubMed]
- Peng, Z.; Rehman, A.; Li, X.; Jiang, X.; Tian, C.; Wang, X.; Li, H.; Wang, Z.; He, S.; Du, X. Comprehensive evaluation and transcriptome analysis reveal the salt tolerance mechanism in semi-wild cotton (Gossypium purpurascens). Int. J. Mol. Sci. 2023, 24, 12853. [Google Scholar] [CrossRef] [PubMed]
- Ren, X.; Fan, J.; Li, X.; Shan, Y.; Wang, L.; Ma, L.; Li, Y.; Li, X. Application of RNA sequencing to understand the response of rice seedlings to salt-alkali stress. BMC Genom. 2023, 24, 21. [Google Scholar] [CrossRef] [PubMed]
- Cartagena, J.A.; Yao, Y.; Mitsuya, S.; Tsuge, T. Comparative transcriptome analysis of root types in salt tolerant and sensitive rice varieties in response to salinity stress. Physiol. Plant. 2021, 173, 1629–1642. [Google Scholar] [CrossRef] [PubMed]
- Rasouli, F.; Kiani-Pouya, A.; Movahedi, A.; Wang, Y.; Li, L.; Yu, M.; Pourkheirandish, M.; Zhou, M.; Chen, Z.; Zhang, H.; et al. Guard cell transcriptome reveals membrane transport, stomatal development, and cell wall modifications as key traits involved in salinity tolerance in halophytic Chenopodium quinoa. Plant Cell Physiol. 2023, 64, 204–220. [Google Scholar] [CrossRef] [PubMed]
- Lin, M.; Han, P.; Li, Y.; Wang, W.; Lai, D.; Zhou, L. Quinoa secondary metabolites and their biological activities or functions. Molecules 2019, 24, 2512. [Google Scholar] [CrossRef]
- HHinojosa, L.; Leguizamo, A.; Carpio, C.; Muñoz, D.; Mestanza, C.; Ochoa, J.; Castillo, C.; Murillo, A.; Villacréz, E.; Monar, C.; et al. Quinoa in Ecuador: Recent advances under global expansion. Plants 2021, 10, 298. [Google Scholar] [CrossRef]
- Jacobsen, S.-E.; Mujica, A.; Jensen, C.R. The resistance of quinoa (Chenopodium quinoa Willd.) to adverse abiotic factors. Food Rev. Int. 2003, 19, 99–109. [Google Scholar] [CrossRef]
- Jacobsen, S.-E.; Monteros, C.; Christiansen, J.; Bravo, L.; Corcuera, L.; Mujica, A. Plant responses of quinoa (Chenopodium quinoa Willd.) to frost at various phenological stages. Eur. J. Agron. 2005, 22, 131–139. [Google Scholar] [CrossRef]
- Tumpaung, R.; Thobunluep, P.; Kongsil, P.; Onwimol, D.; Lertmongko, S.; Sarobol, E.; Chitbancho, W.; Pawelzik, E. Comparison of grain processing techniques on saponin content and nutritional value of quinoa (Chenopodium quinoa Cv. yellow pang-da) grain. Pak. J. Biol. Sci. 2021, 24, 821–829. [Google Scholar] [CrossRef]
- Jarvis, D.E.; Ho, Y.S.; Lightfoot, D.J.; Schmöckel, S.M.; Li, B.; Borm, T.J.A.; Ohyanagi, H.; Mineta, K.; Michell, C.T.; Saber, N.; et al. The genome of Chenopodium quinoa. Nature 2017, 542, 307–312, Erratum in Nature 2017, 545, 510. [Google Scholar] [CrossRef] [PubMed]
- Schmöckel, S.M.; Lightfoot, D.J.; Razali, R.; Tester, M.; Jarvis, D.E. Identification of putative transmembrane proteins involved in salinity tolerance in Chenopodium quinoa by integrating physiological data, RNAseq, and SNP analyses. Front. Plant Sci. 2017, 8, 1023. [Google Scholar] [CrossRef] [PubMed]
- Rad, S.M.; Rad, M.Y.; Moghadasi, M.S. Physiological and morphological characteristics of drought-stressed Chenopodium quinoa Willd, as affected by proline and ascorbic acid. Commun. Soil Sci. Plant Anal. 2022, 53, 1402–1410. [Google Scholar] [CrossRef]
- Iqbal, H.; Yaning, C.; Waqas, M.; Raza, S.T.; Shareef, M.; Ahmad, Z. Salinity and exogenous H2O2 improve gas exchange, osmoregulation, and antioxidant metabolism in quinoa under drought stress. Physiol. Plant. 2023, 175, e14057. [Google Scholar] [CrossRef] [PubMed]
- Pathan, S.; Ndunguru, G.; Clark, K.; Ayele, A.G. Yield and nutritional responses of quinoa (Chenopodium quinoa Willd.) genotypes to irrigated, rainfed, and drought-stress environments. Front. Sustain. Food Syst. 2023, 7, 1242187. [Google Scholar] [CrossRef]
- Hariadi, Y.; Marandon, K.; Tian, Y.; Jacobsen, S.-E.; Shabala, S. Ionic and osmotic relations in quinoa (Chenopodium quinoa Willd.) plants grown at various salinity levels. J. Exp. Bot. 2011, 62, 185–193. [Google Scholar] [CrossRef] [PubMed]
- Han, H.; Qu, Y.; Wang, Y.; Zhang, Z.; Geng, Y.; Li, Y.; Shao, Q.; Zhang, H.; Ma, C. Transcriptome and small RNA sequencing reveals the basis of response to salinity, alkalinity and hypertonia in quinoa (Chenopodium quinoa Willd.). Int. J. Mol. Sci. 2023, 24, 11789. [Google Scholar] [CrossRef] [PubMed]
- Slimani, N.; Arraouadi, S.; Hajlaoui, H.; Borgi, M.A.; Boughattas, N.E.H.; De Feo, V.; Snoussi, M. The impact of greenhouse and field growth conditions on Chenopodium quinoa Willd. Accessions’ response to salt stress: A comparative approach. Agronomy 2023, 13, 2303. [Google Scholar] [CrossRef]
- Olmos, E.; Jimenez-Perez, B.; Roman-Garcia, I.; Fernandez-Garcia, N. Salt-tolerance mechanisms in quinoa: Is glycinebetaine the missing piece of the puzzle? Plant Physiol. Biochem. 2024, 206, 108276. [Google Scholar] [CrossRef] [PubMed]
- Adolf, V.I.; Jacobsen, S.-E.; Shabala, S. Salt tolerance mechanisms in quinoa (Chenopodium quinoa Willd.). Environ. Exp. Bot. 2013, 92, 43–54. [Google Scholar] [CrossRef]
- Jacobsen, S.-E.; Monteros, C.; Corcuera, L.; Bravo, L.; Christiansen, J.; Mujica, A. Frost resistance mechanisms in quinoa (Chenopodium quinoa Willd.). Eur. J. Agron. 2007, 26, 471–475. [Google Scholar] [CrossRef]
- Sanchez, H.B.; Lemeur, R.; Van Damme, P.; Jacobsen, S.-E. Ecophysiological analysis of drought and salinity stress of quinoa (Chenopodium quinoa willd.). Food Rev. Int. 2003, 19, 111–119. [Google Scholar] [CrossRef]
- Gunes, A.; Inal, A.; Alpaslan, M.; Eraslan, F.; Bagci, E.G.; Cicek, N. Salicylic acid induced changes on some physiological parameters symptomatic for oxidative stress and mineral nutrition in maize (Zea mays L.) grown under salinity. J. Plant Physiol. 2007, 164, 728–736. [Google Scholar] [CrossRef] [PubMed]
- Peterson, A.; Murphy, K. Tolerance of lowland quinoa cultivars to sodium chloride and sodium sulfate salinity. Crop Sci. 2015, 55, 331–338. [Google Scholar] [CrossRef]
- Sairam, R.K.; Rao, K.V.; Srivastava, G.C. Differential response of wheat genotypes to long term salinity stress in relation to oxidative stress, antioxidant activity and osmolyte concentration. Plant Sci. 2002, 163, 1037–1046. [Google Scholar] [CrossRef]
- Chen, J.H.; Song, Y.P.; Zhang, H. Genome-wide analysis of gene expression in response to drought stress in Populus simonii. Plant Mol. Biol. Report. 2013, 31, 946–962. [Google Scholar] [CrossRef]
- Liu, S.-C.; Jin, J.-Q.; Ma, J.-Q.; Yao, M.-Z.; Ma, C.-L.; Li, C.-F.; Ding, Z.-T.; Chen, L. Transcriptomic analysis of tea plant responding to drought stress and recovery. PLoS ONE 2017, 11, e0147306. [Google Scholar] [CrossRef] [PubMed]
- Lastdrager, J.; Hanson, J.; Smeekens, S. Sugar signals and the control of plant growth and development. J. Exp. Bot. 2014, 65, 799–807. [Google Scholar] [CrossRef] [PubMed]
- Jia, X.-M.; Zhu, Y.-F.; Hu, Y.; Zhang, R.; Cheng, L.; Zhu, Z.-L.; Zhao, T.; Zhang, X.; Wang, Y.-X. Integrated physiologic, proteomic, and metabolomic analyses of Malus halliana adaptation to saline-alkali stress. Hortic. Res. 2019, 6, 91. [Google Scholar] [CrossRef] [PubMed]
- Flütsch, S.; Nigro, A.; Conci, F.; Fajkus, J.; Thalmann, M.; Trtílek, M.; Panzarová, K.; Santelia, D. Glucose uptake to guard cells via STP transporters provides carbon sources for stomatal opening and plant growth. EMBO Rep. 2020, 21, e49719. [Google Scholar] [CrossRef]
- Daloso, D.M.; Williams, T.C.R.; Antunes, W.C.; Pinheiro, D.P.; Müller, C.; Loureiro, M.E.; Fernie, A.R. Guard cell-specific upregulation of sucrose synthase 3 reveals that the role of sucrose in stomatal function is primarily energetic. New Phytol. 2016, 209, 1470–1483. [Google Scholar] [CrossRef] [PubMed]
- Barrero-Sicilia, C.; Hernando-Amado, S.; González-Melendi, P.; Carbonero, P. Structure, expression profile and subcellular localisation of four different sucrose synthase genes from barley. Planta Int. J. Plant Biol. 2011, 234, 391–403. [Google Scholar] [CrossRef] [PubMed]
- Niedzwiedz-Siegien, I.; Bogatek-Leszczynska, R.; Côme, D.; Corbineau, F. Effects of drying rate on dehydration sensitivity of excised wheat seedling shoots as related to sucrose metabolism and antioxidant enzyme activities. Plant Sci. 2004, 167, 879–888. [Google Scholar] [CrossRef]
- Cha-Um, S.; Charoenpanich, A.; Roytrakul, S.; Kirdmanee, C. Sugar accumulation, photosynthesis and growth of two indica rice varieties in response to salt stress. Acta Physiol. Plant. 2009, 31, 477–486. [Google Scholar] [CrossRef]
- Sah, S.K.; Reddy, K.R.; Li, J. Abscisic acid and abiotic stress tolerance in crop plants. Front. Plant Sci. 2016, 7, 571. [Google Scholar] [CrossRef] [PubMed]
- Yu, Z.; Duan, X.; Luo, L.; Dai, S.; Ding, Z.; Xia, G. How plant hormones mediate salt stress responses. Trends Plant Sci. 2020, 25, 1117–1130. [Google Scholar] [CrossRef] [PubMed]
- Cai, S.; Chen, G.; Wang, Y.; Huang, Y.; Marchant, D.B.; Wang, Y.; Yang, Q.; Dai, F.; Hills, A.; Franks, P.J.; et al. Evolutionary conservation of ABA signaling for stomatal closure. Plant Physiol. 2017, 174, 732–747. [Google Scholar] [CrossRef]
- Yoshida, T.; Mogami, J.; Yamaguchi-Shinozaki, K. ABA-dependent and ABA-independent signaling in response to osmotic stress in plants. Curr. Opin. Plant Biol. 2014, 21, 133–139. [Google Scholar] [CrossRef] [PubMed]
- Singh, A.; Jha, S.K.; Bagri, J.; Pandey, G.K. ABA inducible rice protein phosphatase 2C confers ABA insensitivity and abiotic stress tolerance in Arabidopsis. PLoS ONE 2015, 10, e0125168. [Google Scholar] [CrossRef]
- Zhang, F.; Fu, X.; Lv, Z.; Shen, Q.; Yan, T.; Jiang, W.; Wang, G.; Sun, X.; Tang, K. Type 2c phosphatase 1 of Artemisia annua L. Is a negative regulator of ABA signaling. BioMed Res. Int. 2014, 2014, 521794. [Google Scholar] [CrossRef] [PubMed]
- Yan, F.; Zhu, Y.; Zhao, Y.; Wang, Y.; Li, J.; Wang, Q.; Liu, Y. De novo transcriptome sequencing and analysis of salt-, alkali-, and drought-responsive genes in Sophora alopecuroides. BMC Genom. 2020, 21, 423. [Google Scholar] [CrossRef] [PubMed]
- Liu, X.; Liang, W.; Li, Y.-X.; Li, M.-J.; Ma, B.-Q.; Liu, C.-H.; Ma, F.-W.; Li, C.-Y. Transcriptome analysis reveals the effects of alkali stress on root system architecture and endogenous hormones in apple rootstocks. J. Integr. Agric. 2019, 18, 2264–2271. [Google Scholar] [CrossRef]
- Guo, Y. Functional Study of Wheat Growth Hormone Responsive Genes TaSAUR78 and TaSAUR75 in Abiotic Adversity. Bachelor’s Thesis, Chinese Academy of Agricultural Sciences, Beijing, China, 2017. [Google Scholar]
- Xu, W.; Jia, L.; Baluška, F.; Ding, G.; Shi, W.; Ye, N.; Zhang, J. PIN2 is required for the adaptation of Arabidopsis roots to alkaline stress by modulating proton secretion. J. Exp. Bot. 2012, 63, 6105–6114. [Google Scholar] [CrossRef] [PubMed]
- Duan, J. Study on the Molecular Mechanism of Transcription Factor TGA7 Involved in Arabidopsis Response to Drought Stress. Ph.D. Thesis, China Agricultural University, Beijing, China, 2016. [Google Scholar]
- Ke, D.-X.; Huo, Y.-Y.; Liu, Y.; Li, J.-Y.; Liu, X.-X. Functional analysis of soybean TGA transcription factor gene GmTGA26 in salt stress. Acta Agron. Sin. 2022, 48, 1697–1708. [Google Scholar]
- Fait, A.; Nesi, A.N.; Angelovici, R.; Lehmann, M.; Pham, P.A.; Song, L.; Haslam, R.P.; Napier, J.A.; Galili, G.; Fernie, A.R. Targeted enhancement of glutamate-to-γ-aminobutyrate conversion in Arabidopsis seeds affects carbon-nitrogen balance and storage reserves in a development-dependent manner. Plant Physiol. 2011, 157, 1026–1042. [Google Scholar] [CrossRef] [PubMed]
- Roberts, M.R. Does GABA act as a signal in plants?: Hints from molecular studies. Plant Signal. Behav. 2007, 2, 408–409. [Google Scholar] [CrossRef] [PubMed]
- Bown, A.W.; Shelp, B.J. Plant GABA: Not just a metabolite. Trends Plant Sci. 2016, 21, 811–813. [Google Scholar] [CrossRef] [PubMed]
- Kilian, J.; Whitehead, D.; Horak, J.; Wanke, D.; Weinl, S.; Batistic, O.; D’angelo, C.; Bornberg-Bauer, E.; Kudla, J.; Harter, K. The AtGenExpress global stress expression data set: Protocols, evaluation and model data analysis of UV-B light, drought and cold stress responses. Plant J. 2007, 50, 347–363. [Google Scholar] [CrossRef] [PubMed]
- Renault, H.; EL Amrani, A.; Berger, A.; Mouille, G.; Soubigou-Taconnat, L.; Bouchereau, A.; Deleu, C. Gamma-Aminobutyric acid transaminase deficiency impairs central carbon metabolism and leads to cell wall defects during salt stress in Arabidopsis roots. Plant Cell Environ. 2013, 36, 1009–1018. [Google Scholar] [CrossRef] [PubMed]
- Otterbach, S.L.; Khoury, H.; Rupasinghe, T.; Mendis, H.; Kwan, K.H.; Lui, V.; Natera, S.H.A.; Klaiber, I.; Allen, N.M.; Jarvis, D.E.; et al. Characterization of epidermal bladder cells in Chenopodium quinoa. Plant Cell Environ. 2021, 44, 3836–3852. [Google Scholar] [CrossRef] [PubMed]
- Becker, V.I.; Goessling, J.W.; Duarte, B.; Caçador, I.; Liu, F.; Rosenqvist, E.; Jacobsen, S.-E. Combined effects of soil salinity and high temperature on photosynthesis and growth of quinoa plants (Chenopodium quinoa). Funct. Plant Biol. 2017, 44, 665–678. [Google Scholar] [CrossRef] [PubMed]
- Orsini, F.; Accorsi, M.; Gianquinto, G.; Dinelli, G.; Antognoni, F.; Carrasco, K.B.R.; Martinez, E.A.; Alnayef, M.; Marotti, I.; Bosi, S.; et al. Beyond the ionic and osmotic response to salinity in Chenopodium quinoa: Functional elements of successful halophytism. Funct. Plant Biol. 2011, 38, 818–831. [Google Scholar] [CrossRef] [PubMed]
- Adolf, V.I.; Shabala, S.; Andersen, M.N.; Razzaghi, F.; Jacobsen, S.-E. Varietal differences of quinoa’s tolerance to saline conditions. Plant Soil 2012, 357, 117–129. [Google Scholar] [CrossRef]
- Brownlee, C. Plant physiology: One way to dump salt. Curr. Biol. 2018, 28, 1145–1147. [Google Scholar] [CrossRef] [PubMed]
- Zou, C.; Chen, A.; Xiao, L.; Muller, H.M.; Ache, P.; Haberer, G.; Zhang, M.; Jia, W.; Deng, P.; Huang, R.; et al. A high-quality genome assembly of quinoa provides insights into the molecular basis of salt bladder-based salinity tolerance and the exceptional nutritional value. Cell Res. 2017, 27, 1327–1340. [Google Scholar] [CrossRef] [PubMed]
- Böhm, J.; Messerer, M.; Müller, H.M.; Scholz-Starke, J.; Gradogna, A.; Scherzer, S.; Maierhofer, T.; Bazihizina, N.; Zhang, H.; Stigloher, C.; et al. Understanding the molecular basis of salt sequestration in epidermal bladder cells of Chenopodium quinoa. Curr. Biol. 2018, 28, 3075–3085. [Google Scholar] [CrossRef] [PubMed]
- Kiani-Pouya, A.; Rasouli, F.; Bazihizina, N.; Zhang, H.; Hedrich, R.; Shabala, S. A large-scale screening of quinoa accessions reveals an important role of epidermal bladder cells and stomatal patterning in salinity tolerance. Environ. Exp. Bot. 2019, 168, 103885. [Google Scholar] [CrossRef]
- Kiani-Pouya, A.; Roessner, U.; Jayasinghe, N.S.; Lutz, A.; Rupasinghe, T.; Bazihizina, N.; Bohm, J.; Alharbi, S.; Hedrich, R.; Shabala, S. Epidermal bladder cells confer salinity stress tolerance in the halophyte quinoa and Atriplex species. Plant Cell Environ. 2017, 40, 1900–1915. [Google Scholar] [CrossRef] [PubMed]










| Treatment | Transcriptome | Salt Composition and Molar Ratio | mmol/L | |||
|---|---|---|---|---|---|---|
| NaCl | Na2SO4 | NaHCO3 | Na2CO3 | |||
| CK | TW | 0 | 0 | 0 | 0 | 0 |
| Salt stress | TS | 1 | 1 | 0 | 0 | 300 |
| Alkali stress | TA | 0 | 0 | 1 | 1 | 100 |
Disclaimer/Publisher’s Note: The statements, opinions and data contained in all publications are solely those of the individual author(s) and contributor(s) and not of MDPI and/or the editor(s). MDPI and/or the editor(s) disclaim responsibility for any injury to people or property resulting from any ideas, methods, instructions or products referred to in the content. |
© 2024 by the authors. Licensee MDPI, Basel, Switzerland. This article is an open access article distributed under the terms and conditions of the Creative Commons Attribution (CC BY) license (https://creativecommons.org/licenses/by/4.0/).
Share and Cite
Bao, Q.; Wu, Y.; Wang, Y.; Zhang, Y. Comparative Transcriptomic Analysis Reveals Transcriptional Differences in the Response of Quinoa to Salt and Alkali Stress Responses. Agronomy 2024, 14, 1596. https://doi.org/10.3390/agronomy14071596
Bao Q, Wu Y, Wang Y, Zhang Y. Comparative Transcriptomic Analysis Reveals Transcriptional Differences in the Response of Quinoa to Salt and Alkali Stress Responses. Agronomy. 2024; 14(7):1596. https://doi.org/10.3390/agronomy14071596
Chicago/Turabian StyleBao, Qinghan, Yang Wu, Yang Wang, and Yongping Zhang. 2024. "Comparative Transcriptomic Analysis Reveals Transcriptional Differences in the Response of Quinoa to Salt and Alkali Stress Responses" Agronomy 14, no. 7: 1596. https://doi.org/10.3390/agronomy14071596
APA StyleBao, Q., Wu, Y., Wang, Y., & Zhang, Y. (2024). Comparative Transcriptomic Analysis Reveals Transcriptional Differences in the Response of Quinoa to Salt and Alkali Stress Responses. Agronomy, 14(7), 1596. https://doi.org/10.3390/agronomy14071596
